Optimization of Mixed Inulin, Fructooligosaccharides, and Galactooligosaccharides as Prebiotics for Stimulation of Probiotics Growth and Function
Abstract
1. Introduction
2. Materials and Methods
2.1. Bacterial Strains
2.2. Preparation of Prebiotics
2.3. Determination of the Growth Rate and the Specific Growth Rate
2.4. Determination of Organic Acid
2.5. Determination of Prebiotic Index (PI)
2.6. Optimization of Prebiotics Ratio by the Experimental Design
2.7. Fourier Transform Infrared Spectroscopy (FTIR) Analysis
2.8. Statistical Analysis
3. Results
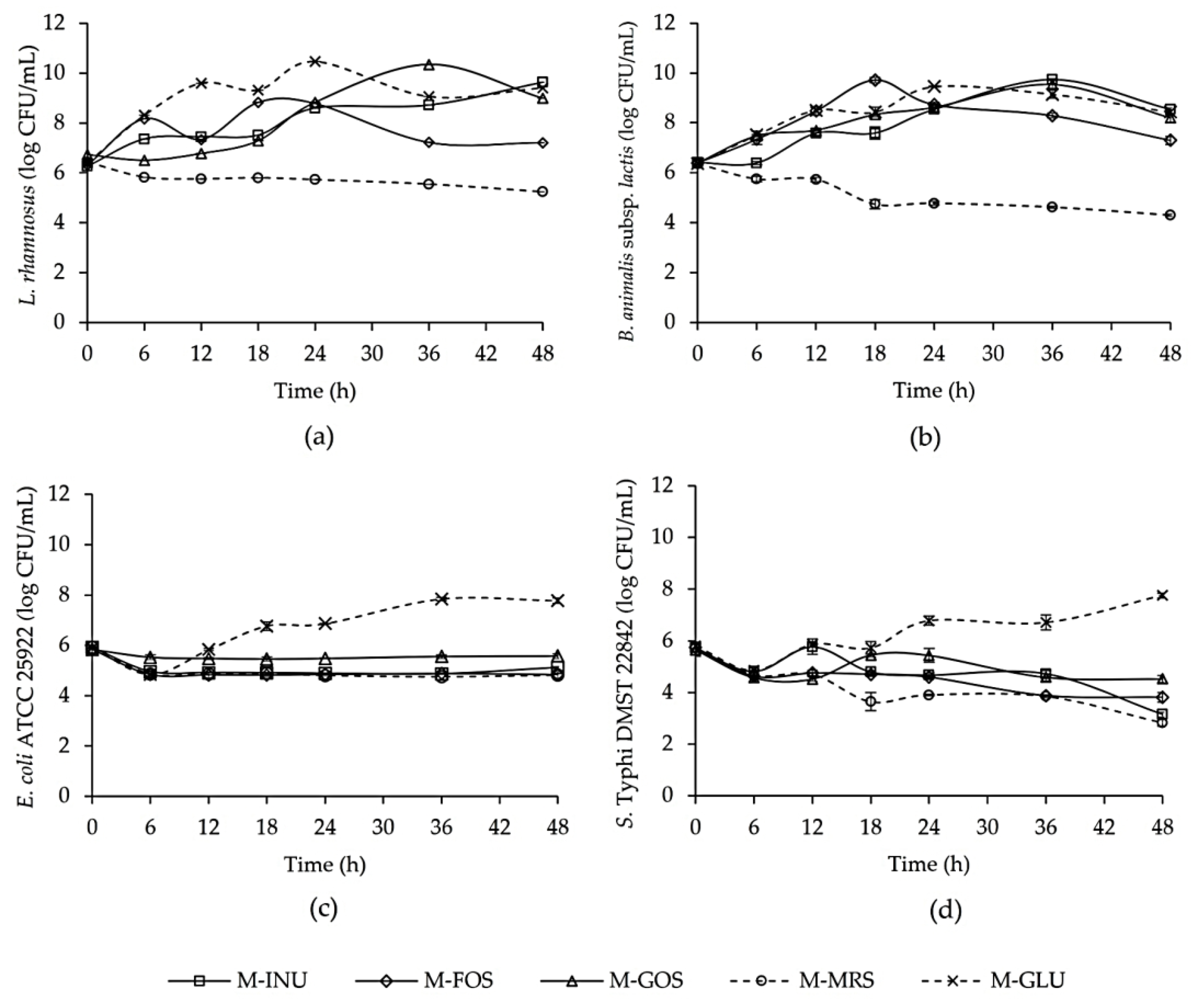
3.1. Kinetics of Monoculture Bacterial Growth on Different Media Supplemented Prebiotics
3.2. Specific Growth Rate of Monoculture Probiotics on Different Medium Supplemented Prebiotics
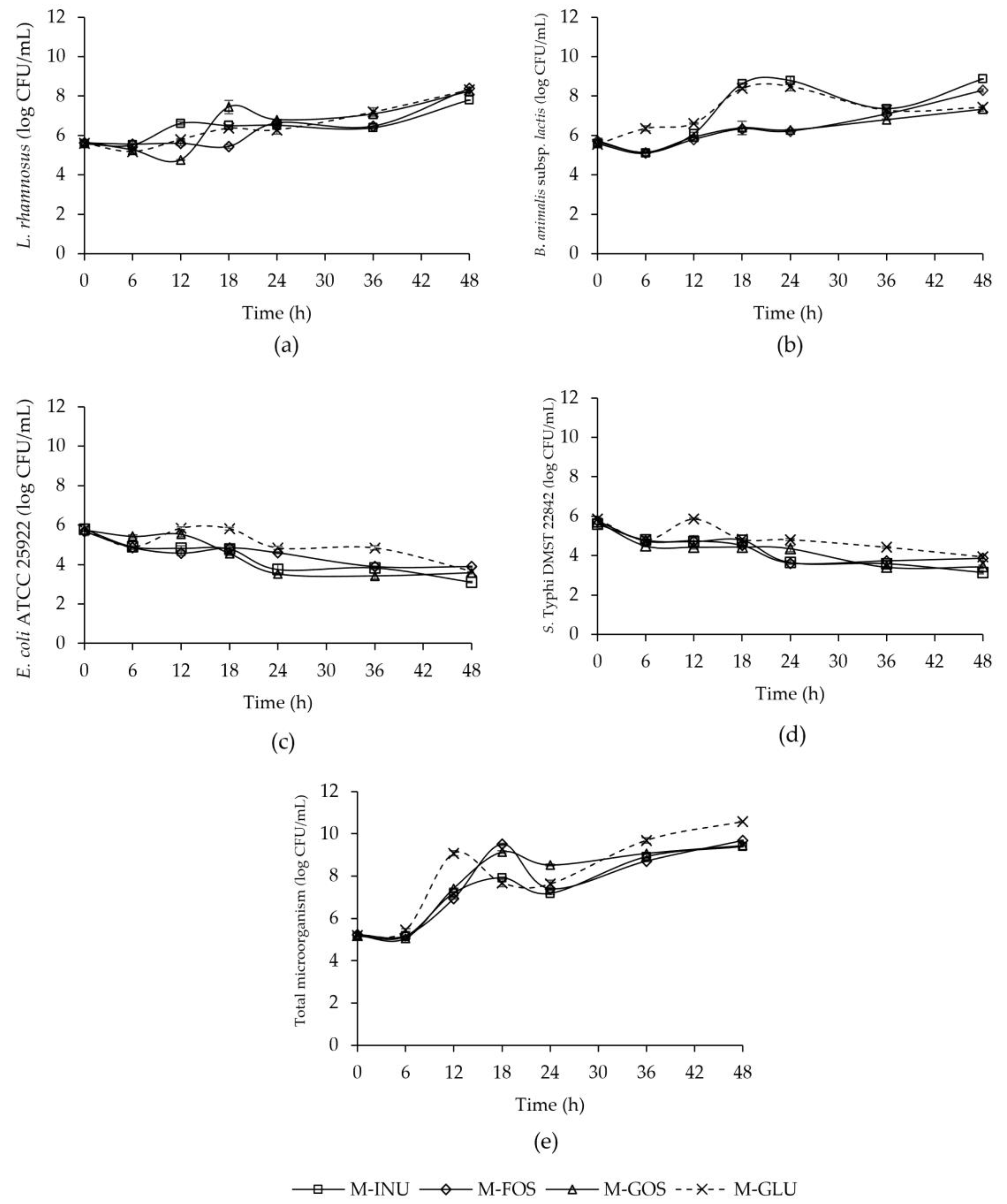
3.3. Kinetics of Co-Culture Bacterial Growth on Different Medium Supplemented Prebiotics
3.4. Prebiotic Index (PI) Score of Co-Culture Bacteria on Different Medium Supplemented Prebiotics
3.5. Organic Contents of Co-Cultures in Different Medium Supplemented Prebiotics
3.6. Optimization of Prebiotic Ratio in Culture Medium
3.7. Phytochemical Structure Using FTIR
4. Discussion
5. Conclusions
Author Contributions
Funding
Informed Consent Statement
Data Availability Statement
Acknowledgments
Conflicts of Interest
References
- Fan, Y.; Pedersen, O. Gut microbiota in human metabolic health and disease. Nat. Rev. Microbiol. 2021, 19, 55–71. [Google Scholar] [CrossRef]
- Zhang, Y.-J.; Li, S.; Gan, R.-Y.; Zhou, T.; Xu, D.-P.; Li, H.-B. Impacts of gut bacteria on human health and diseases. Int. J. Mol. Sci. 2015, 16, 7493–7519. [Google Scholar] [CrossRef] [PubMed]
- Carding, S.; Verbeke, K.; Vipond, D.T.; Corfe, B.M.; Owen, L.J. Dysbiosis of the gut microbiota in disease. Microb. Ecol. Health Dis. 2015, 26, 26191. [Google Scholar] [CrossRef] [PubMed]
- Valdes, A.M.; Walter, J.; Segal, E.; Spector, T.D. Role of the gut microbiota in nutrition and health. BMJ 2018, 361, k2179. [Google Scholar] [CrossRef]
- Olvera-Rosales, L.-B.; Cruz-Guerrero, A.-E.; Ramírez-Moreno, E.; Quintero-Lira, A.; Contreras-López, E.; Jaimez-Ordaz, J.; Castañeda-Ovando, A.; Añorve-Morga, J.; Calderón-Ramos, Z.-G.; Arias-Rico, J. Impact of the gut microbiota balance on the health–disease relationship: The importance of consuming probiotics and prebiotics. Foods 2021, 10, 1261. [Google Scholar] [CrossRef]
