Effect of Hyaluronic Acid and Kappa-Carrageenan on Milk Properties: Rheology, Protein Stability, Foaming, Water-Holding, and Emulsification Properties
Abstract
1. Introduction
2. Materials and Methods
2.1. Design of Experiment
2.2. Milk Sample Preparation
2.3. Frequency Sweep
2.4. Protein Phase Separation by Gravimetric Settling Method during Storage
2.5. Heat Stability Measured by Heat Coagulation Time Test (HCT)
2.6. Viscosity Profile Measurement
2.7. Water-Holding Capacity
2.8. Oil Emulsifying Activity and Emulsion Stability
2.9. Foaming Capacity and Foaming Stability
2.10. Statistical Analysis
3. Results
3.1. Frequency Sweep
3.2. Protein Phase Separation
3.3. Heat Coagulation Time Test (HCT)
3.4. Flow Behavior Properties
3.5. Water-Holding Capacity
3.6. Emulsifying Activity and Stability
3.7. Foaming Capacity and Stability
3.7.1. Foaming Capacity and Stability of Skim Milk Sample at 65 °C
3.7.2. Foaming Capacity and Stability of Skim Milk Sample at 30 °C
4. Conclusions
Author Contributions
Funding
Institutional Review Board Statement
Informed Consent Statement
Data Availability Statement
Conflicts of Interest
References
- Oe, M.; Mitsugi, K.; Odanaka, W.; Yoshida, H.; Matsuoka, R.; Seino, S.; Kanemitsu, T.; Masuda, Y. Dietary Hyaluronic Acid Migrates into the Skin of Rats. Sci. World J. 2014, 2014, 1–8. [Google Scholar] [CrossRef] [PubMed]
- FDA. GRAS Notice: GRN 976: Intended for Use as an Ingredient in Fruit Drinks/Ades, Carbonated Soft Drinks, Candy, Milk Drinks, Yogurt, and Ready-to-Eat Cereals at Levels Ranging from 40-60 mg/Serving; U.S. Food and Drug Administration, Ed.; U.S. Food and Drug Administration: Silver Spring, MD, USA, 2020. [Google Scholar]
- Mazzucco, A. Hyaluronic Acid: Evaluation of Efficacy with Different Molecular Weights. Int. J. Chem. Res. 2019, 1, 13–18. [Google Scholar] [CrossRef]
- Sze, J.H.; Brownlie, J.C.; Love, C.A. Biotechnological production of hyaluronic acid: A mini review. 3 Biotech 2016, 6, 67. [Google Scholar] [CrossRef] [PubMed]
- Fallacara, A.; Baldini, E.; Manfredini, S.; Vertuani, S. Hyaluronic Acid in the Third Millennium. Polymers 2018, 10, 701. [Google Scholar] [CrossRef]
- Sutariya, S.G.; Salunke, P. Effect of hyaluronic acid on milk properties: Rheology, protein stability, acid and rennet gelation properties. Food Hydrocoll. 2022, 131, 107740. [Google Scholar] [CrossRef]
- Chappellaz, A.; Alexander, M.; Corredig, M. Phase Separation Behavior of Caseins in Milk Containing Flaxseed Gum and κ-Carrageenan: A Light-Scattering and Ultrasonic Spectroscopy Study. Food Biophys. 2010, 5, 138–147. [Google Scholar] [CrossRef]
