Hemp Seed Cake Flour as a Source of Proteins, Minerals and Polyphenols and Its Impact on the Nutritional, Sensorial and Technological Quality of Bread
Abstract
:1. Introduction
2. Materials and Methods
2.1. Materials
2.2. Methods
2.3. Protein Quality Determination
2.3.1. The Analysis of Amino Acid Composition in Hemp Seed Cake Protein
2.3.2. Scoring of Amino Acids
2.3.3. Protein Efficiency Ratio
2.4. The Analysis of Mineral Composition of Hemp Seed Cake Flour
2.5. The Analysis of Polyphenols in Hemp Seeds and Hemp Seed Cake Flour by HPLC
2.6. Bread-Making Procedure
2.7. Determination of Baking Loss
2.8. Determination of Porosity
2.9. Determination of Volume of Bread
2.10. Determination of Water Activity
2.11. Analysis of Bread Crumb Texture
2.12. Evaluation of Colour Parameters
2.13. Total Polyphenol Content (TPC)
2.14. Antioxidant Activity (AA)
2.15. Consumer Test and Sensory Analysis
2.16. Check-All-That-Apply (CATA)
2.17. Statistical Analysis
3. Results
3.1. Characteristics of Wheat Flour and Hemp Seed Cake Flour
3.2. Impact of Hemp Seed Cake Flour on Bread Quality
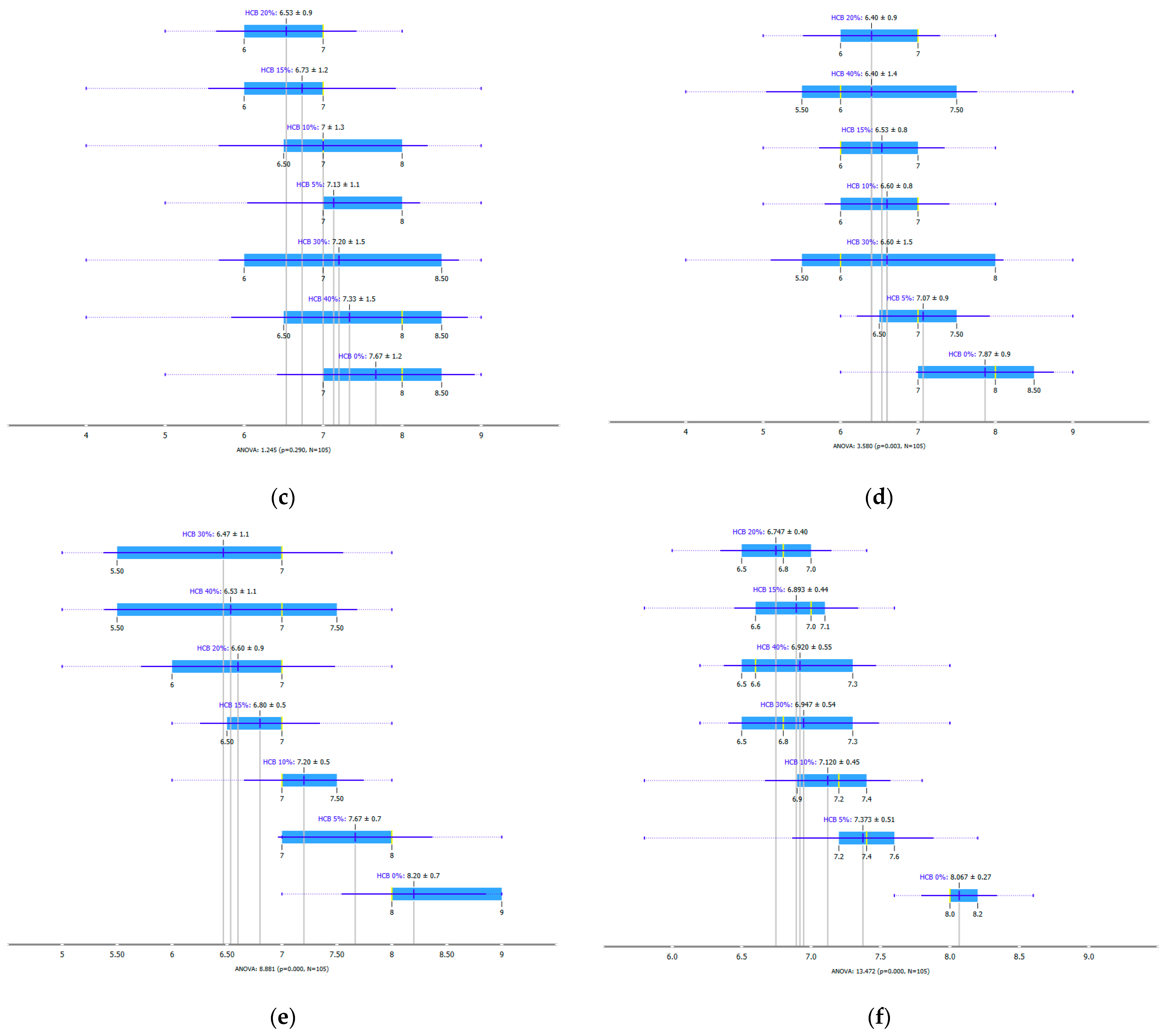
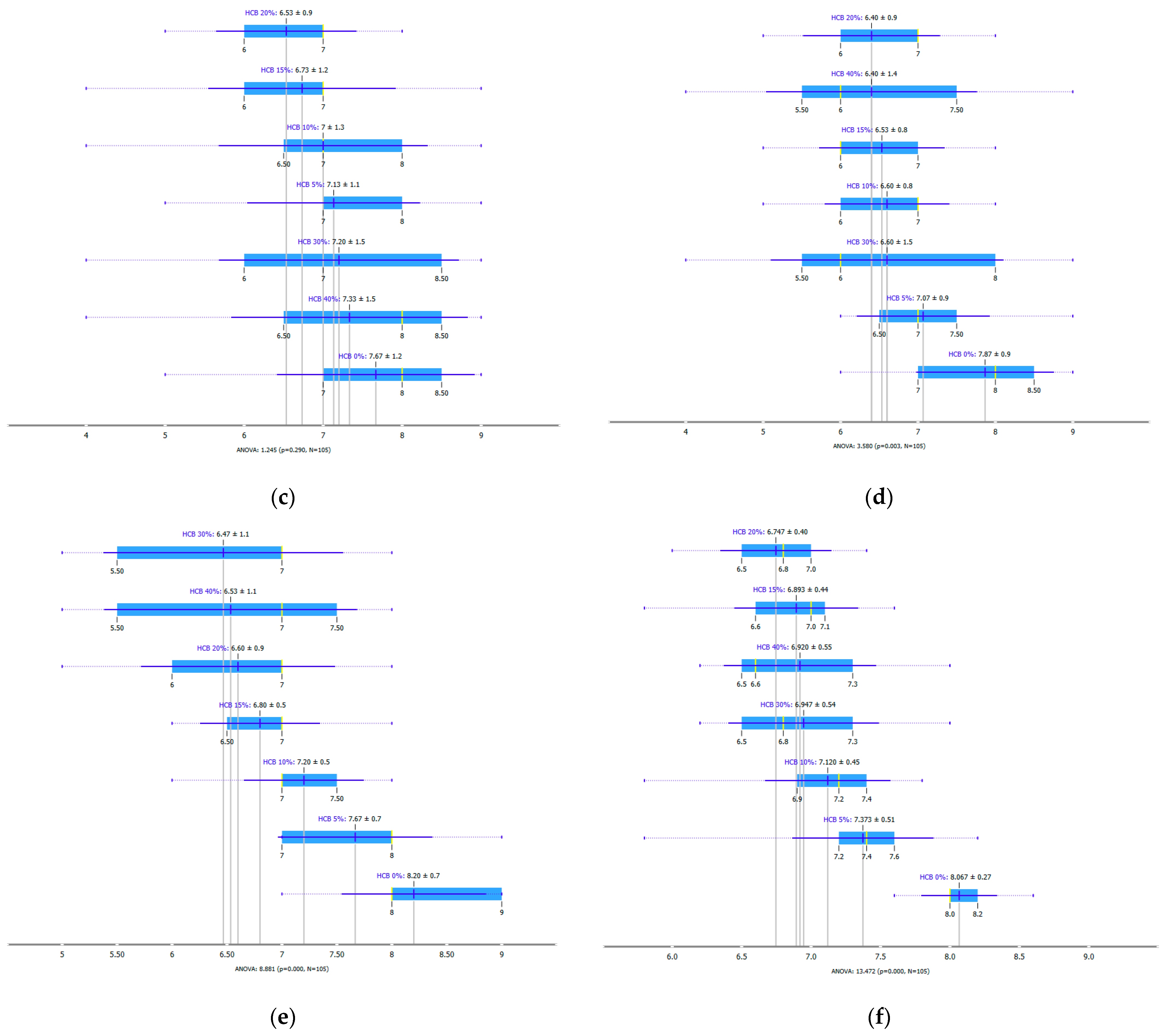
3.2.1. Impact of Hemp Seed Cake Flour on Bread Sensory Profile
Consumer Test and Sensory Analysis
Check-All-That-Apply (CATA)
3.2.2. Impact of Hemp Seed Cake Flour on Bread Quality Characteristics
General Bread Quality Characteristics
| Bread Sample | Raw Materials | Amount, g/100 g Product | Energy, kcal | Protein, g/100 g | Carbohydrates, g/100 g | Fiber, g/100 g | Fat, g/100 g | Energy from Protein, % | 
|---|---|---|---|---|---|---|---|---|
| HCB0% | WF, g | 44.03 | 152.25 | 4.71 | 32.19 | 0.57 | 0.40 | 12.37 | 
| HCF, g | 0.00 | 0.00 | 0.00 | 0.00 | 0.00 | 0.00 | ||
| L, g | 24.77 | 32.04 | 0.99 | 6.78 | 0.12 | 0.08 | ||
| HCB5% | WF, g | 42.03 | 145.38 | 4.50 | 30.72 | 0.55 | 0.38 | 13.32 | 
| HCF, g | 2.21 | 6.67 | 0.64 | 0.21 | 0.89 | 0.17 | ||
| L, g | 24.89 | 32.04 | 0.99 | 6.78 | 0.12 | 0.08 | ||
| HCB10% | WF, g | 40.43 | 139.85 | 4.33 | 29.56 | 0.53 | 0.36 | 14.27 | 
| HCF, g | 4.49 | 13.54 | 1.30 | 0.42 | 1.80 | 0.34 | ||
| L, g | 25.27 | 32.04 | 0.99 | 6.78 | 0.12 | 0.08 | ||
| HCB15% | WF, g | 38.34 | 132.60 | 4.10 | 28.02 | 0.50 | 0.35 | 15.59 | 
| HCF, g | 6.77 | 16.33 | 1.96 | 0.63 | 0.69 | 0.51 | ||
| L, g | 25.37 | 32.04 | 0.99 | 6.78 | 0.12 | 0.08 | ||
| HCB20% | WF, g | 36.32 | 125.62 | 3.89 | 26.55 | 0.47 | 0.33 | 16.23 | 
| HCF, g | 9.08 | 27.37 | 2.63 | 0.85 | 3.65 | 0.68 | ||
| L, g | 25.54 | 32.04 | 0.99 | 6.78 | 0.12 | 0.08 | ||
| HCB30% | WF, g | 31.99 | 110.64 | 3.42 | 23.38 | 0.42 | 0.29 | 18.23 | 
| HCF, g | 13.71 | 41.32 | 3.98 | 1.28 | 5.50 | 1.03 | ||
| L, g | 25.70 | 32.04 | 0.99 | 6.78 | 0.12 | 0.08 | ||
| HCB40% | WF, g | 27.50 | 95.13 | 2.94 | 20.10 | 0.36 | 0.25 | 20.28 | 
| HCF, g | 18.33 | 55.26 | 5.32 | 1.72 | 7.36 | 1.38 | ||
| L, g | 25.78 | 32.04 | 0.99 | 6.78 | 0.12 | 0.08 | 
Colour Parameter Analysis
Texture Analysis
4. Conclusions
Author Contributions
Funding
Institutional Review Board Statement
Informed Consent Statement
Data Availability Statement
Acknowledgments
Conflicts of Interest
References
- Bublitz, M.G.; Peracchio, L.A.; Block, L.G. Why Did I Eat That? Perspectives on Food Decision Making and Dietary Restraint. J. Consum. Psychol. 2010, 20, 239–258. [Google Scholar] [CrossRef]
 - Sommer, I.; MacKenzie, H.; Venter, C.; Dean, T. Factors Influencing Food Choices of Food-Allergic Consumers: Findings from Focus Groups. Allergy 2012, 67, 1319–1322. [Google Scholar] [CrossRef] [PubMed]
 - Gollnhofer, J.F. Normalising Alternative Practices: The Recovery, Distribution and Consumption of Food Waste. J. Mark. Manag. 2017, 33, 624–643. [Google Scholar] [CrossRef]
 - Barone, A.M.; Grappi, S.; Romani, S. “The Road to Food Waste Is Paved with Good Intentions”: When Consumers’ Goals Inhibit the Minimization of Household Food Waste. Resour. Conserv. Recycl. 2019, 149, 97–105. [Google Scholar] [CrossRef]
 - Saputro, W.A.; Purnomo, S.; Salamah, U. Study of Food Waste of Farmers’ Households in Klaten to Support Food Security. Anjoro 2021, 2, 58–64. [Google Scholar] [CrossRef]
