Fostering Circular Economy: Brewing By-Products as Innovative Ingredients for Cereal Bar Formulation
Abstract
1. Introduction
2. Materials and Methods
2.1. Materials
2.1.1. Brewers Spent Grains (BSG)
2.1.2. Cereal Bars Formulation and Storage Conditions
2.2. Methods
2.2.1. Chemical Composition of Brewers’ Spent Grain (BSG)
2.2.2. Physicochemical Analyses of the Binding Systems
2.2.3. Physicochemical Analyses of the Cereal Bars
2.3. Sensory and Consumer Central Location Test
2.3.1. Central Location Test Methodology
2.3.2. Study Population
2.3.3. Questionnaire Structure
2.4. Data Processing
3. Results and Discussion
3.1. BSG Chemical Composition
3.2. Moisture Content and Water Activity
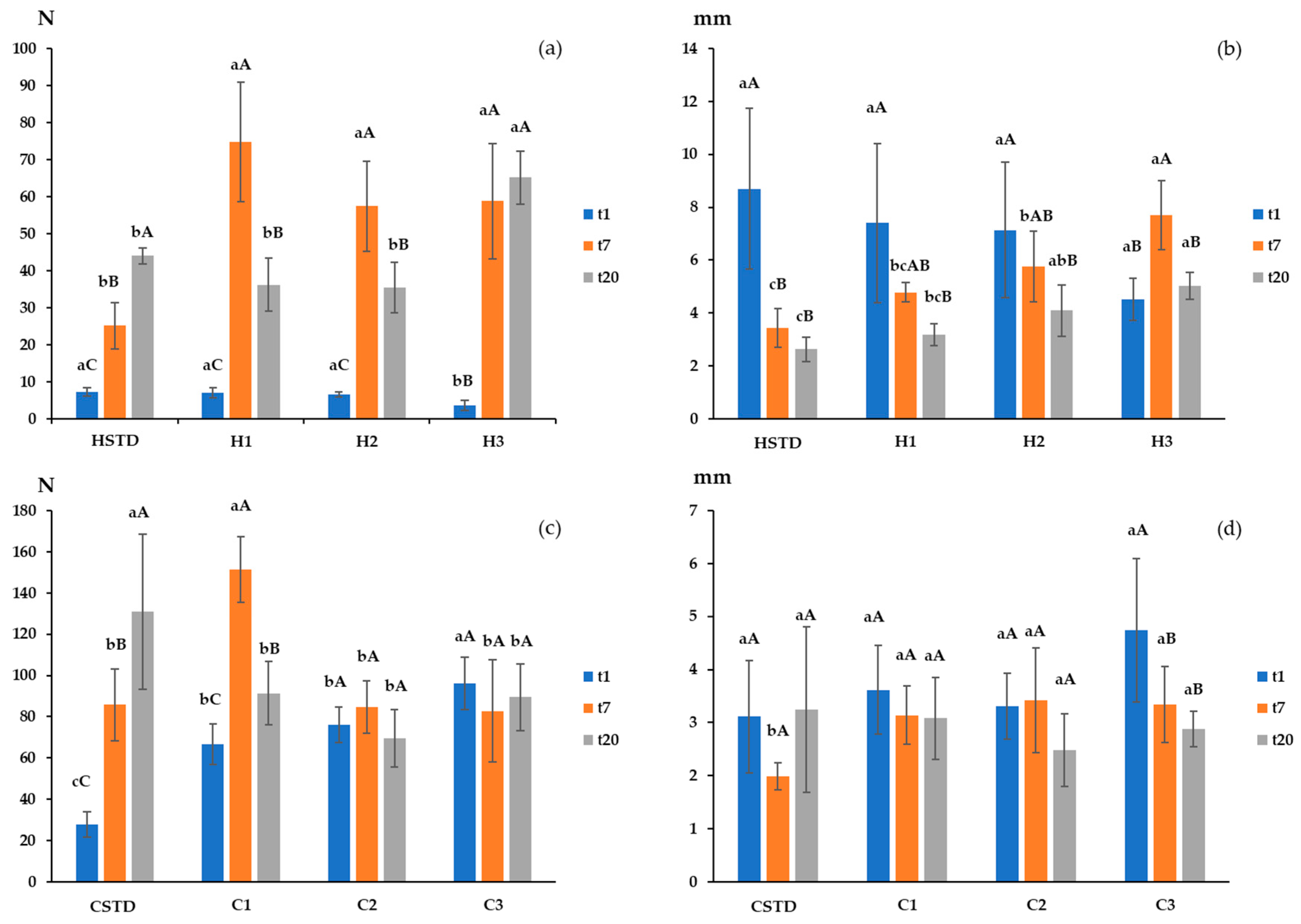
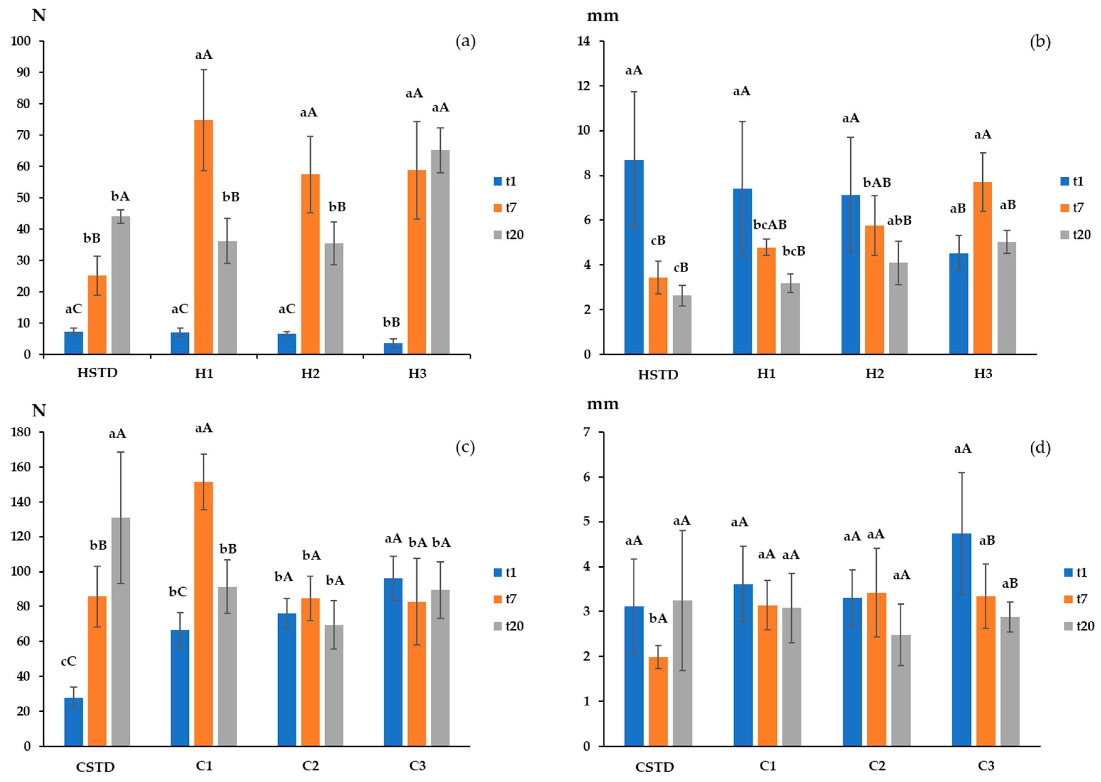
3.3. Texture
3.4. Color
3.5. Liking and Purchasing Intent
3.6. Sensory Attributes
3.7. CATA Test
4. Conclusions and Future Research
Author Contributions
Funding
Institutional Review Board Statement
Informed Consent Statement
Data Availability Statement
Conflicts of Interest
References
- Oliver, G.; Colicchio, T. The Oxford Companion to Beer; Oxford University Press: Oxford, UK, 2011; ISBN 9780195367133. [Google Scholar]
- Wunderlich, S.; Back, W. Overview of Manufacturing Beer: Ingredients, Processes, and Quality Criteria. In Beer in Health and Disease Prevention; Elsevier: Amsterdam, The Netherlands, 2009; pp. 3–16. [Google Scholar]
- Colen, L.; Swinnen, J. Economic Growth, Globalisation and Beer Consumption. J. Agric. Econ. 2016, 67, 186–207. [Google Scholar] [CrossRef]
- Garavaglia, C. The Emergence of Italian Craft Breweries and the Development of Their Local Identity. In The Geography of Beer; Springer International Publishing: Cham, Switzerland, 2020; pp. 135–147. [Google Scholar]
- Chetrariu, A.; Dabija, A. Brewer’s Spent Grains: Possibilities of Valorization, a Review. Appl. Sci. 2020, 10, 5619. [Google Scholar] [CrossRef]
- Kok, Y.J.; Ye, L.; Muller, J.; Ow, D.S.-W.; Bi, X. Brewing with Malted Barley or Raw Barley: What Makes the Difference in the Processes? Appl. Microbiol. Biotechnol. 2019, 103, 1059–1067. [Google Scholar] [CrossRef] [PubMed]
- Mussatto, S.I.; Dragone, G.; Roberto, I.C. Brewers’ Spent Grain: Generation, Characteristics and Potential Applications. J. Cereal Sci. 2006, 43, 1–14. [Google Scholar] [CrossRef]
- Ikram, S.; Huang, L.; Zhang, H.; Wang, J.; Yin, M. Composition and Nutrient Value Proposition of Brewers Spent Grain. J. Food Sci. 2017, 82, 2232–2242. [Google Scholar] [CrossRef] [PubMed]
