Effect of Press Cake-Based Particles on Quality and Stability of Plant Oil Emulsions
Abstract
1. Introduction
2. Material and Methods
2.1. Raw Materials
2.1.1. Oils
- Rapeseed oil, high oleic low linoleic (HOLL) quality, conventional cultivation, Grüninger AG, Mitlödi, Switzerland.
- Rapeseed oil, high oleic low linoleic (HOLL) quality, conventional cultivation, Florin AG, Muttenz, Switzerland.
- Sunflower oil, classic quality, biological cultivation, Grüninger AG, Mitlödi, Switzerland.
- Sunflower oil, high oleic (ho) quality, conventional cultivation, Florin AG, Muttenz, Switzerland.
2.1.2. Press Cakes
- Rapeseed press cake, high oleic low linoleic (HOLL) quality, conventional cultivation, Grüninger AG, Mitlödi, Switzerland.
- Rapeseed press cake, classic quality, conventional cultivation, Florin AG, Muttenz, Switzerland.
- Sunflower press cake, classic quality, biological cultivation, Grüninger AG, Mitlödi, Switzerland.
- Sunflower press cake, high oleic (ho) quality, conventional cultivation, Florin AG, Muttenz, Switzerland.
- The oils and press cakes were tested in the following combinations:
- Rapeseed oil HOLL, Grüninger AG with rapeseed press cake, HOLL, Grüninger AG, Mitlödi, Switzerland.
- Rapeseed oil HOLL, Florin AG with rapeseed press cake classic, Florin AG, Muttenz, Switzerland.
- Sunflower oil, classic from Grüninger AG with sunflower press cake classic from Grüninger AG, Mitlödi, Switzerland.
- Sunflower oil ho from Florin AG with sunflower press cake ho from Florin AG, Muttenz, Switzerland.
2.1.3. Emulsifiers
- Distilled monoglyceride (E471) (Dimonda HR, Danisco, Kreuzlingen, Switzerland).
- Polyglycerol polyricinoleate (E476) (PGPR, Esterchem, Staffordshire, UK).
- Polysorbate 20 (Tween20, Esterchem, Staffordshire, UK).
- Sunflower lecithin (SUNLEC M, Sime Darby, Zwijndrecht, The Netherlands).
- Rapeseed lecithin (LeciFis RAP TF IPM, Fismer Lecithin, Hamburg, Germany).
2.2. Production Methods
2.2.1. Formation of Particle-Stabilised Emulsions
2.2.2. Lab-Scale Emulsion Formation
2.2.3. Upscaling to Pilot Scale Using Rotor–Stator (RS) System and Rotating Membrane (RM) System
2.3. Analysis Methods
2.3.1. Characterisation of Press Cakes
2.3.2. Analysis of Emulsions
- Drop test
- Emulsion stability or Emulsion Index
- Viscosity measurement
2.4. Experimental Design
3. Results and Discussion
3.1. A Particle Analysis of the Raw Material
3.2. Influence of Raw Materials on W/O Emulsion Stability at Lab Scale
