A Snapshot, Using a Multi-Omic Approach, of the Metabolic Cross-Talk and the Dynamics of the Resident Microbiota in Ripening Cheese Inoculated with Listeria innocua
Abstract
1. Introduction
2. Materials and Methods
2.1. Cheese Production
2.2. Contamination of Milk
2.3. Sampling of Cheese Wheels
2.4. Microbiological Analyses
2.4.1. Quantification of Mesophilic Microorganisms
2.4.2. Quantification of Lactic Acid Bacteria (LAB)
2.4.3. Quantification of L. innocua
2.5. RNA Extraction and Retrotranscription
2.6. rDNA16S Sequencing
2.7. Microbial Communities’ Analyses
2.8. DART-HRMS Analysis
2.9. Data Processing and Statistical Analysis
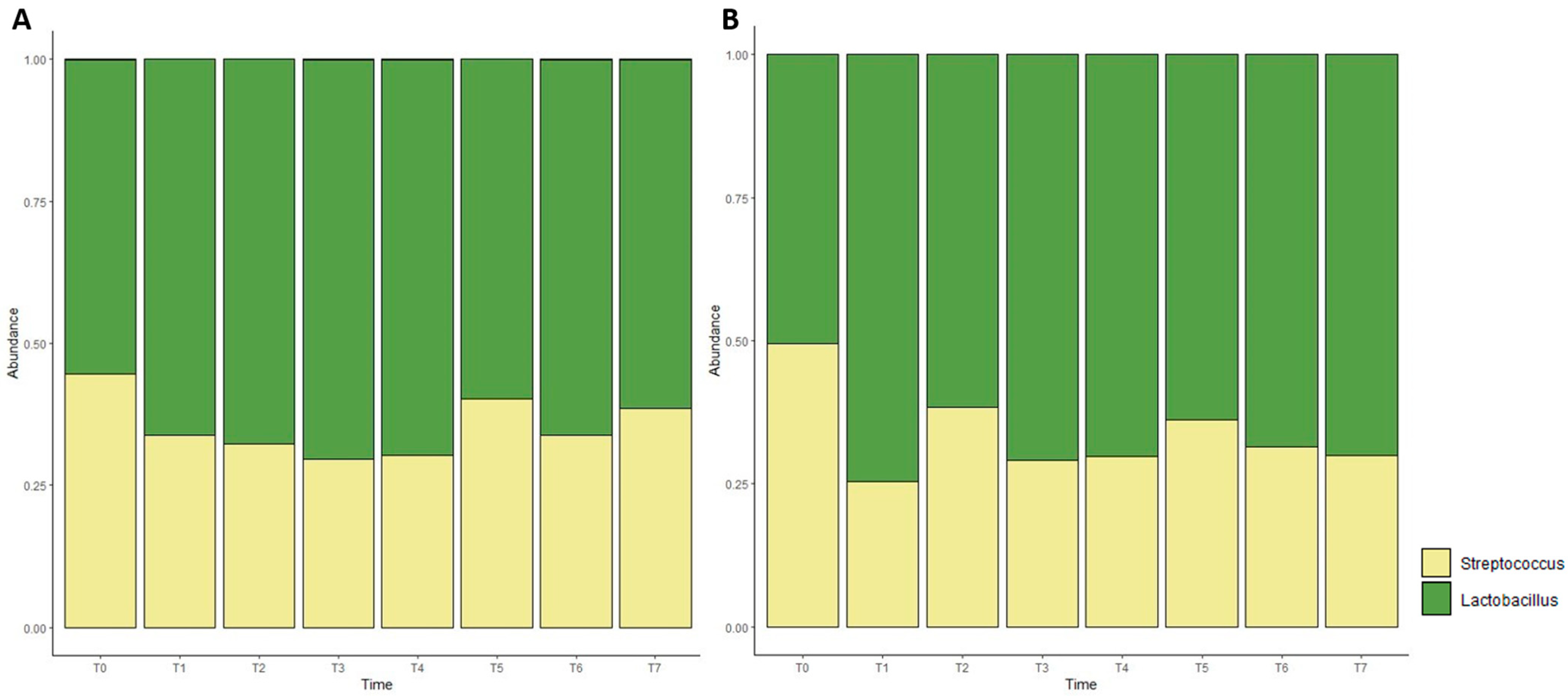
3. Results
4. Discussion
5. Conclusions
Supplementary Materials
Author Contributions
Funding
Institutional Review Board Statement
Informed Consent Statement
Data Availability Statement
Acknowledgments
Conflicts of Interest
References
- Official Journal of the European Union L 338 of 22 Official Journal of the European Union ANNEX XVII Official Journal of the European Union. 2005, pp. 129–146. Available online: https://eur-lex.europa.eu/legal-content/EN/TXT/?uri=OJ%3AL%3A2005%3A338%3ATOC (accessed on 17 April 2024).