 - Grizzetti, B.; Pretato, U.; Lassaletta, L.; Billen, G.; Garnier, J. The Contribution of Food Waste to Global and European Nitrogen Pollution. Environ. Sci. Policy 2013, 33, 186–195. [Google Scholar] [CrossRef]
 - Torres-León, C.; Ramírez-Guzman, N.; Londoño-Hernandez, L.; Martinez-Medina, G.A.; Díaz-Herrera, R.; Navarro-Macias, V.; Alvarez-Pérez, O.B.; Picazo, B.; Villarreal-Vázquez, M.; Ascacio-Valdes, J.; et al. Food Waste and Byproducts: An Opportunity to Minimize Malnutrition and Hunger in Developing Countries. Front. Sustain. Food Syst. 2018, 2, 52. [Google Scholar] [CrossRef]
 - Chu, Z.; Fan, X.; Wang, W.; Huang, W. Quantitative Evaluation of Heavy Metals’ Pollution Hazards and Estimation of Heavy Metals’ Environmental Costs in Leachate during Food Waste Composting. Waste Manag. 2019, 84, 119–128. [Google Scholar] [CrossRef]
 - Karandish, F.; Hoekstra, A.Y.; Hogeboom, R.J. Reducing Food Waste and Changing Cropping Patterns to Reduce Water Consumption and Pollution in Cereal Production in Iran. J. Hydrol. 2020, 586, 124881. [Google Scholar] [CrossRef]
 - Corrado, S.; Sala, S. Food Waste Accounting along Global and European Food Supply Chains: State of the Art and Outlook. Waste Manag. 2018, 79, 120–131. [Google Scholar] [CrossRef]
 - Lin, Z.; Ooi, J.K.; Woon, K.S. An Integrated Life Cycle Multi-Objective Optimization Model for Health-Environment-Economic Nexus in Food Waste Management Sector. Sci. Total Environ. 2022, 816, 151541. [Google Scholar] [CrossRef] [PubMed]
 - Deng, Y.; Shi, Y.; Huang, Y.; Xu, J. An Optimization Approach for Food Waste Management System Based on Technical Integration under Different Water/Grease Proportions. J. Clean. Prod. 2023, 394, 136254. [Google Scholar] [CrossRef]
 - Rehman, M.S.U.; Rashid, N.; Saif, A.; Mahmood, T.; Han, J.-I. Potential of Bioenergy Production from Industrial Hemp (Cannabis sativa): Pakistan Perspective. Renew. Sustain. Energy Rev. 2013, 18, 154–164. [Google Scholar] [CrossRef]
 - Morin-Crini, N.; Loiacono, S.; Placet, V.; Torri, G.; Bradu, C.; Kostić, M.; Cosentino, C.; Chanet, G.; Martel, B.; Lichtfouse, E.; et al. Hemp-Based Adsorbents for Sequestration of Metals: A Review. Environ. Chem. Lett. 2019, 17, 393–408. [Google Scholar] [CrossRef]
 - Crini, G.; Lichtfouse, E.; Chanet, G.; Morin-Crini, N. Traditional and New Applications of Hemp. In Sustainable Agriculture Reviews 42; Sustainable Agriculture Reviews; Crini, G., Lichtfouse, E., Eds.; Springer International Publishing: Cham, Switzerland, 2020; Volume 42, pp. 37–87. ISBN 978-3-030-41383-5. [Google Scholar]
 - Agrawal, A.; Lynskey, M.T. Cannabis Controversies: How Genetics Can Inform the Study of Comorbidity: Genetics of Cannabis Comorbidities. Addiction 2014, 109, 360–370. [Google Scholar] [CrossRef]
 - Miller, L.L. Marijuana; Effects on Human Behavior; Academic Press: New York, NY, USA, 1974; ISBN 978-0-12-497050-2. [Google Scholar]
 - Greydanus, D.E.; Hawver, E.K.; Greydanus, M.M.; Merrick, J. Marijuana: Current Concepts. Front. Public Health 2013, 1, 42. [Google Scholar] [CrossRef] [PubMed]
 - Sorrentino, G. Introduction to Emerging Industrial Applications of Cannabis (Cannabis sativa L.). Rend. Lincei Sci. Fis. Nat. 2021, 32, 233–243. [Google Scholar] [CrossRef]
 - Simiyu, D.C.; Jang, J.H.; Lee, O.R. Understanding Cannabis sativa L.: Current Status of Propagation, Use, Legalization, and Haploid-Inducer-Mediated Genetic Engineering. Plants 2022, 11, 1236. [Google Scholar] [CrossRef]
 - Fabre, A.-J. Cannabis, hemp and hashish: Always returning. Hist. Sci. Med. 2006, 40, 191–202. [Google Scholar]
 - Regulation 2021/2115—Rules on Support for Strategic Plans to Be Drawn up by Member States under the Common Agricultural Policy (CAP Strategic Plans) and Financed by the European Agricultural Guarantee Fund (EAGF) and by the European Agricultural Fund for Rural Development (EAFRD)—EU Monitor. Available online: https://www.eumonitor.eu/9353000/1/j4nvk6yhcbpeywk_j9vvik7m1c3gyxp/vlok8fwdhhzj (accessed on 17 November 2023).
