Replacement of Native with Malted Triticale (x Triticosecale Wittmack) Flour in Dry Pasta: Technological and Nutritional Implications
Abstract
1. Introduction
2. Materials and Methods
2.1. Raw Materials and Ingredient Preparation
2.2. Pasta Preparation
2.3. Chemical Composition of Pasta
2.4. Pasta Quality, Texture, and Thermal Properties
2.5. In Vitro Starch and Protein Digestion of Cooked Pasta
2.6. Statistical Analysis
3. Results and Discussion
3.1. Changes in the Chemical Composition of Flour and Pasta Samples
3.2. Pasta Cooking Quality, and Texture, Thermal, and Surface Color Properties of Spaghetti
3.3. In Vitro Starch and Protein Digestion of Cooked Pasta
4. Conclusions
Author Contributions
Funding
Institutional Review Board Statement
Informed Consent Statement
Data Availability Statement
Conflicts of Interest
References
- Zhu, F. Triticale: Nutritional composition and food uses. Food Chem. 2018, 241, 468–479. [Google Scholar] [CrossRef] [PubMed]
- Kamanova, S.; Yermekov, Y.; Shah, K.; Mulati, A.; Liu, X.; Bulashev, B.; Toimbayeva, D.; Ospankulova, G. Review on nutritional benefits of tritical. Czech J. Food Sci. 2023, 41, 248–262. [Google Scholar] [CrossRef]
- Pattison, A.L.; Trethowan, R.M. Characteristics of modern triticale quality: Commercially significant flour traits and cookie quality. Crop. Pasture Sci. 2013, 64, 874–880. [Google Scholar] [CrossRef]
- Tohver, M.; Kann, A.; Täht, R.; Mihhalevski, A.; Hakman, J. Quality of triticale cultivars suitable for growing and bread-making in northern conditions. Food Chem. 2005, 89, 125–132. [Google Scholar] [CrossRef]
- Piazza, I.; Carnevali, P.; Faccini, N.; Baronchelli, M.; Terzi, V.; Morcia, C.; Ghizzoni, R.; Patrone, V.; Morelli, L.; Cervini, M.; et al. Combining native and malted triticale flours in biscuits: Nutritional and technological implications. Foods 2023, 12, 3418. [Google Scholar] [CrossRef]
- Fox, G.P.; Bettenhausen, H.M. Variation in quality of grains used in malting and brewing. Front. Plant Sci. 2023, 14, 1172028. [Google Scholar] [CrossRef] [PubMed]
- Benincasa, P.; Falcinelli, B.; Lutts, S.; Stagnari, F.; Galieni, A. Sprouted grains: A comprehensive review. Nutrients 2019, 11, 421. [Google Scholar] [CrossRef] [PubMed]
- Ikram, A.; Saeed, F.; Arshad, M.U.; Afzaal, M.; Anjum, F.M. Structural and nutritional portrayal of rye-supplemented bread using fourier transform infrared spectroscopy and scanning electron microscopy. Food Sci. Nutr. 2021, 9, 6314–6321. [Google Scholar] [CrossRef]
