Structural Evolution of Global Soybean Trade Network and the Implications to China
Abstract
1. Introduction
2. Materials and Methods
2.1. Complex Network Analysis
2.2. Robustness of the Complex Networks
2.3. Data Sources
3. Results
3.1. Structural Evolution of the GSTN
3.1.1. Basic Topological Properties of the GSTN
3.1.2. Community Analysis of the GSTN
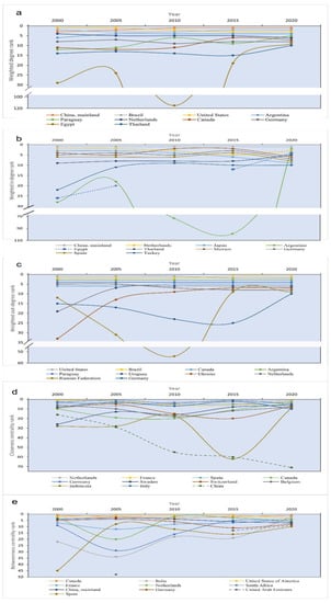
3.1.3. Changes of Importer and Exporter of the GSTN
3.2. Disruption Simulation of GSTN and the Impact on China
3.2.1. Structural Changes of China’s Soybean Trade
3.2.2. Targeted Disruptions of GSTN and the Impact on China’s Soybean Trade Market
4. Discussion and Policy Implications
4.1. Balancing Import and Domestic Production of Soybean
4.2. Seeking More Soybean Trade Partners
4.3. Improving Domestic Soybean Production and Soybean Self-Sufficiency
5. Conclusions
Author Contributions
Funding
Data Availability Statement
Acknowledgments
Conflicts of Interest
References
- Sun, J.; Shu, K.L.; Zhuang, W.; Wang, H.L.; Xu, X.H. Analysis of China’s Soybean Supply and Demand Based on International Trade. J. Northeast Agric. Sci. 2017, 42, 64–68. [Google Scholar] [CrossRef]
- United Nations. UN Comtrade Database. United Nations: New York, NY, USA, 2021. Available online: https://comtrade.un.org/data/ (accessed on 15 May 2021).
- Food and Agriculture Organization (FAO). FAOSTAT Statistics Database of the Food and Agricultural Organization of the United Nations (FAO); Food and Agriculture Organization (FAO): Rome, Italy, 2021; Available online: https://www.fao.org/faostat/en/#data/QCL (accessed on 15 May 2021).
- Wang, L.W. Analysis of China’s soybean supply and demand structure and long-term forecast. Soybean Sci. Technol. 2021, 173, 11–14. [Google Scholar]
- Tao, B.S.H.; Dai, H.N.; Wu, J.J.; Ho, I.W.H.; Zheng, Z.B.; Cheang, C.F. Complex Network Analysis of the Bitcoin Transaction Network. IEEE Trans. Circuits Syst. II. Express Briefs 2022, 69, 1009–1013. [Google Scholar] [CrossRef]
- Wang, L.; Xue, X.L.; Zhou, X.; Wang, Z.Y.; Liu, R. Analyzing the topology characteristic and effectiveness of the China city network. Environ. Plan B Urban Anal. City Sci. 2021, 48, 2554–2573. [Google Scholar] [CrossRef]
- Zhang, N.N.; Guan, Y.; Jiang, Y.Q.; Zhang, X.Y.; Ding, D.; Wang, S.X. Regional demarcation of synergistic control for PM2.5 and ozone pollution in China based on long-term and massive data mining. Sci. Total Environ. 2022, 838, 155975. [Google Scholar] [CrossRef]
- Liu, J.; Hao, J.; Shi, Z.; Bao, H.X.H. Building the COVID-19 Collaborative Emergency Network: A case study of COVID-19 outbreak in Hubei Province, China. Nat. Hazards 2020, 104, 2687–2717. [Google Scholar] [CrossRef]
- Zhu, S.; Kou, M.; Lai, F.J.; Feng, Q.X.; Du, G.R. The Connectedness of the Coronavirus Disease Pandemic in the World: A Study Based on Complex Network Analysis. Front. Phys. 2021, 8, 602075. [Google Scholar] [CrossRef]
- Dalin, C.; Konar, M.; Hanasaki, N.; Rinaldo, A.; Rodriguez-Iturbe, I. Evolution of the global virtual water trade network. Proc. Natl. Acad. Sci. USA 2012, 109, 5989–5994. [Google Scholar] [CrossRef]
- Li, Y.L.; Chen, B.; Chen, G.Q.; Wu, X.F. The global oil supply chain: The essential role of non-oil product as revealed by a comparison between physical and virtual oil trade patterns. Resour. Conserv. Recycl. 2021, 175, 105836. [Google Scholar] [CrossRef]
- Li, S.; Yan, H. Evolution Characteristics and Influence Factor of World Oil-Bearing Crops Trade Network. Trop. Geogr. 2022, 42, 1241–1252. [Google Scholar] [CrossRef]
- Zhang, Y.T.; Zhou, W.X. Structural evolution of international crop trade networks. Front. Phys. 2022, 10, 782. [Google Scholar] [CrossRef]
- Ma, J.L.; Li, M.; Li, X.T. The evolution of international grain trade pattern based on complex network and entropy. Int. J. Mod. Phys. C 2023, 34, 1–28. [Google Scholar] [CrossRef]
- Vishwakarma, S.; Zhang, X.; Lyubchich, V. Wheat trade tends to happen between countries with contrasting extreme weather stress and synchronous yield variation. Commun. Earth Environ. 2022, 3, 1–9. [Google Scholar] [CrossRef]