 - European Monitoring Centre for Drugs and Drug Addiction. Cannabis Laws in Europe: Questions and Answers for Policymaking; Publications Office: Luxembourg, 2023. [Google Scholar]
 - Kriese, U.; Schumann, E.; Weber, W.E.; Beyer, M.; Brühl, L.; Matthäus, B. Oil Content, Tocopherol Composition and Fatty Acid Patterns of the Seeds of 51 Cannabis sativa L. Genotypes. Euphytica 2004, 137, 339–351. [Google Scholar] [CrossRef]
 - Razmaitė, V.; Pileckas, V.; Bliznikas, S.; Šiukščius, A. Fatty Acid Composition of Cannabis sativa, Linum usitatissimum and Camelina sativa Seeds Harvested in Lithuania for Food Use. Foods 2021, 10, 1902. [Google Scholar] [CrossRef]
 - Taaifi, Y.; Benmoumen, A.; Belhaj, K.; Aazza, S.; Abid, M.; Azeroual, E.; Elamrani, A.; Mansouri, F.; Serghini Caid, H. Seed Composition of Non-industrial Hemp (Cannabis sativa L.) Varieties from Four Regions in Northern Morocco. Int. J. Food Sci. Technol. 2021, 56, 5931–5947. [Google Scholar] [CrossRef]
 - Pojić, M.; Mišan, A.; Sakač, M.; Dapčević Hadnađev, T.; Šarić, B.; Milovanović, I.; Hadnađev, M. Characterization of Byproducts Originating from Hemp Oil Processing. J. Agric. Food Chem. 2014, 62, 12436–12442. [Google Scholar] [CrossRef] [PubMed]
 - Klir, Ž.; Novoselec, J.; Antunović, Z. An Overview on the Use of Hemp (Cannabis sativa L.) in Animal Nutrition. Poljoprivreda 2019, 25, 52–61. [Google Scholar] [CrossRef]
 - Mirpoor, S.F.; Giosafatto, C.V.L.; Porta, R. Biorefining of Seed Oil Cakes as Industrial Co-Streams for Production of Innovative Bioplastics. A Review. Trends Food Sci. Technol. 2021, 109, 259–270. [Google Scholar] [CrossRef]
 - Teterycz, D.; Sobota, A.; Przygodzka, D.; Łysakowska, P. Hemp Seed (Cannabis sativa L.) Enriched Pasta: Physicochemical Properties and Quality Evaluation. PLoS ONE 2021, 16, e0248790. [Google Scholar] [CrossRef] [PubMed]
 - Merlino, M.; Tripodi, G.; Cincotta, F.; Prestia, O.; Miller, A.; Gattuso, A.; Verzera, A.; Condurso, C. Technological, Nutritional, and Sensory Characteristics of Gnocchi Enriched with Hemp Seed Flour. Foods 2022, 11, 2783. [Google Scholar] [CrossRef] [PubMed]
 - Zając, M.; Guzik, P.; Kulawik, P.; Tkaczewska, J.; Florkiewicz, A.; Migdał, W. The quality of pork loaves with the addition of hemp seeds, de-hulled hemp seeds, hemp protein and hemp flour. LWT 2019, 105, 190–199. [Google Scholar] [CrossRef]
 - Nakov, G.; Trajkovska, B.; Atanasova-Pancevska, N.; Daniloski, D.; Ivanova, N.; Lučan Čolić, M.; Jukić, M.; Lukinac, J. The Influence of the Addition of Hemp Press Seed cake Flour on the Properties of Bovine and Ovine Yoghurts. Foods 2023, 12, 958. [Google Scholar] [CrossRef]
 - Boaghi, E.; Capcanari, T.; Mija, N.; Deseatnicova, O.; Opopol, N. The Evolution of Food Products Consumption in Republic of Moldova in the Demographic Transition Period. J. Eng. Sci. 2018, 25, 74–81. [Google Scholar] [CrossRef]
 - Figueroa, L.M. The Staff of Life: Wheat and ‘Indian Bread’ in the New World. Colon. Lat. Am. Rev. 2010, 19, 301–322. [Google Scholar] [CrossRef]
 - Wilkins, J.; Hill, S. Food in the Ancient World; Ancient cultures; Blackwell Pub: Malden, MA, USA; Oxford, UK; Carlton, Victoria, Australia, 2006; ISBN 978-0-631-23550-7. [Google Scholar]
 - Sandvik, P.; Kihlberg, I.; Lindroos, A.K.; Marklinder, I.; Nydahl, M. Bread Consumption Patterns in a Swedish National Dietary Survey Focusing Particularly on Whole-Grain and Rye Bread. Food Nutr. Res. 2014, 58, 24024. [Google Scholar] [CrossRef]
 - Juntunen, K.S.; Niskanen, L.K.; Liukkonen, K.H.; Poutanen, K.S.; Holst, J.J.; Mykkänen, H.M. Postprandial Glucose, Insulin, and Incretin Responses to Grain Products in Healthy Subjects. Am. J. Clin. Nutr. 2002, 75, 254–262. [Google Scholar] [CrossRef]
 - Najjar, A.M.; Parsons, P.M.; Duncan, A.M.; Robinson, L.E.; Yada, R.Y.; Graham, T.E. The Acute Impact of Ingestion of Breads of Varying Composition on Blood Glucose, Insulin and Incretins Following First and Second Meals. Br. J. Nutr. 2008, 101, 391–398. [Google Scholar] [CrossRef]
 - Bautista-Castaño, I.; Serra-Majem, L. Relationship between Bread Consumption, Body Weight, and Abdominal Fat Distribution: Evidence from Epidemiological Studies. Nutr. Rev. 2012, 70, 218–233. [Google Scholar] [CrossRef]
 - Serra-Majem, L.; Bautista-Castaño, I. Relationship between Bread and Obesity. Br. J. Nutr. 2015, 113, S29–S35. [Google Scholar] [CrossRef] [PubMed]
 - Mohammadifard, N.; Khaje, M.-R.; Sarrafzadegan, N.; Sajjadi, F.; Alikhasi, H.; Maghroun, M.; Iraji, F.; Ehteshami, S. Healthy Bread Initiative: Methods, Findings, and Theories—Isfahan Healthy Heart Program. J. Health Popul. Nutr. 2013, 31, 49–57. [Google Scholar] [CrossRef] [PubMed]
 - Lockyer, S.; Spiro, A. The Role of Bread in the UK Diet: An Update. Nutr. Bull. 2020, 45, 133–164. [Google Scholar] [CrossRef]
 - Ktenioudaki, A.; Gallagher, E. Recent Advances in the Development of High-Fibre Baked Products. Trends Food Sci. Technol. 2012, 28, 4–14. [Google Scholar] [CrossRef]
 - Cappelli, A.; Cini, E. Challenges and Opportunities in Wheat Flour, Pasta, Bread, and Bakery Product Production Chains: A Systematic Review of Innovations and Improvement Strategies to Increase Sustainability, Productivity, and Product Quality. Sustainability 2021, 13, 2608. [Google Scholar] [CrossRef]
 - Siddiqui, S.A.; Mahmud, M.M.C.; Abdi, G.; Wanich, U.; Farooqi, M.Q.U.; Settapramote, N.; Khan, S.; Wani, S.A. New Alternatives from Sustainable Sources to Wheat in Bakery Foods: Science, Technology, and Challenges. J. Food Biochem. 2022, 46, e14185. [Google Scholar] [CrossRef]
 - Virginio, C.D.; Garcia, C.; Cruz, A.; Galon, A.; Hizon, J.S.; Vigonte, F.; Malang, B. Overcoming Challenges in the Quality Service and Production of a Bakery Business: A Literature Review. SSRN J. 2022, 1–12. [Google Scholar] [CrossRef]
 - Chirsanova, A.; Reșitca, V.; Siminiuc, R.; Suhodol, N.; Popovici, C.; Deseatnicova, O.; Capcanari, T.; Gutium, O.; Covaliov, E.; Grosu, C.; et al. Produse Alimentare Inovative; Universitatea Tehnică a Moldovei: Chișinău, Moldova, 2021; ISBN 978-9975-45-704-0. [Google Scholar]