- Gunathunga, C.; Senanayake, S.; Jayasinghe, M.A.; Brennan, C.S.; Truong, T.; Marapana, U.; Chandrapala, J. Germination Effects on Nutritional Quality: A Comprehensive Review of Selected Cereal and Pulse Changes. J. Food Compos. Anal. 2024, 128, 106024. [Google Scholar] [CrossRef]
- Marti, A.; Cardone, G.; Pagani, M.A.; Casiraghi, M.C. Flour from sprouted wheat as a new ingredient in bread-making. LWT 2018, 89, 237–243. [Google Scholar] [CrossRef]
- Baranzelli, J.; Kringel, D.H.; Colussi, R.; Paiva, F.F.; Aranha, B.C.; de Miranda, M.Z.; Zavareze, E.D.R.; Dias, A.R.G. Changes in enzymatic activity, technological quality and gamma-aminobutyric acid (GABA) content of wheat flour as affected by germination. LWT 2018, 90, 483–490. [Google Scholar] [CrossRef]
- Grassi, S.; Cardone, G.; Bigagnoli, D.; Marti, A. Monitoring the sprouting process of wheat by non conventional approaches. J. Cereal Sci. 2018, 83, 180–187. [Google Scholar] [CrossRef]
- AOAC. Official Methods of Analysis, 17th ed.; The Association of Official Analytical Chemists: Gaithersburg, MD, USA, 2000. [Google Scholar]
- AACC International. Approved Methods of Analysis, 11th ed.; AACC International: St. Paul, MN, USA, 2010. [Google Scholar]
- Cervini, M.; Gabrielli, M.; Spigno, G.; Giuberti, G. Characterization of Durum-Wheat Pasta Containing Resistant Starch from Debranched Waxy Rice Starch. Foods 2023, 12, 327. [Google Scholar] [CrossRef]
- Englyst, K.N.; Englyst, H.N.; Hudson, G.J.; Cole, T.J.; Cummings, J.H. Rapidly available glucose in foods: An in vitro measurement that reflects the glycemic response. Am. J. Clin. Nutr. 1999, 69, 448–454. [Google Scholar] [CrossRef] [PubMed]
- Dodi, R.; Di Pede, G.; Scarpa, C.; Deon, V.; Dall’Asta, M.; Scazzina, F. Effect of the Pasta Making Process on Slowly Digestible Starch Content. Foods 2023, 12, 2064. [Google Scholar] [CrossRef]
- Suo, X.; Dall’Asta, M.; Giuberti, G.; Minucciani, M.; Wang, Z.; Vittadini, E. Effect of “shape” on technological properties and nutritional quality of chickpea-corn-rice gluten free pasta. LWT 2024, 192, 115661. [Google Scholar] [CrossRef]
- Majzoobi, M.; Wang, Z.; Teimouri, S.; Pematilleke, N.; Brennan, C.S.; Farahnaky, A. Unlocking the Potential of Sprouted Cereals, Pseudocereals, and Pulses in Combating Malnutrition. Foods 2023, 12, 3901. [Google Scholar] [CrossRef] [PubMed]
- Yang, B.; Yin, Y.; Liu, C.; Zhao, Z.; Guo, M. Effect of germination time on the compositional, functional and antioxidant properties of whole wheat malt and its end-use evaluation in cookie-making. Food Chem. 2021, 349, 129125. [Google Scholar] [CrossRef]
