Prediction of Anthocyanidins Content in Purple Chinese Cabbage Based on Visible/Near Infrared Spectroscopy
Abstract
1. Introduction
2. Materials and Methods
2.1. Sample Preparation
2.2. HPLC Analysis of Anthocyanidins
2.3. NIR Spectral Acquisition
2.4. Data Processing
3. Results
3.1. Anthocyanidins Contents in PCC Samples
3.2. Visible/NIR Spectral Analysis of PCC Samples
3.3. Establishment of Quantitative Models for Anthocyanidins Content in PPC
3.3.1. Model for Cyanidin Content Prediction
3.3.2. Model for Total Anthocyanidins Content Prediction
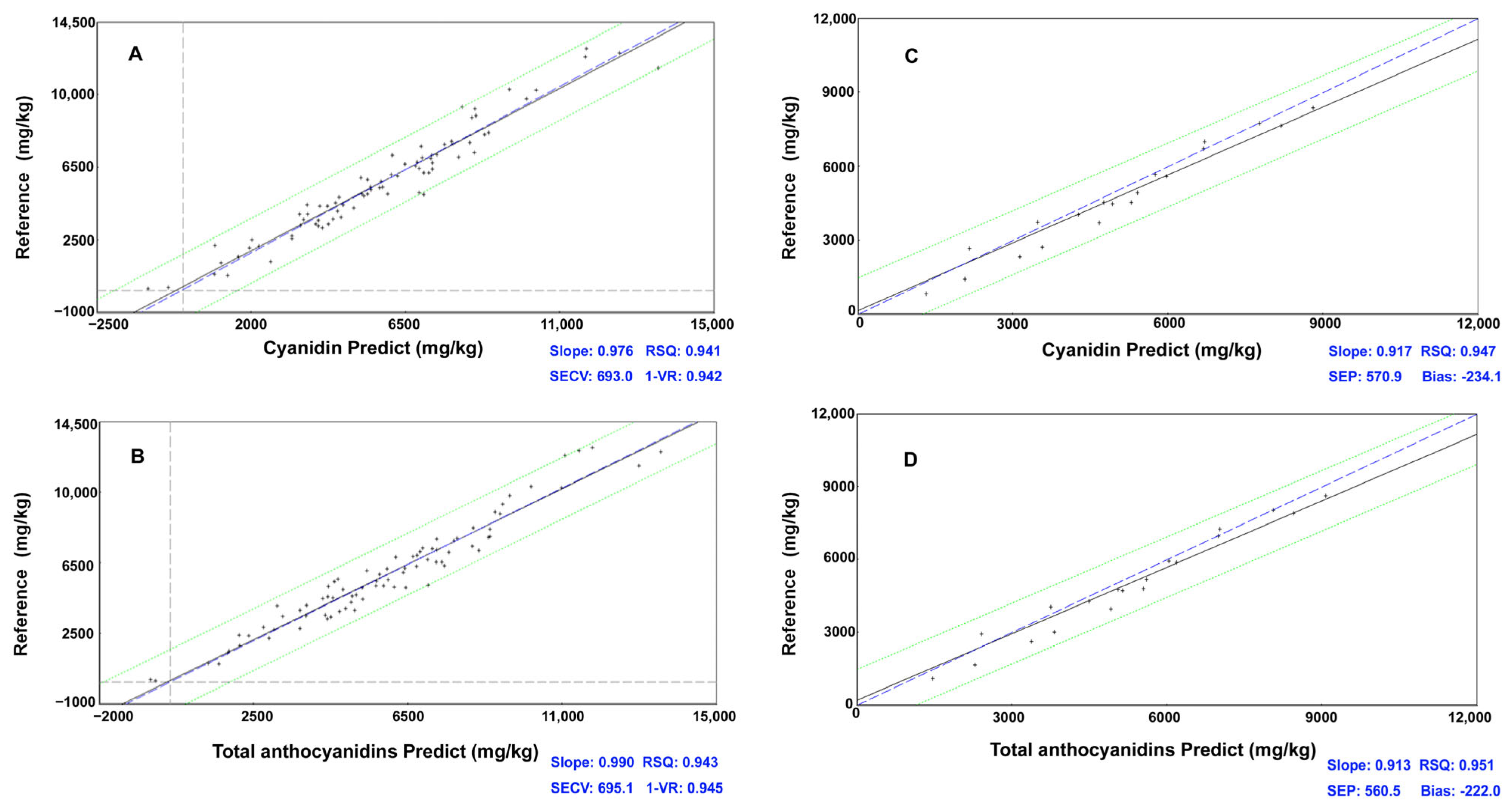
3.3.3. External Validation of the Calibration Models
4. Discussion
5. Conclusions
Supplementary Materials
Author Contributions
Funding
Data Availability Statement
Conflicts of Interest
References
- Jiang, N.; Chung, S.-O.; Lee, J.; Ryu, D.; Lim, Y.P.; Park, S.; Lee, C.; Song, J.; Kim, K.; Park, J.-T.; et al. Increase of phenolic compounds in new Chinese cabbage cultivar with red phenotype. Hortic. Environ. Biotechnol. 2013, 54, 82–88. [Google Scholar] [CrossRef]
- He, Q.; Zhang, Z.; Zhang, L. Anthocyanidins accumulation, antioxidant ability and stability, and a transcriptional analysis of anthocyanidins biosynthesis in purple heading Chinese cabbage (Brassica rapa L. ssp. pekinensis). J. Agric. Food Chem. 2006, 64, 132–145. [Google Scholar] [CrossRef]
- Alvarez-Suarez, J.M.; Cuadrado, C.; Redondo, I.B.; Giampieri, F.; Gonzalez-Paramas, A.M.; Santos-Buelga, C. Novel approaches in anthocyanidins research-Plant fortification and bioavailability issues. Trends Food Sci. Technol. 2021, 117, 92–105. [Google Scholar] [CrossRef]
- Zhang, N.; Jing, P. Anthocyanidinss in Brassicaceae: Composition, stability, bioavailability, and potential health benefits. Crit. Rev. Food Sci. Nutr. 2020, 62, 2205–2220. [Google Scholar] [CrossRef]
- Harborne, J.B.; Williams, C.A. Advances in flavonoid research since 1992. Phytochemistry 2000, 55, 481–504. [Google Scholar] [CrossRef] [PubMed]
- Putta, S.; Yarla, N.S.; Peluso, I.; Tiwari, D.K.; Reddy, G.V.; Giri, P.V.; Kumar, N.; Malla, R.; Rachel, V.; Bramhachari, P.V.; et al. Anthocyanidinss: Multi-target agents for prevention and therapy of chronic diseases. Curr. Pharm. Des. 2017, 23, 6321–6346. [Google Scholar] [CrossRef] [PubMed]
- Wang, L.; Peng, C.; Li, Z.; Wei, W. Chemopreventive and therapeutic properties of anthocyanidinss in breast cancer: A comprehensive review. Nutr. Res. 2022, 107, 48–64. [Google Scholar]
- Wang, P.; Liu, J.; Zhuang, Y.; Fei, P. Acylating blueberry anthocyanidinss with fatty acids: Improvement of their lipid solubility and antioxidant activities. Food Chem. X 2022, 15, 100420. [Google Scholar] [CrossRef] [PubMed]