 - Covaliov, E.; Capcanari, T.; Resitca, V.; Chirsanova, A. Quality Evaluation of Sponge Seed cake with Milk Thistle (Silybum marianum L.) Seed Powder Addition. Ukr. Food J. 2023, 12, 7–20. [Google Scholar] [CrossRef]
 - Capcanari, T.; Chirsanova, A.; Covaliov, E.; Radu, O.; Siminiuc, R. Pastry Sauce with Carob (Ceratonia siliqua) Powder. Ukr. Food J. 2022, 11, 235–258. [Google Scholar] [CrossRef]
 - Ramos, L.; Alonso-Hernando, A.; Martínez-Castro, M.; Morán-Pérez, J.A.; Cabrero-Lobato, P.; Pascual-Maté, A.; Téllez-Jiménez, E.; Mujico, J.R. Sourdough Biotechnology Applied to Gluten-Free Baked Goods: Rescuing the Tradition. Foods 2021, 10, 1498. [Google Scholar] [CrossRef] [PubMed]
 - Di Cagno, R.; De Angelis, M.; Lavermicocca, P.; De Vincenzi, M.; Giovannini, C.; Faccia, M.; Gobbetti, M. Proteolysis by Sourdough Lactic Acid Bacteria: Effects on Wheat Flour Protein Fractions and Gliadin Peptides Involved in Human Cereal Intolerance. Appl. Environ. Microbiol. 2002, 68, 623–633. [Google Scholar] [CrossRef] [PubMed]
 - Siminiuc, R.; Țurcanu, D. Impact of Artisanal Technologies on the Quality Indices of the Cozonac. Food Syst. 2020, 3, 25–31. [Google Scholar] [CrossRef]
 - Siminiuc, R.; Țurcanu, D. Technological Approaches Applied in the Design of Gluten-Free Bakery Products. Czech J. Food Sci. 2023, 41, 155–172. [Google Scholar] [CrossRef]
 - Lau, S.W.; Chong, A.Q.; Chin, N.L.; Talib, R.A.; Basha, R.K. Sourdough Microbiome Comparison and Benefits. Microorganisms 2021, 9, 1355. [Google Scholar] [CrossRef]
 - Dapčević-Hadnađev, T.; Tomić, J.; Škrobot, D.; Šarić, B.; Hadnađev, M. Processing Strategies to Improve the Breadmaking Potential of Whole-Grain Wheat and Non-Wheat Flours. Discov. Food 2022, 2, 11. [Google Scholar] [CrossRef]
 - Moran, C.A.; Scholten, R.H.J.; Tricarico, J.M.; Brooks, P.H.; Verstegen, M.W.A. Fermentation of Wheat: Effects of Backslopping Different Proportions of Pre-Fermented Wheat on the Microbialand Chemical Composition. Arch. Anim. Nutr. 2006, 60, 158–169. [Google Scholar] [CrossRef]
 - Siminiuc, R.; Cosciug, L.; Rubțov, S.; Balan, I.; Vidrașco, A. Qualityindexes of Spontaneous Flora Sourdough of Different Flours. In Modern Technologies in the Food Industry; Tehnica-Info: Chisinau, Moldova, 2014; pp. 287–292. [Google Scholar]
 - AACC. International Approved Methods of American Association of Cereal Chemists, 10th ed.; American Association of Cereal Chemists: St. Paul, MN, USA, 2000. [Google Scholar]
 - Decision of the Government of the Republic of Moldova No. 68 of 29.01.2009. Regarding the Approval of the Technical Regulations “Flour, Semolina and Cereal Bran”. 2009. Available online: https://www.Legis.Md/Cautare/getResults?Doc_id=22139&lang=ro (accessed on 30 September 2023).
 - Association of Official Analytical Chemists (AOAC). Official Methods of Analysis, 3rd ed.; Association of Official Analytical Chemists: Washington, DC, USA, 2002. [Google Scholar]
 - Dodok, L.; Modhir, A.A.; Buchtová, V.; Halásová, G.; Poláček, I. Importance and utilization of amaranth in food industry. Part 2. Composition of amino acids and fatty acids. Nahrung 1997, 41, 108–110. [Google Scholar] [CrossRef]
 - Food and Agriculture Organization of the United Nations. Dietary Protein Quality Evaluation in Human Nutrition: Report of an FAO Expert Consultation, 31 March–2 April 2011, Auckland, New Zealand; Food and Agriculture Organization of the United Nations, Ed.; FAO food and nutrition paper; Food and Agriculture Organization of the United Nations: Rome, Italy, 2013; ISBN 978-92-5-107417-6. [Google Scholar]
 - Kowalczewski, P.Ł.; Olejnik, A.; Białas, W.; Rybicka, I.; Zielińska-Dawidziak, M.; Siger, A.; Kubiak, P.; Lewandowicz, G. The Nutritional Value and Biological Activity of Concentrated Protein Fraction of Potato Juice. Nutrients 2019, 11, 1523. [Google Scholar] [CrossRef] [PubMed]
 - James, C.S. Analytical Chemistry of Foods; Springer: Boston, MA, USA, 1995; ISBN 978-1-4613-5905-0. [Google Scholar]
 - European Food Safety Authority (EFSA). Dietary Reference Values for Nutrients Summary Report. EFS3 2017, 14, e15121E. [Google Scholar] [CrossRef]
 - Rumeus, I.; Turtoi, M. Influence of Sourdough Use on Rope Spoilage of Wheat Bread. J. Agroaliment. Process. Technol. 2013, 19, 94–98. [Google Scholar]
 - Lu, T.-M.; Lee, C.-C.; Mau, J.-L.; Lin, S.-D. Quality and Antioxidant Property of Green Tea Sponge Cake. Food Chem. 2010, 119, 1090–1095. [Google Scholar] [CrossRef]
 - Hussain, M.; Saeed, F.; Niaz, B.; Afzaal, M.; Ikram, A.; Hussain, S.; Mohamed, A.A.; Alamri, M.S.; Anjum, F.M. Biochemical and Nutritional Profile of Maize Bran-enriched Flour in Relation to Its End-use Quality. Food Sci. Nutr. 2021, 9, 3336–3345. [Google Scholar] [CrossRef]
 - Young, L.S. Applications of Texture Analysis to Dough and Bread. In Breadmaking; Elsevier: Amsterdam, The Netherlands, 2012; pp. 562–579. ISBN 978-0-85709-060-7. [Google Scholar]
 - Makkar, H.P.S. Measurement of Total Phenolics and Tannins Using Folin-Ciocalteu Method. In Quantification of Tannins in Tree and Shrub Foliage; Springer: Dordrecht, The Netherlands, 2003; pp. 49–51. ISBN 978-90-481-6428-8. [Google Scholar]
 - Lin, J.; Zhou, W. Role of Quercetin in the Physicochemical Properties, Antioxidant and Antiglycation Activities of Bread. J. Funct. Foods 2018, 40, 299–306. [Google Scholar] [CrossRef]
 - Flander, L.; Salmenkallio-Marttila, M.; Suortti, T.; Autio, K. Optimization of Ingredients and Baking Process for Improved Wholemeal Oat Bread Quality. LWT-Food Sci. Technol. 2007, 40, 860–870. [Google Scholar] [CrossRef]
 - Elía, M. A Procedure for Sensory Evaluation of Bread: Protocol Developed by a Trained Panel: Bread Sensory Analyses. J. Sens. Stud. 2011, 26, 269–277. [Google Scholar] [CrossRef]
 - Biró, B.; Sipos, M.A.; Kovács, A.; Badak-Kerti, K.; Pásztor-Huszár, K.; Gere, A. Cricket-Enriched Oat Biscuit: Technological Analysis and Sensory Evaluation. Foods 2020, 9, 1561. [Google Scholar] [CrossRef]
