Recent Advances in the Carotenoids Added to Food Packaging Films: A Review
Abstract
:1. Introduction
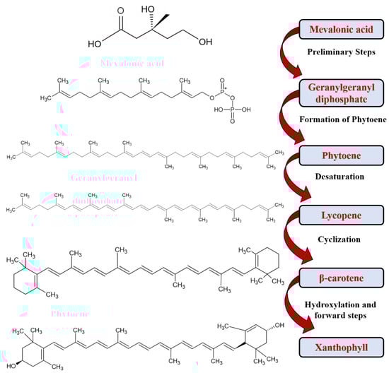
2. Carotenoids and Their Importance
3. Sources of Carotenoids
4. Biological Activity of Carotenoids
5. Fabrication and Characterization of Carotenoid-Based Packaging Films
5.1. Solution Casting
5.2. Melt Extrusion
5.3. Electrospinning
5.4. Grafting-Polymerization
5.5. Inkjet Printing
5.6. Coating Deposition
6. Application in Food Packaging Incorporated with Carotenoids
7. Safety Aspects and Environmental Impact of Carotenoid-Based Food Packaging
8. Conclusions
Author Contributions
Funding
Data Availability Statement
Conflicts of Interest
References
- He, X.; Pu, Y.; Chen, L.; Jiang, H.; Xu, Y.; Cao, J.; Jiang, W. A Comprehensive Review of Intelligent Packaging for Fruits and Vegetables: Target Responders, Classification, Applications, and Future Challenges. Compr. Rev. Food Sci. Food Saf. 2023, 22, 842–881. [Google Scholar] [CrossRef] [PubMed]
- Mohammadian, E.; Alizadeh-Sani, M.; Jafari, S.M. Smart Monitoring of Gas/Temperature Changes within Food Packaging Based on Natural Colorants. Compr. Rev. Food Sci. Food Saf. 2020, 19, 2885–2931. [Google Scholar] [CrossRef] [PubMed]
- Roy, S.; Priyadarshi, R.; Ezati, P.; Rhim, J.W. Curcumin and Its Uses in Active and Smart Food Packaging Applications—A Comprehensive Review. Food Chem. 2022, 375, 131885. [Google Scholar] [CrossRef] [PubMed]
- Soltani Firouz, M.; Mohi-Alden, K.; Omid, M. A Critical Review on Intelligent and Active Packaging in the Food Industry: Research and Development. Food Res. Int. 2021, 141, 110113. [Google Scholar] [CrossRef]
- Martinez, M.M.; Versino, F.; Ortega, F.; Monroy, Y.; Rivero, S.; López, O.V.; García, M.A. Sustainable and Bio-Based Food Packaging: A Review on Past and Current Design Innovations. Foods 2023, 12, 1057. [Google Scholar] [CrossRef]
- Roy, S.; Rhim, J.-W. Anthocyanin Food Colorant and Its Application in PH-Responsive Color Change Indicator Films. Crit. Rev. Food Sci. Nutr. 2020, 61, 2297–2325. [Google Scholar] [CrossRef] [PubMed]
- Deshmukh, R.K.; Hakim, L.; Akhila, K.; Ramakanth, D.; Gaikwad, K.K. Nano Clays and Its Composites for Food Packaging Applications. Int. Nano Lett. 2023, 13, 131–153. [Google Scholar] [CrossRef]
- Roy, S.; Zhang, W.; Biswas, D.; Ramakrishnan, R.; Rhim, J.-W. Grapefruit seed extract-added functional films and coating for active packaging applications: A review. Molecules 2023, 28, 730. [Google Scholar] [CrossRef]
- Nemes, S.A.; Szabo, K.; Vodnar, D.C. Applicability of Agro-Industrial By-Products in Intelligent Food Packaging. Coatings 2020, 10, 550. [Google Scholar] [CrossRef]
- Kumar, J.; Akhila, K.; Kumar, P.; Deshmukh, R.K.; Gaikwad, K.K. Novel Temperature-Sensitive Label Based on Thermochromic Ink for Hot Food Packaging and Serving Applications. J. Therm. Anal. Calorim. 2023, 148, 6061–6069. [Google Scholar] [CrossRef]
- Balbinot-Alfaro, E.; Craveiro, D.V.; Lima, K.O.; Costa, H.L.G.; Lopes, D.R.; Prentice, C. Intelligent Packaging with PH Indicator Potential. Food Eng. Rev. 2019, 11, 235–244. [Google Scholar] [CrossRef]
- Yousefi, H.; Su, H.M.; Imani, S.M.; Alkhaldi, K.; Filipe, C.D.; Didar, T.F. Intelligent Food Packaging: A Review of Smart Sensing Technologies for Monitoring Food Quality. ACS Sens. 2019, 4, 808–821. [Google Scholar] [CrossRef] [PubMed]
- Kumar, L.; Deshmukh, R.K.; Hakim, L.; Gaikwad, K.K. Halloysite Nanotube as a Functional Material for Active Food Packaging Application: A Review. Food Bioprocess Technol. 2023. [Google Scholar] [CrossRef] [PubMed]
- Grzebieniarz, W.; Biswas, D.; Roy, S.; Jamróz, E. Advances in biopolymer-based multi-layer film preparations and food packaging applications. Food Packag. Shelf Life 2023, 35, 101033. [Google Scholar] [CrossRef]
- Deshmukh, R.K.; Akhila, K.; Ramakanth, D.; Gaikwad, K.K. Guar Gum/Carboxymethyl Cellulose Based Antioxidant Film Incorporated with Halloysite Nanotubes and Litchi Shell Waste Extract for Active Packaging. Int. J. Biol. Macromol. 2022, 201, 1–13. [Google Scholar] [CrossRef] [PubMed]
- Rout, S.; Tambe, S.; Deshmukh, R.K.; Mali, S.; Cruz, J.; Srivastav, P.P.; Amin, P.D.; Gaikwad, K.K.; de Aguiar Andrade, E.H.; de Oliveira, M.S. Recent Trends in the Application of Essential Oils: The next Generation of Food Preservation and Food Packaging. Trends Food Sci. Technol. 2022, 129, 421–439. [Google Scholar] [CrossRef]
- Niponsak, A.; Laohakunjit, N.; Kerdchoechuen, O.; Wongsawadee, P. Development of Smart Colourimetric Starch–Based Indicator for Liberated Volatiles during Durian Ripeness. Food Res. Int. 2016, 89, 365–372. [Google Scholar] [CrossRef]
