Correlation Analysis between Volatile Compounds and Quality Attributes in Pork Tenderloin in Response to Different Stir-Frying Processes
Abstract
:1. Introduction
2. Materials and Methods
2.1. Materials and Chemicals
2.2. Sample Preparation
2.3. Cooking Loss and Water Content
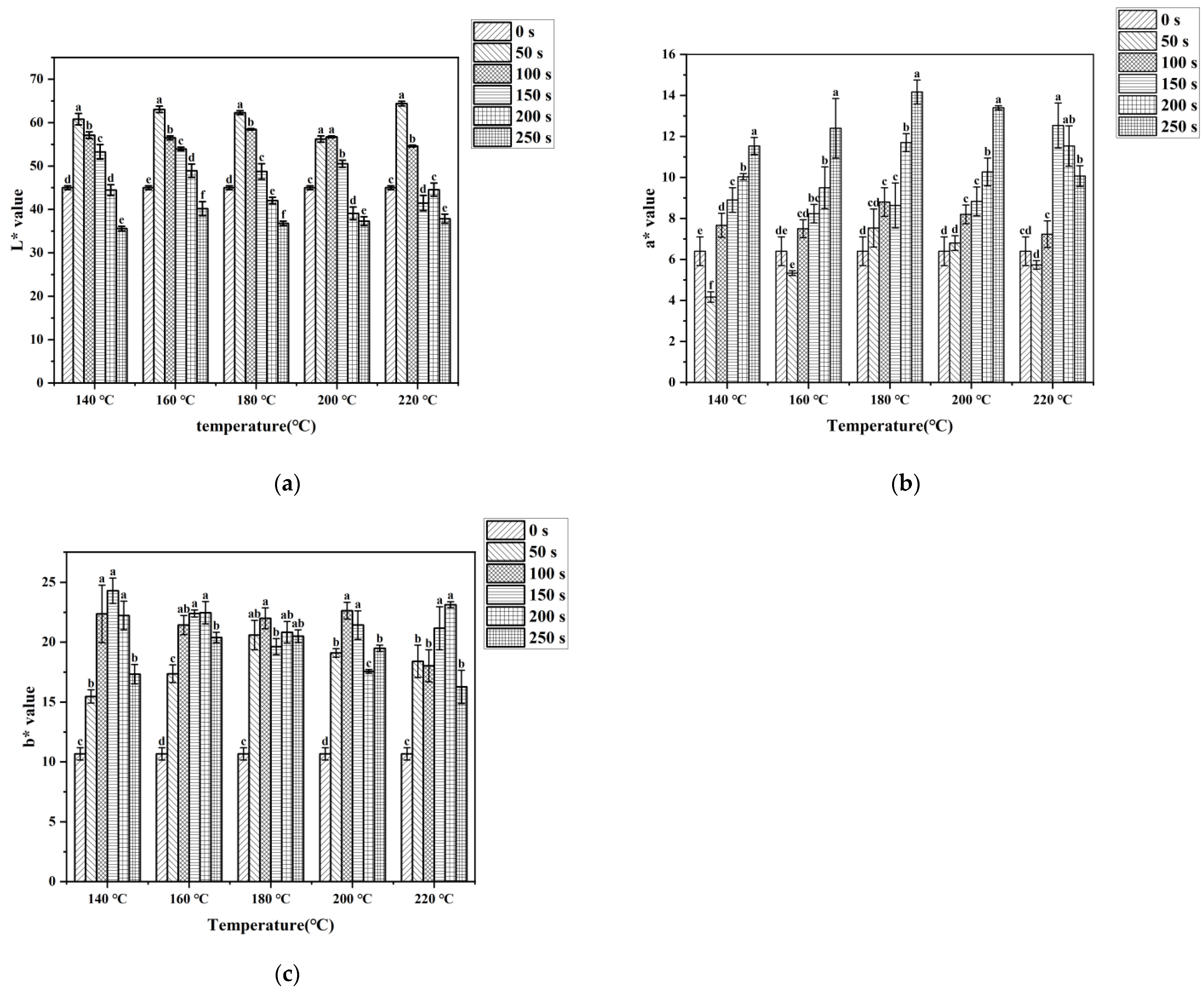
2.4. Color
2.5. Sensory Evaluation
2.6. Volatile Compounds Analysis
2.7. Statistical Analysis
3. Result and Discussion
3.1. The Changes of Quality Attributes in Stir-Fried Pork Tenderloin
3.1.1. Cooking Loss and Water Content
3.1.2. Color
3.2. Sensory Evaluation
3.3. Volatile Compounds
3.4. The Correlations between Physical Index and Volatile Compounds
4. Conclusions
Supplementary Materials
Author Contributions
Funding
Institutional Review Board Statement
Informed Consent Statement
Data Availability Statement
Conflicts of Interest
References
- Li, W.; Zheng, L.; Xiao, Y.; Li, L.; Wang, N.; Che, Z.; Wu, T. Insight into the aroma dynamics of Dongpo pork dish throughout the production process using electronic nose and GC×GC-MS. LWT-Food Sci. Technol. 2022, 169, 113970. [Google Scholar] [CrossRef]
- Miller, R. Drivers of consumer liking for beef, pork, and lamb: A review. Foods 2020, 9, 428. [Google Scholar] [CrossRef] [PubMed]
- dos Santos Rocha, C.; Magnani, M.; de Paiva Anciens Ramos, G.L.; Bezerril, F.F.; Freitas, M.Q.; Cruz, A.G.; Pimentel, T.C. Emerging technologies in food processing: Impacts on sensory characteristics and consumer perception. Curr. Opin. Food Sci. 2022, 47, 100892. [Google Scholar] [CrossRef]
- Sohail, A.; Al-Dalali, S.; Wang, J.; Xie, J.; Shakoor, A.; Asimi, S.; Shah, H.; Patil, P. Aroma compounds identified in cooked meat: A review. Food Res. Int. 2022, 157, 1111385. [Google Scholar] [CrossRef] [PubMed]
- Wang, X.; Fan, C.; Wang, X.; Feng, T.; Zhang, X.; Yu, J.; Cui, H.; Xia, S. Microwave heating and conduction heating pork belly: Influence of heat transfer modes on volatile compounds and aroma attributes. Food Biosci. 2023, 52, 102438. [Google Scholar] [CrossRef]
