Unlocking the Potential of Microwave Sterilization Technology in Ready-to-Eat Imitation Crab Meat Production
Abstract
:1. Introduction
2. Materials and Methods
2.1. Sample Preparation
2.2. Microwave Sterilization Treatment
2.2.1. Heating Pattern Exploration and Determination of Cold Spot Coordinates
2.2.2. Temperature Monitoring and Determination of Process Parameters
2.3. Conventional Retort Sterilization
2.4. Cook Value C100
2.5. Quality Analysis
2.5.1. Water-Holding Capacity
2.5.2. Color and White Index (WI)
2.5.3. Texture Profile Analysis (TPA)
2.5.4. Low-Field Nuclear Magnetic Resonance (LF-NMR)
2.5.5. Fourier Transform Infrared (FTIR) Spectroscopy
2.5.6. Fatty Acid Analysis
2.6. Statistical Analysis
3. Results
3.1. Heating Pattern and Cold Spot of Microwave Sterilization
3.2. Heat Penetration Results and Process Parameters
3.3. Water-Holding Capacity Analysis
3.4. Color and White Index (WI)
3.5. Texture Profile Analysis (TPA)
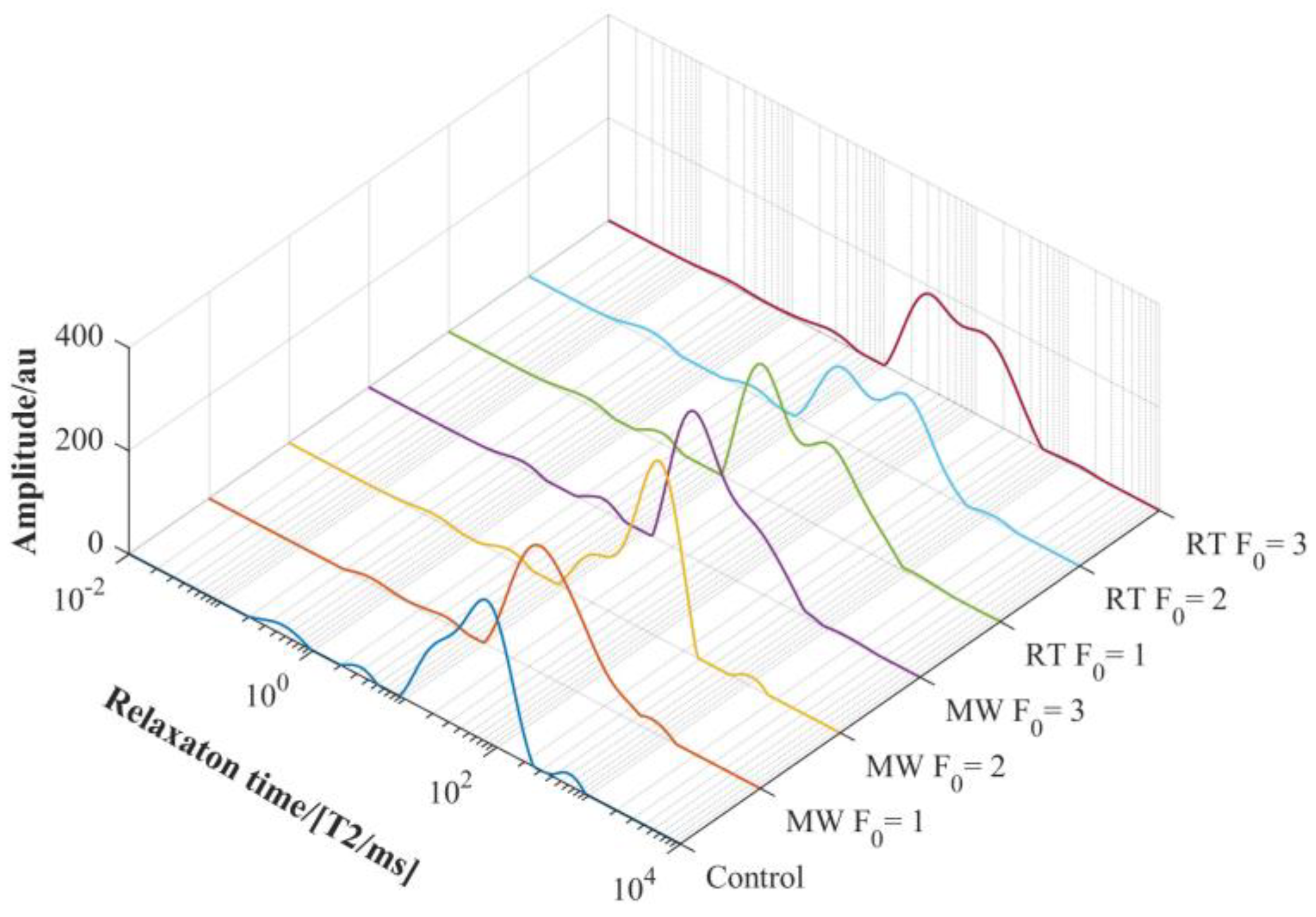
3.6. LF-NMR Spin-Spin Relaxation (T2) Measurements
3.7. Analysis of Protein Secondary Structure by Fourier Transform Infrared Spectroscopy
3.8. Fatty Acid Composition Analysis
4. Discussion
4.1. Processing Characteristics of Microwave Sterilization
4.2. Effect of Microwave Sterilization on Food Quality
5. Conclusions
Author Contributions
Funding
Data Availability Statement
Conflicts of Interest
References
- Lin, D.; Zhang, L.; Li, R.; Zheng, B.; Rea, M.C.; Miao, S. Effect of Plant Protein Mixtures on the Microstructure and Rheological Properties of Myofibrillar Protein Gel Derived from Red Sea Bream (Pagrosomus major). Food Hydrocoll. 2019, 96, 537–545. [Google Scholar] [CrossRef]
- Mi, H.; Li, Y.; Wang, C.; Yi, S.; Li, X.; Li, J. The Interaction of Starch-Gums and Their Effect on Gel Properties and Protein Conformation of Silver Carp Surimi. Food Hydrocoll. 2021, 112, 106290. [Google Scholar] [CrossRef]
- Bureau, F.; MoA, C. China Fishery Statistical Yearbook. Chin. Agric. Express 2021, 2, 28. [Google Scholar]
- Jin, S.-K.; Choi, J.-S.; Kim, G.-D. Effects of Bundle Type and Substitution with Spent Laying Hen Surimi on Quality Characteristics of Imitation Crabsticks. Korean J. Food Sci. Anim. Resour. 2017, 37, 200–209. [Google Scholar] [CrossRef] [PubMed]
- Mun, S.; Shin, E.-C.; Kim, S.; Park, J.; Jeong, C.; Boo, C.-G.; Yu, D.; Sim, J.-H.; Ji, C.-I.; Nam, T.-J.; et al. Comparison of Imitation Crab Sticks with Real Snow Crab (Chionoecetes opilio) Leg Meat Based on Physicochemical and Sensory Characteristics. Foods 2022, 11, 1381. [Google Scholar] [CrossRef] [PubMed]
- Miranda, C.G.; Rodrigues, R.M.; Pereira, R.N.; Speranza, P.; Kurozawa, L.E.; Vicente, A.A.; Sato, A.C.K. Influence of Ohmic Heating on Lentil Protein Structure and Protein-Pectin Interactions. Innov. Food Sci. Emerg. Technol. 2023, 87, 103413. [Google Scholar] [CrossRef]
- Chakka, A.K.; Sriraksha, M.S.; Ravishankar, C.N. Sustainability of Emerging Green Non-Thermal Technologies in the Food Industry with Food Safety Perspective: A Review. LWT 2021, 151, 112140. [Google Scholar] [CrossRef]