- Singh, A.K.; Rehal, J.; Kaur, A.; Jyot, G. Enhancement of attributes of cereals by germination and fermentation: A review. Crit. Rev. Food Sci. Nutr. 2015, 55, 1575–1589. [Google Scholar] [CrossRef]
- Nkhata, S.G.; Ayua, E.; Kamau, E.H.; Shingiro, J.B. Fermentation and germination Improve nutritional value of cereals and legumes through activation of endogenous enzymes. Food Sci. Nutr. 2018, 6, 2446–2458. [Google Scholar] [CrossRef] [PubMed]
- Augustin, L.S.A.; Aas, A.M.; Astrup, A.; Atkinson, F.S.; Baer-Sinnott, S.; Barclay, A.W.; Brand-Miller, J.C.; Brighenti, F.; Bullo, M.; Buyken, A.E.; et al. Dietary Fibre Consensus from the International Carbohydrate Quality Consortium (ICQC). Nutrients 2020, 12, 2553. [Google Scholar] [CrossRef]
- Ramezani, F.; Pourghazi, F.; Eslami, M.; Gholami, M.; Mohammadian Khonsari, N.; Ejtahed, H.S.; Larijani, B.; Qorbani, M. Dietary fiber intake and all-cause and cause-specific mortality: An updated systematic review and meta-analysis of prospective cohort studies. Clin. Nutr. 2024, 43, 65–83. [Google Scholar] [CrossRef] [PubMed]
- Fuad, T.; Prabhasankar, P. Role of ingredients in pasta product quality: A review on recent developments. Crit. Rev. Food Sci. Nutr. 2010, 50, 787–798. [Google Scholar] [CrossRef] [PubMed]
- Xing, B.; Zhang, Z.; Zhu, M.; Teng, C.; Zou, L.; Liu, R.; Zhang, L.; Yang, X.; Ren, G.; Qin, P. The gluten structure, starch digestibility and quality properties of pasta supplemented with native or germinated quinoa flour. Food Chem. 2023, 399, 133976. [Google Scholar] [CrossRef] [PubMed]
- Kömürcü, T.C.; Bilgiçli, N. Effect of germinated and heat-moisture treated ancient wheat on some quality attributes and bioactive components of noodles. Food Chem. 2023, 404, 134577. [Google Scholar] [CrossRef] [PubMed]
- Marti, A.; Pagani, M.A.; Seetharaman, K. Textural attributes of wheat and gluten free pasta. In Food Texture Design and Optimizatio; Wiley: Hoboken, NJ, USA, 2014; pp. 222–244. [Google Scholar] [CrossRef]
- Liu, C.; Jiang, X.; Wang, J.; Li, L.; Bian, K.; Guan, E.; Zheng, X. Effect of heat-moisture treatment of germinated wheat on the quality of Chinese white salted noodles. Cereal Chem. 2019, 96, 115–118. [Google Scholar] [CrossRef]
- Cardone, G.; D’Incecco, P.; Pagani, M.A.; Marti, A. Sprouting improves the bread-making performance of whole wheat flour (Triticum aestivum L.). J. Sci. Food Agric. 2020, 100, 2453–2459. [Google Scholar] [CrossRef] [PubMed]