- Yang, Z.; Lu, R.; Song, H.; Zhang, Y.; Tang, J.; Zhou, N. Effect of different cooking methods on the formation of aroma components and heterocyclic amines in pork loin. J. Food Process. Pres. 2017, 41, e12981. [Google Scholar] [CrossRef]
- Chang, Y.; Wang, S.; Chen, H.; Zhang, N.; Sun, J. Characterization of the key aroma compounds in pork broth by sensory-directed flavor analysis. J. Food Sci. 2021, 86, 4932–4945. [Google Scholar] [CrossRef]
- Wang, Y.; Song, H.; Zhang, Y.; Tang, J.; Yu, D. Determination of aroma compounds in pork broth produced by different processing methods. Flavour Fragr. J. 2016, 31, 319–328. [Google Scholar] [CrossRef]
- Wang, R.; Huang, F.; Zhang, L.; Liu, Q.; Zhang, C.; Zhang, H. Changes in the texture, microstructures, colour and volatile compounds of pork meat loins during superheated steam cooking. Int. J. Food Sci. Technol. 2019, 54, 2821–2830. [Google Scholar] [CrossRef]
- Zhao, Y.; Wang, Y.; Li, C.; Li, L.; Yang, X.; Wu, Y.; Chen, S.; Zhao, Y. Novel insight into physicochemical and flavor formation in naturally fermented tilapia sausage based on microbial metabolic network. Food Res. Int. 2021, 141, 110122. [Google Scholar] [CrossRef]
- Lee, I.Y.; Kim, B.; Joo, N. Comparison between the volatile compounds and physicochemical and sensory characteristics of reverse-seared and conventionally seared beef steaks. Foods 2022, 11, 2135. [Google Scholar] [CrossRef] [PubMed]
- Roobab, U.; Zeng, X.-A.; Ahmed, W.; Madni, G.M.; Manzoor, M.F.; Aadil, R.M. Effect of pulsed electric field on the chicken meat quality and taste-related amino acid stability: Flavor simulation. Foods 2023, 12, 710. [Google Scholar] [CrossRef]
- GB 5009.3-2016; National Food Safety Standard—Determination of Moisture in Foods. National Health and Family Planning Commission of the People’s Republic of China: Beijing, China, 2016.