- María, L.-P.; Reinoso, B.D.; Lorenzo, J.M.; Giancarlo, C.; Barba, F.J.; Moure, A.; Dominguez, H.; Ruiz, D.J.F. 3—Green Technologies for Food Processing: Principal Considerations. In Innovative Thermal and Non-Thermal Processing, Bioaccessibility and Bioavailability of Nutrients and Bioactive Compounds; Barba, F.J., Saraiva, J.M.A., Cravotto, G., Lorenzo, J.M., Eds.; Woodhead Publishing Series in Food Science, Technology and Nutrition; Woodhead Publishing: Sawston, UK, 2019; pp. 55–103. ISBN 978-0-12-814174-8. [Google Scholar]
- Tang, J. Unlocking Potentials of Microwaves for Food Safety and Quality. J. Food Sci. 2015, 80, E1776–E1793. [Google Scholar] [CrossRef] [PubMed]
- Patel, J.; Parhi, A.; Al-Ghamdi, S.; Sonar, C.R.; Mattinson, D.S.; Tang, J.; Yang, T.; Sablani, S.S. Stability of Vitamin C, Color, and Garlic Aroma of Garlic Mashed Potatoes in Polymer Packages Processed with Microwave-Assisted Thermal Sterilization Technology. J. Food Sci. 2020, 85, 2843–2851. [Google Scholar] [CrossRef] [PubMed]
- Altin, O.; Skipnes, D.; Skåra, T.; Erdogdu, F. A Computational Study for the Effects of Sample Movement and Cavity Geometry in Industrial Scale Continuous Microwave Systems during Heating and Thawing Processes. Innov. Food Sci. Emerg. Technol. 2022, 77, 102953. [Google Scholar] [CrossRef]
- Vadivambal, R.; Jayas, D.S. Non-Uniform Temperature Distribution During Microwave Heating of Food Materials—A Review. Food Bioprocess Technol. 2010, 3, 161–171. [Google Scholar] [CrossRef]
- Jiang, J.; Zhang, M.; Luan, D.; Xu, C.; Hua, C.; Zhu, Q.; Tao, N. Quality Assessment of Ready-to-Eat Pacific Saury (Cololabis saira) Using Microwave-Assisted Thermal Sterilisation Combined with Olive Oil Vacuum Impregnation. Int. J. Food Sci. Technol. 2022, 57, 3400–3409. [Google Scholar] [CrossRef]
- Xue, Q.; Xue, C.; Luan, D.; Wen, Y.; Bi, S.; Wei, Z.; Mou, H. Comprehensive Investigation into Quality of Pasteurized Oncorhynchus Keta Walbaum Fillets and Non-Thermal Effects of Microwave. LWT 2021, 146, 111466. [Google Scholar] [CrossRef]
- Yang, X.; Li, Y.; Wang, P.; Luan, D.; Sun, J.; Huang, M.; Wang, B.; Zheng, Y. Quality Changes of Duck Meat during Thermal Sterilization Processing Caused by Microwave, Stepwise Retort, and General Retort Heating. Front. Nutr. 2022, 9, 1016942. [Google Scholar] [CrossRef]
- Wang, Y.; Wang, Y.; Luan, D. Thermal Degradation Characteristics of Amino Acids in Rainbow Trout Fillets during Traditional High Temperature Short Time Processing and Microwave Processing. Food Meas. 2023, 17, 1940–1952. [Google Scholar] [CrossRef]
- Guo, C.; Wang, Y.; Luan, D. Non-Thermal Effects of Microwave Processing on Inactivation of Clostridium Sporogenes Inoculated in Salmon Fillets. LWT 2020, 133, 109861. [Google Scholar] [CrossRef]
- Soni, A.; Smith, J.; Thompson, A.; Brightwell, G. Microwave-Induced Thermal Sterilization—A Review on History, Technical Progress, Advantages and Challenges as Compared to the Conventional Methods. Trends Food Sci. Technol. 2020, 97, 433–442. [Google Scholar] [CrossRef]