 - Mtelisi Dube, N.; Xu, F.; Zhao, R. The Efficacy of Sorghum Flour Addition on Dough Rheological Properties and Bread Quality: A Short Review. Grain Oil Sci. Technol. 2020, 3, 164–171. [Google Scholar] [CrossRef]
 - Zlateva, D.; Ivanova, P.; Chochkov, R.; Stefanova, D. Effect of Spirulina Platensis and Kelp on the Antioxidant Activity of Wheat Bread. Ukr. Food. J 2020, 9, 636–650. [Google Scholar] [CrossRef]
 - Rajasekhar, K.; Fausto, S.; Byron, S.; Frank, C.; Chris, B.; Rodney, C.; Eric, W. Characterization of the Nutritional and Safety Properties of Hemp Seed cake as Animal Feed Ingredient. Int. J. Livest. Prod. 2021, 12, 53–63. [Google Scholar] [CrossRef]
 - Mierliță, D. Fatty Acids Profile and Oxidative Stability of Eggs from Laying Hens Fed Diets Containing Hemp Seed or Hempseed Cake. S. Afr. J. Anim. Sci. 2019, 49, 310. [Google Scholar] [CrossRef]
 - Xu, J.; Bai, M.; Song, H.; Yang, L.; Zhu, D.; Liu, H. Hemp (Cannabis sativa subsp. sativa) Chemical Composition and the Application of Hempseeds in Food Formulations. Plant Foods Hum. Nutr. 2022, 77, 504–513. [Google Scholar] [CrossRef] [PubMed]
 - Aluko, R.E. Hemp Seed (Cannabis sativa L.) Proteins. In Sustainable Protein Sources; Elsevier: Amsterdam, The Netherlands, 2017; pp. 121–132. ISBN 978-0-12-802778-3. [Google Scholar]
 - Ebert, S.; Gibis, M.; Terjung, N.; Weiss, J. Survey of Aqueous Solubility, Appearance, and pH of Plant Protein Powders from Carbohydrate and Vegetable Oil Production. LWT 2020, 133, 110078. [Google Scholar] [CrossRef]
 - Wang, X.-S.; Tang, C.-H.; Yang, X.-Q.; Gao, W.-R. Characterization, Amino Acid Composition and in Vitro Digestibility of Hemp (Cannabis sativa L.) Proteins. Food Chem. 2008, 107, 11–18. [Google Scholar] [CrossRef]
 - Dimina, L.; Rémond, D.; Huneau, J.-F.; Mariotti, F. Combining Plant Proteins to Achieve Amino Acid Profiles Adapted to Various Nutritional Objectives—An Exploratory Analysis Using Linear Programming. Front. Nutr. 2022, 8, 809685. [Google Scholar] [CrossRef]
 - Shoup, F.K.; Pomeranz, Y.; Deyoe, C.W. Amino Acid Composition of Wheat Varieties and Flours Varying Widely in Bread-Making Potentialities. J. Food Sci. 1966, 31, 94–101. [Google Scholar] [CrossRef]
 - House, J.D.; Neufeld, J.; Leson, G. Evaluating the Quality of Protein from Hemp Seed (Cannabis sativa L.) Products Through the Use of the Protein Digestibility-Corrected Amino Acid Score Method. J. Agric. Food Chem. 2010, 58, 11801–11807. [Google Scholar] [CrossRef] [PubMed]
 - Heger, J.; Frydrych, Z.; Froněk, P. The Effect of Nonessential Nitrogen on the Utilization of Dietary Protein in the Growing Rat. Anim. Physiol. Nutr. 1987, 57, 130–139. [Google Scholar] [CrossRef]
 - Heger, J. Essential to Non-Essential Amino Acid Ratios. In Amino Acids in Animal Nutrition; D’Mello, J.P.F., Ed.; CABI Publishing: Wallingford, UK, 2003; pp. 103–124. ISBN 978-0-85199-654-7. [Google Scholar]
 - Meybodi, N.M.; Mirmoghtadaie, L.; Sheidaei, Z.; Mortazavian, A.M. Wheat Bread: Potential Approach to Fortify Its Lysine Content. Curr. Nutr. Food Sci. 2019, 15, 630–637. [Google Scholar] [CrossRef]
 - Anjum, F.M.; Ahmad, I.; Butt, M.S.; Sheikh, M.A.; Pasha, I. Amino Acid Composition of Spring Wheats and Losses of Lysine during Chapati Baking. J. Food Compos. Anal. 2005, 18, 523–532. [Google Scholar] [CrossRef]
 - Albert, C.; Gombos, S.; Salamon, R.V.; Csiki, Z.; Prokisch, J.; Csapó, J. Production of Highly Nutritious Functional Food with the Supplementation of Wheat Flour with Lysine. Acta Univ. Sapientiae Aliment. 2017, 10, 5–20. [Google Scholar] [CrossRef]
 - Mykolenko, S.; Hez, Y.; Pivovarov, O. Effect of Bioactivated Amaranth Grain on the Quality and Amino Acid Composition of Bread. Ukr. Food J. 2021, 10, 576–592. [Google Scholar] [CrossRef]
 - Stamatie, G.D.; Susman, I.E.; Bobea, S.A.; Matei, E.; Duta, D.E.; Israel-Roming, F. The Influence of the Technological Process on Improving the Acceptability of Bread Enriched with Pea Protein, Hemp and Sea Buckthorn Press Cake. Foods 2022, 11, 3667. [Google Scholar] [CrossRef] [PubMed]
 - Leser, S. The 2013 FAO Report on Dietary Protein Quality Evaluation in Human Nutrition: Recommendations and Implications: FAO Dietary Protein Report. Nutr. Bull. 2013, 38, 421–428. [Google Scholar] [CrossRef]
 - Millward, D.J. Metabolic Demands for Amino Acids and the Human Dietary Requirement: Revisited. J. Nutr. 1998, 128, S2563–S2576. [Google Scholar] [CrossRef]
 - Schaafsma, G. The Protein Digestibility–Corrected Amino Acid Score. J. Nutr. 2000, 130, 1865S–1867S. [Google Scholar] [CrossRef]
 - Silversides, F.G.; Lefran Çois, M.R. The Effect of Feeding Hemp Seed Meal to Laying Hens. Br. Poult. Sci. 2005, 46, 231–235. [Google Scholar] [CrossRef] [PubMed]
 - Gibb, D.J.; Shah, M.A.; Mir, P.S.; McAllister, T.A. Effect of Full-Fat Hemp Seed on Performance and Tissue Fatty Acids of Feedlot Cattle. Can. J. Anim. Sci. 2005, 85, 223–230. [Google Scholar] [CrossRef]
 - Ramos-Ruiz, R.; Poirot, E.; Flores-Mosquera, M. GABA, a Non-Protein Amino Acid Ubiquitous in Food Matrices. Cogent Food Agric. 2018, 4, 1534323. [Google Scholar] [CrossRef]
 - De Francischi, M.L.P.; Salgado, J.M.; Leitão, R.F.F. Chemical, Nutritional and Technological Characteristics of Buck Wheat and Non-Prolamine Buckwheat Flours in Comparison of Wheat Flour. Plant Food Hum. Nutr. 1994, 46, 323–329. [Google Scholar] [CrossRef] [PubMed]
 - Mourtzinos, I.; Menexis, N.; Iakovidis, D.; Makris, D.; Goula, A. A Green Extraction Process to Recover Polyphenols from Byproducts of Hemp Oil Processing. Recycling 2018, 3, 15. [Google Scholar] [CrossRef]
 - Benkirane, C.; Ben Moumen, A.; Fauconnier, M.-L.; Belhaj, K.; Abid, M.; Caid, H.S.; Elamrani, A.; Mansouri, F. Bioactive Compounds from Hemp (Cannabis sativa L.) Seeds: Optimization of Phenolic Antioxidant Extraction Using Simplex Lattice Mixture Design and HPLC-DAD/ESI-MS 2 Analysis. RSC Adv. 2022, 12, 25764–25777. [Google Scholar] [CrossRef] [PubMed]