- Ran, R.; Wang, L.; Su, Y.; He, S.; He, B.; Li, C.; Wang, C.; Liu, Y.; Chen, S. Preparation of PH-Indicator Films Based on Soy Protein Isolate/Bromothymol Blue and Methyl Red for Monitoring Fresh-Cut Apple Freshness. J. Food Sci. 2021, 86, 4594–4610. [Google Scholar] [CrossRef]
- Amjadi, S.; Nazari, M.; Alizadeh, S.A.; Hamishehkar, H. Multifunctional Betanin Nanoliposomes-Incorporated Gelatin/Chitosan Nanofiber/ZnO Nanoparticles Nanocomposite Film for Fresh Beef Preservation. Meat Sci. 2020, 167, 108161. [Google Scholar] [CrossRef] [PubMed]
- de Oliveira Filho, J.G.; de Sousa, T.L.; Bertolo, M.R.V.; Bogusz Junior, S.; Mattoso, L.H.C.; Pimentel, T.C.; Egea, M.B. Next-Generation Food Packaging: Edible Bioactive Films with Alginate, Mangaba Pulp (Hancornia speciosa), and Saccharomyces boulardii. Food Biosci. 2023, 54, 102799. [Google Scholar] [CrossRef]
- Ahmed, M.; Bose, I.; Goksen, G.; Roy, S. Himalayan Sources of Anthocyanins and Its Multifunctional Applications: A Review. Foods 2023, 12, 2203. [Google Scholar] [CrossRef] [PubMed]
- Roy, S.; Chawla, R.; Santhosh, R.; Thakur, R.; Sarkar, P.; Zhang, W. Agar-based edible films and food packaging application: A comprehensive review. Trends Food Sci. Technol. 2023, 141, 104198. [Google Scholar] [CrossRef]
- Idrovo Encalada, A.M.; De’Nobili, M.D.; Ponce, A.N.M.; Stortz, C.A.; Fissore, E.N.; Rojas, A.M. Antioxidant Edible Film Based on a Carrot Pectin-Enriched Fraction as an Active Packaging of a Vegan Cashew Ripened Cheese. Int. J. Food Sci. Technol. 2021, 56, 3691–3702. [Google Scholar] [CrossRef]
- Sigurdson, G.T.; Tang, P.; Giusti, M.M. Natural Colorants: Food Colorants from Natural Sources. Annu. Rev. Food Sci. Technol. 2017, 8, 261–280. [Google Scholar] [CrossRef] [PubMed]
- Rennan, I.; Vieira, S.; Paula, A.; De De Carvalho, A.; Conte-Junior, C.A. Recent Advances in Biobased and Biodegradable Polymer Nanocomposites, Nanoparticles, and Natural Antioxidants for Antibacterial and Antioxidant Food Packaging Applications. Compr. Rev. Food Sci. Food Saf. 2022, 21, 3673–3716. [Google Scholar] [CrossRef]
- Meléndez-Martínez, A.J.; Mandić, A.I.; Bantis, F.; Böhm, V.; Borge, G.I.A.; Brnčić, M.; Bysted, A.; Cano, M.P.; Dias, M.G.; Elgersma, A.; et al. A Comprehensive Review on Carotenoids in Foods and Feeds: Status Quo, Applications, Patents, and Research Needs. Crit. Rev. Food Sci. Nutr. 2021, 62, 1999–2049. [Google Scholar] [CrossRef] [PubMed]
- Ashokkumar, V.; Flora, G.; Sevanan, M.; Sripriya, R.; Chen, W.H.; Park, J.H.; Rajesh banu, J.; Kumar, G. Technological Advances in the Production of Carotenoids and Their Applications—A Critical Review. Bioresour. Technol. 2023, 367, 128215. [Google Scholar] [CrossRef] [PubMed]
- Deshmukh, R.K.; Hakim, L.; Gaikwad, K.K. Active Packaging Materials. Curr. Food Sci. Technol. Rep. 2023. [Google Scholar] [CrossRef]
- Bhatt, T.; Patel, K. Carotenoids: Potent to Prevent Diseases Review. Nat. Prod. Bioprospect 2020, 10, 109. [Google Scholar] [CrossRef]
- Assis, R.Q.; Pagno, C.H.; Stoll, L.; Rios, P.D.A.; de Oliveira Rios, A.; Olivera, F.C. Active Food Packaging of Cellulose Acetate: Storage Stability, Protective Effect on Oxidation of Riboflavin and Release in Food Simulants. Food Chem. 2021, 349, 129140. [Google Scholar] [CrossRef]
- Anushikha; Deshmukh, R.K.; Kunam, P.K.; Gaikwad, K.K. Guar Gum Based Flexible Packaging Material with an Active Surface Reinforced by Litchi Shell Derived Micro Fibrillated Cellulose and Halloysite Nanotubes. Sustain. Chem. Pharm. 2023, 36, 101302. [Google Scholar] [CrossRef]
- Stoll, L.; Rech, R.; Flôres, S.H.; Nachtigall, S.M.B.; de Oliveira Rios, A. Carotenoids Extracts as Natural Colorants in Poly(Lactic Acid) Films. J. Appl. Polym. Sci. 2018, 135, 46585. [Google Scholar] [CrossRef]
- Cassani, L.; Marcovich, N.E.; Gomez-Zavaglia, A. Valorization of Fruit and Vegetables Agro-Wastes for the Sustainable Production of Carotenoid-Based Colorants with Enhanced Bioavailability. Food Res. Int. 2022, 152, 110924. [Google Scholar] [CrossRef] [PubMed]
- Stoll, L.; Rech, R.; Flôres, S.H.; Nachtigall, S.M.B.; de Oliveira Rios, A. Poly(Acid Lactic) Films with Carotenoids Extracts: Release Study and Effect on Sunflower Oil Preservation. Food Chem. 2019, 281, 213–221. [Google Scholar] [CrossRef] [PubMed]
- Pirsa, S.; Asadi, S. Innovative Smart and Biodegradable Packaging for Margarine Based on a Nano Composite Polylactic Acid/Lycopene Film. Food Addit. Contam. Part A 2021, 38, 856–869. [Google Scholar] [CrossRef]
- Assis, R.Q.; Rios, P.D.A.; de Oliveira Rios, A.; Olivera, F.C. Biodegradable Packaging of Cellulose Acetate Incorporated with Norbixin, Lycopene or Zeaxanthin. Ind. Crops Prod. 2020, 147, 112212. [Google Scholar] [CrossRef]