- Lynch, K.M.; Steffen, E.J.; Arendt, E.K. Brewers’ Spent Grain: A Review with an Emphasis on Food and Health. J. Inst. Brew. 2016, 122, 553–568. [Google Scholar] [CrossRef]
- Parchami, M.; Mahboubi, A.; Agnihotri, S.; Taherzadeh, M.J. Biovalorization of Brewer’s Spent Grain as Single-Cell Protein through Coupling Organosolv Pretreatment and Fungal Cultivation. Waste Manag. 2023, 169, 382–391. [Google Scholar] [CrossRef]
- Tsitsou, S.; Athanasaki, C.; Dimitriadis, G.; Papakonstantinou, E. Acute Effects of Dietary Fiber in Starchy Foods on Glycemic and Insulinemic Responses: A Systematic Review of Randomized Controlled Crossover Trials. Nutrients 2023, 15, 2383. [Google Scholar] [CrossRef] [PubMed]
- Chetrariu, A.; Dabija, A. Spent Grain: A Functional Ingredient for Food Applications. Foods 2023, 12, 1533. [Google Scholar] [CrossRef]
- Waters, D.M.; Jacob, F.; Titze, J.; Arendt, E.K.; Zannini, E. Fibre, Protein and Mineral Fortification of Wheat Bread through Milled and Fermented Brewer’s Spent Grain Enrichment. Eur. Food Res. Technol. 2012, 235, 767–778. [Google Scholar] [CrossRef]
- Guo, M.; Du, J.; Zhang, Z.; Zhang, K.; Jin, Y. Optimization of Brewer’s Spent Grain-Enriched Biscuits Processing Formula. J. Food Process Eng. 2014, 37, 122–130. [Google Scholar] [CrossRef]
- Cuomo, F.; Trivisonno, M.C.; Iacovino, S.; Messia, M.C.; Marconi, E. Sustainable Re-Use of Brewer’s Spent Grain for the Production of High Protein and Fibre Pasta. Foods 2022, 11, 642. [Google Scholar] [CrossRef]
- Cecchi, L.; Schuster, N.; Flynn, D.; Bechtel, R.; Bellumori, M.; Innocenti, M.; Mulinacci, N.; Guinard, J.-X. Sensory Profiling and Consumer Acceptance of Pasta, Bread, and Granola Bar Fortified with Dried Olive Pomace (Pâté): A Byproduct from Virgin Olive Oil Production. J. Food Sci. 2019, 84, 2995–3008. [Google Scholar] [CrossRef] [PubMed]
- Hughes, B.H.; Muzzy, H.M.; Laliberte, L.C.; Grenier, H.S.; Perkins, L.B.; Skonberg, D.I. Oxidative Stability and Consumer Acceptance of Fish Oil Fortified Nutrition Bars. J. Food Sci. 2012, 77, S329–S334. [Google Scholar] [CrossRef]
- Boukid, F.; Klerks, M.; Pellegrini, N.; Fogliano, V.; Sanchez-Siles, L.; Roman, S.; Vittadini, E. Current and Emerging Trends in Cereal Snack Bars: Implications for New Product Development. Int. J. Food Sci. Nutr. 2022, 73, 610–629. [Google Scholar] [CrossRef]
- Grasso, S. Extruded Snacks from Industrial By-Products: A Review. Trends Food Sci. Technol. 2020, 99, 284–294. [Google Scholar] [CrossRef]
