Optimization of Plasma Activated Water Extraction of Pleurotus ostreatus Polysaccharides on Its Physiochemical and Biological Activity Using Response Surface Methodology
Abstract
:1. Introduction
2. Materials and Methods
2.1. Mushroom Preparation
2.2. Chemical and Reagents
2.3. Plasma-Activated Water (PAW) Extraction
2.4. Hot Water Extraction
2.5. Experimental Design
2.5.1. Single Factor Analysis
2.5.2. Optimization Using the RSM
2.6. Chemical Analysis
2.6.1. Antioxidant Activity
2.6.2. Total Phenolic Compounds (TPC)
2.6.3. Total Carbohydrate
2.7. Scanning Electron Microscopy (SEM)
2.8. Fourier-Transform Infrared (FTIR) Spectroscopy
2.9. Statistical Analysis
3. Results and Discussion
3.1. Single Factor Analysis
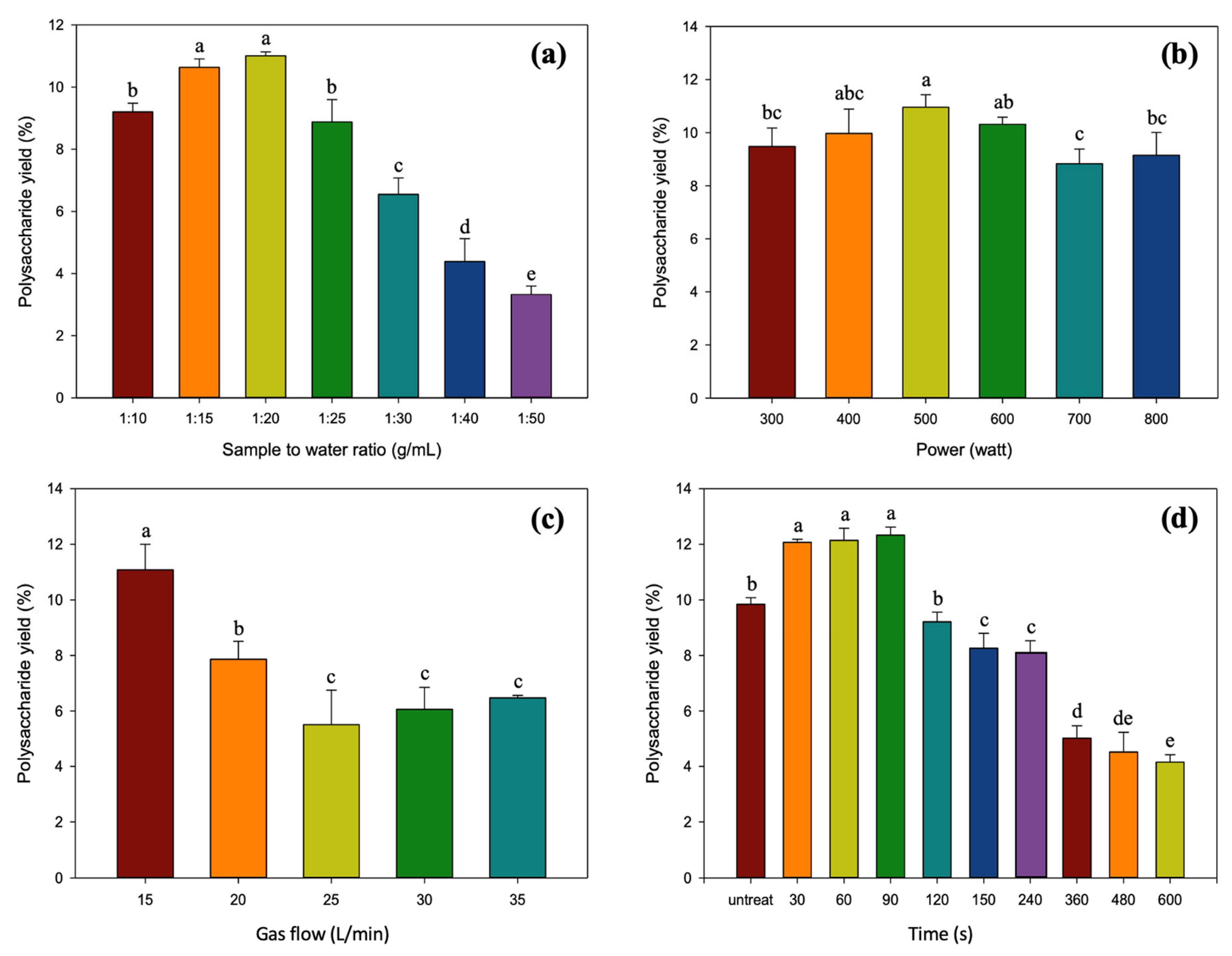
3.1.1. Effect of Sample-to-Water Ratio on Polysaccharide Yield
3.1.2. Effect of Power on Polysaccharide Yield
3.1.3. Effect of Gas Flow on Polysaccharide Yield
3.1.4. Effect of Treatment Time on Polysaccharide Yield
3.2. Optimization of PAW Extraction from P. ostreatus
3.2.1. Effect of Extraction Variables on Polysaccharide Yield
3.2.2. Effect of Extraction Variables on Antioxidant Activities
3.2.3. Optimization and Model Validation
3.3. Comparison of Different Extraction Techniques on the POP Yield and the Phytochemical and Antioxidant Activities
3.4. Scanning Electron Microscopy
3.5. FTIR Spectra
4. Conclusions
Author Contributions
Funding
Data Availability Statement
Acknowledgments
Conflicts of Interest
References
- Heydari, M.; Carbone, K.; Gervasi, F.; Parandi, E.; Rouhi, M.; Rostami, O.; Abedi-Firoozjah, R.; Kolahdouz-Nasiri, A.; Garavand, F.; Mohammadi, R. Cold Plasma-Assisted Extraction of Phytochemicals: A Review. Foods 2023, 12, 3181. [Google Scholar] [CrossRef]
- Bai, L.; Xu, D.; Zhou, Y.M.; Zhang, Y.B.; Zhang, H.; Chen, Y.B.; Cui, Y.L. Antioxidant Activities of Natural Polysaccharides and Their Derivatives for Biomedical and Medicinal Applications. Antioxidants 2022, 11, 2491. [Google Scholar] [CrossRef]
- Shang, H.M.; Zhou, H.Z.; Li, R.; Duan, M.Y.; Wu, H.X.; Lou, Y.J. Extraction Optimization and Influences of Drying Methods on Antioxidant Activities of Polysaccharide from Cup Plant (Silphium perfoliatum L.). PLoS ONE 2017, 12, e0183001. [Google Scholar] [CrossRef] [PubMed]
- Zou, Y.; Du, F.; Hu, Q.; Wang, H. The Structural Characterization of a Polysaccharide Exhibiting Antitumor Effect from Pholiota adiposa Mycelia. Sci. Rep. 2019, 9, 1724. [Google Scholar] [CrossRef] [PubMed]
- Du, B.; Peng, F.; Xie, Y.; Wang, H.; Wu, J.; Liu, C.; Yang, Y. Optimization Extraction and Antioxidant Activity of Crude Polysaccharide from Chestnut Mushroom (Agrocybe aegerita) by Accelerated Solvent Extraction Combined with Response Surface Methodology (ASE-RSM). Molecules 2022, 27, 2380. [Google Scholar] [CrossRef] [PubMed]
- Zhao, Q.; Liu, X.; Cui, L.; Ma, C. Extraction and Bioactivities of the Chemical Composition from Pleurotus ostreatus: A Review. J. Future Foods 2024, 4, 111–118. [Google Scholar] [CrossRef]