- Jain, P.; Tripathi, S.; Deshmukh, R.K.; Gaikwad, K.K.; Singh, S. Functionalization of Sugarcane Bagasse–Based Paper with Amla Pomace/Titanium Dioxide Nanoparticles Providing Antimicrobial Protection for Food Safety. Biomass Convers. Biorefinery 2023. [Google Scholar] [CrossRef]
- de Oliveira Filho, J.G.; Bertolo, M.R.V.; Fernandes, S.S.; Lemes, A.C.; da Cruz Silva, G.; Junior, S.B.; de Azeredo, H.M.C.; Mattoso, L.H.C.; Egea, M.B. Intelligent and Active Biodegradable Biopolymeric Films Containing Carotenoids. Food Chem. 2024, 434, 137454. [Google Scholar] [CrossRef] [PubMed]
- Ghosh, S.; Roy, S.; Naskar, J.; Kole, R.K. Plant-Mediated Synthesis of Mono-and Bimetallic (Au–Ag) Nanoparticles: Future Prospects for Food Quality and Safety. J. Nanomater. 2023, 2023, 2781667. [Google Scholar] [CrossRef]
- Oun, A.A.; Roy, S.; Shin, G.H.; Yoo, S.; Kim, J.T. pH-sensitive smart indicators based on cellulose and different natural pigments for tracing kimchi ripening stages. Int. J. Biol. Macromol. 2023, 242, 124905. [Google Scholar] [CrossRef]
- Gaikwad, K.K.; Deshmukh, R.K.; Lee, Y.S. Natural Phenolic Compound Coated Oxygen Scavenging Active Polyolefin Film for Preserving Quality of Fish Cake. Biomass Convers. Biorefinery 2022, 1–10. [Google Scholar] [CrossRef]
- Tripathi, S.; Kumar, L.; Deshmukh, R.K.; Gaikwad, K.K. Ultraviolet Blocking Films for Food Packaging Applications. Food Bioprocesss Technol. 2023. [Google Scholar] [CrossRef]
- Deshmukh, R.K.; Ramakanth, D.; Akhila, K.; Gaikwad, K.K. Natural Clay-Based Food Packaging Films. In Natural Materials for Food Packaging Application; Wiley: Hoboken, NJ, USA, 2023; pp. 121–163. [Google Scholar]
- Rodriguez-Concepcion, M.; Avalos, J.; Bonet, M.L.; Boronat, A.; Gomez-Gomez, L.; Hornero-Mendez, D.; Limon, M.C.; Meléndez-Martínez, A.J.; Olmedilla-Alonso, B.; Palou, A.; et al. A Global Perspective on Carotenoids: Metabolism, Biotechnology, and Benefits for Nutrition and Health. Prog. Lipid Res. 2018, 70, 62–93. [Google Scholar] [CrossRef]
- Bell, J.G.; McEvoy, J.; Tocher, D.R.; Sargent, J.R. Depletion of α-Tocopherol and Astaxanthin in Atlantic Salmon (Salmo Salar) Affects Autoxidative Defense and Fatty Acid Metabolism. J. Nutr. 2000, 130, 1800–1808. [Google Scholar] [CrossRef]
- Botella-Pavía, P.; Rodríguez-Concepción, M. Carotenoid Biotechnology in Plants for Nutritionally Improved Foods. Physiol. Plant. 2006, 126, 369–381. [Google Scholar] [CrossRef]
- Papapostolou, H.; Kachrimanidou, V.; Alexandri, M.; Plessas, S.; Papadaki, A.; Kopsahelis, N. Natural Carotenoids: Recent Advances on Separation from Microbial Biomass and Methods of Analysis. Antioxidants 2023, 12, 1030. [Google Scholar] [CrossRef]
- Dias, M.G.; Olmedilla-Alonso, B.; Hornero-Méndez, D.; Mercadante, A.Z.; Osorio, C.; Vargas-Murga, L.; Meléndez-Martínez, A.J. Comprehensive Database of Carotenoid Contents in Ibero-American Foods. A Valuable Tool in the Context of Functional Foods and the Establishment of Recommended Intakes of Bioactives. J. Agric. Food Chem. 2018, 66, 5055–5107. [Google Scholar] [CrossRef]
- Zhou, W.; Niu, Y.; Ding, X.; Zhao, S.; Li, Y.; Fan, G.; Zhang, S.; Liao, K. Analysis of Carotenoid Content and Diversity in Apricots (Prunus armeniaca L.) Grown in China. Food Chem. 2020, 330, 127223. [Google Scholar] [CrossRef] [PubMed]
- Chisté, R.C.; Mercadante, A.Z. Identification and Quantification, by HPLC-DAD-MS/MS, of Carotenoids and Phenolic Compounds from the Amazonian Fruit Caryocar Villosum. J. Agric. Food Chem. 2012, 60, 5884–5892. [Google Scholar] [CrossRef] [PubMed]
- Turkiewicz, I.P.; Wojdyło, A.; Tkacz, K.; Nowicka, P. Carotenoids, Chlorophylls, Vitamin E and Amino Acid Profile in Fruits of Nineteen Chaenomeles Cultivars. J. Food Compos. Anal. 2020, 93, 103608. [Google Scholar] [CrossRef]
- Delgado-Pelayo, R.; Hornero-Méndez, D. Identification and Quantitative Analysis of Carotenoids and Their Esters from Sarsaparilla (Smilax aspera L.) Berries. J. Agric. Food Chem. 2012, 60, 8225–8232. [Google Scholar] [CrossRef] [PubMed]
- Riedl, K.M.; Choksi, K.; Wyzgoski, F.J.; Scheerens, J.C.; Schwartz, S.J.; Reese, R.N. Variation in Lycopene and Lycopenoates, Antioxidant Capacity, and Fruit Quality of Buffaloberry (Shepherdia Argentea [Pursh]Nutt.). J. Food Sci. 2013, 78, C1673–C1679. [Google Scholar] [CrossRef] [PubMed]
- Rodríguez-Bernaldo de Quirós, A.; Costa, H.S. Analysis of Carotenoids in Vegetable and Plasma Samples: A Review. J. Food Compos. Anal. 2006, 19, 97–111. [Google Scholar] [CrossRef]
- Sugiura, M.; Nakamura, M.; Ikoma, Y.; Yano, M.; Ogawa, K.; Matsumoto, H.; Kato, M.; Ohshima, M.; Nagao, A. Serum Carotenoid Concentrations Are Inversely Associated with Serum Aminotransferases in Hyperglycemic Subjects. Diabetes Res. Clin. Pract. 2006, 71, 82–91. [Google Scholar] [CrossRef]