- Manthey, F.A.; Schorno, A.L. Physical and cooking quality of spaghetti made from whole wheat durum. Cereal Chem. 2002, 79, 504–510. [Google Scholar] [CrossRef]
- Diamante, G.; Peressini, D.; Simonato, M.; Anese, M. Effect of continuous cooking on cooking water properties and pasta quality. J. Sci. Food Agric. 2019, 99, 3017–3023. [Google Scholar] [CrossRef] [PubMed]
- Del Nobile, M.A.; Baiano, A.; Conte, A.; Mocci, G. Influence of protein content on spaghetti cooking quality. J. Cereal Sci. 2005, 41, 347–356. [Google Scholar] [CrossRef]
- Namir, M.; Iskander, A.; Alyamani, A.; Sayed-Ahmed, E.T.A.; Saad, A.M.; Elsahy, K.; El-Tarabily, K.A.; Conte-Junior, C.A. Upgrading common wheat pasta by fiber-rich fraction of potato peel byproduct at different particle sizes: Effects on physicochemical, thermal, and sensory properties. Molecules 2022, 27, 2868. [Google Scholar] [CrossRef]
- Jribi, S.; Molnàr, H.; Antal, O.T.; Adànyi, N.; Kheriji, O.; Naàr, Z.; Debbabi, H. Zinc fortification as a tool for improving sprout hygienic and nutritional quality: A factorial design approach. J. Sci. Food Agric. 2019, 99, 5187–5194. [Google Scholar] [CrossRef]
- Li, C.; Oh, S.G.; Lee, D.H.; Baik, H.W.; Chung, H.J. Effect of germination on the structures and physicochemical properties of starches from brown rice, oat, sorghum, and millet. Int. J. Biol. Macromol. 2017, 105, 931–939. [Google Scholar] [CrossRef] [PubMed]
- Oseguera-Toledo, M.E.; Contreras-Jiménez, B.; Hernández-Becerra, E.; Rodriguez-Garcia, M.E. Physicochemical changes of starch during malting process of sorghum grain. J. Cereal Sci. 2020, 95, 103069. [Google Scholar] [CrossRef]
- Xu, M.; Jin, Z.; Simsek, S.; Hall, C.; Rao, J.; Chen, B. Effect of germination on the chemical composition, thermal, pasting, and moisture sorption properties of flours from chickpea, lentil, and yellow pea. Food Chem. 2019, 295, 579–587. [Google Scholar] [CrossRef] [PubMed]
- Cimini, A.; Poliziani, A.; Morgante, L.; Moresi, M. Use of malted pulses to formulate gluten-free fresh-egg pasta. Ital. J. Food Sci. 2024, 36, 105–115. [Google Scholar] [CrossRef]
- Khoddami, A.; Mohammadrezaei, M.; Roberts, T.H. Effects of sorghum malting on colour, major classes of phenolics and individual anthocyanins. Molecules 2017, 22, 1713. [Google Scholar] [CrossRef] [PubMed]
- Prado, R.; Gastl, M.; Becker, T. Aroma and color development during the production of Specialty malts: A review. Compr. Rev. Food Sci. Food Saf. 2021, 20, 4816–4840. [Google Scholar] [CrossRef] [PubMed]
- Englyst, K.N.; Hudson, G.J.; Englyst, H.N. Starch Analysis in Food. In Encyclopedia of Analytical Chemistry; Meyers, R.A., Ed.; Wiley Ltd.: Chichester, UK, 2000. [Google Scholar]
