Comparative Analysis of Metabolites of ‘Hongro’ Apple Greasiness in Response to Temperature
Abstract
:1. Introduction
2. Materials and Methods
2.1. Plant Material
2.2. Quality Assessment
2.3. Assessment of Skin Greasiness
2.4. Total Wax Content and Epicuticular Wax Quantification
2.5. Fatty-Acid Analysis
2.6. Untargeted Polar-Phase-Metabolite Analysis
2.7. Statistical Analysis
3. Results and Discussion
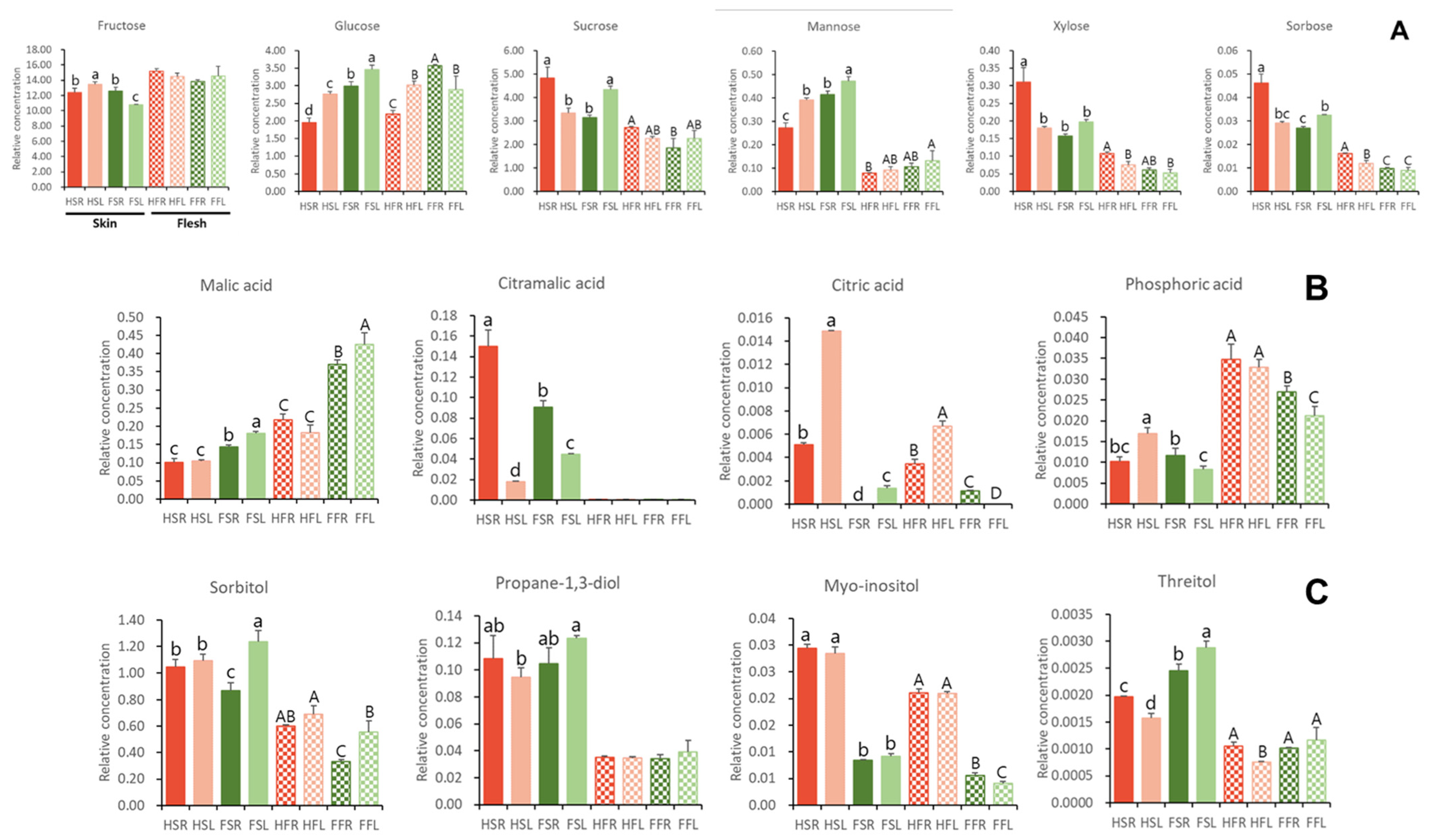
3.1. Physiological Response during Storage of ‘Hongro’ and ‘Fuji’ Showing Differences in Greasiness
3.2. Effect of Low-Temperature Storage on ‘Hongro’ Greasiness
4. Conclusions
Supplementary Materials
Author Contributions
Funding
Data Availability Statement
Conflicts of Interest
References
- Koh, J.T.; Yu, Y.J.; Kim, M. Analysis and evaluation of degrees of contribution of aroma components in ‘Hongro’ apples. Korean J. Food Sci. Technol. 2009, 41, 603–608. [Google Scholar]
- Jun, Y.; Kang, I.; Choi, C. Effect of aminoethoxyvinylglycine treatment on lipid material changes in ‘‘Hongro’’ apples. Curr. Res. Agric. Life Sci. 2015, 33, 33–35. [Google Scholar] [CrossRef]
- Lara, I.; Belge, B.; Coulao, L.F. The fruit cuticle as a modulator of postharvest quality. Postharvest Biol. Technol. 2014, 131, 55–67. [Google Scholar] [CrossRef]
- Yang, Y.; Zhou, B.; Wang, C.; Lv, Y.; Liu, C.; Zhu, X.; Ren, X. Analysis of the inhibitory effect of ethylcyclopropene on skin greasiness in postharvest apples by revealing the changes of wax constitutents and gene expression. Postharvest Biol. Technol. 2017, 134, 87–97. [Google Scholar] [CrossRef]
- Yang, Y.; Zhou, B.; Zhang, J.; Wang, C.; Liu, C.; Liu, Y.; Zhu, X.; Ren, X. Relationships between cuticular waxes and skin greasiness of apples during storage. Postharvest Biol. Technol. 2017, 131, 55–67. [Google Scholar] [CrossRef]
- Zhang, Y.L.; Zhang, C.L.; Wang, G.L.; Wang, Y.X.; Qi, C.H.; Zhao, Q.; You, C.X.; Li, Y.Y.; Hao, Y.J. The R2R3 MYB transcription factor MdMYB30 modulates plant resistance against pathogens by regulating cuticular wax biosynthesis. BMC Plant Biol. 2019, 19, 362–376. [Google Scholar] [CrossRef]
- Wang, Y.; Wang, X.; Cao, Y.; Zhong, M.; Zhang, J.; Yu, K.; Li, Z.; You, C.; Li, Y. Chemical composition and morphology of apple cuticular wax during fruit growth and development. Fruit Res. 2022, 2, 5. [Google Scholar] [CrossRef]
- Butkevičiūtė, A.; Janulis, V.; Kviklys, D. Triterpene content in flesh and peel of apples grown on different rootstocks. Plant 2022, 11, 1247. [Google Scholar] [CrossRef]
- Glenn, G.M.; Rom, C.R.; Rasmussen, H.P.; Poovaiah, B.W. Influence of cuticular structure on the appearance of artificially waxed ‘Delicious’ apple. Sci. Hortic. 1990, 42, 289–297. [Google Scholar] [CrossRef]