- Bchir, B.; Jean-Francois, T.; Rabetafika, H.N.; Blecker, C. Effect of Pear Apple and Date Fibres Incorporation on the Physico-Chemical, Sensory, Nutritional Characteristics and the Acceptability of Cereal Bars. Food Sci. Technol. Int. 2018, 24, 198–208. [Google Scholar] [CrossRef]
- Combest, S.; Warren, C. Perceptions of College Students in Consuming Whole Grain Foods Made with Brewers’ Spent Grain. Food Sci. Nutr. 2019, 7, 225–237. [Google Scholar] [CrossRef]
- Stelick, A.; Sogari, G.; Rodolfi, M.; Dando, R.; Paciulli, M. Impact of Sustainability and Nutritional Messaging on Italian Consumers’ Purchase Intent of Cereal Bars Made with Brewery Spent Grains. J. Food Sci. 2021, 86, 531–539. [Google Scholar] [CrossRef]
- Aschemann-Witzel, J.; Asioli, D.; Banovic, M.; Perito, M.A.; Peschel, A.O. Consumer Understanding of Upcycled Foods—Exploring Consumer-Created Associations and Concept Explanations across Five Countries. Food Qual. Prefer. 2023, 112, 105033. [Google Scholar] [CrossRef]
- Curutchet, A.; Serantes, M.; Pontet, C.; Prisco, F.; Arcia, P.; Barg, G.; Menendez, J.A.; Tárrega, A. Sensory Features Introduced by Brewery Spent Grain with Impact on Consumers’ Motivations and Emotions for Fibre-Enriched Products. Foods 2022, 11, 36. [Google Scholar] [CrossRef] [PubMed]
- National Institutes of Health (NIH). Methods of Analysis Used for Chemical Control of Food of the National Institutes of Health; Report ISTISAN 96/34. Ed.; Istituto Superiore di Sanità: Rome, Italy, 1996. [Google Scholar]
- ISO Standard No. 1871:2009; Food and Feed Products—General Guidelines for the Determination of Nitrogen by the Kjeldahl Method. International Organization for Standardization: Geneva, Switzerland, 2009.
- AOAC Official Method 985.29. Total Dietary Fiber in Foods, First Action 1985 and Final Action 1986.
- EC/152/2009; Commission Regulation (EC) No 152/2009 of 27 January 2009, Laying Down the Methods of Sampling and Analysis for the Official Control of Feed. Method M. Determination of Crude Ash. European Commission: Brussels, Belgium, 2009.
- EC/152/2009; Commission Regulation (EC) No 152/2009 of 27 January 2009, Laying Down the Methods of Sampling and Analysis for the Official Control of Feed. Method J. Determination of Sugar. European Commission: Brussels, Belgium, 2009.
- Association of Analytical Chemistry (AOAC). Method 982.30: Determination of the Amino Acid Profile, 15th ed.; Official Methods of Analysis: Washington, DC, USA, 1990. [Google Scholar]
- ISO Standard No. 5509:1998; Animal and Vegetable Fats and Oils—Preparation of Methyl Esters of Fatty Acids. International Organization for Standardization: Geneva, Switzerland, 1998.