- Bojarczuk, A.; Skąpska, S.; Khaneghah, A.M.; Marszałek, K. Health benefits of resistant starch: A review of the literature. J. Funct. Foods 2022, 93, 105094. [Google Scholar] [CrossRef]
- EFSA Panel on Dietetic Products; Nutrition and Allergies (NDA Panel). Scientific Opinion on the substantiation of health claims related to resistant starch and reduction of post-prandial glycaemic responses (ID 681), “digestive health benefits” (ID 682) and “favours a normal colon metabolism” (ID 783) pursuant to Article 13 of Regulation (EC) No 1924/2006. EFSA J. 2011, 9, 2292. [Google Scholar] [CrossRef][Green Version]
- Wang, Y.; Zhou, X.; Xiang, X.; Miao, M. Association of Slowly Digestible Starch Intake with Reduction of Postprandial Glycemic Response: An Update Meta-Analysis. Foods 2022, 12, 89. [Google Scholar] [CrossRef]
- Goux, A.; Breyton, A.-E.; Meynier, A.; Lambert-Porcheron, S.; Sothier, M.; Berghe, L.V.D.; Brack, O.; Normand, S.; Disse, E.; Laville, M.; et al. Design and validation of a diet rich in slowly digestible starch for type 2 diabetic patients for significant improvement in glycemic profile. Nutrients 2020, 12, 2404. [Google Scholar] [CrossRef] [PubMed]
- Dodi, R.; Bresciani, L.; Biasini, B.; Cossu, M.; Scazzina, F.; Taddei, F.; D’Egidio, M.G.; Dall’Asta, M.; Martini, D. Traditional and Non-Conventional Pasta-Making Processes: Effect on In Vitro Starch Digestibility. Foods 2021, 10, 921. [Google Scholar] [CrossRef] [PubMed]
- Patterson, M.A.; Maiya, M.; Stewart, M.L. Resistant starch content in foods commonly consumed in the United States: A narrative review. J. Acad. Nutr. Diet. 2020, 120, 230–244. [Google Scholar] [CrossRef] [PubMed]
- Benítez, V.; Cantera, S.; Aguilera, Y.; Mollá, E.; Esteban, R.M.; Díaz, M.F.; Martín-Cabrejas, M.A. Impact of germination on starch, dietary fiber and physicochemical properties in non-conventional legumes. Food Res. Int. 2013, 50, 64–69. [Google Scholar] [CrossRef]
- Gallo, V.; Romano, A.; Masi, P. Does the presence of fibres affect the microstructure and in vitro starch digestibility of commercial Italian pasta? Food Struct. 2020, 24, 100139. [Google Scholar] [CrossRef]
- Ohanenye, I.C.; Tsopmo, A.; Ejike, C.E.; Udenigwe, C.C. Germination as a bioprocess for enhancing the quality and nutritional prospects of legume proteins. Trends Food Sci. Technol. 2020, 101, 213–222. [Google Scholar] [CrossRef]