- Fan, X.; Mattheis, J.P.; Blankenship, S. Development of apple superficial scald, soft scald, core flush, and greasiness is reduced by MCP. J. Agric. Food Chem. 1999, 47, 3063–3068. [Google Scholar] [CrossRef]
- Christeller, J.T.; Roughan, P.G. The novel esters farnesyl oleate and farnesyl linoleate are prodominent in the surface wax of greasy apple fruit. N. Z. J. Crop Hortic. Sci. 2016, 44, 164–170. [Google Scholar] [CrossRef]
- Klein, B.; Falk, R.B.; Thewes, F.R.; Anese, R.O.; Santos, I.D.; Ribeiro, S.R.; Donadel, J.Z.; Brackmann, A.; Barin, J.S.; Cichoski, A.J.; et al. Dynamic controlled atmosphere: Effects on the chemical composition of cuticular wax of ‘Cripps Pink’ apples after long-term storage. Postharvest Biol. Technol. 2020, 164, 111170. [Google Scholar] [CrossRef]
- Mir, N.A.; Perez, R.; Schwallier, P.; Beaudry, R. Relationship between ethylene response manipulation and volatile production in Jonagold variety apples. J. Agric. Food Chem. 1999, 47, 2653–2659. [Google Scholar] [CrossRef] [PubMed]
- Marin, A.B.; Colonna, A.E.; Kudo, K.; Kupferman, E.M.; Mattheis, J.P. Measuring consumer response to ‘Gala’ apples treated with 1-methylcyclopropene (1-MCP). Postharvest Biol. Technol. 2009, 51, 73–79. [Google Scholar] [CrossRef]
- Yang, X.; Song, J.; Du, L.; Forney, C.; Campbell-Palmer, L.; Fillmore, S.; Wismer, P.; Zhang, Z. Ethylene and 1-MCP regulate major volatile biosynthetic pathways in apple fruit. Food Chem. 2016, 194, 325–336. [Google Scholar] [CrossRef] [PubMed]
- Fan, X.; Blankenship, S.M.; Mattheis, J.P. 1-Methylcyclopropene inhibits apple ripening. J. Am. Soc. Hort. Sci. 1999, 124, 690–695. [Google Scholar] [CrossRef]
- Tokala, V.Y.; Singh, Z.; Kyaw, P.N. Postharvest fruit quality of apple influenced by ethylene antagonist fumigation and ozonized cold storage. Food Chem. 2021, 341, 128293. [Google Scholar] [CrossRef] [PubMed]
- Rafael, G.; Mancha, M. 1993 One-Step Lipid Extraction and Fatty Acid Methyl Esters Preparation from Fresh Plant Tissues. Anal. Biochem. 1993, 211, 139–143. [Google Scholar]
- Hyun, J.; Lee, J.G.; Yang, K.Y.; Lim, S.; Lee, E.J. Postharvest fumigation of (E)-2-hexanal on kiwifruit (Actinidia chinensis cv. ‘Haegeum’) enhances resistance to Botrytis cinerea. Postharvest Biol. Technol. 2022, 187, 111854. [Google Scholar] [CrossRef]
- Lee, J.G.; Yi, G.; Seo, J.; Kang, B.C.; Choi, J.H.; Lee, E.J. Jasmonic acid and EFR family genes are involved in chilling sensitivity and seed browning of pepper fruit after harvest. Sci. Rep. 2020, 10, 17949. [Google Scholar] [CrossRef]