- Juárez-Hernández, E.O.; Pérez-Zavala, M.L.; Román-Reyes, M.; Barboza-Corona, J.E.; Macías-Sánchez, K.L. Overview of Pleurotus spp., Edible Fungi with Various Functional Properties. Int. Food Res. J. 2023, 30, 1074–1092. [Google Scholar] [CrossRef]
- de Araújo Bezerra, J.; Lamarão, C.V.; Sanches, E.A.; Rodrigues, S.; Fernandes, F.A.N.; Ramos, G.L.P.A.; Esmerino, E.A.; Cruz, A.G.; Campelo, P.H. Cold Plasma as a Pre-Treatment for Processing Improvement in Food: A Review. Food Res. Int. 2023, 167, 112663. [Google Scholar] [CrossRef]
- Barbosa, J.R.; Freitas, M.M.S.; Oliveira, L.C.; Martins, L.H.S.; Almada-Vilhena, A.O.; Oliveira, R.M.; Pieczarka, J.C.; Davi do Socorro, B.; Carvalho, R.N., Jr. Obtaining Extracts Rich in Antioxidant Polysaccharides from the Edible Mushroom Pleurotus ostreatus Using Binary System with Hot Water and Supercritical CO2. Food Chem. 2020, 330, 127173. [Google Scholar] [CrossRef]
- Leong, Y.K.; Yang, F.C.; Chang, J.S. Extraction of Polysaccharides from Edible Mushrooms: Emerging Technologies and Recent Advances. Carbohydr. Polym. 2021, 251, 117006. [Google Scholar] [CrossRef]
- Gavahian, M.; Nayi, P.; Masztalerz, K.; Szumny, A.; Figiel, A. Cold Plasma as an Emerging Energy-Saving Pretreatment to Enhance Food Drying: Recent Advances, Mechanisms Involved, and Considerations for Industrial Applications. Trends Food Sci. Technol. 2023, 143, 104210. [Google Scholar] [CrossRef]
- Noore, S.; Tiwari, B.K.; Jambrak, A.R.; Dukić, J.; Wanigasekara, J.; Curtin, J.F.; Fuentes-Grunewald, C.; O’Donnell, C. Extraction Yield and Biological Activity of Phycobiliproteins from Porphyridium Purpureum Using Atmospheric Cold Plasma Discharge and Jet Systems. LWT 2023, 187, 115204. [Google Scholar] [CrossRef]
- Okyere, A.Y.; Rajendran, S.; Annor, G.A. Cold Plasma Technologies: Their Effect on Starch Properties and Industrial Scale-up for Starch Modification. Curr. Res. Food Sci. 2022, 5, 451–463. [Google Scholar] [CrossRef] [PubMed]
- Cavalcanti, R.C.; Pimentel, T.C.; Esmerino, E.A.; de Freitas, M.Q.; Verruck, S.; Silva, M.C.; da Cruz, A.G.; Cavalcanti, R.N.; Pimentel, T.C.; Esmerino, E.A.; et al. Cold Plasma. In Novel Technologies in Food Science; Springer: Berlin/Heidelberg, Germany, 2022. [Google Scholar]
- Li, X.; Zhang, Z.H.; Qi, X.; Li, L.; Zhu, J.; Brennan, C.S.; Yan, J.K. Application of Nonthermal Processing Technologies in Extracting and Modifying Polysaccharides: A Critical Review. Compr. Rev. Food Sci. Food Saf. 2021, 20, 4367–4389. [Google Scholar] [CrossRef] [PubMed]
- Thirumdas, R.; Kothakota, A.; Annapure, U.; Siliveru, K.; Blundell, R.; Gatt, R.; Valdramidis, V.P. Plasma Activated Water (PAW): Chemistry, Physico-Chemical Properties, Applications in Food and Agriculture. Trends Food Sci. Technol. 2018, 77, 21–31. [Google Scholar] [CrossRef]
- Rahman, M.; Hasan, M.S.; Islam, R.; Rana, R.; Sayem, A.S.M.; Sad, M.A.A.; Matin, A.; Raposo, A.; Zandonadi, R.P.; Han, H.; et al. Plasma-Activated Water for Food Safety and Quality: A Review of Recent Developments. Int. J. Environ. Res. Public Health 2022, 19, 6630. [Google Scholar] [CrossRef]