- Gibson, G.R.; Hutkins, R.; Sanders, M.E.; Prescott, S.L.; Reimer, R.A.; Salminen, S.J.; Scott, K.; Stanton, C.; Swanson, K.S.; Cani, P.D. Expert consensus document: The International Scientific Association for Probiotics and Prebiotics (ISAPP) consensus statement on the definition and scope of prebiotics. Nat. Rev. Gastroenterol. Hepatol. 2017, 14, 491–502. [Google Scholar] [CrossRef]
- Valdemiro Carlos, S. The importance of prebiotics in functional foods and clinical practice. Food Nutr. Sci. 2011, 2011, 4536. [Google Scholar]
- Slavin, J. Fiber and prebiotics: Mechanisms and health benefits. Nutrients 2013, 5, 1417–1435. [Google Scholar] [CrossRef]
- Markowiak, P.; Śliżewska, K. Effects of probiotics, prebiotics, and synbiotics on human health. Nutrients 2017, 9, 1021. [Google Scholar] [CrossRef] [PubMed]
- Pourabedin, M.; Zhao, X. Prebiotics and gut microbiota in chickens. FEMS Microbiol. Lett. 2015, 362, fnv122. [Google Scholar] [CrossRef]
- Davani-Davari, D.; Negahdaripour, M.; Karimzadeh, I.; Seifan, M.; Mohkam, M.; Masoumi, S.J.; Berenjian, A.; Ghasemi, Y. Prebiotics: Definition, types, sources, mechanisms, and clinical applications. Foods 2019, 8, 92. [Google Scholar] [CrossRef]
- van der Hee, B.; Wells, J.M. Microbial regulation of host physiology by short-chain fatty acids. Trends Microbiol. 2021, 29, 700–712. [Google Scholar] [CrossRef]
- Scavuzzi, B.; Henrique, F.C.; Miglioranza, L.; Simão, A.; Dichi, I. Impact of prebiotics, probiotics and synbiotics on components of the metabolic syndrome. Ann. Nutr. Disord. Ther. 2014, 1, 1009. [Google Scholar]
- Mandalari, G.; Nueno Palop, C.; Tuohy, K.; Gibson, G.; Bennett, R.; Waldron, K.; Bisignano, G.; Narbad, A.; Faulds, C. In vitro evaluation of the prebiotic activity of a pectic oligosaccharide-rich extract enzymatically derived from bergamot peel. Appl. Microbiol. Biotechnol. 2007, 73, 1173–1179. [Google Scholar] [CrossRef]
- Figueroa-Gonzalez, I.; Rodriguez-Serrano, G.; Gomez-Ruiz, L.; Garcia-Garibay, M.; Cruz-Guerrero, A. Prebiotic effect of commercial saccharides on probiotic bacteria isolated from commercial products. Food Sci. Technol. 2019, 39, 747–753. [Google Scholar] [CrossRef]
- Martinez, R.C.R.; Bedani, R.; Saad, S.M.I. Scientific evidence for health effects attributed to the consumption of probiotics and prebiotics: An update for current perspectives and future challenges. Br. J. Nutr. 2015, 114, 1993–2015. [Google Scholar] [CrossRef] [PubMed]
- Awad, W.; Ghareeb, K.; Abdel-Raheem, S.; Böhm, J. Effects of dietary inclusion of probiotic and synbiotic on growth performance, organ weights, and intestinal histomorphology of broiler chickens. Poult. Sci. 2009, 88, 49–56. [Google Scholar] [CrossRef] [PubMed]