- Busatto, N.; Tadiello, A.; Trainotti, L.; Costa, F. Climacteric ripening of apple fruit is regulated by transcriptional circuits stimulated by cross-talks between ethylene and auxin. Plant Signal. Behav. 2017, 12, e1268312. [Google Scholar] [CrossRef]
- Li, F.; Min, D.; Song, B.; Shao, S.; Zhang, X. Ethylene effects on apple fruit cuticular wax composition and content during cold storage. Postharvest Biol. Technol. 2017, 134, 98–105. [Google Scholar] [CrossRef]
- Cripps, J.E.L.; Bichards, L.A.; Mairata, A.M. ‘Pink Lady’ apple. HortScience 1993, 28, 1057. [Google Scholar] [CrossRef]
- Hen-Avivi, S.; Lashbrooke, J.; Costa, F.; Aharoni, A. Scratching the surface: Genetic regulation of cuticle assembly in fleshy fruit. J. Exp. Bot. 2013, 65, 4653–4664. [Google Scholar] [CrossRef] [PubMed]
- Verardo, G.; Pagani, E.; Geatti, P.; Martinuzzi, P. A thorough study of the surface wax of apple fruits. Anal. Bioanal. Chem. 2003, 376, 659–667. [Google Scholar] [CrossRef] [PubMed]
- Zhang, Y.; You, C.; Li, Y.; Hao, Y. Advances in biosynthesis, regulation, and function of apple cuticular wax. Front. Plant Sci. 2020, 11, 1165. [Google Scholar] [CrossRef] [PubMed]
- Zhang, Q.; Qi, Y.; Li, R.; Yang, Y.; Yan, D.; Liu, X.; Ren, X. Postharvest application of n-butanol increase greasiness in apple skin by altering wax composition via effects on gene expression. Postharvest Biol. Technol. 2019, 155, 111–119. [Google Scholar] [CrossRef]
- Bargel, H.; Koch, K.; Cerman, Z.; Neinhuis, C. Structure-function relationships of the plant cuticle and cuticular waxes—A mart material? Funct. Plant Biol. 2006, 33, 893–910. [Google Scholar] [CrossRef] [PubMed]
- Veraverbeke, E.A.; Lammertyn, J.; Saevels, S.; Nicolai, B.M. Changes in chemical wax composition of three different apple (Malus domestica Borkh.) cultivars during storage. Postharvest Biol. Technol. 2001, 23, 197–208. [Google Scholar] [CrossRef]
- Chai, Y.; Li, A.; Wai, S.C.; Song, C.; Zhao, Y.; Duan, Y.; Zhang, B.; Lin, Q. Cuticular wax composition changes of 10 apple cultivars during postharvest storage. Food Chem. 2020, 324, 126903. [Google Scholar] [CrossRef] [PubMed]
- Li, D.; Xu, Y.; Xu, G.; Gu, L.; Li, D.; Shu, H. Molecular cloning and expression of a gene encoding alcohol acyltransferase (MdAAT2) from apple (cv. Golden delicious). Phytochem 2006, 67, 658–667. [Google Scholar] [CrossRef] [PubMed]
- Liu, D.; Yang, L.; Zheng, Q.; Wang, Y.; Wang, M.; Zhuang, X.; Wu, Q.; Liu, C.; Liu, S.; Liu, Y. Analysis of cuticular wax constituents and genes that contribute to the formation of ‘glossy Newhall’, a spontaneous bud mutant from the wild-type ‘Newhall’navel orange. Plant Mol. Biol. 2015, 88, 573–590. [Google Scholar] [CrossRef] [PubMed]