- Shalabi; Fox, P. Effect of χ-Carrageenan on the Heat Stability and Rennet Coagulation of Milk. Ir. J. Food Sci. Technol. 1982, 6, 183–188. [Google Scholar]
- Nayak, S.; Makrariya, A.; Singh, R.; Patel, A.; Sindhu, J.; Patil, G.; Tomar, P. Heat stability and flow behaviour of buffalo milk added with corn starch. Food Hydrocoll. 2004, 18, 379–386. [Google Scholar] [CrossRef]
- Wehr, H.M.; Frank, J. Standard Methods for the Examination of Dairy Products: 15.131 Protein, Kjeldahl Standard, Traditional Milk (Class A1), Other Products (Class 0); American Public Health Association: Washington, DC, USA, 2004. [Google Scholar]
- Sutariya, S.; Patel, H. Effect of hydrogen peroxide on improving the heat stability of whey protein isolate solutions. Food Chem. 2017, 223, 114–120. [Google Scholar] [CrossRef]
- Sutariya, S.G.; Huppertz, T.; Patel, H.A. Influence of milk pre-heating conditions on casein–whey protein interactions and skim milk concentrate viscosity. Int. Dairy J. 2017, 69, 19–22. [Google Scholar] [CrossRef]
- Kneifel; Seiler, A. Water-holding properties of milk protein products-A review. Food Struct. 1993, 12, 3. [Google Scholar]
- Mao, X.; Hua, Y. Composition, Structure and Functional Properties of Protein Concentrates and Isolates Produced from Walnut (Juglans regia L.). Int. J. Mol. Sci. 2012, 13, 1561–1581. [Google Scholar] [CrossRef]
- Tcholakova, S.; Denkov, N.D.; Ivanov, I.B.; Campbell, B. Coalescence stability of emulsions containing globular milk proteins. Adv. Colloid Interface Sci. 2006, 123, 259–293. [Google Scholar] [CrossRef]
- Drohan, D.; Tziboula, A.; McNulty, D.; Horne, D. Milk protein-carrageenan interactions. Food Hydrocoll. 1997, 11, 101–107. [Google Scholar] [CrossRef]
- Bisig, W. Liquid Milk Products|Liquid Milk Products: Flavored Milks. In Encyclopedia of Dairy Sciences, 2nd ed.; Academic Press: Cambridge, MA, USA, 2011; pp. 301–306. [Google Scholar]
- Anema, S.G.; Klostermeyer, H. ζ-Potentials of casein micelles from reconstituted skim milk heated at 120 °C. Int. Dairy J. 1996, 6, 673–687. [Google Scholar] [CrossRef]
- Huang, M.; Mao, Y.; Li, H.; Yang, H. Kappa-carrageenan enhances the gelation and structural changes of egg yolk via electrostatic interactions with yolk protein. Food Chem. 2021, 360, 129972. [Google Scholar] [CrossRef]
- Nascimento, L.G.L.; Casanova, F.; Silva, N.F.N.; de Carvalho Teixeira, A.V.; de Carvalho, A.F. Casein-based hydrogels: A mini-review. Food Chem. 2020, 314, 126063. [Google Scholar] [CrossRef]