- Gallego-Lobillo, P.; Ferreira-Lazarte, A.; Hernández-Hernández, O.; Villamiel, M. In vitro digestion of polysaccharides: InfoGest protocol and use of small intestinal extract from rat. Food Res. Int. 2021, 140, 110054. [Google Scholar] [CrossRef] [PubMed]
- Sharma, B.; Gujral, H.S. Modifying the dough mixing behavior, protein & starch digestibility and antinutritional profile of minor millets by sprouting. Int. J. Biol. Macromol. 2020, 153, 962–970. [Google Scholar] [CrossRef] [PubMed]
- Arribas, C.; Cabellos, B.; Sánchez, C.; Cuadrado, C.; Guillamón, E.; Pedrosa, M.M. The impact of extrusion on the nutritional composition, dietary fiber and in vitro digestibility of gluten free snacks based on rice, pea and carob flour blends. Food Funct. 2017, 8, 3654–3663. [Google Scholar] [CrossRef]

| Substitution with MT | √MSE | ||||
|---|---|---|---|---|---|
| Parameters (g/100 g) | CTR 1 | 25-MT 2 | 50-MT 3 | 75-MT 4 | |
| Moisture | 10.2 a | 10.1 a | 10.1 a | 10.2 a | 0.12 |
| Total starch | 62.2 d | 60.9 c | 59.7 b | 58.1 a | 1.43 |
| Sugars | 1.8 a | 2.1 ab | 2.3 b | 2.7 c | 0.31 |
| Protein | 12.8 a | 12.9 a | 13.0 a | 13.1 a | 0.96 |
| Lipid | 1.9 a | 2.0 a | 2.0 a | 2.0 a | 0.24 |
| Total dietary fiber | 9.3 a | 11.7 b | 13.0 c | 14.3 d | 2.11 |
| Soluble dietary fiber | 3.4 a | 4.1 b | 4.9 c | 5.6 d | 1.08 |
| Insoluble dietary fiber | 5.9 a | 7.6 b | 8.1 c | 8.6 d | 1.45 |
| Ash | 0.9 a | 0.9 a | 1.0 a | 0.9 a | 0.03 |
| Substitution with MT | √MSE | ||||
|---|---|---|---|---|---|
| CTR 1 | 25-MT 2 | 50-MT 3 | 75-MT 4 | ||
| Pasta quality | |||||
| Optimum cooking time (min) | 7.6 d | 7.3 c | 6.9 b | 6.7 a | 1.12 |
| Water absorption capacity (%) | 158.4 d | 149.3 c | 122.4 b | 109.3 a | 7.43 |
| Cooking loss (%) | 6.1 a | 6.3 a | 7.1 b | 7.5 c | 1.02 |
| Firmness (N) | 6.94 d | 6.12 c | 5.92 b | 5.04 a | 0.98 |
| Stickiness (N) | 2.1 a | 2.4 b | 3.0 c | 3.5 d | 0.85 |
| Thermal properties | |||||
| Onset temperature (°C) | 60.1 a | 61.7 b | 62.8 c | 63.1 c | 1.88 |
| Peak temperature (°C) | 66.4 a | 67.3 b | 67.9 c | 68.1 c | 2.12 |
| Conclusion temperature (°C) | 72.2 c | 71.9 b | 70.9 a | 70.5 a | 1.43 |
| Gelatinization enthalpy (J/g dry starch) | 5.8 c | 5.4 b | 5.2 a | 5.1 a | 0.63 |
| Substitution with MT | √MSE | ||||
|---|---|---|---|---|---|
| CTR 1 | 25-MT 2 | 50-MT 3 | 75-MT 4 | ||
| Uncooked samples | |||||
| Lightness L* | 67.6 d | 64.1 c | 60.4 b | 58.4 a | 2.78 |
| Redness a* | 4.4 a | 4.9 b | 5.8 c | 6.4 d | 1.64 |
| Yellowness b* | 17.4 a | 19.3 b | 21.2 c | 23.3 d | 2.32 |
| ∆E* | - | 5.4 | 7.1 | 9.9 | |
| Samples cooked to optimum | |||||