 - Leonard, W.; Zhang, P.; Ying, D.; Xiong, Y.; Fang, Z. Effect of Extrusion Technology on Hempseed (Cannabis sativa L.) Oil Cake: Polyphenol Profile and Biological Activities. J. Food Sci. 2021, 86, 3159–3175. [Google Scholar] [CrossRef]
 - Nigro, E.; Crescente, G.; Formato, M.; Pecoraro, M.T.; Mallardo, M.; Piccolella, S.; Daniele, A.; Pacifico, S. Hempseed Lignanamides Rich-Fraction: Chemical Investigation and Cytotoxicity towards U-87 Glioblastoma Cells. Molecules 2020, 25, 1049. [Google Scholar] [CrossRef]
 - Rea Martinez, J.; Montserrat-de La Paz, S.; De La Puerta, R.; García-Giménez, M.D.; Fernández-Arche, M.Á. Characterization of Bioactive Compounds in Defatted Hempseed (Cannabis sativa L.) by UHPLC-HRMS/MS and Anti-Inflammatory Activity in Primary Human Monocytes. Food Funct. 2020, 11, 4057–4066. [Google Scholar] [CrossRef]
 - Jaimes, E.M.S.; Torres, I.B.; Villarreal, H.H.P. Sensory Evaluation of Commercial Coffee Brands in Colombia. Int. J. Bus. Syst. Res. 2015, 9, 195. [Google Scholar] [CrossRef]
 - Maiboroda, H. The Study of Consumer Behavior in the Market of Bakery Products in the Conditions of Brand Management. Three Seas Econ. J. 2021, 2, 34–39. [Google Scholar] [CrossRef]
 - Turcanu, D. Securitatea Nutrițională a Persoanelor cu Tulburări Corelate Consumului de Gluten în Republica Moldova. Ph.D. Thesis, Technical University of Moldova, Chișinău, Moldova, 2023. [Google Scholar]
 - Nicolosi, A.; Laganà, V.R.; Di Gregorio, D. Habits, Health and Environment in the Purchase of Bakery Products: Consumption Preferences and Sustainable Inclinations before and during COVID-19. Foods 2023, 12, 1661. [Google Scholar] [CrossRef]
 - Korus, J.; Witczak, M.; Ziobro, R.; Juszczak, L. Hemp (Cannabis sativa subsp. sativa) Flour and Protein Preparation as Natural Nutrients and Structure Forming Agents in Starch Based Gluten-Free Bread. LWT 2017, 84, 143–150. [Google Scholar] [CrossRef]
 - García-Gómez, B.; Fernández-Canto, N.; Vázquez-Odériz, M.L.; Quiroga-García, M.; Muñoz-Ferreiro, N.; Romero-Rodríguez, M.Á. Sensory Descriptive Analysis and Hedonic Consumer Test for Galician Type Breads. Food Control 2022, 134, 108765. [Google Scholar] [CrossRef]
 - Mikulec, A.; Kowalski, S.; Sabat, R.; Skoczylas, Ł.; Tabaszewska, M.; Wywrocka-Gurgul, A. Hemp Flour as a Valuable Component for Enriching Physicochemical and Antioxidant Properties of Wheat Bread. LWT 2019, 102, 164–172. [Google Scholar] [CrossRef]
 - Atudorei, D.; Atudorei, O.; Codină, G.G. The Impact of Germinated Chickpea Flour Addition on Dough Rheology and Bread Quality. Plants 2022, 11, 1225. [Google Scholar] [CrossRef] [PubMed]
 - Bchir, B.; Rabetafika, H.N.; Paquot, M.; Blecker, C. Effect of Pear, Apple and Date Fibres from Cooked Fruit By-Products on Dough Performance and Bread Quality. Food Bioprocess Technol. 2014, 7, 1114–1127. [Google Scholar] [CrossRef]
 - Koletta, P.; Irakli, M.; Papageorgiou, M.; Skendi, A. Physicochemical and Technological Properties of Highly Enriched Wheat Breads with Wholegrain Non Wheat Flours. J. Cereal Sci. 2014, 60, 561–568. [Google Scholar] [CrossRef]
 - Franco-Miranda, H.; Chel-Guerrero, L.; Gallegos-Tintoré, S.; Castellanos-Ruelas, A.; Betancur-Ancona, D. Physicochemical, Rheological, Bioactive and Consumer Acceptance Analyses of Concha-Type Mexican Sweet Bread Containing Lima Bean or Cowpea Hydrolysates. LWT 2017, 80, 250–256. [Google Scholar] [CrossRef]
 - Xu, J.; Li, Y.; Zhao, Y.; Wang, D.; Wang, W. Influence of Antioxidant Dietary Fiber on Dough Properties and Bread Qualities: A Review. J. Funct. Foods 2021, 80, 104434. [Google Scholar] [CrossRef]
 - Rusu, I.E.; Marc (Vlaic), R.A.; Mureşan, C.C.; Mureşan, A.E.; Mureşan, V.; Pop, C.R.; Chiş, M.S.; Man, S.M.; Filip, M.R.; Onica, B.-M.; et al. Hemp (Cannabis sativa L.) Flour-Based Wheat Bread as Fortified Bakery Product. Plants 2021, 10, 1558. [Google Scholar] [CrossRef]
 - FAO. Food Energy—Methods of Analysis and Conversion Factors. In Report of a Technical Workshop; FAO Food and Nutrition Paper 77; FAO: Rome, Italy, 2003. [Google Scholar]
 - EC Regulation No 1924/2006 of the European Parliament and the of the Council on Nutrition and Health Claims Made on Foods; 1924/2006/EC. 2006. Available online: http://data.europa.eu/eli/reg/2006/1924/oj (accessed on 8 September 2023).
 - Maravić, N.; Škrobot, D.; Dapčević-Hadnađev, T.; Pajin, B.; Tomić, J.; Hadnađev, M. Effect of Sourdough and Whey Protein Addition on the Technological and Nutritive Characteristics of Sponge Cake. Foods 2022, 11, 1992. [Google Scholar] [CrossRef] [PubMed]
 - Mohtarami, F. Effect of Carrot Pomace Powder and Dushab (Traditional Grape Juice Concentrate) on the Physical and Sensory Properties of Cakes: A Combined Mixtures Design Approach. Curr. Nutr. Food Sci. 2019, 15, 572–582. [Google Scholar] [CrossRef]
 - Abdullah, M.M.; Aldughpassi, A.D.H.; Sidhu, J.S.; Al-Foudari, M.Y.; Al-Othman, A.R.A. Effect of Psyllium Husk Addition on the Instrumental Texture and Consumer Acceptability of High-Fiber Wheat Pan Bread and Buns. Ann. Agric. Sci. 2021, 66, 75–80. [Google Scholar] [CrossRef]
 - Raczyk, M.; Kruszewski, B.; Zachariasz, E. Effect of Tomato, Beetroot and Carrot Juice Addition on Physicochemical, Antioxidant and Texture Properties of Wheat Bread. Antioxidants 2022, 11, 2178. [Google Scholar] [CrossRef] [PubMed]
 - Guardianelli, L.M.; Carbas, B.; Brites, C.; Puppo, M.C.; Salinas, M.V. White Lupine (Lupinus albus L.) Flours for Healthy Wheat Breads: Rheological Properties of Dough and the Bread Quality. Foods 2023, 12, 1645. [Google Scholar] [CrossRef] [PubMed]
 - Hrušková, M.; Švec, I. Cookie Making Potential of Composite Flour Containing Wheat, Barley and Hemp. Czech J. Food Sci. 2015, 33, 545–555. [Google Scholar] [CrossRef]
 - Švec, I.; Hrušková, M. The Mixolab Parameters of Composite Wheat/Hemp Flour and Their Relation to Quality Features. LWT-Food Sci. Technol. 2015, 60, 623–629. [Google Scholar] [CrossRef]
 - Nasir, S.; Allai, F.M.; Gani, M.; Ganaie, S.; Gul, K.; Jabeen, A.; Majeed, D. Physical, Textural, Rheological, and Sensory Characteristics of Amaranth-Based Wheat Flour Bread. Int. J. Food Sci. 2020, 2020, 8874872. [Google Scholar] [CrossRef]