3.2.1. Influence of Oil and Press Cake Quality on Stability of Particle-Stabilised W/O Emulsion at Lab Scale
3.2.2. Influence of Emulsifiers on Stability of Particle-Stabilised O/W and W/O Emulsions at Lab Scale
3.3. Upscaling Using a Rotor–Stator System
3.3.1. Influence of Different Shear Rates on Emulsion Quality
3.3.2. Influence of Raw Materials on Emulsion Quality at Pilot Scale
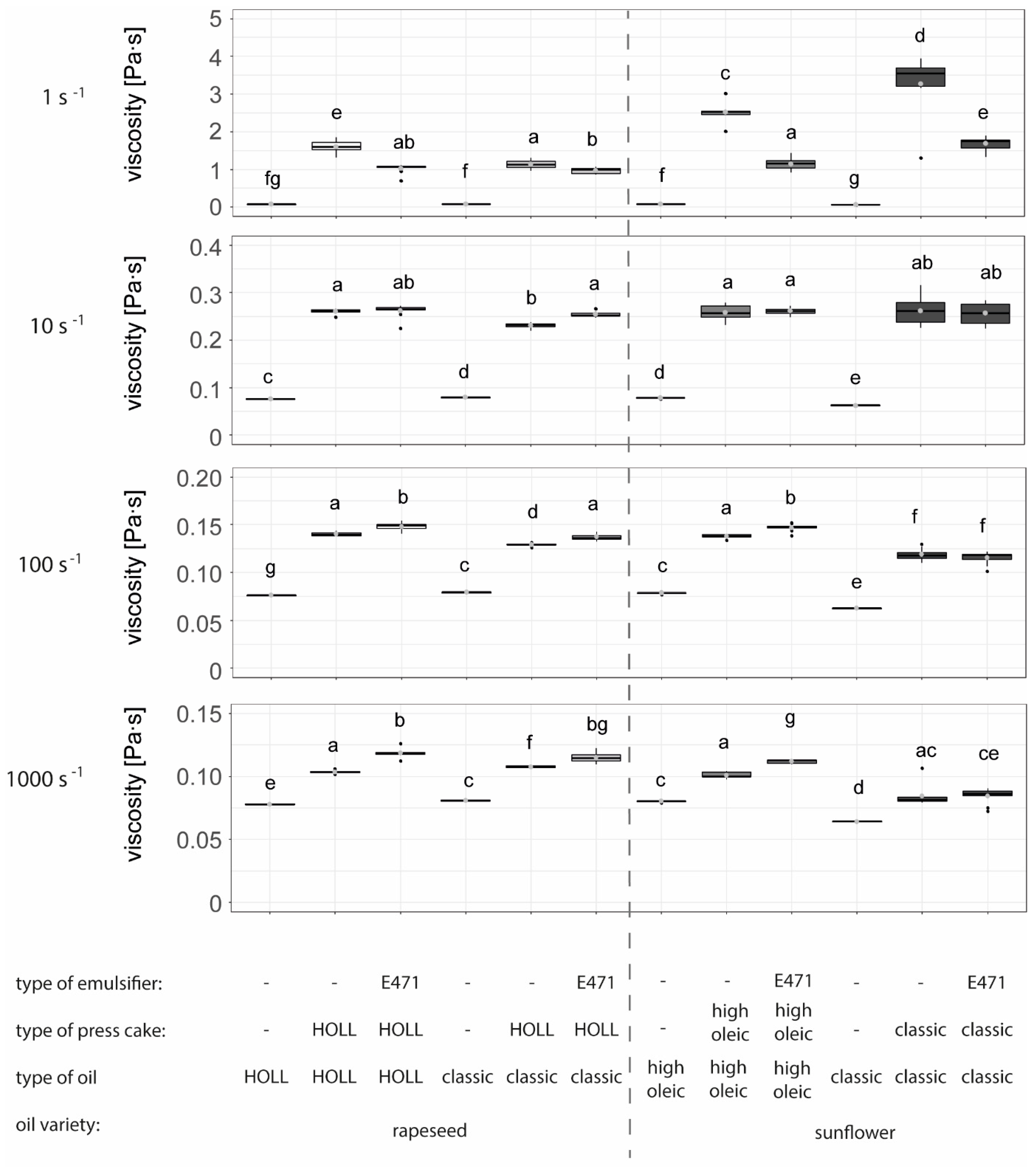
3.3.3. Impact of Recipe on Emulsion Viscosity at Pilot Scale
3.3.4. A Correlation Matrix Regarding the Influence of the Raw Material Characteristics on the Resulting Emulsion Quality
4. Conclusions
Supplementary Materials
Author Contributions
Funding
Institutional Review Board Statement
Informed Consent Statement
Data Availability Statement
Acknowledgments
Conflicts of Interest
References
- Ramsden, W. Separation of solids in the surface-layers of solutions and ‘suspensions’ (observations on surface-membranes, bubbles, emulsions, and mechanical coagulation).—Preliminary account. Proc. R. Soc. Lond. 1904, 91, 156–164. [Google Scholar]
- Pickering, S.U. CXCVI—Emulsions. J. Chem. Soc. Trans. 1907, 91, 2001–2021. [Google Scholar] [CrossRef]
- Burgos-Díaz, C.; Garrido-Miranda, K.A.; Palacio, D.A.; Chacón-Fuentes, M.; Opazo-Navarrete, M.; Bustamante, M. Food-Grade Oil-in-Water (O/W) Pickering Emulsions Stabilized by Agri-Food Byproduct Particles. Colloids Interfaces 2023, 7, 27. [Google Scholar] [CrossRef]
- Stocco, A.; Drenckhan, W.; Rio, E.; Langevin, D.; Binks, B.P. Particle-stabilised foams: An interfacial study. Soft Matter 2009, 5, 2215–2222. [Google Scholar] [CrossRef]
- Dickinson, E. Use of nanoparticles and microparticles in the formation and stabilization of food emulsion. Trends Food Sci. Technol. 2012, 24, 4–12. [Google Scholar] [CrossRef]
- Gonzenbach, U.T.; Studart, A.R.; Tervoort, E.; Gauckler, L.J. Ultrastable Particle-Stabilized Foams. Angew. Chem. Int. Ed. 2006, 45, 3526–3530. [Google Scholar] [CrossRef]
- Arditty, S.; Schmitt, V.; Giermanska-Kahn, J.; Leal-Calderon, F. Materials based on solid-stabilized emulsions. J. Colloid Interface Sci. 2004, 275, 659–664. [Google Scholar] [CrossRef]
- Jiang, H.; Sheng, Y.; Ngai, T. Pickering Emulsions: Versatility of Colloidal Particles and Recent Applications. Curr. Opin. Colloid Interface Sci. 2020, 49, 1–15. [Google Scholar] [CrossRef]