- Ghoddusi, H.; Grandison, M.; Grandison, A.; Tuohy, K. In vitro study on gas generation and prebiotic effects of some carbohydrates and their mixtures. Anaerobe 2007, 13, 193–199. [Google Scholar] [CrossRef] [PubMed]
- Manderson, K.; Pinart, M.; Tuohy, K.; Grace, W.; Hotchkiss, A.; Widmer, W.; Yadhav, M.; Gibson, G.; Rastall, R. In vitro determination of prebiotic properties of oligosaccharides derived from an orange juice manufacturing by-product stream. Appl. Environ. Microbiol. 2005, 71, 8383–8389. [Google Scholar] [CrossRef]
- Wichienchot, S.; Prasertsan, P.; Hongpattarakere, T.; Gibson, G.; Rastall, R. In vitro fermentation of mixed linkage gluco-oligosaccharides produced by Gluconobacter oxydans NCIMB 4943 by the human colonic microflora. Curr. Issues Intest. Microbiol. 2006, 7, 7–12. [Google Scholar]
- Manning, T.S.; Gibson, G.R. Prebiotics. Best Pract. Res. Clin. Gastroenterol. 2004, 18, 287–298. [Google Scholar] [CrossRef]
- Zheng, J.; Wittouck, S.; Salvetti, E.; Franz, C.M.; Harris, H.M.; Mattarelli, P.; O’toole, P.W.; Pot, B.; Vandamme, P.; Walter, J. A taxonomic note on the genus Lactobacillus: Description of 23 novel genera, emended description of the genus Lactobacillus Beijerinck 1901, and union of Lactobacillaceae and Leuconostocaceae. Int. J. Syst. Evol. Microbiol. 2020, 70, 2782–2858. [Google Scholar] [CrossRef]
- Saminathan, M.; Sieo, C.; Kalavathy, R.; Abdullah, N.; Ho, Y. Effect of prebiotic oligosaccharides on growth of Lactobacillus strains used as a probiotic for chickens. Afr. J. Microbiol. Res. 2011, 5, 57–64. [Google Scholar]
- Olano-Martin, E.; Mountzouris, K.C.; Gibson, G.R.; Rastall, R.A. In vitro fermentability of dextran, oligodextran and maltodextrin by human gut bacteria. Br. J. Nutr. 2000, 83, 247–255. [Google Scholar] [CrossRef]
- Kotani, A.; Miyaguchi, Y.; Kohama, M.; Ohtsuka, T.; Shiratori, T.; Kusu, F. Determination of short-chain fatty acids in rat and human feces by high-performance liquid chromatography with electrochemical detection. Anal. Sci. 2009, 25, 1007–1011. [Google Scholar] [CrossRef] [PubMed]
- Torii, T.; Kanemitsu, K.; Wada, T.; Itoh, S.; Kinugawa, K.; Hagiwara, A. Measurement of short-chain fatty acids in human faeces using high-performance liquid chromatography: Specimen stability. Ann. Clin. Biochem. 2010, 47, 447–452. [Google Scholar] [CrossRef] [PubMed]
- Depeint, F.; Tzortzis, G.; Vulevic, J.; I’anson, K.; Gibson, G.R. Prebiotic evaluation of a novel galactooligosaccharide mixture produced by the enzymatic activity of Bifidobacterium bifidum NCIMB 41171, in healthy humans: A randomized, double-blind, crossover, placebo-controlled intervention study. Am. J. Clin. Nutr. 2008, 87, 785–791. [Google Scholar] [CrossRef]