- Deshmukh, R.K.; Gaikwad, K.K. Natural Antimicrobial and Antioxidant Compounds for Active Food Packaging Applications. Biomass Convers. Biorefinery 2022, 1, 1–22. [Google Scholar] [CrossRef]
- Mezzomo, N.; Ferreira, S.R.S. Carotenoids Functionality, Sources, and Processing by Supercritical Technology: A Review. J. Chem. 2016, 2016, 3164312. [Google Scholar] [CrossRef]
- Saini, R.K.; Keum, Y.-S. Carotenoid Extraction Methods: A Review of Recent Developments. Food Chem. 2018, 240, 90–103. [Google Scholar] [CrossRef]
- Krajewska, M.; Szymczak-Żyła, M.; Kobos, J.; Witak, M.; Kowalewska, G. Canthaxanthin in Recent Sediments as an Indicator of Heterocystous Cyanobacteria in Coastal Waters. Oceanologia 2019, 61, 78–88. [Google Scholar] [CrossRef]
- Sampathkumar, S.J.; Gothandam, K.M. Sodium Bicarbonate Augmentation Enhances Lutein Biosynthesis in Green Microalgae Chlorella Pyrenoidosa. Biocatal. Agric. Biotechnol. 2019, 22, 101406. [Google Scholar] [CrossRef]
- Schroeder, W.A.; Johnson, E.A. Singlet Oxygen and Peroxyl Radicals Regulate Carotenoid Biosynthesis in Phaffia rhodozyma. J. Biol. Chem. 1995, 270, 18374–18379. [Google Scholar] [CrossRef] [PubMed]
- Xi, Y.; Kong, F.; Chi, Z. ROS Induce β-Carotene Biosynthesis Caused by Changes of Photosynthesis Efficiency and Energy Metabolism in Dunaliella salina Under Stress Conditions. Front. Bioeng. Biotechnol. 2021, 8, 613768. [Google Scholar] [CrossRef] [PubMed]
- Zarandi-Miandoab, L.; Hejazi, M.-A.; Bagherieh-Najjar, M.-B.; Chaparzadeh, N. Optimization of the Four Most Effective Factors on β-Carotene Production by Dunaliella salina Using Response Surface Methodology. Iran. J. Pharm. Res. 2019, 18, 1566. [Google Scholar]
- de Moraes, L.B.S.; Mota, G.C.P.; dos Santos, E.P.; Campos, C.V.F.d.S.; da Silva, B.A.B.; Olivera Gálvez, A.; de Souza Bezerra, R. Haematococcus Pluvialis Cultivation and Astaxanthin Production Using Different Nitrogen Sources with Pulse Feeding Strategy. Biomass Convers. Biorefinery 2023. [Google Scholar] [CrossRef]
- Sandmann, G. Carotenoids and Their Biosynthesis in Fungi. Molecules 2022, 27, 1431. [Google Scholar] [CrossRef]
- Liu, Y.S.; Wu, J.Y. Use of N-Hexadecane as an Oxygen Vector to Improve Phaffia rhodozyma Growth and Carotenoid Production in Shake-Flask Cultures. J. Appl. Microbiol. 2006, 101, 1033–1038. [Google Scholar] [CrossRef] [PubMed]
- Igreja, W.S.; de Maia, F.A.; Lopes, A.S.; Chisté, R.C. Biotechnological Production of Carotenoids Using Low Cost-Substrates Is Influenced by Cultivation Parameters: A Review. Int. J. Mol. Sci. 2021, 22, 8819. [Google Scholar] [CrossRef] [PubMed]
- Valduga, E.; Valério, A.; Treichel, H.; Furigo Júnior, A.; Di Luccio, M. Optimization of the Production of Total Carotenoids by Sporidiobolus Salmonicolor (CBS 2636) Using Response Surface Technique. Food Bioprocess Technol. 2009, 2, 415–421. [Google Scholar] [CrossRef]
- Hannibal, L.; Lorquin, J.; D’Ortoli, N.A.; Garcia, N.; Chaintreuil, C.; Masson-Boivin, C.; Dreyfus, B.; Giraud, E. Isolation and Characterization of Canthaxanthin Biosynthesis Genes from the Photosynthetic Bacterium Bradyrhizobium Sp. Strain ORS278. J. Bacteriol. 2000, 182, 3850–3853. [Google Scholar] [CrossRef]
- Karpiński, T.M.; Ożarowski, M.; Alam, R.; Łochyńska, M.; Stasiewicz, M. What Do We Know about Antimicrobial Activity of Astaxanthin and Fucoxanthin? Mar. Drugs 2021, 20, 36. [Google Scholar] [CrossRef]
- Di Salvo, E.; Lo Vecchio, G.; De Pasquale, R.; De Maria, L.; Tardugno, R.; Vadalà, R.; Cicero, N. Natural Pigments Production and Their Application in Food, Health and Other Industries. Nutrients 2023, 15, 1923. [Google Scholar] [CrossRef]
- Cappelletti, M.; Presentato, A.; Piacenza, E.; Firrincieli, A.; Turner, R.J.; Zannoni, D. Biotechnology of Rhodococcus for the Production of Valuable Compounds. Appl. Microbiol. Biotechnol. 2020, 104, 8567–8594. [Google Scholar] [CrossRef] [PubMed]
- Papadaki, E.; Mantzouridou, F.T. Natural β-Carotene Production by Blakeslea trispora Cultivated in Spanish-Style Green Olive Processing Wastewaters. Foods 2021, 10, 327. [Google Scholar] [CrossRef] [PubMed]
- Wolf, L.; Cummings, T.; Müller, K.; Reppke, M.; Volkmar, M.; Weuster-Botz, D. Production of Β-carotene with Dunaliella Salina CCAP19/18 at Physically Simulated Outdoor Conditions. Eng. Life Sci. 2021, 21, 115–125. [Google Scholar] [CrossRef]
- Luna-Flores, C.H.; Wang, A.; von Hellens, J.; Speight, R.E. Towards Commercial Levels of Astaxanthin Production in Phaffia rhodozyma. J. Biotechnol. 2022, 350, 42–54. [Google Scholar] [CrossRef] [PubMed]
- Young, A.; Lowe, G. Carotenoids—Antioxidant Properties. Antioxidants 2018, 7, 28. [Google Scholar] [CrossRef]