- Zhou, M.Z.; Wang, J.Y. Implications from pattern and evolution of global rice trade: A complex network analysis. J. Nat. Resour. 2020, 35, 1055–1067. [Google Scholar] [CrossRef]
- Lu, Y.J.; Chen, Y.F.; Han, Y.J. Evolution characteristics and policy implications of the global soybean trade network. Res. Agric. Mod. 2019, 40, 674–682. [Google Scholar] [CrossRef]
- Kou, Y.T.; Xian, G.J.; Dong, C.; Ye, S.; Zhao, R.X. Dynamic Evolution Research and System Implementation of International Soybean Trade Network Based on Complex Network. In Proceedings of the 2nd International Conference on Computer Science and Application Engineering CSAE’18, Hohhot, China, 22–24 October 2018; pp. 1–6. [Google Scholar] [CrossRef]
- Mendes dos Reis, J.G.; Amorim, P.S.; Sarsfield Pereira Cabral, J.A.; Toloi, R.C. The Impact of Logistics Performance on Argentina, Brazil, and the US Soybean Exports from 2012 to 2018: A Gravity Model Approach. Agriculture 2020, 10, 338. [Google Scholar] [CrossRef]
- Sun, L.; Qi, M.X.; Reed, M.R. The effects of soybean trade policies on domestic soybean market in China during the food crisis. China Agr. Econ. Rev. 2018, 10, 372–385. [Google Scholar] [CrossRef]
- Sly, M.J.H. The Argentine portion of the soybean commodity chain. Palgr. Commun. 2017, 3, 17095. [Google Scholar] [CrossRef]
- Wang, Y.; Wang, H.; Guo, S.B. Research on Dynamic Game Model and Application of China’s Imported Soybean Price in the Context of China-US Economic and Trade Friction. Complexity 2019, 2019, 6048186. [Google Scholar] [CrossRef]
- Jaegermeyr, J.; Robock, A.; Elliott, J.; Mueller, C.; Xia, L.; Khabarov, N.; Folberth, C.; Schmid, E.; Liu, W.; Zabel, F.; et al. A regional nuclear conflict would compromise global food security. Proc. Natl. Acad. Sci. USA 2020, 117, 7071–7081. [Google Scholar] [CrossRef]
- Bras, T.A.; Jagermeyr, J.; Seixas, J. Exposure of the EU-28 food imports to extreme weather disasters in exporting countries. Food Secur. 2019, 11, 1373–1393. [Google Scholar] [CrossRef]
- Laborde, D.; Martin, W.; Swinnen, J.; Vos, R. COVID-19 risks to global food security. Science 2020, 369, 500–502. [Google Scholar] [CrossRef] [PubMed]
- Aaron, A.; Baidya, A.; Wang, J.; Chan, C.; Wetzler, E.; Kang, Y. The Early Impacts of COVID-19 on Food Security and Livelihood in Vietnam. Front. Sustain. Food Syst. 2021, 5, 739140. [Google Scholar] [CrossRef]
- Wu, P.C.; Weng, C.X. Implications of the China-US trade agreement on the civil protection of trade secrets in China: Is it a game changer? Asia Pac. Law Rev. 2020, 28, 316–336. [Google Scholar] [CrossRef]
- Kleinberg, J.M. Authoritative sources in a hyperlinked environment. J. Assoc. Comput. Mach. 1999, 46, 604–632. [Google Scholar] [CrossRef]
- Dong, Z.L.; Yang, Q.R. Analysis on the Robustness of International Grain Trade Network. Contemp. Econ. Manag. 2021, 43, 73–78. [Google Scholar] [CrossRef]
- Lv, M.K.; Zhang, L.J.; Qin, Y.C.; Zhang, M.M.; Yang, J.X.; Yu, Y. Spatiotemporal pattern of Chinese food trade and structural security assessment, 1987–2016. Resour. Sci. 2021, 43, 838–848. [Google Scholar] [CrossRef]
- Liu, H.; Shen, G.; Yang, J.; Wu, W.B.; Sun, J. Quantitative assessment of the impact of China’s soybean import tariff adjustment on global water and farmland. J. Nat. Resour. 2021, 36, 1535–1544. [Google Scholar] [CrossRef]
- Zhang, Y.X.; Li, X. The influence of Sino-US trade friction on soybean production in Chinese coastal areas—Taking Jiangsu as an example. China Econ. 2022, 5, 17–19+22. [Google Scholar]
- Zhao, X.L.; Wang, R.H.; Yao, J.C.; Xia, X.L. Current Situation and Problems of Soybean Import Trade in China. Grain Sci. Technol. Econ. 2020, 45, 20–22+61. [Google Scholar] [CrossRef]
- Liu, C.; Du, J.; Mao, W. Volatility Characteristics of China’s Soybean Futures Price in the Context of Sino—US Trade Frictions: A Study Based on ARCH Models. J. Hebei Agric. Univ. 2022, 24, 120–128. [Google Scholar] [CrossRef]