- Low, L.E.; Siva, S.P.; Ho, Y.K.; Chan, E.S.; Tey, B.T. Recent Advances of Characterization Techniques for the Formation, Physical Properties and Stability of Pickering Emulsion. Adv. Colloid Interface Sci. 2020, 277, 102117. [Google Scholar] [CrossRef]
- Engelen, L.; de Wijk, R.A.; Van der Bilt, A.; Prinz, J.F.; Janssen, A.M.; Bosman, F. Relating particles and texture perception. Physiol. Behav. 2005, 86, 111–117. [Google Scholar] [CrossRef]
- Costa, A.L.R.; Gomes, A.; Tibolla, H.; Menegalli, F.C.; Cunha, R.L. Cellulose nanofibers from banana peels as a Pickering emulsifier: High-energy emulsification processes. Carbohydr. Polym. 2018, 194, 122–131. [Google Scholar] [CrossRef]
- Dickinson, E. Structuring of colloidal particles at interfaces and the relationship to food emulsion and foam stability. J. Colloid Interface Sci. 2015, 449, 38–45. [Google Scholar] [CrossRef]
- Gonzalez Ortiz, D.; Pochat-Bohatier, C.; Cambedouzou, J.; Bechelany, M.; Miele, P. Current Trends in Pickering Emulsions: Particle Morphology and Applications. Engineering 2020, 6, 468–482. [Google Scholar] [CrossRef]
- Perrin, L.; Gillet, G.; Gressin, L.; Desobry, S. Interest of Pickering Emulsions for Sustainable Micro/Nanocellulose in Food and Cosmetic Applications. Polymers 2020, 12, 2385. [Google Scholar] [CrossRef]
- Chau, T.T.; Bruckard, W.J.; Koh, P.T.L.; Nguyen, A.V. A review of factors that affect contact angle and implications for flotation practice. Adv. Colloid Interface Sci. 2009, 150, 106–115. [Google Scholar] [CrossRef]
- Chibowski, E.; Perea-Carpio, R. Problems of contact angle and solid surface free energy determination. Adv. Colloid Interface Sci. 2002, 98, 245–264. [Google Scholar] [CrossRef]
- Maestro, A.; Guzmán, E.; Ortega, F.; Rubio, R.G. Contact angle of micro- and nanoparticles at fluid interfaces. Curr. Opin. Colloid Interface Sci. 2014, 19, 355–367. [Google Scholar] [CrossRef]
- Rüegg, R.; Schmid, T.; Hollenstein, L.; Müller, N. Effect of particle characteristics and foaming parameters on resulting foam quality and stability. LWT 2022, 167, 113859. [Google Scholar] [CrossRef]
- Guo, Y.; Tang, D.; Du, Y.; Liu, B. Controlled Fabrication of Hexagonally Close-Packed Langmuir-Blodgett Silica Particulate Monolayers from Binary Surfactant and Solvent Systems. Langmuir 2013, 29, 2849–2858. [Google Scholar] [CrossRef]
- Depalo, A.; Santomaso, A.C. Wetting dynamics and contact angles of powders studied through capillary rise experiments. Colloids Surf. A Physicochem. Eng. Asp. 2013, 436, 371–379. [Google Scholar] [CrossRef]