- Srivastava, R. Physicochemical, Antioxidant Properties of Carotenoids and Its Optoelectronic and Interaction Studies with Chlorophyll Pigments. Sci. Rep. 2021, 11, 18365. [Google Scholar] [CrossRef]
- Squillaci, G.; Parrella, R.; Carbone, V.; Minasi, P.; La Cara, F.; Morana, A. Carotenoids from the Extreme Halophilic Archaeon Haloterrigena turkmenica: Identification and Antioxidant Activity. Extremophiles 2017, 21, 933–945. [Google Scholar] [CrossRef] [PubMed]
- Gao, Y.; Ligia Focsan, A.; Kispert, L.D. The Effect of Polarity of Environment on the Antioxidant Activity of Carotenoids. Chem. Phys. Lett. 2020, 761, 138098. [Google Scholar] [CrossRef]
- Merhan, O. The Biochemistry and Antioxidant Properties of Carotenoids. Carotenoids 2017, 5, 51. [Google Scholar]
- Zhao, Y.; Guo, L.; Xia, Y.; Zhuang, X.; Chu, W. Isolation, Identification of Carotenoid-Producing Rhodotorula Sp. from Marine Environment and Optimization for Carotenoid Production. Mar. Drugs 2019, 17, 161. [Google Scholar] [CrossRef]
- Yoo, A.Y.; Alnaeeli, M.; Park, J.K. Production Control and Characterization of Antibacterial Carotenoids from the Yeast Rhodotorula mucilaginosa AY-01. Process Biochem. 2016, 51, 463–473. [Google Scholar] [CrossRef]
- Dumitriu, C.; Ungureanu, C.; Popescu, S.; Tofan, V.; Popescu, M.; Pirvu, C. Ti Surface Modification with a Natural Antioxidant and Antimicrobial Agent. Surf. Coat. Technol. 2015, 276, 175–185. [Google Scholar] [CrossRef]
- Ungureanu, C.; Ferdes, M. Evaluation of Antioxidant and Antimicrobial Activities of Torularhodin. Adv. Sci. Lett. 2012, 18, 50–53. [Google Scholar] [CrossRef]
- Kusmita, L.; Tatsa, Y.A.; Franyoto, Y.D.; Sabdono, A.; Trianto, A.; Radjasa, O.K. Antibacterial Activity of Carotenoid from Bacterial Symbiont Virgibacillus Salarius Strain 19. PP. Sc. 1.6 against MDR E. Coli and MRSA. Egypt. J. Aquat. Biol. Fish. 2021, 25. [Google Scholar]
- Abou-Dobara, M.I. Antibacterial Activity of Some Marine Algal Extracts against Most Nosocomial Bacterial Infections. Egypt. J. Bot. 2013, 9, 281–286. [Google Scholar]
- Karpiński, T.M.; Adamczak, A. Fucoxanthin—An Antibacterial Carotenoid. Antioxidants 2019, 8, 239. [Google Scholar] [CrossRef] [PubMed]
- Bose, I.; Nousheen; Roy, S.; Yaduvanshi, P.; Sharma, S.; Chandel, V.; Biswas, D. Unveiling the potential of marine biopolymers: Sources, classification, and diverse food applications. Materials 2023, 16, 4840. [Google Scholar] [CrossRef]
- Liu, J.; Yong, H.; Liu, Y.; Qin, Y.; Kan, J.; Liu, J. Preparation and Characterization of Active and Intelligent Films Based on Fish Gelatin and Haskap Berries (Lonicera Caerulea L.) Extract. Food Packag. Shelf Life 2019, 22, 100417. [Google Scholar] [CrossRef]
- Jaber, B.A.; Majeed, K.R. Antioxidant and Antibacterial Activity of Β-Carotene Pigment Extracted From Parococcus Homiensis Strain BKA7 Isolated from Air of Basra, Iraq. Ann. Rom. Soc. Cell. Biol. 2021, 14006–14028. [Google Scholar]
- Gutiérrez-del-Río, I.; Fernández, J.; Lombó, F. Plant Nutraceuticals as Antimicrobial Agents in Food Preservation: Terpenoids, Polyphenols and Thiols. Int. J. Antimicrob. Agents 2018, 52, 309–315. [Google Scholar] [CrossRef] [PubMed]
- Shanmugapriya, K.; Kim, H.; Saravana, P.S.; Chun, B.-S.; Kang, H.W. Astaxanthin-Alpha Tocopherol Nanoemulsion Formulation by Emulsification Methods: Investigation on Anticancer, Wound Healing, and Antibacterial Effects. Colloids Surf. B. Biointerfaces 2018, 172, 170–179. [Google Scholar] [CrossRef] [PubMed]
- Contreras-Ortiz, J.M.E.; Barbabosa-Pliego, A.; Oros-Pantoja, R.; Aparicio-Burgos, J.E.; Zepeda-Escobar, J.A.; Hassan-Moustafa, W.H.; Ochoa-García, L.; Alonso-Fresan, M.U.; Borroto, E.T.; Vázquez-Chagoyán, J.C. Effects of Astaxanthin in Mice Acutely Infected with Trypanosoma Cruzi. Parasite 2017, 24, 17. [Google Scholar] [CrossRef]
- Brendler, T.; Williamson, E.M. Astaxanthin: How Much Is Too Much? A Safety Review. Phytother. Res. 2019, 33, 3090–3111. [Google Scholar] [CrossRef] [PubMed]
- Edwards, J.A.; Bellion, P.; Beilstein, P.; Rümbeli, R.; Schierle, J. Review of Genotoxicity and Rat Carcinogenicity Investigations with Astaxanthin. Regul. Toxicol. Pharmacol. 2016, 75, 5–19. [Google Scholar] [CrossRef] [PubMed]
- Kalpana, S.; Priyadarshini, S.R.; Maria Leena, M.; Moses, J.A.; Anandharamakrishnan, C. Intelligent Packaging: Trends and Applications in Food Systems. Trends Food Sci. Technol. 2019, 93, 145–157. [Google Scholar] [CrossRef]
- Neves, D.; Andrade, P.B.; Videira, R.A.; de Freitas, V.; Cruz, L. Berry Anthocyanin-Based Films in Smart Food Packaging: A Mini-Review. Food Hydrocoll. 2022, 133, 107885. [Google Scholar] [CrossRef]