- Assimos, D.G. Metabolomic Profiling of Oxalate-Degrading Probiotic Lactobacillus acidophilus and Lactobacillus gasseri. J. Urol. 2020, 203, 247–248. [Google Scholar] [CrossRef]
- Foschi, C.; Laghi, L.; Parolin, C.; Giordani, B.; Compri, M.; Cevenini, R.; Marangoni, A.; Vitali, B. Novel Approaches for the Taxonomic and Metabolic Characterization of Lactobacilli: Integration of 16S RRNA Gene Sequencing with MALDI-TOF MS and 1H-NMR. PLoS ONE 2017, 12, e0172483. [Google Scholar] [CrossRef]
- Herrador, Z.; Gherasim, A.; López-Vélez, R.; Benito, A. Listeriosis in Spain Based on Hospitalisation Records, 1997 to 2015: Need for Greater Awareness. Eurosurveillance 2019, 24, 1–10. [Google Scholar] [CrossRef] [PubMed]
- Zoellner, C.; Wiedmann, M.; Ivanek, R. An Assessment of Listeriosis Risk Associated with a Contaminated Production Lot of Frozen Vegetables Consumed under Alternative Consumer Handling Scenarios. J. Food Prot. 2019, 82, 2174–2193. [Google Scholar] [CrossRef]
- Food, E.; Authority, S. The European Union One Health 2021 Zoonoses Report. EFSA J. 2022, 20, e07666. [Google Scholar] [CrossRef]
- Adetoye, A.; Pinloche, E.; Adeniyi, B.A.; Ayeni, F.A. Characterization and Anti-Salmonella Activities of Lactic Acid Bacteria Isolated from Cattle Faeces. BMC Microbiol. 2018, 18, 96. [Google Scholar] [CrossRef]
- Ruiz-Barba, J.L.; Caballero-Guerrero, B.; Maldonado-Barragán, A.; Jiménez-Díaz, R. Coculture with Specific Bacteria Enhances Survival of Lactobacillus plantarum NC8, an Autoinducer-Regulated Bacteriocin Producer, in Olive Fermentations. Food Microbiol. 2010, 27, 413–417. [Google Scholar] [CrossRef] [PubMed]
- Kaban, G.; Kaya, M. Effects of Lactobacillus plantarum and Staphylococcus xylosus on the Quality Characteristics of Dry Fermented Sausage “Sucuk”. J. Food Sci. 2009, 74, 58–63. [Google Scholar] [CrossRef]
- Russo, R.; Valletta, M.; Rega, C.; Marasco, R.; Muscariello, L.; Pedone, P.V.; Sacco, M.; Chambery, A. Reliable Identification of Lactic Acid Bacteria by Targeted and Untargeted High-Resolution Tandem Mass Spectrometry. Food Chem. 2019, 285, 111–118. [Google Scholar] [CrossRef] [PubMed]
- Fuochi, V.; Coniglio, M.A.; Laghi, L.; Rescifina, A.; Caruso, M.; Stivala, A.; Furneri, P.M. Metabolic Characterization of Supernatants Produced by Lactobacillus spp. with in Vitro Anti-Legionella Activity. Front. Microbiol. 2019, 10, 1403. [Google Scholar] [CrossRef]
- Honoré, A.H.; Aunsbjerg, S.D.; Ebrahimi, P.; Thorsen, M.; Benfeldt, C.; Knøchel, S.; Skov, T. Metabolic Footprinting for Investigation of Antifungal Properties of Lactobacillus paracasei. Anal. Bioanal. Chem. 2016, 408, 83–96. [Google Scholar] [CrossRef] [PubMed]
- Le Lay, C.; Coton, E.; Le Blay, G.; Chobert, J.M.; Haertlé, T.; Choiset, Y.; Van Long, N.N.; Meslet-Cladière, L.; Mounier, J. Identification and Quantification of Antifungal Compounds Produced by Lactic Acid Bacteria and Propionibacteria. Int. J. Food Microbiol. 2016, 239, 79–85. [Google Scholar] [CrossRef] [PubMed]
- Li, J.; Huang, Q.; Zheng, X.; Ge, Z.; Lin, K.; Zhang, D.; Chen, Y.; Wang, B.; Shi, X. Investigation of the Lactic Acid Bacteria in Kazak Cheese and Their Contributions to Cheese Fermentation. Front. Microbiol. 2020, 11, 228. [Google Scholar] [CrossRef] [PubMed]
- Crowley, S.; Mahony, J.; Van Sinderen, D. Current Perspectives on Antifungal Lactic Acid Bacteria as Natural Bio-Preservatives. Trends Food Sci. Technol. 2013, 33, 93–109. [Google Scholar] [CrossRef]
- Madureira, A.R.; Pintado, M.E.; Gomes, A.M.P.; MAlcata, F.X. Incorporation of Probiotic Bacteria in Whey Cheese: Decreasing the Risk of Microbial Contamination. J. Food Prot. 2011, 74, 1194–1199. [Google Scholar] [CrossRef] [PubMed]
- Montero Castillo, P.M.; Díaz Caballero, A.; Durán Lengua, M. Antagonistic Action of Lactobacillus spp. against Staphylococcus aureus in Cheese from Mompox—Colombia. Rev. Fac. Nac. Agron. Medellín 2015, 68, 7721–7727. [Google Scholar] [CrossRef]
- Faust, K.; Raes, J. Microbial Interactions: From Networks to Models. Nat. Rev. Microbiol. 2012, 10, 538–550. [Google Scholar] [CrossRef] [PubMed]