- Parvin, R.; Zahid, M.A.; Seo, J.-K.; Park, J.; Ko, J.; Yang, H.-S. Influence of reheating methods and frozen storage on physicochemical characteristics and warmed-over flavor of nutmeg extract-enriched precooked beef meatballs. Antioxidants 2020, 9, 9080670. [Google Scholar] [CrossRef] [PubMed]
- Yu, S.; Huang, X.; Wang, L.; Chang, X.; Ren, Y.; Zhang, X.; Wang, Y. Qualitative and quantitative assessment of flavor quality of Chinese soybean paste using multiple sensor technologies combined with chemometrics and a data fusion strategy. Food Chem. 2023, 405, 134859. [Google Scholar] [CrossRef] [PubMed]
- Wang, J.; Huang, X.-H.; Zhang, Y.-Y.; Nie, C.; Zhou, D.; Qin, L. Mechanism of salt effect on flavor formation in lightly-salted large yellow croaker by integrated multiple intelligent sensory and untargeted lipidomics analyses. Food Chem. 2024, 435, 137542. [Google Scholar] [CrossRef] [PubMed]
- Xiao, X.; Hou, C.; Zhang, D.; Li, X.; Ren, C.; Ijaz, M.; Hussain, Z.; Liu, D. Effect of pre- and post-rigor on texture, flavor, heterocyclic aromatic amines and sensory evaluation of roasted lamb. Meat Sci. 2020, 169, 108220. [Google Scholar] [CrossRef] [PubMed]
- Zhang, T.; Ni, H.; Qiu, X.-J.; Li, T.; Zhang, L.-Z.; Li, L.-J.; Jiang, Z.-D.; Li, Q.-B.; Chen, F.; Zheng, F.-P. Suppressive interaction approach for masking stale note of instant ripened Pu-Erh tea products. Molecules 2019, 24, 4473. [Google Scholar] [CrossRef]
- Liu, S.; Tu, Y.; Sun, J.; Cai, P.; Zhou, Y.; Huang, Y.; Zhang, S.; Chen, W.; Wang, L.; Du, M.; et al. Fermented mixed feed regulates intestinal microbial community and metabolism and alters pork flavor and umami. Meat Sci. 2023, 201, 109177. [Google Scholar] [CrossRef]
- Rao, J.W.; Meng, F.B.; Li, Y.C.; Chen, W.J.; Liu, D.Y.; Zhang, J.M. Effect of cooking methods on the edible, nutritive qualities and volatile flavor compounds of rabbit meat. J. Sci. Food Agric. 2022, 102, 4218–4228. [Google Scholar] [CrossRef]
- Suleman, R.; Wang, Z.; Aadil, R.M.; Hui, T.; Hopkins, D.L.; Zhang, D. Effect of cooking on the nutritive quality, sensory properties and safety of lamb meat: Current challenges and future prospects. Meat Sci. 2020, 167, 108172. [Google Scholar] [CrossRef]
- Costa, R.; Albergamo, A.; Bua, G.D.; Saija, E.; Dugo, G. Determination of flavor constituents in particular types of flour and derived pasta by heart-cutting multidimensional gas chromatography coupled with mass spectrometry and multiple headspace solid-phase microextraction. LWT-Food Sci. Technol. 2017, 86, 99–107. [Google Scholar] [CrossRef]
- Ceylan, Z.; Atıcı, C.; Unal, K.; Meral, R.; Kutlu, N.; Babaoğlu, A.S.; Dilek, N.M. A novel material for the microbiological, oxidative, and color stability of salmon and chicken meat samples: Nanofibers obtained from sesame oil. Food Res. Int. 2023, 170, 112952. [Google Scholar] [CrossRef] [PubMed]
- Gagaoua, M.; Suman, S.P.; Purslow, P.P.; Lebret, B. The color of fresh pork: Consumers expectations, underlying farm-to-fork factors, myoglobin chemistry and contribution of proteomics to decipher the biochemical mechanisms. Meat Sci. 2023, 206, 109340. [Google Scholar] [CrossRef] [PubMed]