- Liu, Y.; Zhao, Y.; Zhuo, Y.; Li, Y.; Meng, J.; Wang, Y.; Li, H. Ultrasound-assisted extraction of anthocyanidinss from Malus ‘Royalty’ fruits: Optimization, separation, and antitumor activity. Molecules 2022, 27, 4299. [Google Scholar] [CrossRef] [PubMed]
- Fakhri, S.; Khodamorady, M.; Naseri, M.; Farzaei, M.H.; Khan, H. The ameliorating effects of anthocyanidinss on the cross-linked signaling pathways of cancer dysregulated metabolism. Pharmacol. Res. 2020, 159, 104895. [Google Scholar] [CrossRef]
- Kutsanedzie, F.Y.H.; Guo, Z.; Chen, Q. Advances in nondestructive methods for meat quality and safety monitoring. Food Rev. Int. 2019, 35, 536–562. [Google Scholar] [CrossRef]
- Giovenzana, V.; Beghi, R.; Civelli, R.; Guidetti, R. Optical techniques for rapid quality monitoring along minimally processed fruit and vegetable chain. Trends Food Sci. Technol. 2015, 46, 331–338. [Google Scholar] [CrossRef]
- Prodromidis, P.; Mourtzinos, I.; Biliaderis, C.G.; Moschakis, T. Stability of natural food colorants derived from onion leaf wastes. Food Chem. 2022, 386, 132750. [Google Scholar] [CrossRef] [PubMed]
- Johnson, J.B.; El Orche, A.; Naiker, M. Prediction of anthocyanidins content and variety in plum extracts using ATR-FTIR spectroscopy and chemometrics. Vib. Spectrosc. 2022, 121, 103406. [Google Scholar] [CrossRef]
- Beltrame, K.K.; Gonçalves, T.R.; Março, P.H.; Gomes, S.T.M.; Matsushita, M.; Valderrama, P. Pseudo-Univariate calibration based on NIR spectroscopy in the determination of anthocyanidinss and antioxidant activity in grape juices. J. Braz. Chem. Soc. 2021, 32, 1131–1136. [Google Scholar]
- Tian, X.Y.; Aheto, J.H.; Bai, J.-W.; Dai, C.; Ren, Y.; Chang, X. Quantitative analysis and visualization of moisture and anthocyanidinss content in purple sweet potato by Vis-NIR hyperspectral imaging. J. Food Process. Preserv. 2021, 45, e15128. [Google Scholar] [CrossRef]
- Krysa, M.; Szymańska-Chargot, M.; Zdunek, A. FT-IR and FT-Raman fingerprints of flavonoids—A review. Food Chem. 2022, 393, 133430. [Google Scholar] [CrossRef]
- Watson, R.R. Polyphenols in Plants: Isolation, Purification and Extract Preparation; Academic Press: New York, NY, USA, 2014; pp. 187–199. [Google Scholar]
- Manzoor, M.F.; Hussain, A.; Naumovski, N.; Ranjha, M.M.A.N.; Ahmad, N.; Karrar, E.; Xu, B.; Ibrahim, S.A. A narrative review of recent advances in rapid assessment of anthocyanidinss in agricultural and food products. Front. Nutr. 2022, 9, 901342. [Google Scholar] [CrossRef]
- Geraldes, C.F.G.C. Introduction to infrared and Raman-based biomedical molecular imaging and comparison with other modalities. Molecules 2020, 25, 5547. [Google Scholar] [CrossRef]
- Xin, X.; Zhang, D.; Zhao, H.; Su, T.; Zhao, X.; Wang, W.; Li, P.; Yu, Y.; Wang, J.; Yu, S.; et al. Identification of a monosomic alien chromosome addition line responsible for the purple color trait in heading Chinese cabbage. Horticulturae 2023, 9, 146. [Google Scholar] [CrossRef]