- ISO Standard No. 5508:1998; Animal and Vegetable Fats and Oils—Analysis by Gas Chromatography of Methyl Esters of Fatty Acids. International Organization for Standardization: Geneva, Switzerland, 1998.
- ISO Standard No. 6869:2000; Animal Feeding Stuffs—Determination of the Contents of Calcium, Copper, Iron, Magnesium, Manganese, Potassium, Sodium and Zinc. Method Using Atomic Absorption Spectrometry. International Organization for Standardization: Geneva, Switzerland, 2001.
- Sim, H.-J.; Kim, B.; Lee, J. A Systematic Approach for the Determination of B-Group Vitamins in Multivitamin Dietary Supplements by High-Performance Liquid Chromatography with Diode-Array Detection and Mass Spectrometry. J. AOAC Int. 2016, 99, 1223–1232. [Google Scholar] [CrossRef] [PubMed]
- Wedmore, E.B. The Accurate Determination of the Water Content of Honeys: Part, I. Introduction and Results. Bee World 1955, 36, 197–206. [Google Scholar] [CrossRef]
- Kim, E.H.-J.; Corrigan, V.K.; Hedderley, D.I.; Motoi, L.; Wilson, A.J.; Morgenstern, M.P. Predicting the Sensory Texture of Cereal Snack Bars Using Instrumental Measurements. J. Texture Stud. 2009, 40, 457–481. [Google Scholar] [CrossRef]
- Mintel 43% of US Cereal Consumers Eat Cereal as a Snack at Home. Available online: https://www.mintel.com/press-centre/43-of-us-cereal-consumers-eat-cereal-as-a-snack-at-home/ (accessed on 6 June 2024).
- Urala, N.; Lähteenmäki, L. Hedonic Ratings and Perceived Healthiness in Experimental Functional Food Choices. Appetite 2006, 47, 302–314. [Google Scholar] [CrossRef]
- Jones, L.V.; Peryam, D.R.; Thurstone, L.L. Development of a Scale for Measuring Soldiers’food Preferences. J. Food Sci. 1955, 20, 512–520. [Google Scholar] [CrossRef]
- Ares, G.; Jaeger, S.R. Check-All-That-Apply Questions: Influence of Attribute Order on Sensory Product Characterization. Food Qual. Prefer. 2013, 28, 141–153. [Google Scholar] [CrossRef]
- Dooley, L.; Lee, Y.; Meullenet, J.-F. The Application of Check-All-That-Apply (CATA) Consumer Profiling to Preference Mapping of Vanilla Ice Cream and Its Comparison to Classical External Preference Mapping. Food Qual. Prefer. 2010, 21, 394–401. [Google Scholar] [CrossRef]
- Lafarga, T.; Acién-Fernández, F.G.; Castellari, M.; Villaró, S.; Bobo, G.; Aguiló-Aguayo, I. Effect of Microalgae Incorporation on the Physicochemical, Nutritional, and Sensorial Properties of an Innovative Broccoli Soup. LWT 2019, 111, 167–174. [Google Scholar] [CrossRef]
- R Core Team. R: A Language and Environment for Statistical Computing; R Foundation for Statistical Computing: Vienna, Austria, 2023. [Google Scholar]
- Santos, M.V.; Ranalli, N.; Orjuela-Palacio, J.; Zaritzky, N. Brewers Spent Grain Drying: Drying Kinetics, Moisture Sorption Isotherms, Bioactive Compounds Stability and Bacillus Cereus Lethality during Thermal Treatment. J. Food Eng. 2024, 364, 111796. [Google Scholar] [CrossRef]
- de Paula, M.; Latorres, J.M.; Martins, V.G. Potential Valorization Opportunities for Brewer’s Spent Grain. Eur. Food Res. Technol. 2023, 249, 2471–2483. [Google Scholar] [CrossRef]
- Mahmudiono, T.; Haliman, C.D. B Vitamins. In Handbook of Food Bioactive Ingredients; Springer International Publishing: Cham, Switzerland, 2023; pp. 1209–1239. [Google Scholar]