- Bıyıklı, M.; Akoğlu, A.; Kurhan, Ş.; Akoğlu, İ.T. Effect of different Sous Vide cooking temperature-time combinations on the physicochemical, microbiological, and sensory properties of turkey cutlet. Int. J. Gastron Food Sci. 2020, 20, 100204. [Google Scholar] [CrossRef]
- Roldan, M.; Loebner, J.; Degen, J.; Henle, T.; Antequera, T.; Ruiz-Carrascal, J. Advanced glycation end products, physico-chemical and sensory characteristics of cooked lamb loins affected by cooking method and addition of flavour precursors. Food Chem. 2015, 168, 487–495. [Google Scholar] [CrossRef]
- Zhou, M.; Shi, G.; Deng, Y.; Wang, C.; Qiao, Y.; Xiong, G.; Wang, L.; Wu, W.; Shi, L.; Ding, A. Study on the physicochemical and flavor characteristics of air frying and deep frying shrimp (crayfish) meat. Front. Nutr. 2022, 9, 1022590. [Google Scholar] [CrossRef]
- Bolumar, T.; Toepfl, S. Application of shockwaves for meat tenderization. In Innovative Food Processing Technologies; Elsevier: Amsterdam, The Netherlands, 2016; pp. 231–258. [Google Scholar] [CrossRef]
- Wang, H.; He, F.; He, H.; Du, P.; Liu, Y.; Wang, W.; Wang, S.; Ma, Y.; Chu, X.; Wang, Y.; et al. Predicting the formation of 2-amino-3-methyl-imidazole[4,5-f]quinoline (IQ) in the Maillard reaction model system under various reaction conditions. LWT-Food Sci. Technol. 2023, 176, 114551. [Google Scholar] [CrossRef]
- Feng, Y.; Su, G.; Zhao, H.; Cai, Y.; Cui, C.; Sun-Waterhouse, D.; Zhao, M. Characterisation of aroma profiles of commercial soy sauce by odour activity value and omission test. Food Chem. 2015, 167, 220–228. [Google Scholar] [CrossRef]
- Wang, Z.; Cai, R.; Yang, X.; Gao, Z.; Yuan, Y.; Yue, T. Changes in aroma components and potential Maillard reaction products during the stir-frying of pork slices. Food Control 2021, 123, 107855. [Google Scholar] [CrossRef]
- Yu, Y.; Wang, G.; Yin, X.; Ge, C.; Liao, G. Effects of different cooking methods on free fatty acid profile, water-soluble compounds and flavor compounds in Chinese Piao chicken meat. Food Res. Int. 2021, 149, 110696. [Google Scholar] [CrossRef]
- Zhu, W.; Luan, H.; Bu, Y.; Li, X.; Li, J.; Ji, G. Flavor characteristics of shrimp sauces with different fermentation and storage time. LWT-Food Sci. Technol. 2019, 110, 142–151. [Google Scholar] [CrossRef]
- Liang, F.; Lin, L.; Zhu, Y.; Jiang, S.; Lu, J. Comparative study between surimi gel and surimi/crabmeat mixed gel on nutritional properties, flavor characteristics, color, and texture. J. Aquat. Food Prod. Technol. 2020, 29, 681–692. [Google Scholar] [CrossRef]
- Zhang, J.j.; Wang, X.c.; Shi, W.z. Odor characteristics of white croaker and small yellow croaker fish during refrigerated storage. J. Food Biochem. 2019, 43, e12852. [Google Scholar] [CrossRef] [PubMed]
- Zhou, Y.; Wang, X.; Chen, Y.; Yuan, B. Effects of different paprikas on the quality characteristics and volatile flavor components of spiced beef. J. Food Process. Preserv. 2021, 45, e15353. [Google Scholar] [CrossRef]