- Cao, F.; Chen, R.; Li, Y.; Han, R.; Li, F.; Shi, H.; Jiao, Y. Effects of NaCl and MTGase on Printability and Gelling Properties of Extrusion-Based 3D Printed White Croaker (Argyrosomus argentatus) Surimi. LWT 2022, 164, 113646. [Google Scholar] [CrossRef]
- Park, J.W. Surimi Gel Colors as Affected by Moisture Content and Physical Conditions. J. Food Sci. 1995, 60, 15–18. [Google Scholar] [CrossRef]
- Young, K.W.; Whittle, K.J. Colour Measurement of Fish Minces Using Hunter L, a, b Values. J. Sci. Food Agric. 1985, 36, 383–392. [Google Scholar] [CrossRef]
- Zhang, J.; Liu, L.; Jiang, Y.; Shah, F.; Xu, Y.; Wang, Q. High-Moisture Extrusion of Peanut Protein-/Carrageenan/Sodium Alginate/Wheat Starch Mixtures: Effect of Different Exogenous Polysaccharides on the Process Forming a Fibrous Structure. Food Hydrocoll. 2020, 99, 105311. [Google Scholar] [CrossRef]
- Hou, S.-W.; Wei, W.; Wang, Y.; Gan, J.-H.; Lu, Y.; Tao, N.-P.; Wang, X.-C.; Liu, Y.; Xu, C.-H. Integrated Recognition and Quantitative Detection of Starch in Surimi by Infrared Spectroscopy and Spectroscopic Imaging. Spectrochim. Acta Part A Mol. Biomol. Spectrosc. 2019, 215, 1–8. [Google Scholar] [CrossRef]
- Wang, J.; Tang, J.; Liu, F.; Bohnet, S. A New Chemical Marker-Model Food System for Heating Pattern Determination of Microwave-Assisted Pasteurization Processes. Food Bioprocess Technol. 2018, 11, 1274–1285. [Google Scholar] [CrossRef]
- Taghian Dinani, S.; Feldmann, E.; Kulozik, U. Effect of Heating by Solid-State Microwave Technology at Fixed Frequencies or by Frequency Sweep Loops on Heating Profiles in Model Food Samples. Food Bioprod. Process. 2021, 127, 328–337. [Google Scholar] [CrossRef]
- Liang, F.; Lin, L.; Zhu, Y.; Jiang, S.; Lu, J. Comparative Study between Surimi Gel and Surimi/Crabmeat Mixed Gel on Nutritional Properties, Flavor Characteristics, Color, and Texture. J. Aquat. Food Prod. Technol. 2020, 29, 681–692. [Google Scholar] [CrossRef]
- Liu, Y.; Sun, Q.; Pan, Y.; Wei, S.; Xia, Q.; Liu, S.; Ji, H.; Deng, C.; Hao, J. Investigation on the Correlation between Changes in Water and Texture Properties during the Processing of Surimi from Golden Pompano (Trachinotus ovatus). J. Food Sci. 2021, 86, 376–384. [Google Scholar] [CrossRef]
- Chandra, M.V.; Shamasundar, B.A. Texture Profile Analysis and Functional Properties of Gelatin from the Skin of Three Species of Fresh Water Fish. Int. J. Food Prop. 2015, 18, 572–584. [Google Scholar] [CrossRef]
- Min, C.; Yang, Q.; Pu, H.; Cao, Y.; Ma, W.; Kuang, J.; Huang, J.; Xiong, Y.L. Textural Characterization of Calcium Salts-Induced Mung Bean Starch-Flaxseed Protein Composite Gels as Dysphagia Food. Food Res. Int. 2023, 164, 112355. [Google Scholar] [CrossRef]
- Chen, H.; Zhang, M.; Yang, C. Comparative Analysis of 3D Printability and Rheological Properties of Surimi Gels via LF-NMR and Dielectric Characteristics. J. Food Eng. 2021, 292, 110278. [Google Scholar] [CrossRef]