- Yang, K.; Zhang, Y.; Cai, M.; Guan, R.; Neng, J.; Pi, X.; Sun, P. In vitro prebiotic activities of oligosaccharides from the by-products in Ganoderma lucidum spore polysaccharide extraction. RSC Adv. 2020, 10, 14794–14802. [Google Scholar] [CrossRef]
- Afinjuomo, F.; Fouladian, P.; Barclay, T.G.; Song, Y.; Petrovsky, N.; Garg, S. Influence of oxidation degree on the physicochemical properties of oxidized inulin. Polymers 2020, 12, 1025. [Google Scholar] [CrossRef]
- Terkmane, N.; Krea, M.; Moulai-Mostefa, N. Optimisation of inulin extraction from globe artichoke (Cynara cardunculus L. subsp. scolymus (L.) Hegi.) by electromagnetic induction heating process. Int. J. Food Sci. Technol. 2016, 51, 1997–2008. [Google Scholar] [CrossRef]
- He, L.; Hu, M.; Huang, X.; Zhang, Y. Determination of politary organic compounds in atmospheric fine particulate matter in Beijing City. Huan Jing Ke Xue = Huanjing Kexue 2004, 25, 15–20. [Google Scholar] [PubMed]
- He, M.; Tan, C.P.; Liu, Y.; Xu, Y.-J. Foodomics: A new perspective on gut probiotics nutrition and health research. Curr. Opin. Food Sci. 2021, 41, 146–151. [Google Scholar] [CrossRef]
- Cheng, Y.-C.; Liu, J.-R. Effect of Lactobacillus rhamnosus GG on energy metabolism, leptin resistance, and gut microbiota in mice with diet-induced obesity. Nutrients 2020, 12, 2557. [Google Scholar] [CrossRef]
- Mao, K.; Gao, J.; Wang, X.; Li, X.; Geng, S.; Zhang, T.; Sadiq, F.A.; Sang, Y. Bifidobacterium animalis subsp. lactis BB-12 has effect against obesity by regulating gut microbiota in two phases in human microbiota-associated rats. Front. Nutr. 2022, 8, 811619. [Google Scholar] [CrossRef]
- Wagner, N.; Tran, Q.H.; Richter, H.; Selzer, P.M.; Unden, G. Pyruvate fermentation by Oenococcus oeni and Leuconostoc mesenteroides and role of pyruvate dehydrogenase in anaerobic fermentation. Appl. Environ. Microbiol. 2005, 71, 4966–4971. [Google Scholar] [CrossRef]
- Buckel, W. Energy conservation in fermentations of anaerobic bacteria. Front. Microbiol. 2021, 12, 703525. [Google Scholar] [CrossRef] [PubMed]
- Sugkhaphan, P.; Kijroongrojana, K. Optimization of prebiotics in soybean milk using mixture experiments. Songklanakarin J. Sci. Technol. 2009, 31, 481–490. [Google Scholar]
- Scott, K.P.; Grimaldi, R.; Cunningham, M.; Sarbini, S.R.; Wijeyesekera, A.; Tang, M.L.; Lee, J.Y.; Yau, Y.F.; Ansell, J.; Theis, S. Developments in understanding and applying prebiotics in research and practice—An ISAPP conference paper. J. Appl. Microbiol. 2020, 128, 934–949. [Google Scholar] [CrossRef]