- Chen, J.; Tao, L.; Zhang, T.; Zhang, J.; Wu, T.; Luan, D.; Ni, L.; Wang, X.; Zhong, J. Effect of four types of thermal processing methods on the aroma profiles of acidity regulator-treated tilapia muscles using E-nose, HS-SPME-GC-MS, and HS-GC-IMS. LWT-Food Sci. Technol. 2021, 147, 111585. [Google Scholar] [CrossRef]
- Flores, M. Understanding the implications of current health trends on the aroma of wet and dry cured meat products. Meat Sci. 2018, 144, 53–61. [Google Scholar] [CrossRef]
- Li, X.; Liu, S.-Q. Effect of pH, xylose content and heating temperature on colour and flavour compound formation of enzymatically hydrolysed pork trimmings. LWT-Food Sci. Technol. 2021, 150, 112017. [Google Scholar] [CrossRef]
- Sun, A.; Wu, W.; Soladoye, O.P.; Aluko, R.E.; Bak, K.H.; Fu, Y.; Zhang, Y. Maillard reaction of food-derived peptides as a potential route to generate meat flavor compounds: A review. Food Res. Int. 2022, 151, 110823. [Google Scholar] [CrossRef]
- Zhao, J.; Wang, M.; Xie, J.; Zhao, M.; Hou, L.; Liang, J.; Wang, S.; Cheng, J. Volatile flavor constituents in the pork broth of black-pig. Food Chem. 2017, 226, 51–60. [Google Scholar] [CrossRef]
- Wu, W.; Zhan, J.; Tang, X.; Li, T.; Duan, S. Characterization and identification of pork flavor compounds and their precursors in Chinese indigenous pig breeds by volatile profiling and multivariate analysis. Food Chem. 2022, 385, 132543. [Google Scholar] [CrossRef]




| Cooking Conditions | Sensory Scores a | ||||
|---|---|---|---|---|---|
| Temperature (°C) | Time (s) | Color | Tenderness | Aroma | Overall Flavor |
| 140 | 50 | 4.00 b | 7.00 ab | 4.25 c | 5.13 a |
| 100 | 4.38 b | 7.50 a | 5.38 abc | 6.38 a | |
| 150 | 5.00 b | 6.38 abc | 5.25 bc | 6.25 a | |
| 200 | 6.88 a | 6.13 bc | 6.63 a | 6.63 a | |
| 250 | 6.25 a | 5.38 c | 6.50 ab | 6.50 a | |
| 160 | 50 | 3.50 b | 6.63 a | 5.25 a | 5.38 ab |
| 100 | 6.00 a | 6.88 a | 5.25 a | 5.38 ab | |
| 150 | 6.63 a | 5.25 b | 4.50 a | 6.75 a | |
| 200 | 3.38 b | 3.13 c | 5.75 a | 4.75 b | |
| 250 | 4.25 b | 3.50 c | 5.63 a | 5.50 ab | |
| 180 | 50 | 3.25 c | 6.25 ab | 5.50 a | 5.38 a |
| 100 | 4.00 bc | 6.88 a | 5.88 a | 5.75 a | |
| 150 | 6.38 a | 4.88 b | 6.25 a | 6.25 a | |
| 200 | 5.75 ab | 5.13 b | 6.00 a | 6.75 a | |
| 250 | 5.13 abc | 2.75 c | 6.75 a | 6.25 a | |
| 200 | 50 | 5.13 a | 7.88 a | 6.13 a | 6.13 a |
| 100 | 5.00 a | 6.63 ab | 5.50 a | 5.88 a | |
| 150 | 6.13 a | 5.50 bc | 6.63 a | 6.38 a | |
| 200 | 5.13 a | 4.25 c | 7.00 a | 6.63 a | |
| 250 | 5.00 a | 4.63 c | 6.13 a | 6.50 a | |
| 220 | 50 | 4.00 c | 7.25 a | 6.00 ab | 6.13 a |
| 100 | 4.75 bc | 6.75 a | 5.75 b | 5.88 a | |
| 150 | 6.38 ab | 6.50 a | 5.38 b | 6.13 a | |
| 200 | 6.88 a | 5.75 ab | 6.63 ab | 7.00 a | |
| 250 | 5.88 ab | 4.25 b | 7.88 a | 7.25 a | |
| No. | Compounds | Identification Methods a | RI b | Concentration (μg/Kg) c | ||||||||||
|---|---|---|---|---|---|---|---|---|---|---|---|---|---|---|