- Nogueira, G.F.; de Oliveira, R.A.; Velasco, J.I.; Fakhouri, F.M. Methods of Incorporating Plant-Derived Bioactive Compounds into Films Made with Agro-Based Polymers for Application as Food Packaging: A Brief Review. Polymers 2020, 12, 2518. [Google Scholar] [CrossRef]
- Chen, P.; Xie, F.; McNally, T. Understanding the Effects of Montmorillonite and Sepiolite on the Properties of Solution-Cast Chitosan and Chitosan/Silk Peptide Composite Films. Polym. Int. 2021, 70, 527–535. [Google Scholar] [CrossRef]
- Adnan, M.; Obyedul Kalam Azad, M.; Seok Ju, H.; Min Son, J.; Ho Park, C.; Hwan Shin, M.; Alle, M.; Ha Cho, D. Development of Biopolymer-Mediated Nanocomposites Using Hot-Melt Extrusion to Enhance the Bio-Accessibility and Antioxidant Capacity of Kenaf Seed Flour. Appl. Nanosci. 2020, 10, 1305–1317. [Google Scholar] [CrossRef]
- Aina, K.S.; Oladimeji, A.O.; Agboola, F.Z.; Oguntayo, D.O. Dimensional Stability and Mechanical Properties of Extruded-Compression Biopolymer Composites Made from Selected Nigerian Grown Wood Species at Varying Proportions. Sci. Rep. 2022, 12, 10545. [Google Scholar] [CrossRef]
- Madruga, L.Y.C.; Kipper, M.J. Expanding the Repertoire of Electrospinning: New and Emerging Biopolymers, Techniques, and Applications. Adv. Healthc. Mater. 2022, 11, 2101979. [Google Scholar] [CrossRef] [PubMed]
- Ren, L.; Chen, J.; Lu, Q.; Han, J.; Wu, H. Anti-Biofouling Nanofiltration Membrane Constructed by in-Situ Photo-Grafting Bactericidal and Hydrophilic Polymers. J. Memb. Sci. 2021, 617, 118658. [Google Scholar] [CrossRef]
- Li, N.; Qiao, D.; Zhao, S.; Lin, Q.; Zhang, B.; Xie, F. 3D Printing to Innovate Biopolymer Materials for Demanding Applications: A Review. Mater. Today Chem. 2021, 20, 100459. [Google Scholar] [CrossRef]
- Gonçalves, A.; Estevinho, B.N.; Rocha, F. Characterization of Biopolymer-Based Systems Obtained by Spray-Drying for Retinoic Acid Controlled Delivery. Powder Technol. 2019, 345, 758–765. [Google Scholar] [CrossRef]
- Mathew, A.P.; Oksman, K. Processing of Bionanocomposites: Solution Casting. In Handbook of Green Materials: 2 Bionanocomposites: Processing, Characterization And Properties; World Scientific Publishing: Singapore, 2014; pp. 35–52. [Google Scholar] [CrossRef]
- Tupuna-Yerovi, D.S.; Schmidt, H.; de Oliveira Rios, A. Biodegradable Sodium Alginate Films Incorporated with Lycopene and β-Carotene for Food Packaging Purposes. Food Sci. Technol. Int. 2023. [Google Scholar] [CrossRef]
- Stoll, L.; Domenek, S.; Hickmann Flôres, S.; Nachtigall, S.M.B.; de Oliveira Rios, A. Polylactide Films Produced with Bixin and Acetyl Tributyl Citrate: Functional Properties for Active Packaging. J. Appl. Polym. Sci. 2021, 138, 50302. [Google Scholar] [CrossRef]
- Prabha, K.; Ghosh, P.; S, A.; Joseph, R.M.; Krishnan, R.; Rana, S.S.; Pradhan, R.C. Recent Development, Challenges, and Prospects of Extrusion Technology. Future Foods 2021, 3, 100019. [Google Scholar] [CrossRef]
- Sikora, J.; Majewski, Ł.; Puszka, A. Modern Biodegradable Plastics—Processing and Properties: Part I. Materials 2020, 13, 1986. [Google Scholar] [CrossRef] [PubMed]
- Kim, S.M.; Roy, S.; Yoon, K.S.; Rhim, J.-W. Preparation of low-density polyethylene-and poly (lactide)/poly (butylene adipate-co-terephthalate)-based antibacterial films integrated with elemental sulfur and sulfur nanoparticles. Packag. Technol. Sci. 2021, 34, 505–516. [Google Scholar] [CrossRef]
- Leal, I.L.; Silva Rosa, Y.C.; Silva Penha, J.; Cruz Correia, P.R.; Silva Melo, P.; Guimarães, D.H.; Barbosa, J.D.V.; Druzian, J.I.; Machado, B.A.S. Development and Application Starch Films: PBAT with Additives for Evaluating the Shelf Life of Tommy Atkins Mango in the Fresh-cut State. J. Appl. Polym. Sci. 2019, 136, 48150. [Google Scholar] [CrossRef]
- Dhar, P.; Gaur, S.S.; Soundararajan, N.; Gupta, A.; Bhasney, S.M.; Milli, M.; Kumar, A.; Katiyar, V. Reactive Extrusion of Polylactic Acid/Cellulose Nanocrystal Films for Food Packaging Applications: Influence of Filler Type on Thermomechanical, Rheological, and Barrier Properties. Ind. Eng. Chem. Res. 2017, 56, 4718–4735. [Google Scholar] [CrossRef]
- Aman Mohammadi, M.; Hosseini, S.M.; Yousefi, M. Application of Electrospinning Technique in Development of Intelligent Food Packaging: A Short Review of Recent Trends. Food Sci. Nutr. 2020, 8, 4656–4665. [Google Scholar] [CrossRef] [PubMed]
- Cheng, J.; Jun, Y.; Qin, J.; Lee, S.-H. Electrospinning versus Microfluidic Spinning of Functional Fibers for Biomedical Applications. Biomaterials 2017, 114, 121–143. [Google Scholar] [CrossRef] [PubMed]
- Rezaei, A.; Nasirpour, A.; Fathi, M. Application of Cellulosic Nanofibers in Food Science Using Electrospinning and Its Potential Risk. Compr. Rev. Food Sci. Food Saf. 2015, 14, 269–284. [Google Scholar] [CrossRef] [PubMed]