- Shin, H.S.; Lee, J.H.; Pestka, J.; Ustunol, Z. Growth and viability of commercial Bifidobacterium spp. in skim milk containing oligosaccharides and inulin. J. Food Sci. 2000, 65, 884–887. [Google Scholar] [CrossRef]
- Buddington, K.K.; Donahoo, J.B.; Buddington, R.K. Dietary oligofructose and inulin protect mice from enteric and systemic pathogens and tumor inducers. J. Nutr. 2002, 132, 472–477. [Google Scholar] [CrossRef]
- Asahara, T.; Nomoto, K.; Shimizu, K.; Watanuki, M.; Tanaka, R. Increased resistance of mice to Salmonella enterica serovar Typhimurium infection by synbiotic administration of Bifidobacteria and transgalactosylated oligosaccharides. J. Appl. Microbiol. 2001, 91, 985–996. [Google Scholar] [CrossRef]
- Mandalari, G.; Nueno-Palop, C.; Bisignano, G.; Wickham, M.; Narbad, A. Potential prebiotic properties of almond (Amygdalus communis L.) seeds. Applied and environmental microbiology 2008, 74, 4264–4270. [Google Scholar] [CrossRef]
- Palframan, R.; Gibson, G.; Rastall, R. Development of a quantitative tool for the comparison of the prebiotic effect of dietary oligosaccharides. Lett. Appl. Microbiol. 2003, 37, 281–284. [Google Scholar] [CrossRef]
- You, S.; Ma, Y.; Yan, B.; Pei, W.; Wu, Q.; Ding, C.; Huang, C. The promotion mechanism of prebiotics for probiotics: A review. Front. Nutr. 2022, 9, 2223. [Google Scholar] [CrossRef]
- Batsalova, T.; Georgiev, Y.; Moten, D.; Teneva, I.; Dzhambazov, B. Natural Xylooligosaccharides Exert Antitumor Activity via Modulation of Cellular Antioxidant State and TLR4. Int. J. Mol. Sci. 2022, 23, 10430. [Google Scholar] [CrossRef] [PubMed]
- Harris, S.; Monteagudo-Mera, A.; Kosik, O.; Charalampopoulos, D.; Shewry, P.; Lovegrove, A. Comparative prebiotic activity of mixtures of cereal grain polysaccharides. AMB Express 2019, 9, 203. [Google Scholar] [CrossRef]
- Bondue, P.; Delcenserie, V. Genome of bifidobacteria and carbohydrate metabolism. Korean J. Food Sci. Anim. Resour. 2015, 35, 1–9. [Google Scholar] [CrossRef] [PubMed]
- LeBlanc, J.G.; Ledue-Clier, F.; Bensaada, M.; De Giori, G.S.; Guerekobaya, T.; Sesma, F.; Juillard, V.; Rabot, S.; Piard, J.-C. Ability of Lactobacillus fermentum to overcome host α-galactosidase deficiency, as evidenced by reduction of hydrogen excretion in rats consuming soya α-galacto-oligosaccharides. BMC Microbiol. 2008, 8, 22. [Google Scholar] [CrossRef] [PubMed]
- EFSA Panel on Dietetic Products, Nutrition, and Allergies (NDA). Scientific opinion on dietary reference values for carbohydrates and dietary fibre. EFSA J. 2010, 8, 1462. [Google Scholar]