| Calculation | Literature | Raw | 140 °C 100 s | 140 °C 150 s | 140 °C 200 s | 140 °C 250 s | Raw | 220 °C 100 s | 220 °C 150 s | 220 °C 200 s | 220 °C 250 s | |||
| aldehydes | ||||||||||||||
| 1 | hexanal | MS RI | 1067 | 1078 | 73.97 b | 854.68 ab | 790.97 ab | 1730.12 a | 1362.79 a | 73.97 b | 828.14 ab | 732.98 ab | 968.51 ab | 1717.63 a |
| 2 | heptanal | MS RI | 1182 | 1181 | 0 b | 70.72 a | 65.59 a | 64.67 a | 59.51 a | 0 c | 45.05 ab | 31.17 bc | 57.90 ab | 77.75 a |
| 3 | octanal | MS RI | 1286 | 1286 | 0 c | 128.28 a | 115.75 ab | 84.10 ab | 63.14 b | 0 c | 64.70 ab | 45.63 b | 76.42 a | 67.37 ab |
| 4 | nonanal | MS RI | 1390 | 1390 | 31.40 b | 518.49 a | 519.87 a | 423.28 a | 358.78 a | 31.40 c | 304.78 ab | 257.84 b | 369.30 ab | 505.43 a |
| 5 | (E)-2-octenal | MS RI | 1424 | 1434 | 0 b | 15.00 a | 18.38 a | 21.25 a | 13.54 a | 0 c | 11.47 b | 8.84 b | 10.94 b | 17.27 a |
| 6 | decanal | MS RI | 1492 | 1485 | 0 c | 23.53 ab | 25.57 a | 13.58 b | 19.09 ab | 0 c | 13.35 ab | 9.33 b | 12.09 ab | 17.13 a |
| 7 | benzaldehyde | MS RI | 1512 | 1508 | 6.41 b | 32.69 a | 32.73 a | 29.46 ab | 25.50 ab | 6.41 c | 10.56 c | 15.38 bc | 22.88 ab | 34.06 a |
| 8 | (E)-2-nonenal | MS RI | 1528 | 1530 | 0 b | 6.71 a | 3.66 a | 6.83 a | 5.11 a | 0 b | 8.10 a | 3.66 ab | 4.64 a | 7.19 a |
| 9 | undecanal | MS RI | 1599 | 1587 | 0 c | 4.66 ab | 7.05 a | 3.23 bc | 2.43 bc | 0 c | 2.66 ab | 1.75 b | 3.29 a | 3.94 a |
| 10 | (E)-2-decenal | MS RI | 1638 | 1630 | 0 c | 0 c | 0 c | 15.38 a | 10.83 b | 0 c | 10.22 b | 7.05 b | 12.41 ab | 18.29 a |
| 11 | 4-ethyl-benzaldehyde | MS RI | 1699 | 1719 | 0 d | 2.29 c | 2.69 bc | 3.50 a | 3.11 ab | 0 b | 2.48 a | 1.82 ab | 2.21 a | 2.43 a |
| 12 | dodecanal | MS RI | 1705 | 1710 | 0 b | 4.54 a | 4.41 a | 2.34 ab | 2.03 ab | 0 c | 2.04 ab | 1.24 bc | 1.85 ab | 2.98 a |
| 13 | 2-undecenal | MS | 1746 | - | 0 b | 6.95 a | 0 b | 0 b | 0 b | 0 d | 5.40 bc | 3.49 cd | 9.01 ab | 13.84 a |
| 14 | (E,E)-2,4-decadienal | MS RI | 1802 | 1813 | 0 d | 16.29 c | 39.03 a | 21.06 b | 16.88 bc | 0 c | 5.07 c | 8.96 c | 33.69 b | 53.78 a |
| 15 | 4-methoxy-benzaldehyde | MS RI | 2012 | 2011 | 0 b | 0.55 b | 0.75 b | 1.91 a | 0.51 b | 0 b | 0.49 a | 0.30 ab | 0 b | 0 b |
| alcohols | ||||||||||||||
| 16 | 1-pentanol | MS RI | 1252 | 1252 | 29.62 b | 60.22 ab | 85.01 a | 88.68 a | 68.40 ab | 29.62 b | 52.42 ab | 38.00 b | 60.92 ab | 102.87 a |
| 17 | 3-methyl-2-buten-1-ol | MS RI | 1325 | 1320 | 0.01 a | 0 a | 0 a | 0 a | 0 a | 0.01 a | 0 a | 0 a | 0 a | 0 a |
| 18 | 1-hexanol | MS RI | 1354 | 1369 | 47.06 a | 14.49 b | 18.99 b | 20.22 b | 16.40 b | 47.06 a | 18.92 b | 12.94 b | 12.04 b | 20.55 b |
| 19 | 1-octen-3-ol | MS RI | 1449 | 1451 | 42.97 a | 136.01 b | 191.93 b | 185.01 b | 145.14 b | 42.97 c | 114.99 b | 88.15 b | 94.33 b | 168.01 a |
| 20 | 1-heptanol | MS RI | 1455 | 1447 | 16.16 b | 24.57 ab | 31.57 a | 19.92 ab | 15.06 b | 16.16 ab | 18.67 ab | 11.11 b | 20.43 ab | 32.57 a |
| 21 | 2-ethyl-1-hexanol | MS RI | 1487 | 1484 | 2263.71 a | 20.14 c | 31.29 b | 21.99 c | 28.27 b | 2263.71 a | 37.34 b | 18.43 b | 20.18 b | 17.59 b |