- Cai, Y.; Wang, J.; Xiao, S.; Zhu, J.; Yu, J.; Li, L.; Liu, Y. The Interaction Study of Soluble Pectin Fiber and Surimi Protein Network from Silver Carp (Hypophthalmichthys molitrix) Based on a New Prediction Model. Food Chem. 2023, 403, 134429. [Google Scholar] [CrossRef]
- Lin, S.; Yang, S.; Li, X.; Chen, F.; Zhang, M. Dynamics of Water Mobility and Distribution in Soybean Antioxidant Peptide Powders Monitored by LF-NMR. Food Chem. 2016, 199, 280–286. [Google Scholar] [CrossRef]
- Zhang, T.; Wang, J.; Feng, J.; Liu, Y.; Suo, R.; Ma, Q.; Sun, J. Effects of Ultrasonic–Microwave Combination Treatment on the Physicochemical, Structure and Gel Properties of Myofibrillar Protein in Penaeus vannamei (Litopenaeus vannamei) Surimi. Ultrason. Sonochem. 2022, 90, 106218. [Google Scholar] [CrossRef]
- Luo, H.; Guo, C.; Lin, L.; Si, Y.; Gao, X.; Xu, D.; Jia, R.; Yang, W. Combined Use of Rheology, LF-NMR, and MRI for Characterizing the Gel Properties of Hairtail Surimi with Potato Starch. Food Bioprocess Technol. 2020, 13, 637–647. [Google Scholar] [CrossRef]
- Zhang, X.; Guo, Q.; Shi, W. Ultrasound-Assisted Processing: Changes in Gel Properties, Water-Holding Capacity, and Protein Aggregation of Low-Salt Hypophthalmichthys molitrix Surimi by Soy Protein Isolate. Ultrason. Sonochem. 2023, 92, 106258. [Google Scholar] [CrossRef] [PubMed]
- Xie, D.; Deng, F.; Shu, J.; Zhu, C.; Hu, X.; Luo, S.; Liu, C. Impact of the Frying Temperature on Protein Structures and Physico-Chemical Characteristics of Fried Surimi. Int. J. Food Sci. Technol. 2022, 57, 4211–4221. [Google Scholar] [CrossRef]
- Dong, X.; Wang, J.; Raghavan, V. Impact of Microwave Processing on the Secondary Structure, in-Vitro Protein Digestibility and Allergenicity of Shrimp (Litopenaeus Vannamei) Proteins. Food Chem. 2021, 337, 127811. [Google Scholar] [CrossRef] [PubMed]
- Zhao, S.; Liu, Y.; Yuan, X.; Zhao, Y.; Kang, Z.; Zhu, M.; Ma, H. Effect of Low-Frequency Alternating Magnetic Field on the Rheological Properties, Water Distribution and Microstructure of Low-Salt Pork Batters. LWT 2022, 159, 113164. [Google Scholar] [CrossRef]
- Wang, K.; Lin, X.; Zhao, W.; Fan, X.; Yu, W.; Ma, Z.; Yu, C.; Dong, X. Low-Temperature Steaming Improves Eating Quality of Whitefish. J. Texture Stud. 2020, 51, 830–840. [Google Scholar] [CrossRef]
- Yan, B.; Jiao, X.; Zhu, H.; Wang, Q.; Huang, J.; Zhao, J.; Cao, H.; Zhou, W.; Zhang, W.; Ye, W.; et al. Chemical Interactions Involved in Microwave Heat-Induced Surimi Gel Fortified with Fish Oil and Its Formation Mechanism. Food Hydrocoll. 2020, 105, 105779. [Google Scholar] [CrossRef]
- Janiszewski, P.; Grześkowiak, E.; Lisiak, D.; Borys, B.; Borzuta, K.; Pospiech, E.; Poławska, E. The Influence of Thermal Processing on the Fatty Acid Profile of Pork and Lamb Meat Fed Diet with Increased Levels of Unsaturated Fatty Acids. Meat Sci. 2016, 111, 161–167. [Google Scholar] [CrossRef]
- Viji, P.; Madhusudana Rao, B.; Debbarma, J.; Ravishankar, C.N. Research Developments in the Applications of Microwave Energy in Fish Processing: A Review. Trends Food Sci. Technol. 2022, 123, 222–232. [Google Scholar] [CrossRef]