- Napolitano, A.; Costabile, A.; Martin-Pelaez, S.; Vitaglione, P.; Klinder, A.; Gibson, G.R.; Fogliano, V. Potential prebiotic activity of oligosaccharides obtained by enzymatic conversion of durum wheat insoluble dietary fibre into soluble dietary fibre. Nutr. Metab. Cardiovasc. Dis. 2009, 19, 283–290. [Google Scholar] [CrossRef] [PubMed]
- Tewari, S.; Dubey, K.K.; Singhal, R.S. Evaluation and application of prebiotic and probiotic ingredients for development of ready to drink tea beverage. J. Food Sci. Technol. 2018, 55, 1525–1534. [Google Scholar] [CrossRef] [PubMed]
- Ren, H.; Zentek, J.; Vahjen, W. Optimization of production parameters for probiotic Lactobacillus strains as feed additive. Molecules 2019, 24, 3286. [Google Scholar] [CrossRef]
- Liong, M.T.; Shah, N.P. Optimization of cholesterol removal by probiotics in the presence of prebiotics by using a response surface method. Appl. Environ. Microbiol. 2005, 71, 1745–1753. [Google Scholar] [CrossRef] [PubMed]
- Grube, M.; Bekers, M.; Upite, D.; Kaminska, E. Infrared spectra of some fructans. Spectroscopy 2002, 16, 289–296. [Google Scholar] [CrossRef]
- Moen, B.; Oust, A.; Langsrud, Ø.; Dorrell, N.; Marsden, G.L.; Hinds, J.; Kohler, A.; Wren, B.W.; Rudi, K. Explorative multifactor approach for investigating global survival mechanisms of Campylobacter jejuni under environmental conditions. Appl. Environ. Microbiol. 2005, 71, 2086–2094. [Google Scholar] [CrossRef] [PubMed]
- Papadopoulou, O.S.; Argyri, A.A.; Kounani, V.; Tassou, C.C.; Chorianopoulos, N. Use of Fourier transform infrared spectroscopy for monitoring the shelf life and safety of yogurts supplemented with a lactobacillus plantarum strain with probiotic potential. Front. Microbiol. 2021, 12, 1625. [Google Scholar] [CrossRef]








| Std | Run | Variable Factors (%w/v) | ||
|---|---|---|---|---|
| X1: INU | X2: FOS | X3: GOS | ||
| 9 | 1 | 2.00 (0) | 1.33 (−1) | 1.33 (−1) |
| 14 | 2 | 2.00 (0) | 2.00 (0) | 2.00 (0) |
| 4 | 3 | 2.67 (1) | 2.67 (1) | 2.00 (0) |
| 15 | 4 | 2.00 (0) | 2.00 (0) | 2.00 (0) |
| 3 | 5 | 1.33 (−1) | 2.67 (1) | 2.00 (0) |
| 6 | 6 | 2.67 (1) | 2.00 (0) | 1.33 (−1) |
| 13 | 7 | 2.00 (0) | 2.00 (0) | 2.00 (0) |
| 5 | 8 | 1.33 (−1) | 2.00 (0) | 1.33 (−1) |
| 8 | 9 | 2.67 (1) | 2.00 (0) | 2.67 (1) |
| 12 | 10 | 2.00 (0) | 2.67 (1) | 2.67 (1) |
| 10 | 11 | 2.00 (0) | 2.67 (1) | 1.33 (−1) |
| 11 | 12 | 2.00 (0) | 1.33 (−1) | 2.67 (1) |
| 2 | 13 | 2.67 (1) | 1.33 (−1) | 2.00 (0) |
| 1 | 14 | 1.33 (−1) | 1.33 (−1) | 2.00 (0) |
| 16 | 15 | 2.00 (0) | 2.00 (0) | 2.00 (0) |
| 7 | 16 | 1.33 (−1) | 2.00 (0) | 2.67 (1) |
| 17 | 17 | 2.00 (0) | 2.00 (0) | 2.00 (0) |