- Oliveira, M.; Fernández-Gómez, P.; Álvarez-Ordóñez, A.; Prieto, M.; López, M. Plasma-Activated Water: A Cutting-Edge Technology Driving Innovation in the Food Industry. Food Res. Int. 2022, 156, 111368. [Google Scholar] [CrossRef] [PubMed]
- Soni, A.; Choi, J.; Brightwell, G. Plasma-Activated Water (PAW) as a Disinfection Technology for Bacterial Inactivation with a Focus on Fruit and Vegetables. Foods 2021, 10, 166. [Google Scholar] [CrossRef] [PubMed]
- Agun, L.; Ahmad, N.; Redzuan, N.; Ali, M.F.A.M.; Zainal, M.N.F.; Misnal, M.F.I.; Ibrahim, R.K.R. Spawn Treatment by Cold Plasma for Increase Mushroom Germination and Production. IOP Conf. Ser. Mater. Sci. Eng. 2020, 884, 012004. [Google Scholar] [CrossRef]
- Chen, H.; Wang, B.; Li, J.; Xu, J.; Zeng, J.; Gao, W.; Chen, K. Comparative Study on the Extraction Efficiency, Characterization, and Bioactivities of Bletilla striata Polysaccharides Using Response Surface Methodology (RSM) and Genetic Algorithm-Artificial Neural Network (GA-ANN). Int. J. Biol. Macromol. 2023, 226, 982–995. [Google Scholar] [CrossRef]
- Hsiao, Y.; Shao, Y.; Wu, Y.; Hsu, W.; Cheng, K.; Yu, C.; Chou, C.; Hsieh, C. Physicochemical Properties and Protective Effects on UVA-Induced Photoaging in Hs68 Cells of Pleurotus ostreatus Polysaccharides by Fractional Precipitation. Int. J. Biol. Macromol. 2023, 228, 537–547. [Google Scholar] [CrossRef] [PubMed]
- Cao, Y.; Song, Z.; Dong, C.; Ni, W.; Xin, K.; Yu, Q.; Han, L. Green Ultrasound-Assisted Natural Deep Eutectic Solvent Extraction of Phenolic Compounds from Waste Broccoli Leaves: Optimization, Identification, Biological Activity, and Structural Characterization. LWT-Food Sci. Technol. 2023, 104, 115407. [Google Scholar] [CrossRef]
- Wu, J.; Zhang, J.; Yu, X.; Shu, Y.; Zhang, S.; Zhang, Y. Extraction Optimization by Using Response Surface Methodology and Purification of Yellow Pigment from Gardenia jasminoides var. radicans Makikno. Food Sci. Nutr. 2021, 9, 822–832. [Google Scholar] [CrossRef] [PubMed]
- Chen, L.; Zhong, J.; Lin, Y.; Yuan, T.; Huang, J.; Gan, L.; Wang, L.; Lin, C.; Fan, H. Microwave and Enzyme Co-Assisted Extraction of Anthocyanins from Purple-Heart Radish: Process Optimization, Composition Analysis and Antioxidant Activity. LWT-Food Sci. Technol. 2023, 187, 115312. [Google Scholar] [CrossRef]
- Saber, W.I.A.; Ghoniem, A.A.; Al-Otibi, F.O.; El-Hersh, M.S.; Eldadamony, N.M.; Menaa, F.; Elattar, K.M. A Comparative Study Using Response Surface Methodology and Artificial Neural Network towards Optimized Production of Melanin by Aureobasidium pullulans AKW. Sci. Rep. 2023, 13, 13545. [Google Scholar] [CrossRef]
- Gąsecka, M.; Mleczek, M.; Siwulski, M.; Niedzielski, P. Phenolic Composition and Antioxidant Properties of Pleurotus ostreatus and Pleurotus eryngii Enriched with Selenium and Zinc. Eur. Food Res. Technol. 2016, 242, 723–732. [Google Scholar] [CrossRef]
- Lin, T.Y.; Wu, Y.T.; Chang, H.J.; Huang, C.C.; Cheng, K.C.; Hsu, H.Y.; Hsieh, C.W. Anti-Inflammatory and Anti-Oxidative Effects of Polysaccharides Extracted from Unripe Carica papaya L. Fruit. Antioxidants 2023, 12, 1506. [Google Scholar] [CrossRef]