- Galet, L.; Patry, S.; Doods, J. Determination of the wettability of powders by the Washburn capillary rise method with bed preparation by centrifugal packing technique. J. Colloid Interface Sci. 2010, 346, 470–475. [Google Scholar] [CrossRef] [PubMed]
- Paunov, V.N. Novel Method for Determining the Three-Phase Contact Angle of Colloid Particles Adsorbed at Air-Water and Oil-Water Interfaces. Langmuir 2003, 19, 7970–7976. [Google Scholar] [CrossRef]
- Binks, B.P.; Rodrigues, J.A.; Frith, W.J. Synergistic interaction in emulsions stabilized by a mixture of silica nanoparticles and cationic surfactant. Langmuir 2007, 23, 3626–3636. [Google Scholar] [CrossRef] [PubMed]
- Eskandar, N.G.; Simovic, S.; Prestidge, C.A. Synergistic effect of silica nanoparticles and charged surfactants in the formation and stability of submicron oil-in-water emulsions. Phys. Chem. Chem. Phys. 2007, 9, 6426–6434. [Google Scholar] [CrossRef]
- Wege, H.A.; Kim, S.; Paunov, V.N.; Zhong, Q.; Velev, O.D. Long-Term Stabilization of Foams and Emulsions with In-Situ Formed Microparticles from Hydrophobic Cellulose. Langmuir 2008, 24, 9245–9253. [Google Scholar] [CrossRef]
- Tavernier, I.; Wijaya, W.; Van der Meeren, P.; Dewettinck, K.; Patel, A.R. Food-grade particles for emulsion stabilization. Trends Food Sci. Technol. 2016, 50, 159–174. [Google Scholar] [CrossRef]
- Rayner, M.; Marku, D.; Eriksson, M.; Sjee, M.; Dejmek, P.; Wahlgren, M. Biomass-based particles for the formulation of Pickering type emulsions in food and topical applications. Colloids Surf. A Physicochem. Eng. Asp. 2014, 458, 48–62. [Google Scholar] [CrossRef]
- Arrutia, F.; Binner, E.; William, P.; Waldron, K.W. Oilseeds beyond oil: Press cakes and meals supplying global protein requirements. Trends Food Sci. Technol. 2020, 100, 88–102. [Google Scholar] [CrossRef]
- Rayner, M. Current status on novel ways for stabilizing food dispersions by oleosins, particles and microgels. Curr. Opinion Food Sci. 2015, 3, 94–109. [Google Scholar] [CrossRef]
- Schmid, T.; Baumer, B.; Rüegg, R.; Näf, P.; Kinner, M.; Müller, N. Evaluation of innovative technological approaches to replace palm fat with physically modified Swiss rapeseed oil in bakery products. Int. J. Food Sci. Technol. 2020, 55, 2990–2999. [Google Scholar] [CrossRef]
- ISO 13320:2020; Particle Size Analysis—Laser Diffraction Methods. ISO: Geneva Switzerland, 2020.