- Liu, Z.H. Research on Forecast and Early Warning of Soybean Price Fluctuation. Master’s Thesis, Northeast Agricultural University, Harbin, China, 2021. [Google Scholar] [CrossRef]
- Yan, H.R.; Chen, Y.Y.; Ku, H.B. China’s soybean crisis: The logic of modernization and its discontents. J. Peasant Stud. 2016, 43, 373–395. [Google Scholar] [CrossRef]
- Zeng, F.S.; Dai, P. Measurement and analysis of the contribution of factors influencing the yield of food production. Chin. Rural Econ. 2011, 3, 66–76. [Google Scholar]
- Huang, B.X.; Wang, M.H.; Huang, J.C. China Rural Statistical Yearbook; China’s National Bureau of Statistics: Beijing, China, 2019; pp. 273–279. [CrossRef]






| Index | Meaning |
|---|---|
| Network density | The closeness of the trade flows between each country. |
| Average path length | The efficiency of trade between countries. |
| Network diameter | The trade network size. |
| Degree | The number of direct trade flows between countries. |
| Weighted degree | The total amount of trade between a country and other countries. |
| Weighted outdegree Weighted indegree | The actual amount of soybean export or import flows of a country. |
| Betweenness centrality | The ability of a country to control over the trade flows. |
| Closeness centrality | The anti-interference ability of a country under the influence of external factors. |
| Clustering coefficient | The aggregation of countries in the trade network. |
| Modularity | The degree of division of the communities in a trade network. |
| Hub value | A country playing a hub or key role in the trade network or not. |
| Year | Average Degree | Average Weighted Degree | Network Diameter | Graph Density | Average Clustering Coefficient | Average Path Length | Nodes | Edges | Modularity |
|---|---|---|---|---|---|---|---|---|---|
| 2000 | 5.038 | 367,500.7 | 8 | 0.039 | 0.261 | 3.029 | 123 | 660 | 0.180 |
| 2005 | 5.122 | 447,186.0 | 8 | 0.035 | 0.253 | 2.890 | 135 | 758 | 0.342 |
| 2010 | 5.781 | 684,465.6 | 8 | 0.043 | 0.283 | 3.058 | 129 | 792 | 0.111 |
| 2015 | 6.012 | 777,411.7 | 7 | 0.036 | 0.326 | 2.822 | 158 | 998 | 0.319 |
| 2020 | 6.273 | 1,024,798.0 | 7 | 0.039 | 0.342 | 2.806 | 161 | 1010 | 0.165 |
| Scenario | Closeness Centrality | Betweenness Centrality | Average Path Length | Network Efficiency |
|---|---|---|---|---|
| Scenario 1—Brazil excluded | 0.374 | 895.334 | 2.814 | 0.305 |
| Scenario 2—US excluded | 0.372 | 1043.256 | 2.850 | 0.290 |
| Scenario 3—both Brazil and US excluded | 0.369 | 994.713 | 2.819 | 0.286 |
| Benchmark year—2020 | 0.393 | 928.250 | 2.806 | 0.302 |
Disclaimer/Publisher’s Note: The statements, opinions and data contained in all publications are solely those of the individual author(s) and contributor(s) and not of MDPI and/or the editor(s). MDPI and/or the editor(s) disclaim responsibility for any injury to people or property resulting from any ideas, methods, instructions or products referred to in the content. |
© 2023 by the authors. Licensee MDPI, Basel, Switzerland. This article is an open access article distributed under the terms and conditions of the Creative Commons Attribution (CC BY) license (https://creativecommons.org/licenses/by/4.0/).
Share and Cite
Wang, M.; Liu, D.; Wang, Z.; Li, Y. Structural Evolution of Global Soybean Trade Network and the Implications to China. Foods 2023, 12, 1550. https://doi.org/10.3390/foods12071550
Wang M, Liu D, Wang Z, Li Y. Structural Evolution of Global Soybean Trade Network and the Implications to China. Foods. 2023; 12(7):1550. https://doi.org/10.3390/foods12071550
Chicago/Turabian StyleWang, Min, Dong Liu, Zhenxing Wang, and Yuetan Li. 2023. "Structural Evolution of Global Soybean Trade Network and the Implications to China" Foods 12, no. 7: 1550. https://doi.org/10.3390/foods12071550
APA StyleWang, M., Liu, D., Wang, Z., & Li, Y. (2023). Structural Evolution of Global Soybean Trade Network and the Implications to China. Foods, 12(7), 1550. https://doi.org/10.3390/foods12071550