- Qu, Z.; Tang, Z.; Liu, F.; Sablani, S.S.; Ross, C.F.; Sankaran, S.; Tang, J. Quality of Green Beans (Phaseolus vulgaris L.) Influenced by Microwave and Hot Water Pasteurization. Food Control 2021, 124, 107936. [Google Scholar] [CrossRef]
- Wang, J.; Tang, J.; Park, J.W.; Rasco, B.; Tang, Z.; Qu, Z. Thermal Gelation of Pacific Whiting Surimi in Microwave Assisted Pasteurization. J. Food Eng. 2019, 258, 18–26. [Google Scholar] [CrossRef]
- Zhou, X.; Pedrow, P.D.; Tang, Z.; Bohnet, S.; Sablani, S.S.; Tang, J. Heating Performance of Microwave Ovens Powered by Magnetron and Solid-State Generators. Innov. Food Sci. Emerg. Technol. 2023, 83, 103240. [Google Scholar] [CrossRef]
- Fu, X.; Hayat, K.; Li, Z.; Lin, Q.; Xu, S.; Wang, S. Effect of Microwave Heating on the Low-Salt Gel from Silver Carp (Hypophthalmichthys molitrix) Surimi. Food Hydrocoll. 2012, 27, 301–308. [Google Scholar] [CrossRef]
- Cao, H.; Fan, D.; Jiao, X.; Huang, J.; Zhao, J.; Yan, B.; Zhou, W.; Zhang, W.; Zhang, H. Effects of Microwave Combined with Conduction Heating on Surimi Quality and Morphology. J. Food Eng. 2018, 228, 1–11. [Google Scholar] [CrossRef]
- Cao, M.; Cao, A.; Li, Y.; Wang, W.; Wang, Y.; Cai, L. Effects of Magnetic Nanoparticles plus Microwave on the Thawing of Largemouth Bass (Micropterus salmoides) Fillets Based on iTRAQ Quantitative Proteomics. Food Chem. 2019, 286, 506–514. [Google Scholar] [CrossRef]
- Liu, X.; Feng, D.; Ji, L.; Zhang, T.; Xue, Y.; Xue, C. Effects of Microwave Heating on the Gelation Properties of Heat-Induced Alaska Pollock (Theragra chalcogramma) Surimi. Food Sci. Technol. Int. 2018, 24, 497–506. [Google Scholar] [CrossRef]
- An, Y.; Wen, L.; Li, W.; Zhang, X.; Hu, Y.; Xiong, S. Insight into the Evolution of Aroma Compounds during Thermal Processing of Surimi Gel from Silver Carp (Hypophthalmichthys molitrix). Food Chem. 2022, 374, 131762. [Google Scholar] [CrossRef]
- Pankyamma, V.; Madhusudana Rao, B.; Debbarma, J.; Pallela Panduranga Naga, V. Physicochemical, Microstructural, and Microbial Qualities of Dehydrated Tuna Chunks: Effects of Microwave Power and Drying Methods. J. Food Process. Preserv. 2021, 45, e15426. [Google Scholar] [CrossRef]
- Goszkiewicz, A.; Kołodziejczyk, E.; Ratajczyk, F. Comparison of Microwave and Convection Method of Roasting Sunflower Seeds and Its Effect on Sensory Quality, Texture and Physicochemical Characteristics. Food Struct. 2020, 25, 100144. [Google Scholar] [CrossRef]
- Asghari, L.; Zeynali, F.; Sahari, M.A. Effects of Boiling, Deep-Frying, and Microwave Treatment on the Proximate Composition of Rainbow Trout Fillets: Changes in Fatty Acids, Total Protein, and Minerals. J. Appl. Ichthyol. 2013, 29, 847–853. [Google Scholar] [CrossRef]
- Zghaibi, N.; Omar, R.; Mustapa Kamal, S.M.; Awang Biak, D.R.; Harun, R. Microwave-Assisted Brine Extraction for Enhancement of the Quantity and Quality of Lipid Production from Microalgae nannochloropsis sp. Molecules 2019, 24, 3581. [Google Scholar] [CrossRef]