- Sameen, D.E.; Ahmed, S.; Lu, R.; Li, R.; Dai, J.; Qin, W.; Zhang, Q.; Li, S.; Liu, Y. Electrospun Nanofibers Food Packaging: Trends and Applications in Food Systems. Crit. Rev. Food Sci. Nutr. 2022, 62, 6238–6251. [Google Scholar] [CrossRef] [PubMed]
- Nieuwland, M.; Geerdink, P.; Brier, P.; van den Eijnden, P.; Henket, J.T.M.M.; Langelaan, M.L.P.; Stroeks, N.; van Deventer, H.C.; Martin, A.H. Food-Grade Electrospinning of Proteins. Innov. Food Sci. Emerg. Technol. 2013, 20, 269–275. [Google Scholar] [CrossRef]
- Pinheiro Bruni, G.; de Oliveira, J.P.; Gómez-Mascaraque, L.G.; Fabra, M.J.; Guimarães Martins, V.; Zavareze, E.d.R.; López-Rubio, A. Electrospun β-Carotene–Loaded SPI:PVA Fiber Mats Produced by Emulsion-Electrospinning as Bioactive Coatings for Food Packaging. Food Packag. Shelf Life 2020, 23, 100426. [Google Scholar] [CrossRef]
- Yildiz, Z.I.; Topuz, F.; Kilic, M.E.; Durgun, E.; Uyar, T. Encapsulation of Antioxidant Beta-Carotene by Cyclodextrin Complex Electrospun Nanofibers: Solubilization and Stabilization of Beta-Carotene by Cyclodextrins. Food Chem. 2023, 423, 136284. [Google Scholar] [CrossRef]
- Kumar, D.; Gihar, S.; Shrivash, M.K.; Kumar, P.; Kundu, P.P. A Review on the Synthesis of Graft Copolymers of Chitosan and Their Potential Applications. Int. J. Biol. Macromol. 2020, 163, 2097–2112. [Google Scholar] [CrossRef]
- Sadeghi, K.; Jee, H.-W.; Paeng, K.-J.; Seo, J. Photografting of Conducting Polymer onto Polymeric Substrate as Non-Migratory Antioxidant Packaging. React. Funct. Polym. 2021, 158, 104792. [Google Scholar] [CrossRef]
- Sadeghi, K.; Seo, J. Photografting of Biochelator onto Polypropylene Film as an Antioxidant Clean Label. Food Chem. 2021, 351, 129362. [Google Scholar] [CrossRef]
- Zhang, Y.; Lim, L.-T. Inkjet-Printed CO2 Colorimetric Indicators. Talanta 2016, 161, 105–113. [Google Scholar] [CrossRef] [PubMed]
- Bao, F.; Liang, Z.; Deng, J.; Lin, Q.; Li, W.; Peng, Q.; Fang, Y. Toward Intelligent Food Packaging of Biosensor and Film Substrate for Monitoring Foodborne Microorganisms: A Review of Recent Advancements. Crit. Rev. Food Sci. Nutr. 2022, 1–12. [Google Scholar] [CrossRef] [PubMed]
- Luo, X.; Ho, I.; Brankovan, S.; Lim, L.-T. Inkjet-Printed Gradient Colorimetric Indicators for Monitoring Fish Freshness. Food Packag. Shelf Life 2021, 29, 100719. [Google Scholar] [CrossRef]
- Xu, Y.; Liu, Z.; Liu, R.; Luo, M.; Wang, Q.; Cao, L.; Ye, S. Inkjet-Printed PH-Sensitive QR Code Labels for Real-Time Food Freshness Monitoring. J. Mater. Sci. 2021, 56, 18453–18462. [Google Scholar] [CrossRef]
- Fu, Y.; Dudley, E.G. Antimicrobial-coated Films as Food Packaging: A Review. Compr. Rev. Food Sci. Food Saf. 2021, 20, 3404–3437. [Google Scholar] [CrossRef] [PubMed]
- Zambrano-Zaragoza, M.L.; Quintanar-Guerrero, D.; Del Real, A.; Piñon-Segundo, E.; Zambrano-Zaragoza, J.F. The Release Kinetics of β-Carotene Nanocapsules/Xanthan Gum Coating and Quality Changes in Fresh-Cut Melon (Cantaloupe). Carbohydr. Polym. 2017, 157, 1874–1882. [Google Scholar] [CrossRef]
- Stoll, L.; Maillard, M.N.; Le Roux, E.; Hickmann Flôres, S.; Nachtigall, S.M.B.; Rios, A.; Domenek, S. Bixin, a Performing Natural Antioxidant in Active Food Packaging for the Protection of Oxidation Sensitive Food. LWT 2023, 180, 114730. [Google Scholar] [CrossRef]
- Lino, R.C.; de Carvalho, S.M.; Noronha, C.M.; Sganzerla, W.G.; da Rosa, C.G.; Nunes, M.R.; D’Avila, R.F.; Zambiazi, R.C.; Barreto, P.L.M. Production of Methylcellulose Films Functionalized with Poly-ε-Caprolactone Nanocapsules Entrapped β-Carotene for Food Packaging Application. Food Res. Int. 2022, 160, 111750. [Google Scholar] [CrossRef] [PubMed]
- Juan-Polo, A.; Maestre Pérez, S.E.; Monedero Prieto, M.; Sánchez Reig, C.; Tone, A.M.; Herranz Solana, N.; Beltrán Sanahuja, A. Oxygen scavenger and antioxidant LDPE/EVOH/PET-based films containing β-carotene intended for fried peanuts (Arachis hypogaea L.) packaging: Pilot scale processing and validation studies. Polymers 2022, 14, 3550. [Google Scholar] [CrossRef]
- Szabo, K.; Teleky, B.E.; Mitrea, L.; Călinoiu, L.F.; Martău, G.A.; Simon, E.; Varvara, R.A.; Vodnar, D.C. Active Packaging-Poly (Vinyl Alcohol) Films Enriched with Tomato by-Products Extract. Coatings 2020, 10, 141. [Google Scholar] [CrossRef]
- Asadi, S.; Pirsa, S. Production of Biodegradable Film Based on Polylactic Acid, Modified with Lycopene Pigment and TiO2 and Studying Its Physicochemical Properties. J. Polym. Environ. 2020, 28, 433–444. [Google Scholar] [CrossRef]
- Asdagh, A.; Pirsa, S. Bacterial and Oxidative Control of Local Butter with Smart/Active Film Based on Pectin/Nanoclay/Carum Copticum Essential Oils/β-Carotene. Int. J. Biol. Macromol. 2020, 165, 156–168. [Google Scholar] [CrossRef] [PubMed]