- Fărcaș, A.C.; Socaci, S.A.; Chiș, M.S.; Martínez-Monzó, J.; García-Segovia, P.; Becze, A.; Török, A.I.; Cadar, O.; Coldea, T.E.; Igual, M. In Vitro Digestibility of Minerals and B Group Vitamins from Different Brewers’ Spent Grains. Nutrients 2022, 14, 3512. [Google Scholar] [CrossRef]
- EFSA Panel on Dietetic Products, Nutrition, and Allergies (NDA). Scientific Opinion on Dietary Reference Values for Carbohydrates and Dietary Fibre. EFSA J. 2010, 8, 1462. [Google Scholar] [CrossRef]
- Su-Ah, J.; Ahmed, M.; Eun, J. Physicochemical Characteristics, Textural Properties, and Sensory Attributes of Low-calorie Cereal Bar Enhanced with Different Levels of Saccharin during Storage. J. Food Process. Preserv. 2018, 42, e13486. [Google Scholar] [CrossRef]
- Farcas, A.C.; Socaci, S.A.; Chiș, M.S.; Pop, O.L.; Fogarasi, M.; Păucean, A.; Igual, M.; Michiu, D. Reintegration of Brewers Spent Grains in the Food Chain: Nutritional, Functional and Sensorial Aspects. Plants 2021, 10, 2504. [Google Scholar] [CrossRef] [PubMed]
- Odeseye, A.A.; Awonorin, S.O.; Abdussalaam, R.O.; Sanni, L.O.; Olayanju, T.M.A. The Effect of Processing Variables on the Biscuit-Making Potential of Cocoyam-Brewer’s Spent Grain Flour Blends. Croat. J. Food Sci. Technol. 2020, 12, 56–66. [Google Scholar] [CrossRef]
- Paciulli, M.; Littardi, P.; Carini, E.; Paradiso, V.M.; Castellino, M.; Chiavaro, E. Inulin-Based Emulsion Filled Gel as Fat Replacer in Shortbread Cookies: Effects during Storage. LWT 2020, 133, 109888. [Google Scholar] [CrossRef]
- Ribeiro, A.E.C.; Oliveira, A.R.; Silva, A.C.M.d.; Garcia, M.C.; Ribeiro, K.d.O.; Caliari, M.; Soares Júnior, M.S. High Fiber Content Snack Bars Made with Maize Biomass Flour, Rice Flakes and Oat Flakes: Physicochemical Properties and Sensory Acceptance. Food Sci. Technol. Int. 2023, 29, 181–191. [Google Scholar] [CrossRef] [PubMed]
- Ergun, R.; Lietha, R.; Hartel, R.W. Moisture and Shelf Life in Sugar Confections. Crit. Rev. Food Sci. Nutr. 2010, 50, 162–192. [Google Scholar] [CrossRef]
- Cheng, J.; Zheng, L.; Zhao, J.; Yu, M.; Cao, R.; Wang, D.; Li, J.; Zhou, L. Study on the Effect of Microwaved Brewer’s Spent Grains on the Quality and Flavor Characteristics of Bread. Foods 2024, 13, 461. [Google Scholar] [CrossRef]
- Aigster, A.; Duncan, S.E.; Conforti, F.D.; Barbeau, W.E. Physicochemical Properties and Sensory Attributes of Resistant Starch-Supplemented Granola Bars and Cereals. LWT-Food Sci. Technol. 2011, 44, 2159–2165. [Google Scholar] [CrossRef]
- Crofton, E.C.; Scannell, A.G.M. Snack Foods from Brewing Waste: Consumer-Led Approach to Developing Sustainable Snack Options. Br. Food J. 2020, 122, 3899–3916. [Google Scholar] [CrossRef]


| Honey Binding System | Ingredients | For 100 g Cereal Bar | For Each Cereal Bar (29.55 g) |
|---|---|---|---|
| H binder | Margarine (Conad) | 25.38 g | 7.50 g |
| Cane sugar (Eridania) | 12.69 g | 3.75 g | |
| Honey (Ambrosoli) | 6.77 g | 2.00 g | |
| Soy lecithin (Vital Nature) | 0.17 g | 0.05 g | |
| Water (T = 25 °C, Conad) | 4.23 g | 1.25 mL | |
| Chocolate Binding system | Ingredients | For 100 g cereal bar | For each cereal bar (32.30 g) |
| C binder | Margarine (Conad) | 23.22 g | 7.50 g |
| Cane sugar (Eridania) | 13.93 g | 4.50 g | |
| Sunflower oil (Conad) | 13.93 g | 4.50 g | |
| White chocolate (Conad) * | 6.20 g | 2.00 g | |
| Corn starch (Unilever) | 2.32 g | 0.75 g | |
| Soy lecithin (Vital Nature) | 0.15 g | 0.05 g | |