- Kohout, C.K.; Ukowitz, C.; Reiter, D.; Zitz, U.; Moder, K.; Emerstorfer, F.; Hein, W.; Kneifel, W.; Domig, K.J. Bacterial Growth Dynamics and Corresponding Metabolite Levels in the Extraction Area of an Austrian Sugar Beet Factory Using Antimicrobial Treatment. J. Sci. Food Agric. 2020, 100, 2713–2721. [Google Scholar] [CrossRef] [PubMed]
- Lima, M.D.C.; Da Conceição, M.L.; Schaffner, D.W.; De Souza, E.L. Intrinsic Parameters and Bacterial Growth Prediction in a Brazilian Minimally Ripened Cheese (Coalho) during Refrigerated Storage. J. Food Prot. 2018, 81, 1800–1809. [Google Scholar] [CrossRef]
- Gagnon, M.; Ouamba, A.J.K.; Lapointe, G.; Chouinard, P.Y.; Roy, D. Prevalence and Abundance of Lactic Acid Bacteria in Raw Milk Associated with Forage Types in Dairy Cow Feeding. J. Dairy Sci. 2020, 5931–5946. [Google Scholar] [CrossRef]
- Gensler, C.A.; Brown, S.R.B.; Aljasir, S.F.; D’Amico, D.J. Compatibility of Commercially Produced Protective Cultures with Common Cheesemaking Cultures and Their Antagonistic Effect on Foodborne Pathogens. J. Food Prot. 2020, 83, 1010–1019. [Google Scholar] [CrossRef]
- Morandi, S.; Silvetti, T.; Vezzini, V.; Morozzo, E.; Brasca, M. How We Can Improve the Antimicrobial Performances of Lactic Acid Bacteria? A New Strategy to Control Listeria monocytogenes in Gorgonzola Cheese. Food Microbiol. 2020, 90, 103488. [Google Scholar] [CrossRef]
- Dos Santos, E.C.; Genigeorgis, C. Potential for Presence and Growth of Staphylococcus aureus in Brazilian Minas Cheese Whey. J. Food Prot. 1981, 44, 185–188. [Google Scholar] [CrossRef]
- Borelli, B.M.; Lacerda, I.C.A.; Brandão, L.R.; Vianna, C.R.; Ferreira, M.C.; Gomes, F.C.O.; Carmo, L.S.; Heneine, L.G.D.; Rosa, C.A. Identification of Staphylococcus spp. Isolated during the Ripening Process of a Traditional Minas Cheese. Arq. Bras. Med. Vet. Zootec. 2011, 63, 481–487. [Google Scholar] [CrossRef]
- Winkelströter, L.K.; Tulini, F.L.; De Martinis, E.C.P. Identification of the Bacteriocin Produced by Cheese Isolate Lactobacillus paraplantarum FT259 and Its Potential Influence on Listeria monocytogenes Biofilm Formation. LWT—Food Sci. Technol. 2015, 64, 586–592. [Google Scholar] [CrossRef]
- Tzora, A.; Nelli, A.; Kritikou, A.S.; Katsarou, D.; Giannenas, I.; Lagkouvardos, I.; Thomaidis, N.S.; Skoufos, I. The “Crosstalk” between Microbiota and Metabolomic Profile of Kefalograviera Cheese after the Innovative Feeding Strategy of Dairy Sheep by Omega-3 Fatty Acids. Foods 2022, 11, 3164. [Google Scholar] [CrossRef]
- Shang, Z.; Ye, Z.; Li, M.; Ren, H.; Cai, S.; Hu, X.; Yi, J. Dynamics of Microbial Communities, Flavor, and Physicochemical Properties of Pickled Chayote during an Industrial-Scale Natural Fermentation: Correlation between Microorganisms and Metabolites. Food Chem. 2022, 377, 132004. [Google Scholar] [CrossRef]
- Ercolini, D. High-Throughput Sequencing and Metagenomics: Moving Forward in the Culture-Independent Analysis of Food Microbial Ecology. Appl. Environ. Microbiol. 2013, 79, 3148–3155. [Google Scholar] [CrossRef] [PubMed]
- Povilaitis, S.C.; Chakraborty, A.; Kirkpatrick, L.M.; Downey, R.D.; Hauger, S.B.; Eberlin, L.S. Identifying Clinically Relevant Bacteria Directly from Culture and Clinical Samples with a Handheld Mass Spectrometry Probe. Clin. Chem. 2022, 68, 1459–1470. [Google Scholar] [CrossRef]
- Claydon, M.A.; Davey, S.N.; Edwards-Jones, V.; Gordon, D.B. The Rapid Identification of Intact Microorganisms Using Mass Spectrometry. Nat. Biotechnol. 1996, 14, 1584–1586. [Google Scholar] [CrossRef]
- Braga, P.A.C.; Tata, A.; Gonçalves Dos Santos, V.; Barreiro, J.R.; Schwab, N.V.; Veiga Dos Santos, M.; Eberlin, M.N.; Ferreira, C.R. Bacterial Identification: From the Agar Plate to the Mass Spectrometer. RSC Adv. 2013, 3, 994–1008. [Google Scholar] [CrossRef]
- Randall, E.C.; Bunch, J.; Cooper, H.J. Direct Analysis of Intact Proteins from Escherichia coli Colonies by Liquid Extraction Surface Analysis Mass Spectrometry. Anal. Chem. 2014, 86, 10504–10510. [Google Scholar] [CrossRef] [PubMed]
- Fang, J.; Dorrestein, P.C. Emerging Mass Spectrometry Techniques for the Direct Analysis of Microbial Colonies. Curr. Opin. Microbiol. 2014, 19, 120–129. [Google Scholar] [CrossRef] [PubMed]
- Gonzalez, D.J.; Xu, Y.; Yang, Y.L.; Esquenazi, E.; Liu, W.T.; Edlund, A.; Duong, T.; Du, L.; Molnár, I.; Gerwick, W.H.; et al. Observing the invisible through imaging mass spectrometry, a window into the metabolic exchange patterns of microbes. J. Proteom. 2013, 75, 5069–5076. [Google Scholar] [CrossRef] [PubMed]