| Std | Run | Variable Factors (%w/v) | PI Score 1 | Total SCFAs 1 | ||||
|---|---|---|---|---|---|---|---|---|
| X1: INU (%w/v) | X2: FOS (%w/v) | X3: GOS (%w/v) | Actual Value | Predicted Value | Actual Value | Predicted Value | ||
| 9 | 1 | 2.00 (0) | 1.33 (−1) | 1.33 (−1) | 0.05 f | 0.02 | 64.33 bcde | 63.85 |
| 14 | 2 | 2.00 (0) | 2.00 (0) | 2.00 (0) | 0.44 bcd | 0.45 | 55.00 de | 53.95 |
| 4 | 3 | 2.67 (1) | 2.67 (1) | 2.00 (0) | 0.37 cd | 0.38 | 49.89 d | 48.50 |
| 15 | 4 | 2.00 (0) | 2.00 (0) | 2.00 (0) | 0.47 bcd | 0.45 | 58.52 cde | 53.95 |
| 3 | 5 | 1.33 (−1) | 2.67 (1) | 2.00 (0) | 0.60 bc | 0.65 | 59.60 cde | 59.52 |
| 6 | 6 | 2.67 (1) | 2.00 (0) | 1.33 (−1) | 0.61 b | 0.69 | 82.26 ab | 82.66 |
| 13 | 7 | 2.00 (0) | 2.00 (0) | 2.00 (0) | 0.45 bcd | 0.45 | 54.42 de | 53.95 |
| 5 | 8 | 1.33 (−1) | 2.00 (0) | 1.33 (−1) | 0.17 ef | 0.21 | 75.21 abc | 74.30 |
| 8 | 9 | 2.67 (1) | 2.00 (0) | 2.67 (1) | 0.40 bcd | 0.36 | 61.54 cde | 62.45 |
| 12 | 10 | 2.00 (0) | 2.67 (1) | 2.67 (1) | 0.32 de | 0.35 | 60.42 cde | 60.90 |
| 10 | 11 | 2.00 (0) | 2.67 (1) | 1.33 (−1) | 0.46 bcd | 0.38 | 74.05 abcd | 75.04 |
| 11 | 12 | 2.00 (0) | 1.33 (−1) | 2.67 (1) | 0.38 cde | 0.46 | 69.62 abcde | 68.63 |
| 2 | 13 | 2.67 (1) | 1.33 (−1) | 2.00 (0) | 0.52 bcd | 0.47 | 50.54 d | 50.62 |
| 1 | 14 | 1.33 (−1) | 1.33 (−1) | 2.00 (0) | 0.31 de | 0.31 | 52.55 d | 53.94 |
| 16 | 15 | 2.00 (0) | 2.00 (0) | 2.00 (0) | 0.44 bcd | 0.45 | 51.30 d | 53.95 |
| 7 | 16 | 1.33 (−1) | 2.00 (0) | 2.67 (1) | 1.03 a | 0.95 | 85.55 a | 85.15 |
| 17 | 17 | 2.00 (0) | 2.00 (0) | 2.00 (0) | 0.43 bcd | 0.45 | 50.49 d | 53.95 |
| Source | Sum of Squares | df | Mean Square | F-Value | p-Value | |
|---|---|---|---|---|---|---|
| Model | 0.2514 | 6 | 0.0419 | 205.70 | <0.0001 | significant |
| A | 0.0000 | 1 | 0.0000 | 0.0655 | 0.8066 | |
| B | 0.0048 | 1 | 0.0048 | 23.63 | 0.0028 | |
| C | 0.0323 | 1 | 0.0323 | 158.40 | <0.0001 | |
| AB | 0.0484 | 1 | 0.0484 | 237.60 | <0.0001 | |
| AC | 0.0434 | 1 | 0.0434 | 212.85 | <0.0001 | |
| BC | 0.1130 | 1 | 0.1130 | 554.70 | <0.0001 | |
| Residual | 0.0012 | 6 | 0.0002 | |||
| Lack of fit | 0.0003 | 2 | 0.0002 | 0.6570 | 0.5666 | not significant |
| Pure error | 0.0009 | 4 | 0.0002 | |||
| Cor total | 0.2526 | 12 |
| Source | Sum of Squares | df | Mean Square | F-Value | p-Value | |
|---|---|---|---|---|---|---|
| Model | 2039.98 | 9 | 226.66 | 32.03 | <0.0001 | significant |
| A | 102.87 | 1 | 102.87 | 14.54 | 0.0066 | |
| B | 6.00 | 1 | 6.00 | 0.8474 | 0.3879 | |
| C | 43.87 | 1 | 43.87 | 6.20 | 0.0416 | |
| AB | 14.81 | 1 | 14.81 | 2.09 | 0.1913 | |
| AC | 241.19 | 1 | 241.19 | 34.09 | 0.0006 | |