- Liang, Y.; Matia-Merino, L.; Patel, H.; Ye, A.; Gillies, G.; Golding, M. Effect of sugar type and concentration on the heat coagulation of oil-in-water emulsions stabilized by milk-protein-concentrate. Food Hydrocoll. 2014, 41, 332–342. [Google Scholar] [CrossRef]
- O’mahony, J.; Fox, P. Milk proteins: Introduction and historical aspects. In Advanced Dairy Chemistry; Springer: Berlin/Heidelberg, Germany, 2013; pp. 43–85. [Google Scholar]
- Li, M.; Sun, Y.; McClements, D.J.; Yao, X.; Ma, C.; Liu, X.; Liu, F. Interfacial engineering approaches to improve emulsion performance: Properties of oil droplets coated by mixed, multilayer, or conjugated lactoferrin-hyaluronic acid interfaces. Food Hydrocoll. 2022, 133, 107938. [Google Scholar] [CrossRef]
- Gong, S.; Shi, X.; Zheng, J.; Dai, R.; Li, J.; Xu, G.; Li, X. Effect of Xanthan Gum, Kappa–Carrageenan, and Guar Gum on the Functional Characteristics of Egg White Liquid and Intermolecular Interaction Mechanism. Foods 2022, 11, 2119. [Google Scholar] [CrossRef]
- Maphosa, Y.; Jideani, V.A. Factors affecting the stability of emulsions stabilised by biopolymers. Sci. Technol. Behind Nanoemulsions 2018, 65, 65–81. [Google Scholar]
- Mena-Casanova, E.; Totosaus, A. Improvement of emulsifying properties of milk proteins with κ or λ carrageenan: Effect of pH and ionic strength. Int. J. Food Sci. Technol. 2011, 46, 535–541. [Google Scholar] [CrossRef]
- Silva, S.; Espiga, A.; Niranjan, K.; Livings, S.; Gumy, J.-C.; Sher, A. Formation and stability of milk foams. In Bubbles in Food 2; Elsevier: Amsterdam, The Netherlands, 2008; pp. 153–161. [Google Scholar]
- Ho, T.M.; Le, T.H.A.; Yan, A.; Bhandari, B.R.; Bansal, N. Foaming properties and foam structure of milk during storage. Food Res. Int. 2018, 116, 379–386. [Google Scholar] [CrossRef] [PubMed]
- Carp, D.; Baeza, R.; Bartholomai, G.; Pilosof, A. Impact of proteins–κ-carrageenan interactions on foam properties. LWT-Food Sci. Technol. 2004, 37, 573–580. [Google Scholar] [CrossRef]
- Lazidis, A.; Parizotto, L.D.A.; Spyropoulos, F.; Norton, I. Microstructural design of aerated food systems by soft-solid materials. Food Hydrocoll. 2017, 73, 110–119. [Google Scholar] [CrossRef]

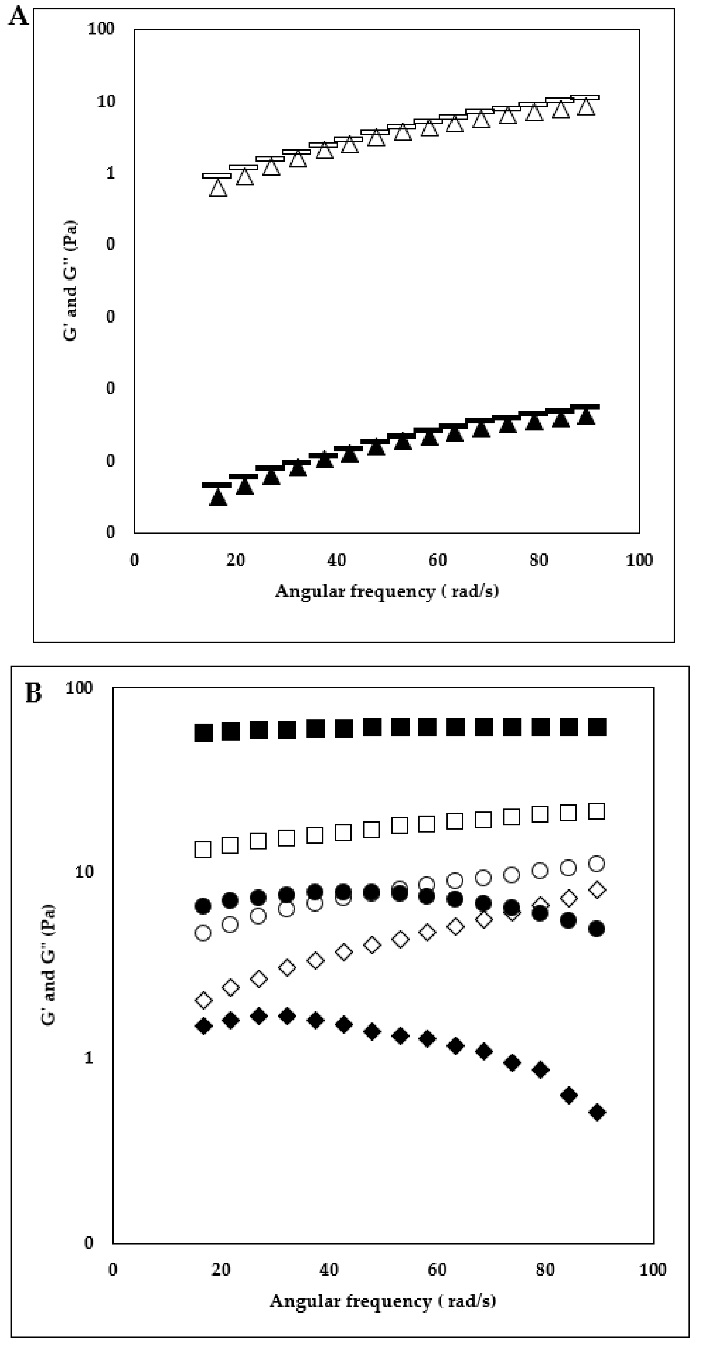
) G” (
), (B) HA:KC (70:30) G’ (♦) G” (◊), HA:KC (50:50) G’ (●) G” (○), and KC-control (0:100) G’ (■) G” (□). To allow better visual clarity of the graph, the error bars (n = 3, for the standard error of the mean) are not shown.
) G” (
), (B) HA:KC (70:30) G’ (♦) G” (◊), HA:KC (50:50) G’ (●) G” (○), and KC-control (0:100) G’ (■) G” (□). To allow better visual clarity of the graph, the error bars (n = 3, for the standard error of the mean) are not shown.