- McClements, D.J. Critical Review of Techniques and Methodologies for Characterization of Emulsion Stability. Crit. Rev. Food Sci. Nutr. 2007, 47, 611–649. [Google Scholar] [CrossRef] [PubMed]
- Scott, D.W. Multivariate Density Estimation: Theory, Practice, and Visualization, 2nd ed.; Wiley: New York, NY, USA, 1992. [Google Scholar]
- Lomascolo, A.; Uzan-Boukhris, E.; Sigoillot, J.-C.; Fine, F. Rapeseed and sunflower meal: A review in biotechnology status and challenges. Appl. Microbiol. Biotechnol. 2012, 95, 1105–1114. [Google Scholar] [CrossRef] [PubMed]
- Biosuisse Home Page. Available online: https://international.bio-suisse.ch/dam/jcr:47dc9f0b-3dae-4936-aed8-2f844ab88497/Bio%20Suisse%20Standards%202023%20-%20EN.pdf (accessed on 12 January 2024).
- Savoire, R.; Lanoisellé, J.-L.; Vorobiev, E. Mechanical Continuous Oil Expression from Oilseeds: A Review. Food Bioprocess Technol. 2013, 6, 1–15. [Google Scholar] [CrossRef]
- Zheng, Y.-L. Screw Pressing of Whole and Dehulled Flaxseed for Organic Oil Rich in Omega-3 Fatty Acids. Ph.D. Thesis, North Dakota State University, Fargo, ND, USA, 2003. [Google Scholar]
- Kalashnikova, I.; Bizot, H.; Bertoncini, P.; Cathala, B.; Capron, I. Cellulosic nanorods of various aspect ratios for oil in water Pickering emulsions. Soft Matter 2013, 9, 952–959. [Google Scholar] [CrossRef]
- Binks, P.B. Particles as surfactants—Similarities and differences. Curr. Opin. Colloid Interface Sci. 2002, 7, 21–41. [Google Scholar] [CrossRef]
- Fameau, A.-L.; Salonen, A. Effect of particles and aggregated structures on the foam stability and aging. Comptes Rendus Phys. 2014, 15, 748–760. [Google Scholar] [CrossRef]
- Stocco, A.; Rio, E.; Binks, B.P.; Langevin, D. Aqueous foams stabilized solely by particles. Soft Matter 2011, 7, 1260–1267. [Google Scholar] [CrossRef]
- Zhao, H.; Yang, Y.; Chen, Y.; Li, J.; Wang, L.; Li, C. A review of multiple Pickering emulsions: Solid stabilization, preparation, particle effect, and application. Chem. Eng. Sci. 2021, 248, 117085. [Google Scholar] [CrossRef]
- Gould, J.; Vieira, J.; Wolf, B. Cocoa particles for food emulsion stabilization. Food Func. 2013, 4, 1369–1375. [Google Scholar] [CrossRef]
- El-Aooiti, M.; de Vries, A.; Rousseau, D. Demulsification of water-in-oil emulsions stabilized with glycerol monostearate crystals. J. Colloid Interface Sci. 2023, 636, 637–645. [Google Scholar] [CrossRef]
- García-Ortega, M.L.; Toro-Vazquez, J.F.; Ghosh, S. Development and characterization of structured water-in-oil emulsions with ethyl cellulose oleogels. Food Res. Int. 2021, 150 Pt B, 110763. [Google Scholar] [CrossRef]
- Killian, L.A.; Coupland, J.N. Manufacture and application of water-in-oil emulsions to induce the aggregation of sucrose crystals in oil: A model for melt-resistant chocolate. Food Biophysics 2012, 7, 124–131. [Google Scholar] [CrossRef]