- Deng, X.; Huang, H.; Huang, S.; Yang, M.; Wu, J.; Ci, Z.; He, Y.; Wu, Z.; Han, L.; Zhang, D. Insight into the Incredible Effects of Microwave Heating: Driving Changes in the Structure, Properties and Functions of Macromolecular Nutrients in Novel Food. Front. Nutr. 2022, 9, 941527. [Google Scholar] [CrossRef]







| Process | Processing | F0 = 1 | F0 = 2 | F0 = 3 |
|---|---|---|---|---|
| Microwave | Net power of microwave (kW) | 7.00 | 7.00 | 7.60 |
| Speed of food (cm/s) | 2.00 | 2.00 | 2.50 | |
| Microwave time (min) | 1.92 | 1.92 | 1.53 | |
| Holding time (min) | 2.67 | 3.00 | 2.00 | |
| Retort | Heating temperature (°C) | 121.10 | 121.10 | 121.10 |
| Retort time (min) | 3.00 | 4.50 | 5.50 |
| Process | Target F0 | Heating Rate (°C/min) | Processing Time | Actual F0 | C100 |
|---|---|---|---|---|---|
| Microwave | 1 | 15.28 ± 0.4 Ab | 6.75 ± 0.21 Bb | 1.27 ± 0.06 Ac | 13.37 ± 0.71 Bb |
| 2 | 13.50 ± 0.51 Ac | 7.82 ± 0.49 Ba | 2.46 ± 0.02 Ab | 17.84 ± 0.70 Ba | |
| 3 | 18.13 ± 0.71 Aa | 6.42 ± 0.12 Bb | 3.26 ± 0.04 Aa | 17.57 ± 0.35 Ba | |
| Retort | 1 | 6.46 ± 0.14 Ba | 19.64 ± 0.62 Ac | 1.08 ± 0.08 Ac | 24.53 ± 1.42 Ac |
| 2 | 6.27 ± 0.06 Ba | 21.55 ± 0.21 Ab | 2.26 ± 0.16 Ab | 32.95 ± 1.12 Ab | |
| 3 | 5.69 ± 0.14 Ba | 23.30 ± 0.52 Aa | 3.44 ± 0.18 Aa | 40.23 ± 1.65 Aa |
| Processing | Degree | Water-Holding Capacity (%) |
|---|---|---|
| Control | - | 43.04 ± 3.15 b |
| Microwave | F0 = 1 | 35.745 ± 3.48 d |
| F0 = 2 | 52.01 ± 0.98 a | |
| F0 = 3 | 44.34 ± 1.61 b | |
| Retort | F0 = 1 | 34.83 ± 2.03 d |
| F0 = 2 | 37.98 ± 2.48 cd | |
| F0 = 3 | 41.42 ± 2.28 bc |
| Processing | L* | a* | b* | ΔE | WI | ||
|---|---|---|---|---|---|---|---|
| Exterior | Control | 45.73 ± 0.51 a | 33.10 ± 1.23 c | 25.20 ± 0.98 d | - | - | |
| Microwave | F0 = 1 | 44.80 ± 0.39 b | 40.68 ± 0.92 ab | 29.18 ± 1.24 c | 8.66 ± 1.07 c | - | |
| F0 = 2 | 43.28 ± 0.21 d | 41.78 ± 0.99 a | 33.20 ± 1.17 ab | 12.08 ± 1.26 a | - | ||
| F0 = 3 | 44.05 ± 0.52 c | 40.33 ± 0.38 b | 32.10 ± 0.73 b | 10.16 ± 0.18 bc | - | ||
| Retort | F0 = 1 | 41.15 ± 0.58 e | 40.20 ± 1.48 b | 32.98 ± 1.11 ab | 11.51 ± 1.70 ab | - | |
| F0 = 2 | 40.30 ± 0.56 f | 40.73 ± 0.97 ab | 33.23 ± 0.99 ab | 12.37 ± 0.90 a | - | ||
| F0 = 3 | 40.20 ± 0.28 f | 41.08 ± 0.63 ab | 33.65 ± 0.41 a | 12.87 ± 0.71 a | - | ||
| Interior | Control | 71.48 ± 0.10 b | −1.28 ± 0.17 d | 9.15 ± 0.47 b | - | 70.01 ± 0.14 b | |
| Microwave | F0 = 1 | 72.88 ± 0.52 a | −1.05 ± 0.44 cd | 10.83 ± 0.56 a | 2.23 ± 0.74 c | 70.77 ± 0.34 a | |
| F0 = 2 | 69.48 ± 0.22 c | −0.25 ± 0.59 b | 11.20 ± 0.26 a | 3.07 ± 0.46 bc | 67.48 ± 0.27 d | ||
| F0 = 3 | 70.23 ± 0.34 d | −0.48 ± 0.55 bc | 10.90 ± 0.61 a | 2.36 ± 0.63 c | 68.28 ± 0.44 c | ||
| Retort | F0 = 1 | 68.63 ± 0.75 e | 0.13 ± 0.56 b | 10.35 ± 0.62 a | 3.42 ± 1.01 b | 66.96 ± 0.89 d | |
| F0 = 2 | 67.33 ± 0.72 f | 0.15 ± 0.31 b | 10.63 ± 0.25 a | 4.65 ± 0.86 a | 65.64 ± 0.83 e | ||
| F0 = 3 | 66.95 ± 0.58 f | 0.98 ± 0.46 a | 10.73 ± 0.80 a | 5.36 ± 0.53 a | 65.23 ± 0.57 e | ||
| Processing | Hardness (N) | Adhesiveness (N.mm) | Cohesiveness (Ratio) | Springiness (mm) | Gumminess (N) | Chewiness (mj) | |