- Trivedi, P.; Nguyen, N.; Hykkerud, A.L.; Häggman, H.; Martinussen, I.; Jaakola, L.; Karppinen, K. Developmental and environmental regulation of cuticular wax biosynthesis in fleshy fruits. Front. Plant Sci. 2019, 10, 431. [Google Scholar] [CrossRef] [PubMed]
- Al-Abdallat, A.M.; Al-Debei, H.S.; Ayad, J.Y.; Hasan, S. Overexpression of SlSHN1 gene improves drought tolerance by increasing cuticular wax accumulation in tomato. Int. J. Mol. Sci. 2014, 15, 19499–19515. [Google Scholar] [CrossRef]
- Roy, S.; Conway, W.S.; Watada, A.E.; Sams, C.E.; Erbe, E.F.; Wergin, W.P. Heat treatment affects epicuticular wax structure and postharvest calcium uptake in ‘Golden delicious’ apples. HortScience 1994, 29, 1056–1058. [Google Scholar] [CrossRef]
- Hao, S.; Ma, Y.; Zhao, S.; Ji, Q.; Zhang, K.; Yang, M.; Yao, M. McWRI1, a transcription factor of the AP2/SHEN family, regulates the biosynthesis of the cuticular waxes on the apple fruit surface under low temperature. PLoS ONE 2017, 12, e0186996. [Google Scholar] [CrossRef]
- Tafolla-Arellano, J.C.; Báez-Sañudo, R.; Tiznado-Hernández, M.E. The cuticle as a key factor in the quality of horticultural crops. Sci. Hortic. 2018, 232, 145–152. [Google Scholar] [CrossRef]







| Variety/ Storage Temp | Fatty Acid Content (mg/g DW) | ||
|---|---|---|---|
| Saturated Fatty Acid | Unsaturated Fatty Acid | Total Fatty Acid | |
| HSR | 4.15 ± 0.18 b | 3.58 ± 0.09 d | 7.73 ± 0.27 c |
| HSL | 4.16 ± 0.19 b | 3.90 ± 0.12 c | 8.06 ± 0.31 c |
| FSR | 3.92 ± 0.10 b | 7.40 ± 0.20 b | 11.32 ± 0.30 b |
| FSL | 4.54 ± 0.13 a | 9.14 ± 0.12 a | 13.68 ± 0.24 a |
| Treatment | Wax Composition (µg/cm2) | ||||||
|---|---|---|---|---|---|---|---|
| Alcohols | Aldehydes | Alkane | Esters | Fatty Acid | Terpenes | Terpenoids | |
| LTS 0D + 0 d | 9.51 ± 0.54 b | 0.66 ± 0.12 ab | 11.27 ± 0.43 b | 4.84 ± 0.58 b | 8.05 ± 0.25 c | 0.65 ± 0.03 c | 11.40 ± 1.89 ab |
| LTS 0D + 10 d | 10.62 ± 3.22 b | 0.47 ± 0.16 ab | 12.68 ± 3.68 b | 5.71 ± 1.36 b | 10.54 ± 1.25 ab | 2.50 ± 0.91 ab | 8.46 ± 2.50 b |
| LTS 0D + 20 d | 12.62 ± 1.62 ab | 0.77 ± 0.15 a | 15.09 ± 1.39 ab | 9.15 ± 2.16 a | 9.54 ± 0.97 bc | 3.67 ± 0.90 a | 10.70 ± 0.84 ab |
| LTS 50D + 0 d | 15.06 ± 4.51 ab | 0.52 ± 0.13 ab | 16.27 ± 4.55 ab | 5.77 ± 1.09 b | 10.13 ± 0.93 ab | 0.65 ± 0.17 c | 15.32 ± 5.23 a |
| LTS 50D + 10 d | 14.51 ± 2.27 ab | 0.35 ± 0.31 b | 16.22 ± 2.47 ab | 8.99 ± 1.29 a | 11.57 ± 1.40 a | 2.15 ± 0.76 b | 11.45 ± 1.86 ab |
| LTS 50D + 20 d | 17.65 ± 3.41 a | 0.70 ± 0.10 a | 20.79 ± 3.48 a | 11.84 ± 2.27 a | 11.01 ± 0.24 ab | 2.38 ± 0.83 ab | 14.53 ± 3.29 a |