- Luzzatto-Knaan, T.; Melnik, A.V.; Dorrestein, P.C. Mass Spectrometry Tools and Workflows for Revealing Microbial Chemistry. Analyst 2015, 140, 4949–4966. [Google Scholar] [CrossRef] [PubMed]
- Watrous, J.; Hendricks, N.; Meehan, M.; Dorrestein, P.C. Capturing Bacterial Metabolic Exchange Using Thin Film Desorption Electrospray Ionization-Imaging Mass Spectrometry. Anal. Chem. 2010, 82, 1598–1600. [Google Scholar] [CrossRef] [PubMed][Green Version]
- Watrous, J.; Roach, P.; Alexandrov, T.; Heath, B.S.; Yang, J.Y.; Kersten, R.D.; Van Der Voort, M.; Pogliano, K.; Gross, H.; Raaijmakers, J.M.; et al. Mass Spectral Molecular Networking of Living Microbial Colonies. Proc. Natl. Acad. Sci. USA 2012, 109, 1743–1752. [Google Scholar] [CrossRef] [PubMed]
- Watrous, J.; Roach, P.; Heath, B.; Alexandrov, T.; Laskin, J.; Dorrestein, P.C. Metabolic Profiling Directly from the Petri Dish Using Nanospray Desorption Electrospray Ionization Imaging Mass Spectrometry. Anal. Chem. 2013, 85, 10385–10391. [Google Scholar] [CrossRef] [PubMed]
- Tata, A.; Perez, C.; Campos, M.L.; Bayfield, M.A.; Eberlin, M.N.; Ifa, D.R. Imprint Desorption Electrospray Ionization Mass Spectrometry Imaging for Monitoring Secondary Metabolites Production during Antagonistic Interaction of Fungi. Anal. Chem. 2015, 87, 12298–12305. [Google Scholar] [CrossRef]
- Tata, A.; Marzoli, F.; Massaro, A.; Passabì, E.; Bragolusi, M.; Negro, A.; Cristaudo, I.; Piro, R.; Belluco, S. Assessing Direct Analysis in Real-Time Mass Spectrometry for the Identification and Serotyping of Legionella Pneumophila. J. Appl. Microbiol. 2022, 132, 1479–1488. [Google Scholar] [CrossRef]
- Musah, R.A.; Espinoza, E.O.; Cody, R.B.; Lesiak, A.D.; Christensen, E.D.; Moore, H.E.; Maleknia, S.; Drijfhout, F.P. A High Throughput Ambient Mass Spectrometric Approach to Species Identification and Classification from Chemical Fingerprint Signatures. Sci. Rep. 2015, 5, 11520. [Google Scholar] [CrossRef] [PubMed]
- Cody, R.B. Saccharomyces cerevisiae and S. pastorianus Species and Strain Differentiation by Direct Analysis in Real Time Time-of-Flight Mass Spectrometry. Rapid Commun. Mass Spectrom. 2020, 34, e8835. [Google Scholar] [CrossRef] [PubMed]
- Singh, S.; Verma, S.K. Application of Direct Analysis in Real Time Mass Spectrometry (DART-MS) for Identification of an Epiphytic Cyanobacterium, Nostoc sp. Anal. Lett. 2012, 45, 2562–2568. [Google Scholar] [CrossRef]
- Riuzzi, G.; Tata, A.; Massaro, A.; Bisutti, V.; Lanza, I.; Contiero, B.; Bragolusi, M.; Miano, B.; Negro, A.; Gottardo, F.; et al. Authentication of Forage-Based Milk by Mid-Level Data Fusion of (+/−) DART-HRMS Signatures. Int. Dairy J. 2021, 112, 104859. [Google Scholar] [CrossRef]
- Tata, A.; Massaro, A.; Riuzzi, G.; Lanza, I.; Bragolusi, M.; Negro, A.; Novelli, E.; Piro, R.; Gottardo, F.; Segato, S. Ambient Mass Spectrometry for Rapid Authentication of Milk from Alpine or Lowland Forage. Sci. Rep. 2022, 12, 7360. [Google Scholar] [CrossRef] [PubMed]
- Hrbek, V.; Vaclavik, L.; Elich, O.; Hajslova, J. Authentication of Milk and Milk-Based Foods by Direct Analysis in Real Time Ionization-High Resolution Mass Spectrometry (DART-HRMS) Technique: A Critical Assessment. Food Control 2014, 36, 138–145. [Google Scholar] [CrossRef]
- Friedly, E.C.; Crandall, P.G.; Ricke, S.; O’Bryan, C.A.; Martin, E.M.; Boyd, L.M. Identification of Listeria innocua Surrogates for Listeria monocytogenes in Hamburger Patties. J. Food Sci. 2008, 73, 174–178. [Google Scholar] [CrossRef] [PubMed]
- Beaufort, A.; Lardeux, A.; Lombard, B.; Polet, M.; Botteldoorn, N.; Papageorgiou, G.; Andersen, J.K.; Boel, J.; Hickey, B.; Prencipe, V.; et al. EURL Lm Technical Guidance Document for Conducting Shelf-Life Studies on Listeria Monocytogenes in Ready-to-Eat Foods; EURL Lm: Paris, France, 2014; pp. 1–47. [Google Scholar]
- EN ISO 20976-1; Microbiology of the Food Chain—Requirements and Guidelines for Conducting Challenge Tests of Food and Feed Products—Part 1: Challenge Tests to Study Growth Potential, Lag Time and Maximum Growth Rate. International Organization for Standardization (ISO): Geneva, Switzerland, 2019.