- Dubois, M.; Gilles, K.A.; Hamilton, J.K.; Rebers, P.A.; Smith, F. Colorimetric Method for Determination of Sugars and Related Substances. Anal. Chem. 1956, 28, 350–356. [Google Scholar] [CrossRef]
- Wang, C.Y. A Review on the Potential Reuse of Functional Polysaccharides Extracted from the By-Products of Mushroom Processing. Food Bioprocess Technol. 2020, 13, 217–228. [Google Scholar] [CrossRef]
- Jeong, H.K.; Lee, D.; Kim, H.P.; Baek, S.H. Structure Analysis and Antioxidant Activities of an Amylopectin-Type Polysaccharide Isolated from Dried Fruits of Terminalia chebula. Carbohydr. Polym. 2019, 211, 100–108. [Google Scholar] [CrossRef]
- Safaryan, M.J.; Ganjloo, A.; Bimakr, M.; Zarringhalami, S. Optimization of Ultrasound-Assisted Extraction, Preliminary Characterization and In Vitro Antioxidant Activity of Polysaccharides from Green Pea Pods. Foods 2016, 5, 78. [Google Scholar] [CrossRef]
- Wang, X.; Su, Y.; Su, J.; Xue, J.; Zhang, R.; Li, X.; Li, Y.; Ding, Y.; Chu, X. Optimization of Enzyme−Assisted Aqueous Extraction of Polysaccharide from Acanthopanax senticosus and Comparison of Physicochemical Properties and Bioactivities of Polysaccharides with Different Molecular Weights. Molecules 2023, 28, 6585. [Google Scholar] [CrossRef]
- Dong, M.; Jiang, Y.; Wang, C.; Yang, Q.; Jiang, X.; Zhu, C. Determination of the Extraction, Physicochemical Characterization, and Digestibility of Sulfated Polysaccharides in Seaweed—Porphyra haitanensis. Mar. Drugs 2020, 18, 539. [Google Scholar] [CrossRef] [PubMed]
- Cai, L.; Chen, B.; Yi, F.; Zou, S. Optimization of Extraction of Polysaccharide from Dandelion Root by Response Surface Methodology: Structural Characterization and Antioxidant Activity. Int. J. Biol. Macromol. 2019, 140, 907–919. [Google Scholar] [CrossRef] [PubMed]
- Cheng, S.; He, F.; Fu, L.; Zhang, Y. Polysaccharide from Rubescens: Extraction, Optimization, Characterization and Antioxidant Activities. RSC Adv. 2021, 11, 18974–18983. [Google Scholar] [CrossRef] [PubMed]
- Cui, F.J.; Qian, L.S.; Sun, W.J.; Zhang, J.S.; Yang, Y.; Li, N.; Zhuang, H.N.; Wu, D. Ultrasound-Assisted Extraction of Polysaccharides from Volvariella volvacea: Process Optimization and Structural Characterization. Molecules 2018, 23, 1706. [Google Scholar] [CrossRef]
- Rezaei, S.; Ebadi, M.T.; Ghobadian, B.; Ghomi, H. Optimization of DBD-Plasma Assisted Hydro-Distillation for Essential Oil Extraction of Fennel (Foeniculum vulgare Mill.) Seed and Spearmint (Mentha spicata L.) Leaf. J. Appl. Res. Med. Aromat. Plants 2021, 24, 100300. [Google Scholar] [CrossRef]
- Machala, Z.; Tarabová, B.; Sersenová, D.; Janda, M.; Hensel, K. Chemical and Antibacterial Effects of Plasma Activated Water: Correlation with Gaseous and Aqueous Reactive Oxygen and Nitrogen Species, Plasma Sources and Air Flow Conditions. J. Phys. D Appl. Phys. 2019, 52, 034002. [Google Scholar] [CrossRef]
- Khlyustova, A.; Labay, C.; Machala, Z.; Ginebra, M.P.; Canal, C. Important Parameters in Plasma Jets for the Production of RONS in Liquids for Plasma Medicine: A Brief Review. Front. Chem. Sci. Eng. 2019, 13, 238–252. [Google Scholar] [CrossRef]