|---|---|---|---|---|---|---|---|
| Control | 7.96 ± 1.20 c | 0.25 ± 0.05 a | 0.45 ± 0.05 b | 4.06 ± 0.23 c | 3.59 ± 0.72 c | 14.71 ± 3.55 c | |
| Microwave | F0 = 1 | 7.26 ± 0.73 c | 0.10 ± 0.02 c | 0.40 ± 0.02 c | 4.78 ± 0.15 b | 2.93 ± 0.43 c | 13.97 ± 1.86 c |
| F0 = 2 | 8.17 ± 0.84 c | 0.17 ± 0.07 b | 0.39 ± 0.04 c | 4.54 ± 0.28 b | 3.19 ± 0.52 c | 14.44 ± 2.17 c | |
| F0 = 3 | 7.17 ± 0.78 c | 0.14 ± 0.03 bc | 0.39 ± 0.05 c | 5.45 ± 0.34 a | 2.80 ± 0.63 c | 14.93 ± 5.59 c | |
| Retort | F0 = 1 | 11.56 ± 0.65 b | 0.06 ± 0.01 c | 0.56 ± 0.01 a | 3.94 ± 0.04 c | 6.46 ± 0.40 b | 25.45 ± 1.85 b |
| F0 = 2 | 14.64 ± 1.44 a | 0.06 ± 0.01 c | 0.55 ± 0.01 a | 3.90 ± 0.25 c | 8.03 ± 0.72 a | 31.36 ± 4.81 a | |
| F0 = 3 | 13.73 ± 2.22 a | 0.13 ± 0.01 bc | 0.45 ± 0.05 b | 3.86 ± 0.29 c | 6.28 ± 1.71 b | 24.38 ± 7.35 b | |
| Processing | T2b (ms) | T21 (ms) | T22 (ms) | T23 (ms) | T24 (ms) | |
|---|---|---|---|---|---|---|
| Control | 0.43 ± 0.04 a | 2.88 ± 0.56 a | 75.65 ± 0.01 b | - | 613.59 ± 0.01 f | |
| Microwave | F0 = 1 | 0.52 ± 0.08 a | 3.31 ± 0.65 a | 40.37 ± 0.01 c | - | 657.93 ± 0.01 e |
| F0 = 2 | 0.35 ± 0.03 a | 2.48 ± 0.01 a | 107.23 ± 0.01 a | - | 1072.27 ± 0.01 d | |
| F0 = 3 | 0.37 ± 0.13 a | 3.28 ± 0.32 a | 35.11 ± 0.01 d | - | 1519.91 ± 0.01 c | |
| Retort | F0 = 1 | 0.42 ± 0.16 a | 2.32 ± 0.23 a | 25.67 ± 1.27 f | 136.97 ± 6.76 a | 1149.76 ± 0.01 c |
| F0 = 2 | 0.27 ± 0.08 a | 2.85 ± 0.01 a | 26.56 ± 0.01 f | 123.28 ± 0.01 b | 1149.76 ± 0.01 b | |
| F0 = 3 | 0.26 ± 0.09 a | 2.97 ± 0.44 a | 32.75 ± 0.01 e | 114.98 ± 0.01 b | 1321.94 ± 0.01 a | |
| A2b (%) | A21 (%) | A22 (%) | A23 (%) | A24 (%) | ||
| Control | 2.84 ± 0.53 ab | 1.91 ± 0.23 ab | 93.16 ± 0.73 a | - | 2.09 ± 0.43 ab | |
| Microwave | F0 = 1 | 1.76 ± 0.45 b | 2.29 ± 0.37 ab | 93.63 ± 0.60 a | - | 2.32 ± 0.52 a |
| F0 = 2 | 2.08 ± 0.39 ab | 2.38 ± 0.04 ab | 94.36 ± 0.55 a | - | 1.18 ± 0.97 abc | |
| F0 = 3 | 2.41 ± 0.44 ab | 2.80 ± 0.08 ab | 94.16 ± 0.49 a | - | 0.63 ± 0.02 c | |
| Retort | F0 = 1 | 3.07 ± 1.25 ab | 1.69 ± 0.94 b | 53.16 ± 1.11 b | 41.27 ± 0.74 b | 0.78 ± 0.07 c |
| F0 = 2 | 3.95 ± 0.56 a | 2.49 ± 0.22 ab | 40.93 ± 0.56 c | 51.20 ± 1.44 a | 1.42 ± 0.09 abc | |
| F0 = 3 | 2.26 ± 1.04 ab | 2.95 ± 0.34 a | 52.22 ± 0.98 b | 41.54 ± 2.20 b | 1.02 ± 0.52 bc |
| No. | Fatty Acid | Control | F0 = 1 | F0 = 2 | F0 = 3 | |||
|---|---|---|---|---|---|---|---|---|
| MW | RT | MW | RT | MW | RT | |||
| 1 | C16:0 | 22.28 ± 5.30 a | 23.81 ± 0.64 a | 29.56 ± 2.66 a | 28.74 ± 1.85 a | 30.02 ± 2.57 a | 28.26 ± 0.57 a | 30.05 ± 1.90 a |
| 2 | C17:0 | 1.04 ± 0.15 a | 1.02 ± 0.10 a | 1.45 ± 0.04 a | 1.12 ± 0.65 a | 1.43 ± 0.22 a | 1.81 ± 0.36 a | 1.38 ± 0.16 a |
| 3 | C18:0 | 11.48 ± 1.01 ab | 10.18 ± 0.06 b | 12.79 ± 1.15 ab | 13.25 ± 1.19 ab | 12.56 ± 1.06 ab | 14.45 ± 2.57 a | 13.42 ± 0.90 ab |
| 4 | C20:0 | 0.47 ± 0.04 ab | 0.36 ± 0.04 c | 0.53 ± 0.06 ab | 0.44 ± 0.02 bc | 0.57 ± 0.01 a | 0.54 ± 0.08 ab | 0.52 ± 0.05 ab |
| 5 | C22:0 | 0.38 ± 0.05 bc | 0.27 ± 0.05 d | 0.45 ± 0.05 ab | 0.33 ± 0.01 cd | 0.49 ± 0.01 a | 0.42 ± 0.08 abc | 0.43 ± 0.04 abc |