), G” (
), (B) HA:KC (70:30) G’ (♦) G” (◊), HA:KC (50:50) G’ (●) G” (○), and KC-control (0:100) G’ (■) G” (□). To allow better visual clarity of the graph, the error bars (n = 3, for the standard error of the mean) are not shown.
), G” (
), (B) HA:KC (70:30) G’ (♦) G” (◊), HA:KC (50:50) G’ (●) G” (○), and KC-control (0:100) G’ (■) G” (□). To allow better visual clarity of the graph, the error bars (n = 3, for the standard error of the mean) are not shown.


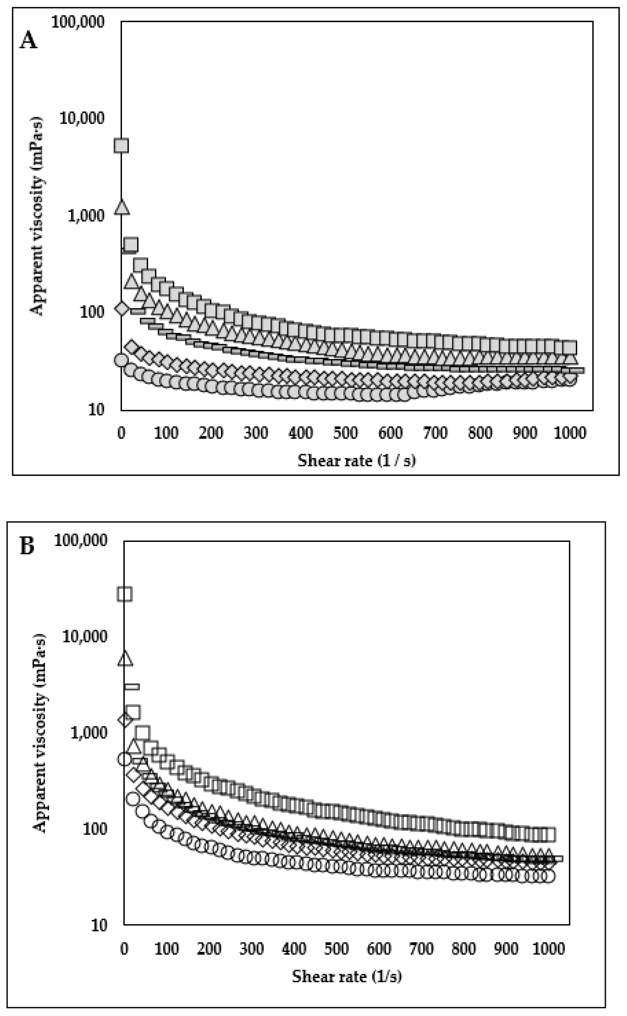
), HA:KC (50:50)—(▲), and KC-control—(■). (B) 0.25% HA + KC: HA-control (100:0)—(○), HA:KC (85:15)—(◊), HA:KC (70:30)—(
), HA:KC (50:50)—(∆), and KC-control—(□). To allow better visual clarity of the graph, the error bars (n = 3, for the standard error of the mean) are not shown.
), HA:KC (50:50)—(▲), and KC-control—(■). (B) 0.25% HA + KC: HA-control (100:0)—(○), HA:KC (85:15)—(◊), HA:KC (70:30)—(
), HA:KC (50:50)—(∆), and KC-control—(□). To allow better visual clarity of the graph, the error bars (n = 3, for the standard error of the mean) are not shown.