| 22 | 1-octanol | MS RI | 1559 | 1561 | 55.27 a | 48.70 a | 0 b | 0 b | 0 b | 55.27 b | 0 a | 0 a | 0 a | 0 a |
| 23 | 2,3-butanediol | MS RI | 1574 | 1570 | 133.87 a | 0 b | 1.09 b | 4.60 b | 15.86 b | 133.87 a | 8.43 b | 21.45 b | 0 b | 50.35 b |
| 24 | (E)-2-octen-1-ol | MS RI | 1614 | 1618 | 7.20 b | 25.32 a | 29.13 a | 24.15 ab | 22.20 ab | 7.20 c | 13.76 b | 12.32 bc | 10.21 bc | 22.18 a |
| 25 | 1-nonanol | MS RI | 1659 | 1673 | 7.53 a | 3.07 b | 2.85 b | 2.19 b | 1.95 b | 7.53 a | 2.15 b | 1.35 b | 1.41 b | 3.51 ab |
| 26 | α-terpineol | MS | 1694 | - | 18.50 a | 5.08 b | 7.59 b | 6.67 b | 5.47 b | 18.50 a | 5.24 a | 3.15 a | 3.95 a | 20.09 a |
| 27 | 1-dodecanol | MS RI | 1965 | 1953 | 7.10 a | 4.04 a | 5.21 a | 4.50 a | 3.91 a | 7.10 a | 3.35 ab | 1.93 b | 2.52 b | 5.18 ab |
| 28 | 4-(1-methylethoxy)-1-butanol | MS | 2484 | - | 0 c | 0.75 bc | 2.10 a | 0.87 b | 0.99 b | 0 c | 1.37 a | 0.71 b | 0.70 b | 0.82 b |
| ketones | ||||||||||||||
| 29 | acetoin | MS RI | 1279 | 1273 | 1486.72 a | 1.60 b | 5.21 b | 23.31 b | 47.57 b | 1486.72 a | 71.56 b | 84.53 b | 6.24 b | 184.13 b |
| 30 | 6-methyl-5-hepten-2-one | MS RI | 1334 | 1341 | 19.53 a | 4.65 b | 2.21 b | 2.25 b | 3.24 b | 19.53 a | 5.09 b | 3.70 b | 1.49 b | 5.10 b |
| 31 | 2-undecanone | MS RI | 1594 | 1599 | 0 b | 0 b | 0 b | 3.42 a | 2.72 a | 0 b | 2.62 a | 1.84 a | 0 b | 0 b |
| 32 | 6,10-dimethyl-5,9-undecadien-2-one | MS | 1849 | - | 0 b | 1.13 a | 0.84 a | 0.71 a | 1.01 a | 0 c | 0.86 a | 0.79 ab | 0.39 bc | 1.15 a |
| 33 | 1-(2,4-dimethylphenyl)-ethanone | MS | 2223 | - | 2.41 a | 0 b | 2.98 a | 1.55 ab | 1.26 ab | 2.41 a | 1.16 ab | 0.66 b | 0.91 b | 1.20 ab |
| esters | ||||||||||||||
| 34 | γ-hexalactone | MS RI | 1694 | 1678 | 0 c | 0.85 bc | 2.96 a | 2.28 ab | 2.06 ab | 0 d | 1.97 ab | 0.89 cd | 1.03 bc | 2.72 a |
| 35 | γ-octanoic lactone | MS RI | 1905 | 1898 | 0 d | 2.35 a | 1.96 a | 1.31 b | 0.78 c | 0 a | 0.57 a | 0.77 a | 1.58 a | 5.18 a |
| 36 | γ-nonanolactone | MS RI | 2018 | 2007 | 3.70 a | 1.06 b | 2.11 ab | 1.45 b | 1.89 ab | 3.70 a | 1.22 b | 0.92 b | 1.00 b | 1.87 ab |
| 37 | hexadecanoic acid ethyl ester | MS RI | 2239 | 2220 | 0 b | 3.67 a | 2.63 a | 1.96 ab | 1.68 ab | 0 c | 1.58 ab | 1.22 b | 1.07 b | 1.86 a |
| terpenoid | ||||||||||||||
| 38 | linalool | MS RI | 1544 | 1540 | 23.70 a | 1.10 b | 0.96 b | 1.76 b | 2.60 b | 23.70 a | 1.70 b | 1.22 b | 1.45 b | 3.93 b |
| furans | ||||||||||||||
| 39 | 2-pentyl-furan | MS RI | 1230 | 1230 | 0 c | 22.89 b | 43.84 a | 30.12 ab | 24.64 b | 0 c | 8.26 c | 11.91 c | 46.90 b | 78.27 a |
| 40 | 2(5H)-furanone | MS RI | 1741 | 1767 | 0 c | 1.33 a | 1.09 ab | 0.45 abc | 0.30 bc | 0 c | 0.26 b | 0.32 b | 0.34 b | 0.48 a |
| phenols | ||||||||||||||
| 41 | phenol | MS RI | 1995 | 1953 | 7.38 a | 2.23 b | 3.26 b | 2.18 b | 2.02 b | 7.38 a | 1.98 b | 1.22 b | 1.63 b | 3.37 ab |
| 42 | p-cresol | MS RI | 2073 | 2078 | 2.07 a | 0.93 ab | 1.04 ab | 0.62 b | 0.51 b | 2.07 a | 0.70 b | 0.41 b | 0.41 b | 0.58 b |