| Lightness L* | 71.3 d | 66.6 c | 64.1 b | 61.3 a | 2.66 |
| Redness a* | 3.2 a | 3.9 b | 4.6 c | 5.1 d | 1.01 |
| Yellowness b* | 14.3 a | 16.2 b | 18.2 c | 19.5 d | 1.84 |
| ∆E* | - | 4.9 | 6.1 | 6.5 | |
| Substitution with MT | √MSE | ||||
|---|---|---|---|---|---|
| CTR 1 | 25-MT 2 | 50-MT 3 | 75-MT 4 | ||
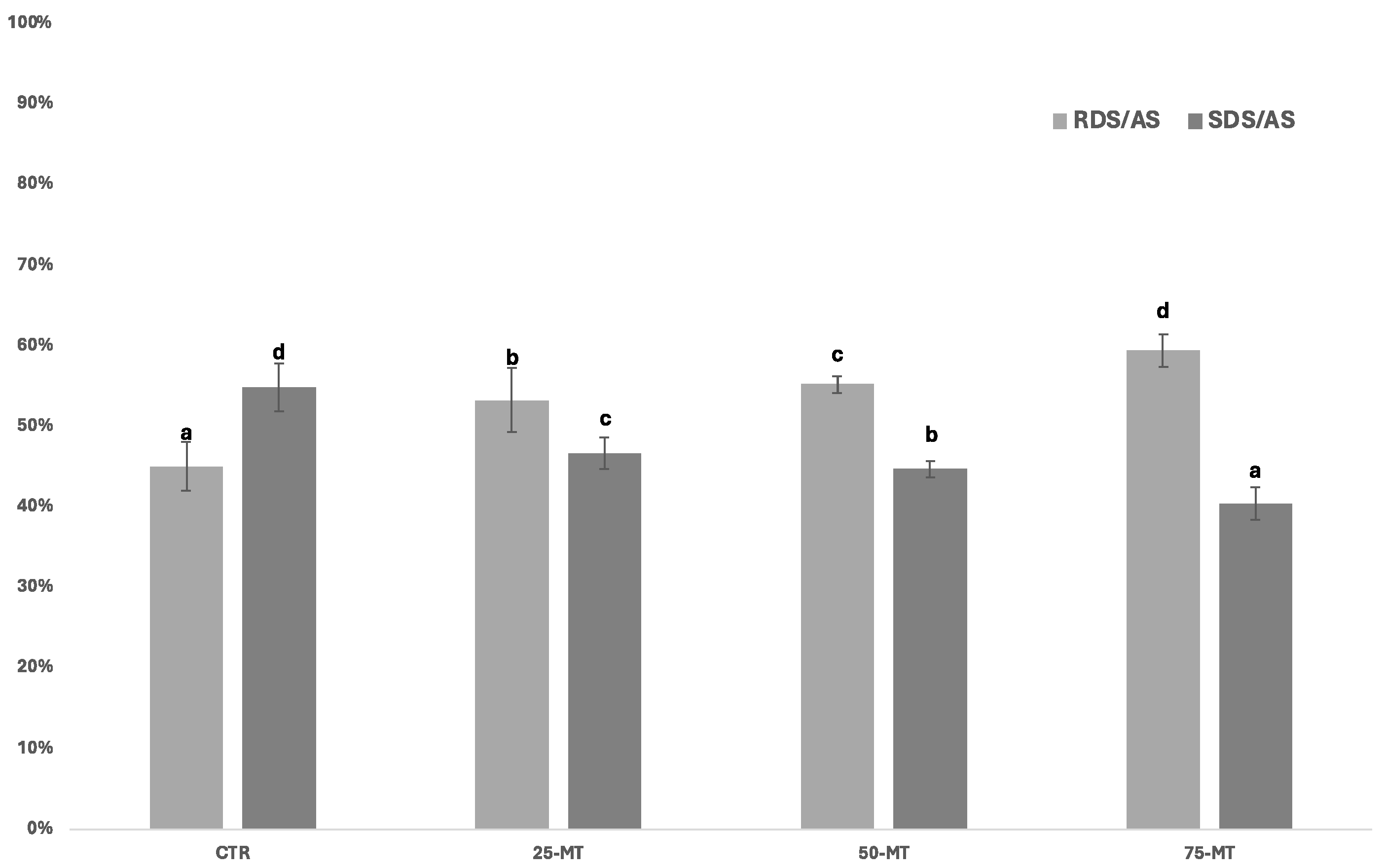
| Available starch (AS) | 29.7 b | 30.2 a | 30.4 a | 29.9 a | 3.01 |
| Rapidly digestible starch (RDS) | 13.4 a | 16.1 b | 16.8 c | 17.8 d | 2.12 |
| Slowly digestible starch (SDS) | 16.3 c | 14.1 b | 13.6 b | 12.1 a | 2.44 |
| RS | 3.0 c | 2.9 b | 2.6 a | 2.7 a | 1.12 |
| IVPD | 89.8 a | 90.1 a | 89.8 a | 92.7 b | 3.33 |
Disclaimer/Publisher’s Note: The statements, opinions and data contained in all publications are solely those of the individual author(s) and contributor(s) and not of MDPI and/or the editor(s). MDPI and/or the editor(s) disclaim responsibility for any injury to people or property resulting from any ideas, methods, instructions or products referred to in the content. |
© 2024 by the authors. Licensee MDPI, Basel, Switzerland. This article is an open access article distributed under the terms and conditions of the Creative Commons Attribution (CC BY) license (https://creativecommons.org/licenses/by/4.0/).
Share and Cite
Cervini, M.; Lobuono, C.; Volpe, F.; Curatolo, F.M.; Scazzina, F.; Dall’Asta, M.; Giuberti, G. Replacement of Native with Malted Triticale (x Triticosecale Wittmack) Flour in Dry Pasta: Technological and Nutritional Implications. Foods 2024, 13, 2315. https://doi.org/10.3390/foods13152315
Cervini M, Lobuono C, Volpe F, Curatolo FM, Scazzina F, Dall’Asta M, Giuberti G. Replacement of Native with Malted Triticale (x Triticosecale Wittmack) Flour in Dry Pasta: Technological and Nutritional Implications. Foods. 2024; 13(15):2315. https://doi.org/10.3390/foods13152315
Chicago/Turabian StyleCervini, Mariasole, Chiara Lobuono, Federica Volpe, Francesco Matteo Curatolo, Francesca Scazzina, Margherita Dall’Asta, and Gianluca Giuberti. 2024. "Replacement of Native with Malted Triticale (x Triticosecale Wittmack) Flour in Dry Pasta: Technological and Nutritional Implications" Foods 13, no. 15: 2315. https://doi.org/10.3390/foods13152315
APA StyleCervini, M., Lobuono, C., Volpe, F., Curatolo, F. M., Scazzina, F., Dall’Asta, M., & Giuberti, G. (2024). Replacement of Native with Malted Triticale (x Triticosecale Wittmack) Flour in Dry Pasta: Technological and Nutritional Implications. Foods, 13(15), 2315. https://doi.org/10.3390/foods13152315