- ISO 4833-1:2013; Microbiology of the Food Chain—Horizontal Method for the Enumeration of Microorganisms. International Organization for Standardization (ISO): Geneva, Switzerland, 2013.
- ISO 7218:2007; Microbiology of Food and Animal Feeding Stuffs—General Requirements and Guidance for Microbiological Examinations. Organization for Standardization (ISO): Geneva, Switzerland, 2007.
- Klindworth, A.; Pruesse, E.; Schweer, T.; Peplies, J.; Quast, C.; Horn, M.; Glöckner, F.O. Evaluation of General 16S Ribosomal RNA Gene PCR Primers for Classical and Next-Generation Sequencing-Based Diversity Studies. Nucleic Acids Res. 2013, 41, e1. [Google Scholar] [CrossRef] [PubMed]
- Babraham Bioinformatics. FastQC. A Quality Control Tool for High Throughput Sequence Data. Available online: https://www.bioinformatics.babraham.ac.uk/projects/fastqc/ (accessed on 17 April 2024).
- Bolyen, E.; Rideout, J.R.; Dillon, M.R.; Bokulich, N.A.; Abnet, C.C.; Al-Ghalith, G.A.; Alexander, H.; Alm, E.J.; Arumugam, M.; Asnicar, F.; et al. Reproducible, Interactive, Scalable and Extensible Microbiome Data Science Using QIIME 2. Nat. Biotechnol. 2019, 37, 852–857. [Google Scholar] [CrossRef]
- Callahan, B.J.; McMurdie, P.J.; Rosen, M.J.; Han, A.W.; Johnson, A.J.A.; Holmes, S.P. DADA2: High-Resolution Sample Inference from Illumina Amplicon Data. Nat. Methods 2016, 13, 581–583. [Google Scholar] [CrossRef]
- Quast, C.; Pruesse, E.; Yilmaz, P.; Gerken, J.; Schweer, T.; Yarza, P.; Peplies, J.; Glöckner, F.O. The SILVA Ribosomal RNA Gene Database Project: Improved Data Processing and Web-Based Tools. Nucleic Acids Res. 2013, 41, D590–D596. [Google Scholar] [CrossRef] [PubMed]
- Wickham, H. Elegant Graphics for Data Analysis; Springer: New York, NY, USA, 2016; ISBN 978-3-319-24277-4. [Google Scholar]
- Katz, L.; Tata, A.; Woolman, M.; Zarrine-Afsar, A. Lipid Profiling in Cancer Diagnosis with Hand-Held Ambient Mass Spectrometry Probes: Addressing the Late-Stage Performance Concerns. Metabolites 2021, 11, 660. [Google Scholar] [CrossRef] [PubMed]
- Massaro, A.; Stella, R.; Negro, A.; Bragolusi, M.; Miano, B.; Arcangeli, G.; Biancotto, G.; Piro, R.; Tata, A. New Strategies for the Differentiation of Fresh and Frozen/Thawed Fish: A Rapid and Accurate Non-Targeted Method by Ambient Mass Spectrometry and Data Fusion (Part A). Food Control 2021, 130, 108364. [Google Scholar] [CrossRef]
- Mukaka, M.M. Statistics Corner: A Guide to Appropriate Use of Correlation Coefficient. Malawi Med. J. 2012, 24, 69–71. [Google Scholar] [PubMed]
- Lewus, C.B.; Kaiser, A.; Montville, T.J. Inhibition of Food-Borne Bacterial Pathogens by Bacteriocins from Lactic Acid Bacteria Isolated from Meat. Appl. Environ. Microbiol. 1991, 57, 1683–1688. [Google Scholar] [CrossRef] [PubMed]
- Kim, J.; Choi, K.B.; Park, J.H.; Kim, K.H. Metabolite Profile Changes and Increased Antioxidative and Antiinflammatory Activities of Mixed Vegetables after Fermentation by Lactobacillus plantarum. PLoS ONE 2019, 14, e0217180. [Google Scholar] [CrossRef]
- Lipińska, L.; Klewicki, R.; Sójka, M.; Bonikowski, R.; Żyżelewicz, D.; Kołodziejczyk, K.; Klewicka, E. Antifungal Activity of Lactobacillus pentosus ŁOCK 0979 in the Presence of Polyols and Galactosyl-Polyols. Probiotics Antimicrob. Proteins 2018, 10, 186–200. [Google Scholar] [CrossRef] [PubMed]
- Tata, A.; Pallante, I.; Massaro, A.; Miano, B.; Bottazzari, M.; Fiorini, P.; Dal Prà, M.; Paganini, L.; Stefani, A.; De Buck, J.; et al. Serum metabolomic profiles of paratuberculosis infected and infectious dairy cattle by ambient mass spectrometry. Front. Vet. Sci. 2021, 7, 625067. [Google Scholar] [CrossRef] [PubMed]