| Shelf Life (Day) | Alkane Content (µg/cm3) | ||||||||
|---|---|---|---|---|---|---|---|---|---|
| C21 | C22 | C25 | C27 | C29 | C30 | C31 | Total Alkane | ||
| LTS 0D | 0 | Nd | 0.08 ± 0.02 b | 0.18 ± 0.01 b | 1.50 ± 0.08 a | 9.77 ± 0.35 b | 0.12 ± 0.02 b | 0.25 ± 0.01 c | 11.92 ± 0.42 b |
| 10 | Nd | 0.09 ± 0.01 ab | 0.23 ± 0.01 ab | 1.68 ± 0.68 a | 11.02 ± 2.97 b | 0.16 ± 0.05 ab | 0.29 ± 0.03 c | 13.60 ± 3.92 b | |
| 20 | 0.12 ± 0.02 b | 0.12 ± 0.02 ab | 0.26 ± 0.05 ab | 1.94 ± 0.37 a | 13.17 ± 1.06 b | 0.18 ± 0.02 ab | 0.31 ± 0.00 bc | 16.10 ± 1.41 ab | |
| LTS 50D | 0 | 0.09 ± 0.01 b | 0.00 ± 0.00 c | 0.22 ± 0.04 b | 1.81 ± 0.51 a | 14.45 ± 4.09 ab | 0.18 ± 0.06 ab | 0.42 ± 0.12 ab | 17.25 ± 2.91 ab |
| 10 | 0.14 ± 0.01 b | 0.11 ± 0.01 ab | 0.22 ± 0.03 b | 1.70 ± 0.41 a | 14.52 ± 2.07 ab | 0.22 ± 0.02 a | 0.42 ± 0.04 ab | 17.38 ± 2.44 ab | |
| 20 | 0.32 ± 0.00 a | 0.14 ± 0.05 a | 0.33 ± 0.03 a | 1.92 ± 0.47 a | 18.87 ± 3.02 a | 0.22 ± 0.05 a | 0.48 ± 0.08 a | 22.32 ± 2.02 a | |
Disclaimer/Publisher’s Note: The statements, opinions and data contained in all publications are solely those of the individual author(s) and contributor(s) and not of MDPI and/or the editor(s). MDPI and/or the editor(s) disclaim responsibility for any injury to people or property resulting from any ideas, methods, instructions or products referred to in the content. |
© 2023 by the authors. Licensee MDPI, Basel, Switzerland. This article is an open access article distributed under the terms and conditions of the Creative Commons Attribution (CC BY) license (https://creativecommons.org/licenses/by/4.0/).
Share and Cite
Eum, H.L.; Lee, J.-H.; Park, M.-H.; Chang, M.-S.; Park, P.H.; Cho, J.H. Comparative Analysis of Metabolites of ‘Hongro’ Apple Greasiness in Response to Temperature. Foods 2023, 12, 4088. https://doi.org/10.3390/foods12224088
Eum HL, Lee J-H, Park M-H, Chang M-S, Park PH, Cho JH. Comparative Analysis of Metabolites of ‘Hongro’ Apple Greasiness in Response to Temperature. Foods. 2023; 12(22):4088. https://doi.org/10.3390/foods12224088
Chicago/Turabian StyleEum, Hyang Lan, Ji-Hyun Lee, Me-Hea Park, Min-Sun Chang, Pue Hee Park, and Jae Han Cho. 2023. "Comparative Analysis of Metabolites of ‘Hongro’ Apple Greasiness in Response to Temperature" Foods 12, no. 22: 4088. https://doi.org/10.3390/foods12224088
APA StyleEum, H. L., Lee, J.-H., Park, M.-H., Chang, M.-S., Park, P. H., & Cho, J. H. (2023). Comparative Analysis of Metabolites of ‘Hongro’ Apple Greasiness in Response to Temperature. Foods, 12(22), 4088. https://doi.org/10.3390/foods12224088