- Ye, W. Application of Near-Infrared Spectroscopy for Determination of Nutrient Contents in Manure. Ph.D. Thesis, Iowa State University, Ames, IA, USA, 2003. [Google Scholar]
- Gómez, A.H.; He, Y.; Pereira, A.G. Non-destructive measurement of acidity, soluble solids and firmness of Satsuma mandarin using Vis/NIR spectroscopy techniques. J. Food Eng. 2006, 77, 313–319. [Google Scholar] [CrossRef]
- Golic, M.; Walsh, K.; Lawson, P. Short-wavelength near-infrared spectra of sucrose, glucose, and fructose with respect to sugar concentration and temperature. Appl. Spectrosc. 2003, 57, 139–145. [Google Scholar] [CrossRef]
- Huang, X.; Zou, X.; Zhao, J.; Shi, J.; Zhang, X.; Holmes, M. Measurement of total anthocyanidinss content in flowering tea using near infrared spectroscopy combined with ant colony optimization models. Food Chem. 2014, 164, 536–543. [Google Scholar]
- Ribera-fonseca, A.; Noferini, M.; Rombolá, A.D. Non-destructive assessment of highbush blueberry fruit maturity parameters and anthocyanidinss by using a visible/near Infrared (vis/NIR) spectroscopy device: A preliminary approach. J. Soil Sci. Plant Nutr. 2016, 16, 174–186. [Google Scholar]
- Galvão, R.K.H.; Araujo, M.C.U.; José, G.E.; Pontes, M.J.C.; Silva, E.C.; Saldanha, T.C.B. A method for calibration and validation subset partitioning. Talanta 2005, 67, 736–740. [Google Scholar] [CrossRef] [PubMed]
- Beć, K.B.; Huck, C.W. Breakthrough potential in near-infrared spectroscopy: Spectra simulation. A review of recent developments. Front. Chem. 2019, 7, 48. [Google Scholar] [CrossRef]


| Compound | Content Range | Average Content | Percentage of Total % |
|---|---|---|---|
| delphinidin | nd1~193.7 | 159.4 | 2.66 |
| cyanindin | 93.5~12,802.4 | 5741.2 | 95.71 |
| pelargonidin | nd1~66.0 | 52.3 | 0.87 |
| peonidin | nd1~63.0 | 45.4 | 0.76 |
| Wave Band | Spectral Pre-Treatment Model | RSQ 1 | SEC 2 | 1-VR 3 | SECV 4 |
|---|---|---|---|---|---|
| 400~1100 nm 1100~2498 nm | None (no derivative) | 0.922 | 808.339 | 0.908 | 887.788 |
| SNV+Detrend (no derivative) | 0.928 | 772.348 | 0.894 | 948.462 | |
| SNV only (no derivative) | 0.913 | 852.994 | 0.866 | 1063.419 | |
| Detrend only (no derivative) | 0.942 | 685.539 | 0.923 | 801.505 | |
| Standard MSC (no derivative) | 0.923 | 784.604 | 0.896 | 924.328 | |
| Weighted MSC (no derivative) | 0.937 | 748.514 | 0.908 | 909.465 | |
| None (first-order derivative) | 0.965 | 531.591 | 0.942 | 693.004 | |
| SNV+Detrend (first-order derivative) | 0.959 | 576.934 | 0.931 | 754.230 | |
| SNV only (first-order derivative) | 0.956 | 602.184 | 0.924 | 799.911 | |
| Detrend only (first-order derivative) | 0.955 | 592.659 | 0.941 | 684.969 | |