- Guo, Z.; Gou, Q.; Yang, L.; Yu, Q.L.; Han, L. Dielectric Barrier Discharge Plasma: A Green Method to Change Structure of Potato Starch and Improve Physicochemical Properties of Potato Starch Films. Food Chem. 2022, 370, 130992. [Google Scholar] [CrossRef]
- Sudheesh, C.; Sunooj, K.V.; Sinha, S.K.; George, J.; Kumar, S.; Murugesan, P.; Arumugam, S.; Ashwath Kumar, K.; Sajeev Kumar, V.A. Impact of Energetic Neutral Nitrogen Atoms Created by Glow Discharge Air Plasma on the Physico-Chemical and Rheological Properties of Kithul Starch. Food Chem. 2019, 294, 194–202. [Google Scholar] [CrossRef] [PubMed]
- Bian, C.; Wang, Z.; Shi, J. Extraction Optimization, Structural Characterization, and Anticoagulant Activity of Acidic Polysaccharides from Auricularia auricula-judae. Molecules 2020, 25, 710. [Google Scholar] [CrossRef] [PubMed]
- Lu, X. Changes in the Structure of Polysaccharides under Different Extraction Methods. eFood 2023, 4, e82. [Google Scholar] [CrossRef]
- Pragna, C.H.; Ranjitha Gracy, T.K.; Mahendran, R.; Anandharamakrishnan, C. Effects of Microwave and Cold Plasma Assisted Hydrodistillation on Lemon Peel Oil Extraction. Int. J. Food Eng. 2019, 15, 20190093. [Google Scholar] [CrossRef]
- Guo, Y.; Wang, Y.; Xu, X.; Niu, D.; Qing, Q.; Wang, L.; Zhu, J. Effects of Cold Plasma Pretreatment on the Synthesis of Polysaccharide from Pleurotus ostreatus. Appl. Biochem. Biotechnol. 2023, 195, 1–15. [Google Scholar] [CrossRef] [PubMed]
- Rodríguez, Ó.; Gomes, W.F.; Rodrigues, S.; Fernandes, F.A.N. Effect of Indirect Cold Plasma Treatment on Cashew Apple Juice (Anacardium occidentale L.). LWT 2017, 84, 457–463. [Google Scholar] [CrossRef]
- Kashfi, A.S.; Ramezan, Y.; Khani, M.R. Simultaneous Study of the Antioxidant Activity, Microbial Decontamination and Color of Dried Peppermint (Mentha piperita L.) Using Low Pressure Cold Plasma. LWT 2020, 123, 109121. [Google Scholar] [CrossRef]
- Kim, H.J.; Yong, H.I.; Park, S.; Kim, K.; Kim, T.H.; Choe, W.; Jo, C. Effect of Atmospheric Pressure Dielectric Barrier Discharge Plasma on the Biological Activity of Naringin. Food Chem. 2014, 160, 241–245. [Google Scholar] [CrossRef]
- Almeida, F.D.L.; Cavalcante, R.S.; Cullen, P.J.; Frias, J.M.; Bourke, P.; Fernandes, F.A.N.; Rodrigues, S. Effects of Atmospheric Cold Plasma and Ozone on Prebiotic Orange Juice. Innov. Food Sci. Emerg. Technol. 2015, 32, 127–135. [Google Scholar] [CrossRef]
- Hou, Y.; Wang, R.; Gan, Z.; Shao, T.; Zhang, X.; He, M.; Sun, A. Effect of Cold Plasma on Blueberry Juice Quality. Food Chem. 2019, 290, 79–86. [Google Scholar] [CrossRef]
- Dong, S.; Ma, Y.; Li, Y.; Xiang, Q. Effect of Dielectric Barrier Discharge (DBD) Plasma on the Activity and Structural Changes of Horseradish Peroxidase. Qual. Assur. Saf. Crops Foods 2021, 13, 92–101. [Google Scholar] [CrossRef]
- Gavahian, M.; Chu, Y.H.; Mousavi Khaneghah, A.; Barba, F.J.; Misra, N.N. A Critical Analysis of the Cold Plasma Induced Lipid Oxidation in Foods. Trends Food Sci. Technol. 2018, 77, 32–41. [Google Scholar] [CrossRef]