 - Meullenet, J.; Lyon, B.G.; Carpenter, J.A.; Lyon, C.E. Relationship between Sensory and Instrumental Texture Profile Attributes. J. Sens. Stud. 1998, 13, 77–93. [Google Scholar] [CrossRef]
 - Gåmbaro, A.; Varela, P.; Giménez, A.; Aldrovandi, A.; Fiszman, S.M.; Hough, G. Textural Quality of White Pan Bread by Sensory and Instrumental Measurements. J. Texture Stud. 2002, 33, 401–413. [Google Scholar] [CrossRef]
 - Scheuer, P.M.; Luccio, M.D.; Zibetti, A.W.; De Miranda, M.Z.; De Francisco, A. Relationship between Instrumental and Sensory Texture Profile of Bread Loaves Made with Whole-Wheat Flour and Fat Replacer. J. Texture Stud. 2016, 47, 14–23. [Google Scholar] [CrossRef]
 




| Raw Materials | Hemp Seed Cake Flour, % (% Replacement of Wheat Flour) | ||||||
|---|---|---|---|---|---|---|---|
| 0 | 5 | 10 | 15 | 20 | 30 | 40 | |
| Wheat flour, g | 1200 | 1140 | 1080 | 1020 | 960 | 840 | 720 | 
| Hemp seed cake flour, g | 0 | 60 | 120 | 180 | 240 | 360 | 480 | 
| Water, mL | 1100 | 1100 | 1100 | 1100 | 1100 | 1100 | 1100 | 
| Salt, g | 25 | 25 | 25 | 25 | 25 | 25 | 25 | 
| Leaven, g | 675 | 675 | 675 | 675 | 675 | 675 | 675 | 
| Product Attribute | CATA Terms | 
|---|---|
| Colour | too light, just the right colour, too dark, golden colour, grey colour | 
| Odour | too strong hemp odour, too weak hemp odour, pine nut-like odour, woody odour, earthy odour, pleasant odour | 
| Flavour | Tasty, sweet taste, fermented flavour, too strong flavour, too weak flavour | 
| Texture | Hard, soft, crumbly, dry, moist, granular | 
| Indicator | Wheat Flour | Hemp (Cannabis sativa L.) Seed Cake Flour | 
|---|---|---|
| Moisture content, % | 14.10 ± 0.07 a | 8.24 ± 0.11 b | 
| Wet gluten content, % | 24.80 ± 0.13 | - | 
| Ash content, % d.m. | 0.49 ± 0.01 a | 6.21 ± 0.05 b | 
| Acidity, degrees | 2.33 ± 0.06 | - | 
| Total protein content, % d.m | 12.45 * | 31.62 ± 0.22 | 
| Fat content, % d.m. | 1.04 * | 8.19 ± 0.13 | 
| Total dietary fibre content, % d.m. | 1.51 * | 43.76 ± 0.34 | 
| Amino Acid | FAO/WHO  Standard (2013), mg/g [63]  | Hemp Seed Cake Flour | Wheat Flour | |||
|---|---|---|---|---|---|---|
| Amino Acid Content, g/kg | g Amino Acid/100 g Protein | AAS, % | g Amino Acid/100 g Protein [85] | AAS, % | ||
| Threonine | 2.3 | 15.95 ± 0.15 | 5.48 ± 0.13 | 238.00 | 2.7–3.1 | 126.08 | 
| Valine | 3.9 | 8.42 ± 0.05 | 2.89 ± 0.11 | 74.10 | 4.3–4.8 | 116.66 | 
| Methionine | - | 4.78 ± 0.07 | 1.64 ± 0.03 | 1.0–1.3 | ||
| Isoleucine | 3.0 | 16.65 ± 0.24 | 5.72 ± 0.08 | 190.66 | 3.5–4.0 | 125.00 | 
| Leucine | 5.9 | 23.69 ± 0.37 | 8.14 ± 0.07 | 137.97 | 6.7–7.1 | 116.94 | 
| Phenylalanine | - | 18.17 ± 0.12 | 6.25 ± 0.02 | 4.1–4.9 | ||
| Lysine | 4.5 | 11.23 ± 0.19 | 3.86 ± 0.08 | 85.77 | 2.5–3.2 | 63.33 | 
| Histidine | 1.5 | 9.12 ± 0.11 | 3.14 ± 0.16 | 209.33 | 2.2–2.4 | 153.33 | 
| Methionine + Cysteine | 2.2 | 5.96 ± 0.07 | 2.05 ± 0.14 | 93.18 | 3.1–4.1 | 163.63 | 
| Phenylalanine + Tyrosine | 3.8 | 25.91 ± 0.13 | 8.91 ± 0.18 | 234.47 | 5.7–6.8 | 164.47 | 
| Σ am. essentials | 119.30 ± 0.11 | 37.13 ± 0.24 | ||||
| Arginine | - | 31.81 ± 0.12 | 10.93 ± 0.08 | 4.1–4.7 | ||
| Σ am. semi-essential | 31.81 ± 0.06 | 10.93 ± 0.17 | ||||
| Aspartic acid | - | 17.91 ± 0.22 | 6.16 ± 0.13 | 4.8–5.9 | ||
| Serine | - | 20.47 ± 0.17 | 7.04 ± 0.11 | 4.5–4.7 | ||
| Glutamic Acid | - | 60.26 ± 0.24 | 20.71 ± 0.12 | 29.0–32.8 | ||
| Proline | - | 12.47 ± 0.14 | 4.29 ± 0.06 | 9.9–11.1 | ||
| Glycine | - | 14.41 ± 0.16 | 4.95 ± 0.07 | 3.7–4.4 | ||
| Alanine | - | 16.67 ± 0.07 | 5.73 ± 0.09 | 3.4–4.2 | ||
| Cysteine | - | 1.18 ± 0.15 | 0.41 ± 0.04 | 2.1–2.8 | ||
| Tyrosine | - | 7.74 ± 0.31 | 2.66 ± 0.08 | 1.6–1.9 | ||
| Σ am. non-essential | 139.82 ± 0.45 | 51.94 ± 0.13 | ||||
| γ-aminobutyric acid | - | 0.95 ± 0.02 | - | - | ||
| Ammonia | - | 3.23 ± 0.04 | 1.11 ± 0.04 | 3.1–3.8 | ||
| Σ free amino acids | 291.88 ± 0.34 | 100.00 ± 0.17 | ||||
| Σ am. proteinogenic | 290.92 ± 0.28 | 100.00 ± 0.25 | ||||
| Parameter | Value | 
|---|---|
| PER1 | 2.83 ± 0.06 | 
| PER2 | 2.95 ± 0.03 | 
| PER3 | 3.40 ± 0.05 | 
| Minerals | mg/100 g | PRI/AI, % | 
|---|---|---|
| Mg | 883.36 ± 5.86 | 252.39 ± 3.07 | 
| K | 1594.95 ± 5.61 | 45.57 ± 1.15 | 
| P | 1851.42 ± 4.73 | 336.62 ± 4.11 | 
| Mn | 13.14 ± 0.07 | 438.38 ± 5.26 | 
| Fe | 10.54 ± 0.09 | 95.82 ± 2.09 | 
| Zn | 11.88 ± 0.14 | 84.85 ± 1.98 | 
| Cu | 1.92 ± 0.06 | 120.12 ± 2.04 | 
| Peak | Rt  (min)  | UV λmax (nm)  | [M + H]+ (m/z)  | Phenolic Compound | Subclass | Relative Content, mg/kg | |
|---|---|---|---|---|---|---|---|
| Seeds | Seed Cake Flour | ||||||
| 1 | 2.81 | 270 | 123 | Benzoic acid | Benzoic acid | 19.40 ± 0.14 a | 32.61 ± 0.11 b | 
| 2 | 2.94 | 270 | 139 | 2-Hydroxybenzoic acid | Hydroxybenzoic acid | 35.46 ± 0.12 a | 59.60 ± 0.09 b | 
| 3 | 9.47 | 280 | 155 | Protocatechuic acid | Hydroxybenzoic acid | 29.84 ± 0.10 a | 50.15 ± 0.12 b | 
| 4 | 10.77 | 290 | 595 | Cannabisin A | Lignanamide | 10.57 ± 0.05 a | 17.76 ± 0.14 b | 
| 5 | 11.41 | 290 | 597 | Cannabisin B | Lignanamide | 6.94 ± 0.07 a | 11.66 ± 0.09 b | 
| 6 | 11.68 | 322, 290 | 301 | N-trans-Caffeoyltyramine | Hydroxycinnamic acid amide | 18.95 ± 0.11 a | 31.83 ± 0.07 b | 
| 7 | 14.37 | 290 | 611 | Cannabisin C | Lignanamide | 9.02 ± 0.12 a | 15.16 ± 0.11 b | 
| 8 | 14.66 | 290 | 597 | Cannabisin B isomer | Lignanamide | 4.73 ± 0.04 a | 7.94 ± 0.06 b | 
| 9 | 16.22 | 320, 290 | 284 | N-trans-Coumaroyltyramine | Hydroxycinnamic acid amide | 33.51 ± 0.06 a | 56.31 ± 0.14 b | 
| 10 | 18.07 | 322, 290 | 301 | N-trans-Caffeoyltyramine isomer | Hydroxycinnamic acid amide | 6.98 ± 0.08 a | 11.74 ± 0.03 b | 
| 11 | 19.99 | 340, 290 | 597 | Cannabisin Q | Lignanamide | 3.04 ± 0.07 a | 5.11 ± 0.05 b | 
| 12 | 20.25 | 330, 290 | 314 | N-Feruloyltyramine | Hydroxycinnamic acid amide | 4.37 ± 0.04 a | 7.35 ± 0.04 b | 
| 13 | 22.97 | 290 | 625 | Cannabisin F | Lignanamide | 90.18 ± 0.19 a | 151.56 ± 0.28 b | 