| HA:KC (Ratio) | log K(Pa sn) | n (-) | ||
|---|---|---|---|---|
| 0.1% (HA + KC) | 0.25% (HA + KC) | 0.1% (HA + KC) | 0.25% (HA + KC) | |
| HA-control (100:0) | 0.029 ± 0.00 a,A | 0.69 ± 0.07 a,B | 0.91 ± 0.00 a,C | 0.55 ± 0.02 a,D |
| HA:KC (85:15) | 0.093 ± 0.00 a,A | 1.81 ± 0.21 a,B | 0.77 ± 0.00 b,C | 0.46 ± 0.02 b,D |
| HA:KC (70:30) | 0.38 ± 0.01 a,A | 3.37 ± 0.05 ab,B | 0.60 ± 0.00 c,C | 0.38 ± 0.00 c,D |
| HA:KC (50:50) | 1.13 ± 0.05 b,A | 6.11 ± 0.03 b,B | 0.48 ± 0.01 d,C | 0.31 ± 0.00 d,D |
| KC-control (0:100) | 4.01 ± 0.23 c,A | 22.0 ± 1.64 c,B | 0.33 ± 0.01 e,C | 0.18 ± 0.00 e,D |
| % Water-Holding Capacity | |||||
|---|---|---|---|---|---|
| Concentration (HA + KC) | HA-Control (100:0) | HA:KC (85:15) | HA:KC (70:30) | HA:KC (50:50) | KC-Control (0:100) |
| 0.1% | 10 ± 0 a,A | 25 ± 0 b,A | 42 ± 1.7 c,A | 52 ± 1.7 d,A | 47 ± 1.7 cd,A |
| 0.25% | 18 ± 1.4 a,B | 88 ± 1.7 b,B | 80 ± 0 b,B | 62 ± 1.7 c,B | 48 ± 3.8 d,A |
| % Emulsifying Properties | ||||||
|---|---|---|---|---|---|---|
| Concentration (HA + KC) | Emulsion Test Type | HA-Control (100:0) | HA:KC (85:15) | HA:KC (70:30) | HA:KC (50:50) | KC-Control (0:100) |
| 0.10% | % Emulsion activity | 55 ± 1.4 a,A | 72.5 ± 1.4 b,c,A | 79.2 ± 0.8 c,A | 76.7 ± 1.7 c,A | 66.7 ± 1.7 b,A |
| % Emulsion stability | 50 ± 2.9 a,A | 65 ± 0 b,B | 75 ± 0 c,B | 79.2 ± 2.2 c,A | 60 ± 2.9 b,A,B | |
| 0.25% | % Emulsion activity | 95 ± 0 a,B | 96.7 ± 0 a,C | 95 ± 0 a,C | 90 ± 0 b,B | 75 ± 0.8 c,B,C |
| % Emulsion stability | 87 ± 1.7 a,C | 86.7 ± 1.7 a,D | 90.8 ± 0.8 a,D | 93.3 ± 1.7 a,B | 76.7 ± 1.7 b,C | |
| % Foam Capacity | % Foam Stability (Retention) | ||||
|---|---|---|---|---|---|
| HA:KC (Ratio) | 0 h | 0.5 h | 1 h | 6 h | 12 h |
| HA-control (100:0) | 98.3 ± 1.7 A | 79 ± 1.7 A,a | 59 ± 1.7 A,b | 54 ± 1.7 A | 0 ± 0 A,c |
| HA:KC (85:15) | 98.3 ± 1.7 A | 79 ± 1.7 A,a | 79 ± 1.7 B,a | 74 ± 1.7 B | 0 ± 0 A,c |
| HA:KC (70:30) | 118.3 ± 1.7 B | 83 ± 1.7 B,a | 75 ± 1.7 C,b | 66 ± 1.7 B | 0 ± 0 A,c |
| HA:KC (50:50) | 146.7 ± 1.7 C | 87 ± 1.7 C,a | 87 ± 1.7 D,a | 52 ± 1.7 B | 0 ± 0 A,c |
| KC-control (0:100) | 170 ± 2.9 D | 88 ± 2.9 D,a | 82 ± 2.9 E,a | 41 ± 2.9 B | 0 ± 0 A,c |
| % Foam Capacity | % Foaming Stability (Retention) | |||||||||
|---|---|---|---|---|---|---|---|---|---|---|
| HA:KC (Ratio) | 0 h | 0.5 h | 1 h | 1.5 h | 2 h | 4 h | 5 h | 6 h | 18 h | 24 h |
| HA-control (100:0) | 68 ± 1.7 a | 100 ± 1.7 a | 85 ± 1.7 a | 85 ± 1.7 a | 85 ± 1.7 a | 85 ± 1.7 a | 85 ± 1.7 a | 85 ± 1.7 a | 41 ± 1.7 a | 36 ± 1.7 a |
| HA:KC (85:15) | 78 ± 1.7 b | 100 ± 1.7 b | 87 ± 1.7 b | 87 ± 1.7 b | 81 ± 1.7 ab | 81 ± 1.7 ab | 81 ± 1.7 ab | 74 ± 1.7 a | 49 ± 1.7 a | 49 ± 1.7 a |
| HA:KC (70:30) | 80 ± 0 b | 100 ± 0 b | 87 ± 0 b | 87 ± 0 b | 87 ± 0 b | 87 ± 0 b | 87 ± 0 b | 87 ± 0 b | 87 ± 0 b | 87 ± 0 b |