| BC | 89.48 | 1 | 89.48 | 12.65 | 0.0093 | |
| A2 | 71.38 | 1 | 71.38 | 10.09 | 0.0156 | |
| B2 | 101.87 | 1 | 101.87 | 14.40 | 0.0068 | |
| C2 | 1375.74 | 1 | 1375.74 | 194.44 | <0.0001 | |
| Residual | 49.53 | 7 | 7.08 | |||
| Lack of fit | 8.29 | 3 | 2.76 | 0.2680 | 0.8460 | not significant |
| Pure error | 41.24 | 4 | 10.31 | |||
| Cor total | 2089.51 | 16 |
| Statistical Parameter | PI Score | Total SCFAS |
|---|---|---|
| Standard deviation | 0.0143 | 2.66 |
| Mean | 0.3823 | 62.08 |
| Coefficient of variation (% CV) | 3.73 | 4.29 |
| Coefficient of determination (R2) | 0.9952 | 0.9763 |
| Adjust R2 | 0.9903 | 0.9458 |
| Predicted R2 | 0.9638 | 0.9057 |
| Adequate precision | 52.3031 | 17.9638 |
Disclaimer/Publisher’s Note: The statements, opinions and data contained in all publications are solely those of the individual author(s) and contributor(s) and not of MDPI and/or the editor(s). MDPI and/or the editor(s) disclaim responsibility for any injury to people or property resulting from any ideas, methods, instructions or products referred to in the content. |
© 2023 by the authors. Licensee MDPI, Basel, Switzerland. This article is an open access article distributed under the terms and conditions of the Creative Commons Attribution (CC BY) license (https://creativecommons.org/licenses/by/4.0/).
Share and Cite
Kaewarsar, E.; Chaiyasut, C.; Lailerd, N.; Makhamrueang, N.; Peerajan, S.; Sirilun, S. Optimization of Mixed Inulin, Fructooligosaccharides, and Galactooligosaccharides as Prebiotics for Stimulation of Probiotics Growth and Function. Foods 2023, 12, 1591. https://doi.org/10.3390/foods12081591
Kaewarsar E, Chaiyasut C, Lailerd N, Makhamrueang N, Peerajan S, Sirilun S. Optimization of Mixed Inulin, Fructooligosaccharides, and Galactooligosaccharides as Prebiotics for Stimulation of Probiotics Growth and Function. Foods. 2023; 12(8):1591. https://doi.org/10.3390/foods12081591
Chicago/Turabian StyleKaewarsar, Ekkachai, Chaiyavat Chaiyasut, Narissara Lailerd, Netnapa Makhamrueang, Sartjin Peerajan, and Sasithorn Sirilun. 2023. "Optimization of Mixed Inulin, Fructooligosaccharides, and Galactooligosaccharides as Prebiotics for Stimulation of Probiotics Growth and Function" Foods 12, no. 8: 1591. https://doi.org/10.3390/foods12081591
APA StyleKaewarsar, E., Chaiyasut, C., Lailerd, N., Makhamrueang, N., Peerajan, S., & Sirilun, S. (2023). Optimization of Mixed Inulin, Fructooligosaccharides, and Galactooligosaccharides as Prebiotics for Stimulation of Probiotics Growth and Function. Foods, 12(8), 1591. https://doi.org/10.3390/foods12081591