- Ahmadian, S.; Kenari, R.E.; Amiri, Z.R.; Sohbatzadeh, F.; Khodaparast, M.H.H. Effect of Ultrasound-Assisted Cold Plasma Pretreatment on Cell Wall Polysaccharides Distribution and Extraction of Phenolic Compounds from Hyssop (Hyssopus officinalis L.). Int. J. Biol. Macromol. 2023, 233, 123557. [Google Scholar] [CrossRef] [PubMed]
- Zielinska, S.; Staniszewska, I.; Cybulska, J.; Zdunek, A.; Szymanska-Chargot, M.; Zielinska, D.; Liu, Z.L.; Pan, Z.; Xiao, H.W.; Zielinska, M. Modification of the Cell Wall Polysaccharides and Phytochemicals of Okra Pods by Cold Plasma Treatment. Food Hydrocoll. 2022, 131, 107763. [Google Scholar] [CrossRef]
- Alves Filho, E.G.; de Brito, E.S.; Rodrigues, S. Effects of Cold Plasma Processing in Food Components; Elsevier Inc.: Amsterdam, The Netherlands, 2019; ISBN 9780128149218. [Google Scholar]
- Ojha, S.; Frohling, A.; Durek, J.; Ehlbeck, J.; Tiwari, B.K.; Schlüter, O.K.; Bußler, S. Principles and Application of Cold Plasma in Food Processing. Innov. Food Process. Technol. 2020, 1857, 519–540. [Google Scholar] [CrossRef]
- Bao, Y.; Reddivari, L.; Huang, J.Y. Development of Cold Plasma Pretreatment for Improving Phenolics Extractability from Tomato Pomace. Innov. Food Sci. Emerg. Technol. 2020, 65, 102445. [Google Scholar] [CrossRef]
- Seelarat, W.; Sangwanna, S.; Panklai, T.; Chaosuan, N.; Bootchanont, A.; Wattanawikkam, C.; Subcharoen, A.; Subcharoen, N.; Chanchula, N.; Boonyawan, D.; et al. Enhanced Fruiting Body Production and Bioactive Phytochemicals from White Cordyceps militaris by Blending Cordyceps militaris and Using Cold Plasma Jet. Plasma Chem. Plasma Process. 2023, 43, 139–162. [Google Scholar] [CrossRef]
- Pogorzelska-Nowicka, E.; Hanula, M.M.; Brodowska-Trębacz, M.; Górska-Horczyczak, E.; Jankiewicz, U.; Mazur, T.; Marcinkowska-Lesiak, M.; Półtorak, A.; Wierzbicka, A. The Effect of Cold Plasma Pretreatment on Water-Suspended Herbs Measured in the Content of Bioactive Compounds, Antioxidant Activity, Volatile Compounds and Microbial Count of Final Extracts. Antioxidants 2021, 10, 1740. [Google Scholar] [CrossRef]
- Fernandes, F.A.N.; Rodrigues, S. Cold Plasma Processing on Fruits and Fruit Juices: A Review on the Effects of Plasma on Nutritional Quality. Processes 2021, 9, 2098. [Google Scholar] [CrossRef]
- Yudhistira, B.; Punthi, F.; Gavahian, M.; Chang, C.K.; Hazeena, S.H.; Hou, C.Y.; Hsieh, C.W. Nonthermal Technologies to Maintain Food Quality and Carbon Footprint Minimization in Food Processing: A Review. Trends Food Sci. Technol. 2023, 141, 104205. [Google Scholar] [CrossRef]
- Jin, T.; Zhou, Z.; Zhou, J.; Ouyang, W.; Wu, Z. The Potential Effects of Dielectric Barrier Discharge Plasma on the Extraction Efficiency of Bioactive Compounds in Radix paeoniae alba. Front. Nutr. 2021, 8, 735742. [Google Scholar] [CrossRef]
- Rashid, F.; Bao, Y.; Ahmed, Z.; Huang, J.Y. Effect of High Voltage Atmospheric Cold Plasma on Extraction of Fenugreek Galactomannan and Its Physicochemical Properties. Food Res. Int. 2020, 138, 109776. [Google Scholar] [CrossRef]
- Dai, F.; Zhuang, Q.; Huang, G.; Deng, H.; Zhang, X. Infrared Spectrum Characteristics and Quantification of OH Groups in Coal. ACS Omega 2023, 8, 17064–17076. [Google Scholar] [CrossRef]