| Standard MSC (first-order derivative) | 0.955 | 603.501 | 0.924 | 796.853 | |
| Weighted MSC (first-order derivative) | 0.952 | 622.972 | 0.917 | 825.123 |
| Wave Band | Spectral Pre-Treatment Model | RSQ 1 | SEC 2 | 1-VR 3 | SECV 4 |
|---|---|---|---|---|---|
| 400~1100 nm 1100~2498 nm | None (no derivative) | 0.925 | 801.928 | 0.911 | 881.019 |
| SNV+Detrend (no derivative) | 0.929 | 773.686 | 0.896 | 950.028 | |
| SNV only (no derivative) | 0.915 | 854.883 | 0.869 | 1062.558 | |
| Detrend only (no derivative) | 0.939 | 710.771 | 0.916 | 846.407 | |
| Standard MSC (no derivative) | 0.924 | 787.616 | 0.898 | 926.614 | |
| Weighted MSC (no derivative) | 0.938 | 749.215 | 0.910 | 910.829 | |
| None (first-order derivative) | 0.966 | 532.072 | 0.944 | 685.994 | |
| SNV+Detrend (first-order derivative) | 0.959 | 576.751 | 0.932 | 751.574 | |
| SNV only (first-order derivative) | 0.956 | 602.713 | 0.925 | 802.668 | |
| Detrend only (first-order derivative) | 0.956 | 592.196 | 0.941 | 691.249 | |
| Standard MSC (first-order derivative) | 0.956 | 595.245 | 0.930 | 761.400 | |
| Weighted MSC (first-order derivative) | 0.953 | 620.968 | 0.920 | 819.108 |
Disclaimer/Publisher’s Note: The statements, opinions and data contained in all publications are solely those of the individual author(s) and contributor(s) and not of MDPI and/or the editor(s). MDPI and/or the editor(s) disclaim responsibility for any injury to people or property resulting from any ideas, methods, instructions or products referred to in the content. |
© 2023 by the authors. Licensee MDPI, Basel, Switzerland. This article is an open access article distributed under the terms and conditions of the Creative Commons Attribution (CC BY) license (https://creativecommons.org/licenses/by/4.0/).
Share and Cite
Wang, Y.-Q.; Liu, G.-M.; Hu, L.-P.; Zhao, X.-Z.; Zhang, D.-S.; He, H.-J. Prediction of Anthocyanidins Content in Purple Chinese Cabbage Based on Visible/Near Infrared Spectroscopy. Foods 2023, 12, 1922. https://doi.org/10.3390/foods12091922
Wang Y-Q, Liu G-M, Hu L-P, Zhao X-Z, Zhang D-S, He H-J. Prediction of Anthocyanidins Content in Purple Chinese Cabbage Based on Visible/Near Infrared Spectroscopy. Foods. 2023; 12(9):1922. https://doi.org/10.3390/foods12091922
Chicago/Turabian StyleWang, Ya-Qin, Guang-Min Liu, Li-Ping Hu, Xue-Zhi Zhao, De-Shuang Zhang, and Hong-Ju He. 2023. "Prediction of Anthocyanidins Content in Purple Chinese Cabbage Based on Visible/Near Infrared Spectroscopy" Foods 12, no. 9: 1922. https://doi.org/10.3390/foods12091922
APA StyleWang, Y.-Q., Liu, G.-M., Hu, L.-P., Zhao, X.-Z., Zhang, D.-S., & He, H.-J. (2023). Prediction of Anthocyanidins Content in Purple Chinese Cabbage Based on Visible/Near Infrared Spectroscopy. Foods, 12(9), 1922. https://doi.org/10.3390/foods12091922