| Water (T = 25 °C, Conad) | 9.30 mL | 3.00 mL |
| Cereal Bar | BSG (g) | Puffed Rice (g) | Puffed Quinoa (g) | Oat Flakes (g) | Dried Fruits (g) | Total Solid Ingredients (g) |
|---|---|---|---|---|---|---|
| HSTD | 0 | 3.50 | 1.25 | 4.00 | 6.25 | 15.00 |
| H1 | 2.5 (8.46%) | 3.00 | 1.00 | 3.25 | 5.25 | 15.00 |
| H2 | 3.75 (12.69%) | 2.75 | 0.75 | 3.00 | 4.75 | 15.00 |
| H3 | 6.25 (21.15%) | 2.00 | 0.50 | 2.50 | 3.75 | 15.00 |
| CSTD | 0 | 4.00 | 1.00 | 2.50 | 2.50 | 10.00 |
| C1 | 1.25 (3.87%) | 3.50 | 1.25 | 2.00 | 2.00 | 10.00 |
| C2 | 2.50 (7.74%) | 3.00 | 1.00 | 1.75 | 1.75 | 10.00 |
| C3 | 5.00 (15.48%) | 2.00 | 0.50 | 1.25 | 1.25 | 10.00 |
| Macronutrients | g/100 g dm (%) |
|---|---|
| Fiber | 58.33 |
| Protein | 20.89 |
| Lipid | 13.11 |
| Saturated lipid | 3.40 |
| Unsaturated lipid | 9.23 |
| Carbohydrates | 4.80 |
| Of which sugars | 1.94 |
| Ash | 4.27 |
| Minerals | mg/kg dm |
| Na | 26.00 |
| Tot. P | 5638.00 |
| Ca | 4307.00 |
| Tot. S | 2398.00 |
| Mg | 2086.00 |
| K | 343.00 |
| Fe | 133.40 |
| Mn | 40.20 |
| Zn | 86.50 |
| Al | 136.15 |
| Cu | 8.40 |
| Co | 0.014 |
| Vitamins | mg/kg dm |
| Thiamine (B1 vitamin) | 2.52 |
| Riboflavin (B2 vitamin) | 0.29 |
| Cobalamin (B12 vitamin) | 0.05 |
| Pantothenic acid (B5 vitamin) | 0.18 |
| Pyridoxine (B6 vitamin) | 1.21 |
| PP vitamin (B3 vitamin) | |
| Nicotinic acid | 38.44 |
| Nicotinamide | 6.03 |
| Amino Acid (AA) | mg/100 g of BSG | mg/100 g Protein |
|---|---|---|
| Glucosammic acid | 0.000 | 0.00 |
| Aspartic acid | 0.336 | 7.91 |
| Serine + asparagine | 0.203 | 4.78 |
| Glutammic acid | 0.860 | 20.24 |
| Glycine | 0.174 | 4.09 |
| Istidine + glutamine | 0.091 | 2.14 |
| Arginine | 0.200 | 4.71 |
| Threonine | 0.148 | 3.48 |
| β-alanine | 0.004 | 0.09 |
| Alanine | 0.211 | 4.96 |
| Methionine sulfone | 0.000 | 0.00 |
| Proline | 0.357 | 8.40 |
| g-aminobutirric | 0.020 | 0.47 |
| Proline Bi | 0.000 | 0.00 |
| α-aminobutirric | 0.000 | 0.00 |
| Cysteine | 0.125 | 2.94 |
| Tyrosine | 0.050 | 1.18 |
| Valine | 0.229 | 5.39 |
| Methionine | 0.099 | 2.33 |
| Ornitine | 0.003 | 0.07 |
| Lysine | 0.195 | 4.59 |
| Iso-leucine | 0.141 | 3.32 |
| Leucine | 0.321 | 7.55 |
| Phenilalanine | 0.226 | 5.32 |
| Tryptophan | 0.002 | 0.05 |
| Total | 3.995 | 93.95 |
| Cereal Bars | Ingredient’s Fiber Content per 100 g Cereal Bar (g) | Grams of Fiber in 100 g Cereal Bar | Grams of Fiber per Cereal Bar | Nutrition Claim | ||||
|---|---|---|---|---|---|---|---|---|
| BSG | Puffed Rice | Puffed Quinoa | Oat Flakes | Dried Fruits | ||||
| HSTD | 0.00 | 0.39 | 0.15 | 1.49 | 1.18 | 3.21 | 0.95 | Fiber source |
| H1 | 4.93 | 0.34 | 0.12 | 1.21 | 0.99 | 7.59 | 2.24 | High fiber |
| H2 | 7.40 | 0.31 | 0.09 | 1.12 | 0.90 | 9.82 | 2.90 | High fiber |
| H3 | 12.34 | 0.22 | 0.06 | 0.93 | 0.71 | 14.26 | 4.21 | High fiber |
| CSTD | 0.00 | 0.41 | 0.11 | 0.85 | 0.43 | 1.80 | 0.58 | No claim |
| C1 | 2.26 | 0.36 | 0.14 | 0.68 | 0.35 | 3.78 | 1.22 | Fiber source |
| C2 | 4.51 | 0.31 | 0.11 | 0.60 | 0.30 | 5.83 | 1.88 | High fiber |
| C3 | 9.03 | 0.20 | 0.05 | 0.43 | 0.22 | 9.93 | 3.21 | High fiber |
| MC (%) | aw | |||||||||
|---|---|---|---|---|---|---|---|---|---|---|
| Binders | H | 70.73 ± 0.65 | C | 72.75 ± 1.10 | H | 0.35 ± 0.01 | C | 0.68 ± 0.01 | ||
| Cereal Bars | t1 | t7 | t20 | t1 | t7 | t20 | ||||