| 14 | 23.46 | 320, 290 | 625 | Grossamide | Lignanamide | 45.64 ± 0.15 a | 76.70 ± 0.16 b | 
| Total phenols | 318.62 ± 3.46 a | 535.49 ± 2.54 b | |||||
| Sample | HCB0% | HCB5% | HCB10% | 
![]()  | ![]()  | ![]()  | |
![]()  | ![]()  | ![]()  | |
| HC 15% | HCB20% | HCB30% | HCB40% | 
![]()  | ![]()  | ![]()  | ![]()  | 
![]()  | ![]()  | ![]()  | ![]()  | 
| Sample | HCB0% | HCB5% | HCB10% | HCB15% | HCB20% | HCB30% | HCB40% | 
|---|---|---|---|---|---|---|---|
| Moisture content, % | 45.76 ± 0.41 a | 45.43 ± 0.26 a | 47.21 ± 0.36 a | 46.52 ± 0.32 a | 46.69 ± 0.23 a | 47.07 ± 0.17 a | 47.27 ± 0.31 a | 
| Protein content, % d.m | 11.11 ± 0.02 a | 11.83 ± 0.02 a | 13.16 ± 0.05 ab | 13.79 ± 0.07 ab | 14.70 ± 0.06 b | 16.47 ± 0.08 c | 18.18 ± 0.03 d | 
| Volume, cm3 | 2950.15 ± 13.85 a | 2255.85 ± 14.57 b | 2153.72 ± 16.31 c | 2106.65 ± 13.22 d | 2028.34 ± 15.61 e | 1935.81 ± 17.25 f | 1846.62 ± 14.24 g | 
| Baking loss, % | 9.16 ± 0.04 a | 9.59 ± 0.07 a | 10.96 ± 0.05 a | 11.31 ± 0.08 ab | 11.89 ± 0.07 ab | 12.46 ± 0.06 b | 12.73 ± 0.02 b | 
| Porosity, % | 74.45 ± 0.02 a | 73.15 ± 0.02 a | 71.89 ± 0.02 ab | 70.23 ± 0.02 b | 69.14 ± 0.02 b | 67.85 ± 0.02 c | 65.76 ± 0.02 d | 
| Acidity, degrees | 1.55 ± 0.03 a | 1.63 ± 0.04 ab | 1.68 ± 0.03 ab | 1.72 ± 0.05 ab | 1.77 ± 0.06 b | 1.84 ± 0.03 bc | 1.91 ± 0.04 c | 
| Water activity (aw) | 0.798 ± 0.005 a | 0.797 ± 0.006 a | 0.800 ± 0.007 a | 0.807 ± 0.003 a | 0.798 ± 0.005 a | 0.8000 ± 0.004 a | 0.798 ± 0.007 a | 
| Total Polyphenol Content, mg GAE/kg | 148.25 ± 3.24 a | 182.35 ± 2.05 b | 216.17 ± 1.75 c | 225.84 ± 3.14 cd | 256,43 ± 4.42 d | 308.97 ± 3.78 e | 354.85 ± 2.87 f | 
| DPPH, mg Trolox/kg | 228.25 ± 5.03 a | 318.58 ± 4.75 b | 377.85 ± 3.54 c | 393.86 ± 6.17 d | 452.47 ± 5.64 e | 534.18 ± 4.53 f | 627.55 ± 6.27 g | 
| HCB0% | HCB5% | HCB10% | HCB15% | HCB20% | HCB30% | HCB40% | |
|---|---|---|---|---|---|---|---|
| Crust colour | |||||||
| L | 58.55 ± 0.51 f | 46.00 ± 0.28 e | 44.80 ± 0.61 d | 42.69 ± 0.54 c | 39.17 ± 0.47 b | 38.93 ± 0.53 b | 34.79 ± 0.69 a | 
| a | 4.77 ± 0.02 a | 5.74 ± 0.03 b | 7.66 ± 0.10 c | 7.70 ± 0.08 cd | 7.96 ± 0.08 d | 8.11 ± 0.08 e | 8.86 ± 0.07 f | 
| b | 11.21 ± 0.08 a | 15.78 ± 0.11 b | 19.17 ± 0.16 c | 19.22 ± 0.05 c | 19.73 ± 0.09 cd | 20.23 ± 0.11 d | 21.88 ± 0.25 e | 
| ΔE | 13.39 ± 0.09 a | 16.15 ± 0.13 b | 18.01 ± 0.06 c | 21.41 ± 0.15 d | 21.85 ± 0.07 e | 26.37 ± 0.14 f | |
| Crumb colour | |||||||
| L | 60.84 ± 0.54 f | 51.11 ± 0.68 e | 46.37 ± 0.75 d | 45.82 ± 0.64 cd | 44.63 ± 0.38 c | 37.95 ± 0.56 b | 27.42 ± 0.26 a | 
| a | −0.05 ± 0.01 a | −0.57 ± 0.01 b | 0.15 ± 0.02 c | 0.25 ± 0.01 d | 0.66 ± 0.01 e | 0.96 ± 0.01 f | 1.35 ± 0.02 g | 
| b | 13.47 ± 0.09 f | 13.16 ± 0.08 e | 12.51 ± 0.14 d | 12.07 ± 0.09 c | 11.67 ± 0.07 cb | 11.00 ± 0.09 b | 8.81 ± 0.11 a | 
| ΔE | 9.75 ± 0.06 a | 14.50 ± 0.07 b | 14.54 ± 0.11 b | 16.33 ± 0.13 c | 23.05 ± 0.15 d | 33.77 ± 0.34 e | |
| WI | 58.59 ± 0.56 f | 49.37 ± 0.39 e | 44.93 ± 0.43 d | 44.49 ± 0.31 cd | 43.41 ± 0.63 c | 36.98 ± 0.52 b | 26.87 ± 0.46 a | 
| Hardness, g | Springiness, % | Cohesiveness, % | Resilience, % | Gumminess, g | Chewiness, g | |
|---|---|---|---|---|---|---|
| HCB0% | 423.32 ± 12.58 d | 1.001 ± 0.011 a | 0.885 ± 0.005 a | 0.638 ± 0.002 b | 374.25 ± 14.2 d | 374.43 ± 15.62 d | 
| HCB5% | 102.21 ± 4.21 a | 1.001 ± 0.009 a | 0.923 ± 0.005 a | 0.617 ± 0.003 ab | 94.57 ± 3.98 a | 94.62 ± 3.98 a | 
| HCB10% | 125.62 ± 5.98 b | 1.001 ± 0.007 a | 0.904 ± 0.002 a | 0.630 ± 0.005 b | 113.34 ± 4.58 b | 113.39 ± 5.21 b | 
| HCB15% | 259.64 ± 8.85 c | 1.001 ± 0.007 a | 0.843 ± 0.003 a | 0.583 ± 0.004 a | 218.97 ± 12.35 c | 219.08 ± 7.85 c | 
| HCB20% | 530.37 ± 14.48 e | 1.001 ± 0.009 a | 0.863 ± 0.006 a | 0.616 ± 0.001 ab | 540.73 ± 14.84 f | 541.00 ± 21.05 f | 
| HCB30% | 626.66 ± 24.87 f | 1.001 ± 0.008 a | 0.836 ± 0.003 a | 0.569 ± 0.005 a | 443.91 ± 18.96 e | 444.14 ± 17.62 e | 
| HCB40% | 642.88 ± 26.65 g | 1.001 ± 0.007 a | 0.847 ± 0.002 a | 0.562 ± 0.005 a | 544.41 ± 21.25 f | 544.68 ± 18.54 f | 
Disclaimer/Publisher’s Note: The statements, opinions and data contained in all publications are solely those of the individual author(s) and contributor(s) and not of MDPI and/or the editor(s). MDPI and/or the editor(s) disclaim responsibility for any injury to people or property resulting from any ideas, methods, instructions or products referred to in the content.  | 
© 2023 by the authors. Licensee MDPI, Basel, Switzerland. This article is an open access article distributed under the terms and conditions of the Creative Commons Attribution (CC BY) license (https://creativecommons.org/licenses/by/4.0/).
Share and Cite
Capcanari, T.; Covaliov, E.; Negoița, C.; Siminiuc, R.; Chirsanova, A.; Reșitca, V.; Țurcanu, D. Hemp Seed Cake Flour as a Source of Proteins, Minerals and Polyphenols and Its Impact on the Nutritional, Sensorial and Technological Quality of Bread. Foods 2023, 12, 4327. https://doi.org/10.3390/foods12234327
Capcanari T, Covaliov E, Negoița C, Siminiuc R, Chirsanova A, Reșitca V, Țurcanu D. Hemp Seed Cake Flour as a Source of Proteins, Minerals and Polyphenols and Its Impact on the Nutritional, Sensorial and Technological Quality of Bread. Foods. 2023; 12(23):4327. https://doi.org/10.3390/foods12234327
Chicago/Turabian StyleCapcanari, Tatiana, Eugenia Covaliov, Cătălina Negoița, Rodica Siminiuc, Aurica Chirsanova, Vladislav Reșitca, and Dinu Țurcanu. 2023. "Hemp Seed Cake Flour as a Source of Proteins, Minerals and Polyphenols and Its Impact on the Nutritional, Sensorial and Technological Quality of Bread" Foods 12, no. 23: 4327. https://doi.org/10.3390/foods12234327
APA StyleCapcanari, T., Covaliov, E., Negoița, C., Siminiuc, R., Chirsanova, A., Reșitca, V., & Țurcanu, D. (2023). Hemp Seed Cake Flour as a Source of Proteins, Minerals and Polyphenols and Its Impact on the Nutritional, Sensorial and Technological Quality of Bread. Foods, 12(23), 4327. https://doi.org/10.3390/foods12234327
        

       