- Liao, N.; Zhong, J.; Ye, X.; Lu, S.; Wang, W.; Zhang, R.; Xu, J.; Chen, S.; Liu, D. Ultrasonic-Assisted Enzymatic Extraction of Polysaccharide from Corbicula fluminea: Characterization and Antioxidant Activity. LWT 2015, 60, 1113–1121. [Google Scholar] [CrossRef]
- Wei, L.; Ma, F.; Du, C. Application of Ftir-Pas in Rapid Assessment of Rice Quality under Climate Change Conditions. Foods 2021, 10, 159. [Google Scholar] [CrossRef]
- Alzorqi, I.; Sudheer, S.; Lu, T.J.; Manickam, S. Ultrasonically Extracted β-D-Glucan from Artificially Cultivated Mushroom, Characteristic Properties and Antioxidant Activity. Ultrason. Sonochem. 2017, 35, 531–540. [Google Scholar] [CrossRef]
- Bekiaris, G.; Tagkouli, D.; Koutrotsios, G.; Kalogeropoulos, N.; Zervakis, G.I. Pleurotus Mushrooms Content in Glucans and Ergosterol Assessed by ATR-FTIR Spectroscopy and Multivariate Analysis. Foods 2020, 9, 535. [Google Scholar] [CrossRef]






| Run | PAW Condition Parameters | Responses | |||||
|---|---|---|---|---|---|---|---|
| Power, W (X1) | Time, s (X2) | Ratio, g/mL (X3) | Polysaccharide Yield (%) | DPPH (%) | ABTS (%) | OH (%) | |
| 1 | 300 | 30 | 20 | 6.39 ± 0.47 | 54.21 ± 0.46 | 90.20 ± 1.24 | 48.08 ± 0.44 |
| 2 | 300 | 150 | 20 | 5.59 ± 0.27 | 46.93 ± 1.58 | 92.34 ± 0.88 | 50.95 ± 0.25 |
| 3 | 300 | 90 | 30 | 5.63 ± 0.13 | 55.80 ± 0.75 | 87.17 ± 0.79 | 50.03 ± 0.60 |
| 4 | 300 | 90 | 10 | 4.68 ± 0.12 | 51.62 ± 0.75 | 89.40 ± 0.79 | 45.86 ± 0.65 |
| 5 | 500 | 150 | 10 | 4.55 ± 0.40 | 55.10 ± 2.10 | 89.88 ± 1.06 | 44.78 ± 0.60 |
| 6 | 500 | 90 | 20 | 6.86 ± 0.08 | 47.23 ± 1.87 | 90.10 ± 0.42 | 53.13 ± 0.20 |
| 7 | 500 | 150 | 30 | 6.48 ± 0.20 | 67.06 ± 0.62 | 77.43 ± 1.04 | 51.76 ± 0.94 |
| 8 | 500 | 30 | 30 | 8.25 ± 0.37 | 73.24 ± 0.79 | 81.21 ± 0.88 | 49.32 ± 0.94 |
| 9 | 500 | 90 | 20 | 10.27 ± 0.37 | 77.03 ± 1.05 | 85.73 ± 0.79 | 60.93 ± 0.20 |
| 10 | 500 | 30 | 10 | 7.25 ± 0.29 | 70.75 ± 1.13 | 82.54 ± 1.30 | 61.48 ± 0.25 |
| 11 | 500 | 90 | 20 | 10.96 ± 0.77 | 79.72 ± 0.92 | 81.42 ± 0.80 | 60.77 ± 0.43 |
| 12 | 700 | 90 | 30 | 11.87 ± 0.46 | 85.80 ± 1.80 | 75.19 ± 1.52 | 47.07 ± 1.09 |
| 13 | 700 | 150 | 20 | 11.59 ± 0.51 | 84.20 ± 1.70 | 77.84 ± 0.64 | 56.30 ± 0.34 |
| 14 | 700 | 30 | 20 | 12.17 ± 0.18 | 82.61 ± 1.99 | 81.21 ± 0.72 | 59.85 ± 1.00 |
| 15 | 700 | 90 | 10 | 7.57 ± 0.56 | 83.84 ± 0.90 | 85.20 ± 0.88 | 61.52 ± 0.11 |
| Source | Polysaccharide Yield (%) | DPPH (%) | ABTS (%) | OH (%) | ||||||||||||
|---|---|---|---|---|---|---|---|---|---|---|---|---|---|---|---|---|
| DF | Coef | F-Value | p-Value | DF | Coef | F-Value | p-Value | DF | Coef | F-Value | p-Value | DF | Coef | F-Value | p-Value | |
| Model | 9 | 24.68 | <0.0001 | 9 | 10.80 | <0.0001 | 9 | 23.85 | <0.0001 | 9 | 24.75 | <0.0001 | ||||
| X1 | 1 | 2.61 | 137.79 | <0.0001 | 1 | 14.74 | 84.03 | <0.0001 | 1 | −5.09 | 121.07 | <0.0001 | 1 | 3.73 | 53.80 | <0.0001 |
| X2 | 1 | −0.73 | 10.76 | 0.002 | 1 | −3.44 | 4.57 | 0.040 | 1 | 0.17 | 0.14 | 0.711 | 1 | −1.87 | 13.51 | 0.001 |
| X3 | 1 | 1.02 | 21.03 | <0.0001 | 1 | 3.82 | 5.66 | 0.023 | 1 | −3.25 | 49.47 | <0.0001 | 1 | −1.93 | 14.47 | 0.001 |