| SFA | 35.65 | 35.65 | 44.79 | 43.88 | 45.07 | 45.48 | 45.80 | |
| 6 | C16:1 | 1.38 ± 0.27 a | 1.40 ± 0.50 a | 1.37 ± 0.39 a | 1.10 ± 0.32 a | 1.60 ± 0.76 a | 1.11 ± 0.41 a | 1.41 ± 0.58 a |
| 7 | C20:1 | 0.67 ± 0.09 abc | 0.57 ± 0.05 bc | 0.74 ± 0.04 ab | 0.49 ± 0.21 c | 0.89 ± 0.04 a | 0.75 ± 0.09 ab | 0.78 ± 0.06 ab |
| 8 | C18:1 | 0.26 ± 0.01 b | 0.18 ± 0.11 b | 0.38 ± 0.04 b | 48.61 ± 2.60 a | 45.11 ± 4.73 a | 45.34 ± 4.33 a | 45.47 ± 3.79 a |
| 9 | C22:1 | 1.37 ± 0.36 b | 1.36 ± 0.41 b | 2.17 ± 0.32 ab | 2.41 ± 0.22 ab | 2.3 ± 0.38 ab | 3.06 ± 0.86 a | 2.28 ± 0.08 ab |
| MUFA | 3.68 | 3.52 | 4.67 | 52.60 | 49.90 | 50.26 | 49.94 | |
| 10 | C20:4 | 0.36 ± 0.10 | - | - | - | - | - | - |
| 11 | C20:5 | 1.11 ± 0.34 ab | 1.01 ± 0.18 ab | 1.23 ± 0.14 ab | 0.90 ± 0.21 b | 1.46 ± 0.11 a | 1.22 ± 0.15 ab | 1.22 ± 0.12 ab |
| 12 | C18:2 | 55.90 ± 6.67 a | 57.25 ± 1.12 a | 46.21 ± 4.28 a | - | - | - | - |
| 13 | C18:3 | 0.20 ± 0.07 | - | - | - | - | - | - |
| 14 | C22:6 | 2.92 ± 0.95 a | 2.41 ± 0.4 a | 2.88 ± 0.41 a | 2.47 ± 0.63 a | 3.30 ± 0.19 a | 2.84 ± 0.36 a | 2.83 ± 0.28 a |
| 15 | C22:5 | 0.18 ± 0.07 a | 0.15 ± 0.03 a | 0.22 ± 0.03 a | 0.15 ± 0.05 a | 0.26 ± 0.01 a | 0.2 ± 0.03 a | 0.21 ± 0.03 a |
| PUFA | 60.67 | 60.83 | 50.54 | 3.52 | 5.02 | 4.26 | 4.26 | |
| UFA | 64.35 | 64.35 | 55.21 | 56.12 | 54.93 | 54.52 | 54.20 | |
Disclaimer/Publisher’s Note: The statements, opinions and data contained in all publications are solely those of the individual author(s) and contributor(s) and not of MDPI and/or the editor(s). MDPI and/or the editor(s) disclaim responsibility for any injury to people or property resulting from any ideas, methods, instructions or products referred to in the content. |
© 2023 by the authors. Licensee MDPI, Basel, Switzerland. This article is an open access article distributed under the terms and conditions of the Creative Commons Attribution (CC BY) license (https://creativecommons.org/licenses/by/4.0/).
Share and Cite
Xue, Q.; Xue, C.; Luan, D.; Wang, Y.; Wen, Y.; Bi, S.; Xu, L.; Jiang, X. Unlocking the Potential of Microwave Sterilization Technology in Ready-to-Eat Imitation Crab Meat Production. Foods 2023, 12, 4412. https://doi.org/10.3390/foods12244412
Xue Q, Xue C, Luan D, Wang Y, Wen Y, Bi S, Xu L, Jiang X. Unlocking the Potential of Microwave Sterilization Technology in Ready-to-Eat Imitation Crab Meat Production. Foods. 2023; 12(24):4412. https://doi.org/10.3390/foods12244412
Chicago/Turabian StyleXue, Qianqian, Changhu Xue, Donglei Luan, Yajing Wang, Yunqi Wen, Shijie Bi, Lili Xu, and Xiaoming Jiang. 2023. "Unlocking the Potential of Microwave Sterilization Technology in Ready-to-Eat Imitation Crab Meat Production" Foods 12, no. 24: 4412. https://doi.org/10.3390/foods12244412
APA StyleXue, Q., Xue, C., Luan, D., Wang, Y., Wen, Y., Bi, S., Xu, L., & Jiang, X. (2023). Unlocking the Potential of Microwave Sterilization Technology in Ready-to-Eat Imitation Crab Meat Production. Foods, 12(24), 4412. https://doi.org/10.3390/foods12244412