| 43 | 2,4-di-tert-butylphenol | MS RI | 2305 | 2312 | 18.73 a | 0 b | 0.42 b | 0.82 b | 0.70 b | 18.73 a | 0.30 b | 0.33 b | 0.24 b | 0.63 b |
| pyrazines | ||||||||||||||
| 44 | methyl-pyrazine | MS RI | 1267 | 1265 | 0 b | 3.15 a | 1.10 a | 0 b | 0 b | 0 a | 0 a | 0 a | 0.22 a | 0 a |
| 45 | 2,3-dimethyl-pyrazine | MS RI | 1343 | 1357 | 0 d | 2.62 a | 2.13 b | 0.72 c | 0.75 c | 0 b | 0.87 b | 0.36 b | 0.80 b | 2.40 a |
| 46 | 2-ethyl-6-methyl-pyrazine | MS RI | 1383 | 1382 | 0 d | 3.81 a | 2.07 b | 0 d | 1.02 c | 0 b | 0.35 b | 0 b | 0.85 b | 5.63 a |
| 47 | trimethyl-pyrazine | MS RI | 1402 | 1406 | 0 c | 12.50 a | 12.33 a | 0 c | 7.02 b | 0 c | 4.01 bc | 2.46 bc | 5.74 b | 23.04 a |
| 48 | 3-ethyl-2,5-dimethyl-pyrazine | MS RI | 1443 | 1430 | 0 c | 8.90 a | 13.76 b | 7.08 b | 6.94 b | 0 c | 7.49 ab | 2.15 bc | 4.26 abc | 9.97 a |
| sulfur-containing compounds | ||||||||||||||
| 49 | dimethyl trisulfide | MS RI | 1373 | 1378 | 0 b | 0 b | 0 b | 0.18 a | 0.18 a | 0 c | 0 c | 0.12 bc | 0.22 ab | 0.30 a |
| 50 | 4-methyl-5-thiazoleethanol | MS | 2299 | - | 0 c | 0 c | 1.09 a | 0.39 b | 0.32 b | 0 b | 0.44 a | 0.22 ab | 0.22 ab | 0.16 b |
| ether | ||||||||||||||
| 51 | 2-(2-ethoxyethoxy)-ethanol | MS RI | 1617 | 1622 | 17.11 a | 4.76 b | 12.67 ab | 8.42 ab | 7.82 ab | 17.11 a | 7.65 b | 3.94 b | 4.17 b | 6.59 b |
Disclaimer/Publisher’s Note: The statements, opinions and data contained in all publications are solely those of the individual author(s) and contributor(s) and not of MDPI and/or the editor(s). MDPI and/or the editor(s) disclaim responsibility for any injury to people or property resulting from any ideas, methods, instructions or products referred to in the content. |
© 2023 by the authors. Licensee MDPI, Basel, Switzerland. This article is an open access article distributed under the terms and conditions of the Creative Commons Attribution (CC BY) license (https://creativecommons.org/licenses/by/4.0/).
Share and Cite
Wang, Z.; Nie, T.; Zhang, H.; Wang, W.; Chen, H.; Wang, S.; Sun, B. Correlation Analysis between Volatile Compounds and Quality Attributes in Pork Tenderloin in Response to Different Stir-Frying Processes. Foods 2023, 12, 4299. https://doi.org/10.3390/foods12234299
Wang Z, Nie T, Zhang H, Wang W, Chen H, Wang S, Sun B. Correlation Analysis between Volatile Compounds and Quality Attributes in Pork Tenderloin in Response to Different Stir-Frying Processes. Foods. 2023; 12(23):4299. https://doi.org/10.3390/foods12234299
Chicago/Turabian StyleWang, Ziqiang, Tianjie Nie, Huiying Zhang, Wenqian Wang, Haitao Chen, Shuqi Wang, and Baoguo Sun. 2023. "Correlation Analysis between Volatile Compounds and Quality Attributes in Pork Tenderloin in Response to Different Stir-Frying Processes" Foods 12, no. 23: 4299. https://doi.org/10.3390/foods12234299
APA StyleWang, Z., Nie, T., Zhang, H., Wang, W., Chen, H., Wang, S., & Sun, B. (2023). Correlation Analysis between Volatile Compounds and Quality Attributes in Pork Tenderloin in Response to Different Stir-Frying Processes. Foods, 12(23), 4299. https://doi.org/10.3390/foods12234299