- Kim, E.J.; Park, S.E.; Seo, S.H.; Kweon, O.C.; Son, H.S. A GC–MS Based Metabolic Profiling of Fermented Tomato by Lactic Acid Bacteria. Appl. Biol. Chem. 2019, 62, 2. [Google Scholar] [CrossRef]
- Parlindungan, E.; May, B.K.; Jones, O.A.H. Metabolic Insights into the Effects of Nutrient Stress on Lactobacillus plantarum B21. Front. Mol. Biosci. 2019, 6, 75. [Google Scholar] [CrossRef]
- Valerio, F.; Lavermicocca, P.; Pascale, M.; Visconti, A. Production of Phenyllactic Acid by Lactic Acid Bacteria: An Approach to the Selection of Strains Contributing to Food Quality and Preservation. FEMS Microbiol. Lett. 2004, 233, 289–295. [Google Scholar] [CrossRef] [PubMed]
- Yang, E.J.; Kim, Y.S.; Chang, H.C. Purification and Characterization of Antifungal δ-Dodecalactone from Lactobacillus plantarum AF1 Isolated from Kimchi. J. Food Prot. 2011, 74, 651–657. [Google Scholar] [CrossRef] [PubMed]
- Gonzales-Barron, U.; Campagnollo, F.B.; Schaffner, D.W.; Sant’Ana, A.S.; Cadavez, V.A.P. Behavior of Listeria monocytogenes in the Presence or Not of Intentionally-Added Lactic Acid Bacteria during Ripening of Artisanal Minas Semi-Hard Cheese. Food Microbiol. 2020, 91, 103545. [Google Scholar] [CrossRef] [PubMed]
- Salazar, J.K.; Gonsalves, L.J.; Fay, M.; Ramachandran, P.; Schill, K.M.; Tortorello, M. Lou Metataxonomic Profiling of Native and Starter Microbiota during Ripening of Gouda Cheese Made with Listeria monocytogenes-Contaminated Unpasteurized Milk. Front. Microbiol. 2021, 12, 642789. [Google Scholar] [CrossRef]
- Schnürer, J.; Magnusson, J. Antifungal Lactic Acid Bacteria as Biopreservatives. Trends Food Sci. Technol. 2005, 16, 70–78. [Google Scholar] [CrossRef]
- Fox, P.F.; Lucey, J.A.; Cogan, T.M. Glycolysis and Related Reactions during Cheese Manufacture and Ripening. Crit. Rev. Food Sci. Nutr. 1990, 29, 237–253. [Google Scholar] [CrossRef] [PubMed]
- Dagnas, S.; Gauvry, E.; Onno, B.; Membré, J.M. Quantifying Effect of Lactic, Acetic, and Propionic Acids on Growth of Molds Isolated from Spoiled Bakery Products. J. Food Prot. 2015, 78, 1689–1698. [Google Scholar] [CrossRef] [PubMed]
- Lavermicocca, P.; Valerio, F.; Evidente, A.; Lazzaroni, S.; Corsetti, A.; Gobbetti, M. Purification and Characterization of Novel Antifungal Compounds from the Sourdough Lactobacillus plantarum Strain 21B. Appl. Environ. Microbiol. 2000, 66, 4084–4090. [Google Scholar] [CrossRef] [PubMed]
- Lavermicocca, P.; Valerio, F.; Visconti, A. Antifungal Activity of Phenyllactic Acid against Molds Isolated from Bakery Products. Appl. Environ. Microbiol. 2003, 69, 634–640. [Google Scholar] [CrossRef] [PubMed]
- Dieuleveux, V.; Guéguen, M. Antimicrobial Effects of D-3-Phenyllactic Acid on Listeria monocytogenes in TSB-YE Medium, Milk, and Cheese. J. Food Prot. 1998, 61, 1281–1285. [Google Scholar] [CrossRef]
- Park, B.; Hwang, H.; Chang, J.Y.; Hong, S.W.; Lee, S.H.; Jung, M.Y.; Sohn, S.O.; Park, H.W.; Lee, J.H. Identification of 2-Hydroxyisocaproic Acid Production in Lactic Acid Bacteria and Evaluation of Microbial Dynamics during Kimchi Ripening. Sci. Rep. 2017, 7, 10904. [Google Scholar] [CrossRef] [PubMed]
- Guo, J.; Brosnan, B.; Furey, A.; Arendt, E.K.; Murphy, P.; Coffey, A. Antifungal Activity of Lactobacillus against Microsporum canis, Microsporum gypseum and Epidermophyton floccosum. Bioeng. Bugs 2012, 3, 104–113. [Google Scholar] [CrossRef] [PubMed]