| HA:KC (50:50) | 92 ± 1.7 c | 100 ± 1.7 c | 89 ± 1.7 c | 89 ± 1.7 c | 89 ± 1.7 c | 89 ± 1.7 c | 89 ± 1.7 c | 89 ± 1.7 c | 89 ± 1.7 c | 89 ± 1.7 c |
| KC-control (0:100) | 92 ± 1.7 c | 100 ± 1.7 c | 89 ± 1.7 c | 89 ± 1.7 c | 89 ± 1.7 c | 89 ± 1.7 c | 89 ± 1.7 c | 89 ± 1.7 c | 89 ± 1.7 c | 89 ± 1.7 c |
| % Foam Capacity | % Foam Stability | |||||||||
|---|---|---|---|---|---|---|---|---|---|---|
| HA:KC (Ratio) | 0 h | 0.5 h | 1 h | 1.5 h | 2 h | 4 h | 5 h | 6 h | 18 h | 24 h |
| HA-control (100:0) | 60 ± 0 a | 100 ± 0 a | 100 ± 0 a | 100 ± 0 a | 100 ± 0 a | 80 ± 3.3 a | 75 ± 1.7 a | 63 ± 6.0 a | 33 ± 0 a | 33 ± 0 a |
| HA:KC (85:15) | 60 ± 0 a | 100 ± 0 a | 100 ± 0 a | 100 ± 0 a | 100 ± 0 a | 97 ± 1.7 b | 92 ± 0 c | 92 ± 0 b | 72 ± 1.7 b | 50 ± 0 b |
| HA:KC (70:30) | 57 ± 1.7 a | 100 ± 1.7 a | 100 ± 0 a | 100 ± 0 a | 95 ± 0 a | 88 ± 0 ab | 88 ± 0 b | 88 ± 0 b | 88 ± 0 c | 88 ± 0 c |
| HA:KC (50:50) | 72 ± 1.7 b | 100 ± 0 b | 100 ± 0 b | 100 ± 0 b | 100 ± 0 b | 100 ± 0 c | 100 ± 0 d | 100 ± 0 c | 100 ± 0 d | 100 ± 0 d |
| KC-control (0:100) | 82 ± 1.7 c | 100 ± 0 c | 100 ± 0 c | 100 ± 0 c | 100 ± 0 c | 100 ± 0 d | 100 ± 0 e | 100 ± 0 d | 100 ± 0 e | 100 ± 0 e |
Disclaimer/Publisher’s Note: The statements, opinions and data contained in all publications are solely those of the individual author(s) and contributor(s) and not of MDPI and/or the editor(s). MDPI and/or the editor(s) disclaim responsibility for any injury to people or property resulting from any ideas, methods, instructions or products referred to in the content. |
© 2023 by the authors. Licensee MDPI, Basel, Switzerland. This article is an open access article distributed under the terms and conditions of the Creative Commons Attribution (CC BY) license (https://creativecommons.org/licenses/by/4.0/).
Share and Cite
Sutariya, S.G.; Salunke, P. Effect of Hyaluronic Acid and Kappa-Carrageenan on Milk Properties: Rheology, Protein Stability, Foaming, Water-Holding, and Emulsification Properties. Foods 2023, 12, 913. https://doi.org/10.3390/foods12050913
Sutariya SG, Salunke P. Effect of Hyaluronic Acid and Kappa-Carrageenan on Milk Properties: Rheology, Protein Stability, Foaming, Water-Holding, and Emulsification Properties. Foods. 2023; 12(5):913. https://doi.org/10.3390/foods12050913
Chicago/Turabian StyleSutariya, Suresh G., and Prafulla Salunke. 2023. "Effect of Hyaluronic Acid and Kappa-Carrageenan on Milk Properties: Rheology, Protein Stability, Foaming, Water-Holding, and Emulsification Properties" Foods 12, no. 5: 913. https://doi.org/10.3390/foods12050913
APA StyleSutariya, S. G., & Salunke, P. (2023). Effect of Hyaluronic Acid and Kappa-Carrageenan on Milk Properties: Rheology, Protein Stability, Foaming, Water-Holding, and Emulsification Properties. Foods, 12(5), 913. https://doi.org/10.3390/foods12050913