- Pan, Y.; Xu, Y.; Zhu, L.; Liu, X.; Zhao, G.; Wang, S.; Yang, L.; Ma, T.; Liu, H. Stability and rheological properties of water-in-oil (W/O) emulsions prepared with a soyasaponin-PGPR system. Future Foods 2021, 4, 100096. [Google Scholar] [CrossRef]
- Ribas Fonseca, L.; Silva Santos, M.A.; Porto Santos, T.; Lopes Cunha, R. Sunflower waxes as natural structuring agents to improve the technological properties of water-in-oil (W/O) high internal phase emulsions (HIPEs). J. Food Eng. 2023, 357, 111638. [Google Scholar] [CrossRef]
- Rutkevičius, M.; Allred, S.; Velev, O.D.; Velikov, K.P. Stabilization of oil continuous emulsions with colloidal particles from water-insoluble plant proteins. Food Hydrocoll. 2018, 82, 89–95. [Google Scholar] [CrossRef]
- Clausse, D.; Lanoiselle, J.L.; Pezron, I.; Saleh, K. Formulation of a water-in-oil emulsion encapsulating polysaccharides to improve the efficiency of spraying of plant protection products. Colloids Surf. A Physicochem. Eng. Asp. 2018, 536, 96–103. [Google Scholar] [CrossRef]
- Prodromidis, P.; Katsnidis, E.; Biliaderis, C.G.; Moschakis, T. Effect of Tween 20, emulsification temperature and ultrasonication intensity on structured emulsions with monoglycerides. Food Hydrocoll. 2024, 151, 109772. [Google Scholar] [CrossRef]
- Van der Schaaf, U.S.; Karbstein, H.P. Chapter 6—Fabrication of Nanoemulsions by Rotor-Stator Emulsification. In Nanoemulsions—Formulation, Applications and Characterization, 1st ed.; Jafari, S.M., McClements, D.J., Eds.; Academic Press: Cambridge, MA, USA; Elsevier: Amsterdam, The Netherlands, 2018; pp. 141–174. [Google Scholar]
- Drelich, A.; Gomez, F.; Clausse, D.; Pezron, I. Evolution of water-in-oil emulsions stabilized with solid particles: Influence of added emulsifier. Colloids Surf. A Physicochem. Eng. Asp. 2010, 365, 171–177. [Google Scholar] [CrossRef]
- McClements, D.J.; Jafari, S.M. Improving emulsion formation, stability and performance using mixed emulsifiers: A review. Adv. Colloid Interface Sci. 2018, 251, 55–79. [Google Scholar] [CrossRef]
- Nesterenko, A.; Drelich, A.; Lu, H.; Clausse, D.; Pezron, I. Influence of a mixed particle/surfactant emulsifier system on water-in-oil emulsion stability. Colloids Surf. A Physicochemic. Eng. Asp. 2014, 457, 49–57. [Google Scholar] [CrossRef]
- Bonarius, G.A.; Vieira, J.B.; van der Goot, A.J.; Bodnar, I. Rheological behaviour of fiber-rich plant materials in fat-based food systems. Food Hydrocoll. 2014, 40, 254–261. [Google Scholar] [CrossRef]
- Tshilumbu, N.N.; Masalova, I. Stabilization of highly concentrated emulsions with oversaturated dispersed phase: Effect of surfactant/particle ratio. Chem. Eng. Res. Des. 2015, 102, 216–233. [Google Scholar] [CrossRef]
- Farah, M.A.; Oliverira, R.C.; Caldas, J.N.; Rajagopal, K. Viscosity of water-in-oil emulsions: Variation with temperature and water volume fraction. J. Pet. Sci. Eng. 2005, 48, 169–184. [Google Scholar] [CrossRef]