- Ryan, L.A.M.; Zannini, E.; Dal Bello, F.; Pawlowska, A.; Koehler, P.; Arendt, E.K. Lactobacillus amylovorus DSM 19280 as a Novel Food-Grade Antifungal Agent for Bakery Products. Int. J. Food Microbiol. 2011, 146, 276–283. [Google Scholar] [CrossRef] [PubMed]
- Friedly, E.C.; Crandall, P.G.; Ricke, S.C.; Roman, M.; O’Bryan, C.; Chalova, V.I. In Vitro Antilisterial Effects of Citrus Oil Fractions in Combination with Organic Acids. J. Food Sci. 2009, 74, M67–M72. [Google Scholar] [CrossRef] [PubMed]
- Over, K.F.; Hettiarachchy, N.; Johnson, M.G.; Davis, B. Effect of Organic Acids and Plant Extracts on Escherichia coli O157:H7, Listeria monocytogenes, and Salmonella Typhimurium in Broth Culture Model and Chicken Meat Systems. J. Food Sci. 2009, 74, 515–521. [Google Scholar] [CrossRef] [PubMed]
- Peng, M.; Reichmann, G.; Biswas, D. Lactobacillus casei and Its Byproducts Alter the Virulence Factors of Foodborne Bacterial Pathogens. J. Funct. Foods 2015, 15, 418–428. [Google Scholar] [CrossRef]
- Olsen, M.A.; Vhile, S.G.; Porcellato, D.; Kidane, A.; Skeie, S.B. Feeding Concentrates with Different Protein Sources to High-Yielding, Mid-Lactation Norwegian Red Cows: Effect on Cheese Ripening. J. Dairy Sci. 2021, 104, 4062–4073. [Google Scholar] [CrossRef] [PubMed]
- Le Boucher, C.; Courant, F.; Jeanson, S.; Chereau, S.; Maillard, M.B.; Royer, A.L.; Thierry, A.; Dervilly-Pinel, G.; Le Bizec, B.; Lortal, S. First Mass Spectrometry Metabolic Fingerprinting of Bacterial Metabolism in a Model Cheese. Food Chem. 2013, 141, 1032–1040. [Google Scholar] [CrossRef] [PubMed]
- Wegkamp, A.; Teusink, B.; De Vos, W.M.; Smid, E.J. Development of a Minimal Growth Medium for Lactobacillus plantarum. Lett. Appl. Microbiol. 2010, 50, 57–64. [Google Scholar] [CrossRef]
- Broberg, A.; Jacobsson, K.; Ström, K.; Schnürer, J. Metabolite Profiles of Lactic Acid Bacteria in Grass Silage. Appl. Environ. Microbiol. 2007, 73, 5547–5552. [Google Scholar] [CrossRef]
- Rao, Y.; Qian, Y.; Tao, Y.; She, X.; Li, Y.; Chen, X.; Guo, S.; Xiang, W.; Liu, L.; Du, H.; et al. Characterization of the Microbial Communities and Their Correlations with Chemical Profiles in Assorted Vegetable Sichuan Pickles. Food Control 2020, 113, 107174. [Google Scholar] [CrossRef]
- Markkinen, N.; Laaksonen, O.; Yang, B. Impact of Malolactic Fermentation with Lactobacillus plantarum on Volatile Compounds of Sea Buckthorn Juice. Eur. Food Res. Technol. 2021, 247, 719–736. [Google Scholar] [CrossRef]
- Boels, I.C.; van Kranenburg, R.; Hugenholtz, J.; Kleerebezem, M.; de Vos, W.M. Sugar Catabolism and Its Impact on the Biosynthesis and Engineering of Exopolysaccharide Production in Lactic Acid Bacteria. Int. Dairy J. 2001, 11, 723–732. [Google Scholar] [CrossRef]
- Dan, T.; Wang, D.; Jin, R.L.; Zhang, H.P.; Zhou, T.T.; Sun, T.S. Characterization of Volatile Compounds in Fermented Milk Using Solid-Phase Microextraction Methods Coupled with Gas Chromatography-Mass Spectrometry. J. Dairy Sci. 2017, 100, 2488–2500. [Google Scholar] [CrossRef]








| m/z | m/z Theor | Error (ppm) | Formula | Type of Ion | Extraction and Ion Mode | Tentative Assignment | References |
|---|---|---|---|---|---|---|---|
| 89.0242 | 89.0244 | −2.25 | C3H6O3 | [M−H]− | MeOH:H2O (80:20 v/v) | Lactic acid | [11,63] |
| 111.0078 | 111.0082 | −3.6 | C5H4O3 | [M−H]− | (+) Pure EtAc | Mesaconic acid | |
| 128.035 | 128.0353 | −2.34 | C5H7NO3 | [M+H]+ | (+) MeOH:H2O (80:20 v/v) | Pyroglutamic acid or oxoproline | [45] |
| 132.1015 | 132.1013 | −1.5 | C6H12O3 | [M+NH4−H2O]+ | (+) MeOH:H2O (80:20 v/v) | Hydroxy-isocaproic acid | [11,12,64,65,66] |
| 133.0137 | 133.0142 | −3.76 | C4H6O5 | [M−H]− | (−) MeOH:H2O (80:20 v/v) | Malic acid | [14,66,67] |