| HSTD | 9.99 ± 1.41 aA | 9.36 ± 1.05 aA | 7.77 ± 1.56 aA | 0.45 ± 0.03 aA | 0.40 ± 0.02 aB | 0.26 ± 0.00 bC | ||||
| H1 | 9.26 ± 0.92 aA | 6.60 ± 1.34 abB | 6.29 ± 0.57 aB | 0.44 ± 0.03 abA | 0.28 ± 0.01 bC | 0.36 ± 0.02 aB | ||||
| H2 | 8.22 ± 0.95 aA | 6.92 ± 0.87 abA | 6.56 ± 1.05 aA | 0.39 ± 0.01 bcA | 0.29 ± 0.01 bB | 0.37 ± 0.01 aA | ||||
| H3 | 8.07 ± 0.98 aA | 6.17 ± 0.94 bA | 6.05 ± 1.29 aA | 0.37 ± 0.00 cA | 0.29 ± 0.01 bC | 0.36 ± 0.01 aB | ||||
| CSTD | 10.91 ± 0.96 aA | 7.63 ± 2.37 aAB | 6.01 ± 0.58 aB | 0.73 ± 0.02 aA | 0.62 ± 0.04 aB | 0.29 ± 0.01 bC | ||||
| C1 | 9.06 ± 0.22 bA | 4.84 ± 0.28 abB | 4.17 ± 1.16 abB | 0.60 ± 0.06 abA | 0.51 ± 0.08 aA | 0.29 ± 0.01 bB | ||||
| C2 | 8.31 ± 0.75 bA | 4.97 ± 1.14 abB | 4.65 ± 1.45 abB | 0.59 ± 0.08 bcA | 0.25 ± 0.02 bB | 0.31 ± 0.01 aB | ||||
| C3 | 6.67 ± 0.17 cA | 3.90 ± 0.54 bB | 3.02 ± 0.92 bB | 0.45 ± 0.04 cA | 0.23 ± 0.02 bC | 0.30 ± 0.01 abB | ||||
| L* | a* | b* | ΔEtime | ΔEformulation | |
|---|---|---|---|---|---|
| HSTD-t1 | 64.09 ± 3.34 aA | 2.36 ± 0.82 aA | 28.49 ± 1.36 aA | - | - |
| H1-t1 | 51.67 ± 3.36 bB | 1.51 ± 0.24 bA | 23.75 ± 0.81 bB | - | 13.35 ± 3.37 |
| H2-t1 | 53.27 ± 3.48 bA | 1.57 ± 0.36 abA | 24.10 ± 0.92 bA | - | 11.74 ± 3.53 |
| H3-t1 | 49.13 ± 1.51 bA | 1.60 ± 0.37 abA | 22.90 ± 0.36 bA | - | 16.00 ± 1.51 |
| HSTD-t7 | 65.19 ± 2.64 aA | 1.98 ± 0.44 aA | 28.76 ± 0.89 aA | 2.40 ± 1.65 | - |
| H1-t7 | 54.48 ± 1.08 bAB | 1.28 ± 0.63 abA | 25.17 ± 0.57 bA | 3.30 ± 0.90 | 11.35 ± 0.92 |
| H2-t7 | 53.23 ± 2.99 bA | 1.42 ± 0.62 abA | 24.16 ± 0.72 bA | 2.35 ± 1.80 | 12.85 ± 3.02 |
| H3-t7 | 43.93 ± 1.88 cB | 0.98 ± 0.37 bB | 22.05 ± 0.85 cAB | 5.34 ± 1.99 | 22.32 ± 2.05 |
| HSTD-t20 | 61.07 ± 2.51 aA | 1.58 ± 0.63 aA | 26.84 ± 0.94 aB | 4.01 ± 1.83 | - |
| H1-t20 | 56.76 ± 2.34 abA | 1.47 ± 0.27 aA | 25.13 ± 0.78 bA | 5.33 ± 2.34 | 4.79 ± 2.09 |
| H2-t20 | 53.19 ± 1.66 bA | 1.09 ± 0.09 abA | 23.96 ± 0.54 bA | 1.54 ± 0.48 | 8.42 ± 1.65 |
| H3-t20 | 44.09 ± 2.89 cB | 0.60 ± 0.26 bB | 21.54 ± 0.43 cB | 5.38 ± 2.80 | 17.83 ± 2.85 |
| L* | a* | b* | ΔEtime | ΔEformulation | |
| CSTD-t1 | 62.55 ± 1.61 aA | 1.62 ± 0.34 aA | 28.22 ± 0.43 aA | - | - |
| C1-t1 | 56.85 ± 2.23 bA | 0.89 ± 0.14 bA | 24.56 ± 0.84 bA | - | 6.87 ± 2.20 |
| C2-t1 | 55.11 ± 2.47 bA | 0.57 ± 0.19 bcA | 23.21 ± 0.60 cA | - | 9.10 ± 2.26 |
| C3-t1 | 47.56 ± 2.37 cA | 0.31 ± 0.26 cA | 21.19 ± 0.60 dA | - | 16.62 ± 2.34 |
| CSTD-t7 | 64.57 ± 1.56 aA | 1.63 ± 0.45 aA | 28.49 ± 0.81 aA | 2.22 ± 1.53 | - |
| C1-t7 | 58.22 ± 1.83 bA | 0.64 ± 0.36 abA | 24.43 ± 0.82 bA | 2.17 ± 0.91 | 7.65 ± 1.80 |
| C2-t7 | 53.93 ± 3.52 bA | 0.05 ± 0.34 abA | 22.04 ± 0.57 bAB | 2.35 ± 1.95 | 12.67 ± 3.01 |
| C3-t7 | 46.48 ± 2.65 cA | 0.37 ± 0.25 bA | 21.07 ± 0.91 cA | 2.37 ± 1.61 | 19.60 ± 2.74 |
| CSTD-t20 | 65.19 ± 2.44 aA | 1.71 ± 0.46 aA | 28.22 ± 0.72 aA | 3.00 ± 2.07 | - |
| C1-t20 | 55.53 ± 1.58 bA | 0.93 ± 0.30 bA | 24.08 ± 0.50 bA | 1.66 ± 1.38 | 10.55 ± 1.57 |
| C2-t20 | 52.35 ± 3.44 bA | 0.18 ± 0.58 cA | 21.80 ± 1.13 cB | 4.16 ± 2.09 | 14.47 ± 3.54 |
| C3-t20 | 47.49 ± 2.09 cA | 0.39 ± 0.14 bcA | 20.60 ± 0.47 cA | 1.79 ± 1.09 | 19.33 ± 2.03 |
| Variable | Blind | Informed | ||
|---|---|---|---|---|
| H2-t20 | C2-t20 | H2-t20 | C2-t20 | |
| Expected liking | 4.07 ± 1.17 aB | 4.29 ± 1.19 aB | 4.49 ± 0.98 aB | 4.54 ± 1.07 aB |
| Actual liking | 5.05 ± 1.41 aA | 5.37 ± 1.04 aA | 5.20 ± 1.12 aA | 5.23 ± 1.44 aA |