| Fat Content [g/100 g] | Protein Content [g/100 g] | Fibre Content [g/100 g] | Mineral Content [g/100 g] | Water Content [g/100 g] | |
|---|---|---|---|---|---|
| Rapeseed HOLL press cake | 9.40 ± 0.38 | 32.20 ± 1.61 | 11.40 ± 1.14 | 6.80 ± 0.34 | 7.70 ± 0.39 |
| Rapeseed classic press cake | 7.83 ± 0.31 | 32.70 ± 1.60 | 10.90 ± 1.10 | 6.58 ± 0.33 | 6.48 ± 0.32 |
| Sunflower high-oleic press cake | 9.40 ± 0.38 | 28.20 ± 1.41 | 20.60 ± 0.21 | 6.42 ± 0.32 | 7.82 ± 0.39 |
| Sunflower classic press cake | 14.00 ± 0.56 | 24.60 ± 1.23 | 27.20 ± 0.27 | 5.60 ± 0.28 | 8.40 ± 0.42 |
| Density [g/cm3] | ×10.0 [µm] | ×50.0 [µm] | ×90.0 [µm] | ×10.0/×90.0 [-] | Contact Angle [°] | |
|---|---|---|---|---|---|---|
| Rapeseed HOLL press cake | 1.21 ± 0.22 | 2.96 ± 0.003 | 4.65 ± 0.012 | 9.96 ± 0.029 | 0.30 ± 0.001 | 78.91 ± 3.51 |
| Rapeseed classic press cake | 1.23 ± 0.22 | 3.15 ± 0.001 | 5.19 ± 0.002 | 10.52 ± 0.009 | 0.29 ± 0.0002 | 80.59 ± 6.98 |
| Sunflower high-oleic press cake | 1.23 ± 0.25 | 3.15 ± 0.011 | 5.34 ± 0.096 | 11.03 ± 0.113 | 0.29 ± 0.002 | 88.79 ± 2.65 |
| Sunflower classic press cake | 1.27 ± 0.23 | 3.09 ± 0.002 | 4.94 ± 0.021 | 10.71 ± 0.037 | 0.29 ± 0.001 | 90.58 ± 4.09 |
Disclaimer/Publisher’s Note: The statements, opinions and data contained in all publications are solely those of the individual author(s) and contributor(s) and not of MDPI and/or the editor(s). MDPI and/or the editor(s) disclaim responsibility for any injury to people or property resulting from any ideas, methods, instructions or products referred to in the content. |
© 2024 by the authors. Licensee MDPI, Basel, Switzerland. This article is an open access article distributed under the terms and conditions of the Creative Commons Attribution (CC BY) license (https://creativecommons.org/licenses/by/4.0/).
Share and Cite
Schmid, T.; Kinner, M.; Stäheli, L.; Steinegger, S.; Hollenstein, L.; de la Gala, D.; Müller, N. Effect of Press Cake-Based Particles on Quality and Stability of Plant Oil Emulsions. Foods 2024, 13, 2969. https://doi.org/10.3390/foods13182969
Schmid T, Kinner M, Stäheli L, Steinegger S, Hollenstein L, de la Gala D, Müller N. Effect of Press Cake-Based Particles on Quality and Stability of Plant Oil Emulsions. Foods. 2024; 13(18):2969. https://doi.org/10.3390/foods13182969
Chicago/Turabian StyleSchmid, Tamara, Mathias Kinner, Luca Stäheli, Stefanie Steinegger, Lukas Hollenstein, David de la Gala, and Nadina Müller. 2024. "Effect of Press Cake-Based Particles on Quality and Stability of Plant Oil Emulsions" Foods 13, no. 18: 2969. https://doi.org/10.3390/foods13182969
APA StyleSchmid, T., Kinner, M., Stäheli, L., Steinegger, S., Hollenstein, L., de la Gala, D., & Müller, N. (2024). Effect of Press Cake-Based Particles on Quality and Stability of Plant Oil Emulsions. Foods, 13(18), 2969. https://doi.org/10.3390/foods13182969