| 165.0554 | 165.0557 | −1.81 | C9H10O3 | [M−H]− | (−) MeOH:H2O (80:20 v/v) (−) Pure EtAc | Phenyllactic acid | [13,64,68] |
| 191.0187 | 191.0197 | −5.2 | C6H8O7 | [M−H]− | (−) MeOH:H2O (80:20 v/v) | Citric acid | |
| 210.0602 | 210.0608 | −2.85 | C6H8O7 | [M+NH4]+ | (+) MeOH:H2O (80:20 v/v) | Citric acid | [69] |
| 255.2329 | 255.2330 | −0.39 | C16H32O2 | [M−H]− | (−) Pure EtAc | Palmitic acid | |
| 256.2625 | (+) MeOH:H2O (80:20 v/v) | N/A | |||||
| 281.2485 | 281.2486 | 0.35 | C18H34O2 | [M−H]− | (−) Pure EtAc | Vaccenic acid/oleic acid | |
| 296.2573 | 296.2584 | 3.7 | C18H30O2 | [M+NH4]+ | (+)MeOH:H2O (80:20 v/v) | alpha- and/or gamma-linolenic acid | |
| 305.1743 | 305.1749 | 1.9 | C11H23N5O3S | [M+NH4−H2O]+ | (+) Pure EtAc | Methionyl-Arginine | |
| 313.2731 | 313.2743 | −3.8 | C19H38O4 | [M+H−H2O]+ | (+) Pure EtAc | MG (20:2) | |
| 316.2113 | (+) Pure EtAc | N/A | |||||
| 327.2521 | 327.2530 | −2.75 | C19H36O5 | [M+H−H2O]+ | (+) Pure EtAc | DG (16:0) | |
| 339.2327 | 339.2330 | 0.88 | C23H32O2 | [M−H]− | (−) Pure EtAc | N/A | |
| 355.2834 | 355.2843 | 2.53 | C21H38O4 | [M+H]+ | (+) Pure EtAc | MG (18:2) | |
| 383.3149 | 383.3156 | −1.82 | C23H42O4 | [M+H]+ | (+) Pure EtAc | MG (20:2) | |
| 411.3461 | 411.3469 | 1.94 | C25H48O4 | [M+H]+ | (+) Pure EtAc | MG (22:1) | |
| 523.4706 | 523.4727 | 4.011 | C33H64O5 | [M+H−H2O]+ | (+) Pure EtAc | DG (30:0) |
Disclaimer/Publisher’s Note: The statements, opinions and data contained in all publications are solely those of the individual author(s) and contributor(s) and not of MDPI and/or the editor(s). MDPI and/or the editor(s) disclaim responsibility for any injury to people or property resulting from any ideas, methods, instructions or products referred to in the content. |
© 2024 by the authors. Licensee MDPI, Basel, Switzerland. This article is an open access article distributed under the terms and conditions of the Creative Commons Attribution (CC BY) license (https://creativecommons.org/licenses/by/4.0/).
Share and Cite
Tata, A.; Massaro, A.; Miano, B.; Petrin, S.; Antonelli, P.; Peruzzo, A.; Pezzuto, A.; Favretti, M.; Bragolusi, M.; Zacometti, C.; et al. A Snapshot, Using a Multi-Omic Approach, of the Metabolic Cross-Talk and the Dynamics of the Resident Microbiota in Ripening Cheese Inoculated with Listeria innocua. Foods 2024, 13, 1912. https://doi.org/10.3390/foods13121912
Tata A, Massaro A, Miano B, Petrin S, Antonelli P, Peruzzo A, Pezzuto A, Favretti M, Bragolusi M, Zacometti C, et al. A Snapshot, Using a Multi-Omic Approach, of the Metabolic Cross-Talk and the Dynamics of the Resident Microbiota in Ripening Cheese Inoculated with Listeria innocua. Foods. 2024; 13(12):1912. https://doi.org/10.3390/foods13121912
Chicago/Turabian StyleTata, Alessandra, Andrea Massaro, Brunella Miano, Sara Petrin, Pietro Antonelli, Arianna Peruzzo, Alessandra Pezzuto, Michela Favretti, Marco Bragolusi, Carmela Zacometti, and et al. 2024. "A Snapshot, Using a Multi-Omic Approach, of the Metabolic Cross-Talk and the Dynamics of the Resident Microbiota in Ripening Cheese Inoculated with Listeria innocua" Foods 13, no. 12: 1912. https://doi.org/10.3390/foods13121912
APA StyleTata, A., Massaro, A., Miano, B., Petrin, S., Antonelli, P., Peruzzo, A., Pezzuto, A., Favretti, M., Bragolusi, M., Zacometti, C., Losasso, C., & Piro, R. (2024). A Snapshot, Using a Multi-Omic Approach, of the Metabolic Cross-Talk and the Dynamics of the Resident Microbiota in Ripening Cheese Inoculated with Listeria innocua. Foods, 13(12), 1912. https://doi.org/10.3390/foods13121912