| X12 | 1 | 0.19 | 0.33 | 0.571 | 1 | −0.39 | 0.03 | 0.870 | 1 | 0.44 | 0.42 | 0.519 | 1 | −2.60 | 12.09 | 0.001 |
| X22 | 1 | −0.62 | 3.52 | 0.069 | 1 | −0.61 | 0.07 | 0.797 | 1 | −1.03 | 2.30 | 0.138 | 1 | −1.88 | 6.34 | 0.017 |
| X32 | 1 | −2.12 | 41.62 | <0.0001 | 1 | −0.84 | 0.13 | 0.725 | 1 | −1.95 | 8.22 | 0.007 | 1 | −4.56 | 37.13 | <0.0001 |
| X1X2 | 1 | 0.06 | 0.03 | 0.861 | 1 | 2.22 | 0.95 | 0.336 | 1 | −1.64 | 6.26 | 0.017 | 1 | −1.61 | 5.00 | 0.032 |
| X1X3 | 1 | 0.84 | 7.06 | 0.012 | 1 | 1.94 | 0.73 | 0.399 | 1 | −1.94 | 8.82 | 0.005 | 1 | −4.66 | 42.00 | <0.0001 |
| X2X3 | 1 | 0.23 | 0.54 | 0.468 | 1 | 2.37 | 1.08 | 0.305 | 1 | −2.78 | 18.07 | <0.0001 | 1 | 4.79 | 44.38 | <0.0001 |
| Lack-of-Fit | 3 | 2.60 | 0.069 | 3 | 0.89 | 0.458 | 3 | 3.00 | 0.045 | 3 | 7.03 | 0.001 | ||||
| Constant | 9.36 | 67.99 | 85.75 | 58.28 | ||||||||||||
| R2 | 0.86 | 0.74 | 0.86 | 0.86 | ||||||||||||
| R2 (adj) | 0.83 | 0.67 | 0.82 | 0.83 | ||||||||||||
| R2 (pred) | 0.81 | 0.65 | 0.80 | 0.80 | ||||||||||||
Disclaimer/Publisher’s Note: The statements, opinions and data contained in all publications are solely those of the individual author(s) and contributor(s) and not of MDPI and/or the editor(s). MDPI and/or the editor(s) disclaim responsibility for any injury to people or property resulting from any ideas, methods, instructions or products referred to in the content. |
© 2023 by the authors. Licensee MDPI, Basel, Switzerland. This article is an open access article distributed under the terms and conditions of the Creative Commons Attribution (CC BY) license (https://creativecommons.org/licenses/by/4.0/).
Share and Cite
Punthi, F.; Yudhistira, B.; Gavahian, M.; Chang, C.-K.; Husnayain, N.; Hou, C.-Y.; Yu, C.-C.; Hsieh, C.-W. Optimization of Plasma Activated Water Extraction of Pleurotus ostreatus Polysaccharides on Its Physiochemical and Biological Activity Using Response Surface Methodology. Foods 2023, 12, 4347. https://doi.org/10.3390/foods12234347
Punthi F, Yudhistira B, Gavahian M, Chang C-K, Husnayain N, Hou C-Y, Yu C-C, Hsieh C-W. Optimization of Plasma Activated Water Extraction of Pleurotus ostreatus Polysaccharides on Its Physiochemical and Biological Activity Using Response Surface Methodology. Foods. 2023; 12(23):4347. https://doi.org/10.3390/foods12234347
Chicago/Turabian StylePunthi, Fuangfah, Bara Yudhistira, Mohsen Gavahian, Chao-Kai Chang, Naila Husnayain, Chih-Yao Hou, Cheng-Chia Yu, and Chang-Wei Hsieh. 2023. "Optimization of Plasma Activated Water Extraction of Pleurotus ostreatus Polysaccharides on Its Physiochemical and Biological Activity Using Response Surface Methodology" Foods 12, no. 23: 4347. https://doi.org/10.3390/foods12234347
APA StylePunthi, F., Yudhistira, B., Gavahian, M., Chang, C.-K., Husnayain, N., Hou, C.-Y., Yu, C.-C., & Hsieh, C.-W. (2023). Optimization of Plasma Activated Water Extraction of Pleurotus ostreatus Polysaccharides on Its Physiochemical and Biological Activity Using Response Surface Methodology. Foods, 12(23), 4347. https://doi.org/10.3390/foods12234347