| Product/ Sensory Attributes | Blind | Informed | ||
|---|---|---|---|---|
| H2-t20 | C2-t20 | H2-t20 | C2-t20 | |
| Aspect | 4.73 ± 1.57 bA | 5.22 ± 1.64 aA | 5.20 ± 1.89 aA | 5.26 ± 1.74 aA |
| Color | 4.73 ± 1.55 bA | 5.22 ± 1.67 aA | 5.14 ± 1.57 aA | 5.06 ± 1.51 aA |
| Texture | 6.10 ± 1.66 aA | 6.34 ± 1.24 aA | 6.03 ± 1.40 aA | 6.09 ± 1.52 aA |
| Crunchiness | 6.34 ± 1.74 aA | 6.81 ± 1.25 aA | 5.94 ± 1.70 aA | 6.49 ± 1.70 aA |
| Chewiness | 5.68 ± 1.76 aA | 6.20 ± 1.32 aA | 6.00 ± 1.83 aA | 6.09 ± 1.58 aA |
| Adhesiveness | 5.42 ± 1.55 aA | 5.63 ± 1.24 aA | 5.89 ± 1.41 aA | 5.77 ± 1.46 aA |
| Taste | 6.49 ± 1.86 aA | 6.54 ± 1.42 aA | 6.80 ± 1.17 aA | 6.37 ± 1.95 aA |
| Sweetness | 6.51 ± 1.49 aA | 6.22 ± 1.48 aA | 6.77 ± 1.53 aA | 6.03 ± 1.72 aA |
| Smell | 4.83 ± 1.83 aA | 5.22 ± 1.57 aA | 4.97 ± 1.90 aA | 5.00 ± 1.72 aA |
| Product Descriptors | Blind | Informed | ||
|---|---|---|---|---|
| H2-t20 | C2-t20 | H2-t20 | C2-t20 | |
| Crunchy | 0. 561 a | 0. 732 a | 0.457 b | 0.743 a |
| Sweet | 0. 488 b | 0.805 a | 0.429 b | 0.743 a |
| Natural | 0.683 a | 0.488 b | 0.543 a | 0.429 a |
| Tasty | 0.366 a | 0.317 a | 0.371 a | 0.314 a |
| Healthy | 0.659 a | 0.488 b | 0.543 a | 0.514 a |
| Gummy | 0.146 a | 0.146 a | 0.200 a | 0.086 a |
| Soft | 0.195 a | 0.146 a | 0.200 a | 0 b |
| Sticky | 0.268 a | 0.268 a | 0.143 a | 0.143 a |
| Artificial | 0.024 a | 0.098 a | 0 b | 0.086 a |
| Colored | 0.024 a | 0.024 a | 0.114 a | 0.029 a |
| Intriguing | 0.171 a | 0.171 a | 0.143 a | 0.114 a |
| Practical | 0.220 a | 0.317 a | 0.229 a | 0.200 a |
| Unpleasant | 0.122 a | 0.049 a | 0.086 a | 0.143 a |
| Bland | 0.073 a | 0.073 a | 0.057 a | 0 a |
Disclaimer/Publisher’s Note: The statements, opinions and data contained in all publications are solely those of the individual author(s) and contributor(s) and not of MDPI and/or the editor(s). MDPI and/or the editor(s) disclaim responsibility for any injury to people or property resulting from any ideas, methods, instructions or products referred to in the content. |
© 2024 by the authors. Licensee MDPI, Basel, Switzerland. This article is an open access article distributed under the terms and conditions of the Creative Commons Attribution (CC BY) license (https://creativecommons.org/licenses/by/4.0/).
Share and Cite
Paciulli, M.; Sogari, G.; Rodolfi, M.; Parenti, O.; Andreani, G.; Chiavaro, E. Fostering Circular Economy: Brewing By-Products as Innovative Ingredients for Cereal Bar Formulation. Foods 2024, 13, 2355. https://doi.org/10.3390/foods13152355
Paciulli M, Sogari G, Rodolfi M, Parenti O, Andreani G, Chiavaro E. Fostering Circular Economy: Brewing By-Products as Innovative Ingredients for Cereal Bar Formulation. Foods. 2024; 13(15):2355. https://doi.org/10.3390/foods13152355
Chicago/Turabian StylePaciulli, Maria, Giovanni Sogari, Margherita Rodolfi, Ottavia Parenti, Giulia Andreani, and Emma Chiavaro. 2024. "Fostering Circular Economy: Brewing By-Products as Innovative Ingredients for Cereal Bar Formulation" Foods 13, no. 15: 2355. https://doi.org/10.3390/foods13152355
APA StylePaciulli, M., Sogari, G., Rodolfi, M., Parenti, O., Andreani, G., & Chiavaro, E. (2024). Fostering Circular Economy: Brewing By-Products as Innovative Ingredients for Cereal Bar Formulation. Foods, 13(15), 2355. https://doi.org/10.3390/foods13152355