- Kim, S.; Kang, J.H.; Song, K. Bin Development of a Sword Bean (Canavalia gladiata) Starch Film Containing Goji Berry Extract. Food Bioprocess Technol. 2020, 13, 911–921. [Google Scholar] [CrossRef]
- López-Palestina, C.U.; Aguirre-Mancilla, C.L.; Raya-Pérez, J.C.; Ramirez-Pimentel, J.G.; Vargas-Torres, A.; Hernández-Fuentes, A.D. Physicochemical and Antioxidant Properties of Gelatin-Based Films Containing Oily Tomato Extract (Solanum Lycopersicum L.). CYTA—J. Food 2019, 17, 142–150. [Google Scholar] [CrossRef]
- Hamdi, M.; Nasri, R.; Li, S.; Nasri, M. Bioactive Composite Films with Chitosan and Carotenoproteins Extract from Blue Crab Shells: Biological Potential and Structural, Thermal, and Mechanical Characterization. Food Hydrocoll. 2019, 89, 802–812. [Google Scholar] [CrossRef]
- Assis, R.Q.; Pagno, C.H.; Costa, T.M.H.; Flôres, S.H.; de Oliveira Rios, A. Synthesis of Biodegradable Films Based on Cassava Starch Containing Free and Nanoencapsulated β-Carotene. Packag. Technol. Sci. 2018, 31, 157–166. [Google Scholar] [CrossRef]
- Hari, N.; Francis, S.; Rajendran Nair, A.G.; Nair, A.J. Synthesis, Characterization and Biological Evaluation of Chitosan Film Incorporated with β-Carotene Loaded Starch Nanocrystals. Food Packag. Shelf Life 2018, 16, 69–76. [Google Scholar] [CrossRef]
- Moura, L.E.; de Souza, C.O.; de Oliveira, E.A.S.; Lemos, P.V.F.; Druzian, J.I. Bioactive Efficacy of Low-Density Polyethylene Films with Natural Additives. J. Appl. Polym. Sci. 2018, 135, 46461. [Google Scholar] [CrossRef]
- Kanatt, S.R.; Jethwa, T.; Sawant, K.; Chawla, S.P. PVA-Gelatin Films Incorporated with Tomato Pulp: A Potential Primary Food Packaging Film. Int. J. Curr. Microbiol. Appl. Sci. 2017, 6, 1428–1441. [Google Scholar]
- Assis, R.Q.; Lopes, S.M.; Costa, T.M.H.; Flôres, S.H.; de Oliveira Rios, A. Active Biodegradable Cassava Starch Films Incorporated Lycopene Nanocapsules. Ind. Crops Prod. 2017, 109, 818–827. [Google Scholar] [CrossRef]
- Pagno, C.H.; de Farias, Y.B.; Costa, T.M.H.; de Oliveira Rios, A.; Flôres, S.H. Synthesis of Biodegradable Films with Antioxidant Properties Based on Cassava Starch Containing Bixin Nanocapsules. J. Food Sci. Technol. 2016, 53, 3197–3205. [Google Scholar] [CrossRef] [PubMed]
- Gómez-Estaca, J.; Calvo, M.M.; Sánchez-Faure, A.; Montero, P.; Gómez-Guillén, M.C. Development, Properties, and Stability of Antioxidant Shrimp Muscle Protein Films Incorporating Carotenoid-Containing Extracts from Food by-Products. LWT 2015, 64, 189–196. [Google Scholar] [CrossRef]
- de Freitas Zômpero, R.H.; López-Rubio, A.; de Pinho, S.C.; Lagaron, J.M.; de la Torre, L.G. Hybrid Encapsulation Structures Based on β-Carotene-Loaded Nanoliposomes within Electrospun Fibers. Colloids Surf. B. Biointerfaces 2015, 134, 475–482. [Google Scholar] [CrossRef]
- Iahnke, A.O.e.S.; Costa, T.M.H.; de Oliveira Rios, A.; Flôres, S.H. Residues of Minimally Processed Carrot and Gelatin Capsules: Potential Materials for Packaging Films. Ind. Crops Prod. 2015, 76, 1071–1078. [Google Scholar] [CrossRef]
- Medina-Jaramillo, C.; Ochoa-Yepes, O.; Bernal, C.; Famá, L. Active and Smart Biodegradable Packaging Based on Starch and Natural Extracts. Carbohydr. Polym. 2017, 176, 187–194. [Google Scholar] [CrossRef]
- Pagnan, C.S.; Mottin, A.C.; Oréfice, R.L.; Ayres, E.; Câmara, J.J.D. Annatto-Colored Poly(3-Hydroxybutyrate): A Comprehensive Study on Photodegradation. J. Polym. Environ. 2018, 26, 1169–1178. [Google Scholar] [CrossRef]





| Microorganism | Isolated Carotenoid and Byproducts | Ref. |
|---|---|---|
| Cyanobacteria Anabaena variabilis, Aphanizomenon flos-aquae, and Nostoc | canthaxanthin | [59] |
| Chlorella pyrenoidosa | lutein | [60] |
| Dictycoccus cinnabarinus | canthaxanthin | [61] |
| Dunaliella salina | β-carotene | [62] |
| Dunaliella tertiolecta | β-carotene | [63] |
| Haematococcus pluvialis | astaxanthin | [64] |
| Spongiococcum excetricum | lutein | [61] |
| Fungi and Blakeslea trispora yeasts | β-carotene and lycopene | [65] |
| Dacrymyces deliquescens | lutein | [61] |
| Phaffia rhodozyma | astaxanthin and β-carotene | [66] |
| Rhodotorula glutinis, and Rhodotorula graminis | torulene and β-carotene | [67] |
| Sporidiobolus salmonicolor | β-carotene | [68] |
| Bacterium Bradyrhizobium sp. | canthaxanthin | [69] |
| Mycobacterium lacticola | astaxanthin | [70] |
| Streptomyces chrestomyceticus | lycopene | [71] |
| Rhodococcus maris | xanthophylls | [72] |
| Blakeslea trispora | β-carotene | [73] |
| Dunaliella | β-carotene | [74] |
| Phaffia rhodozyma | Astaxanthin | [75] |
| Carotenoid Source | Polymer Matrix | Fabrication Method | Properties | References |
|---|---|---|---|---|
| Annatto seeds | Polylactic acid | Melt extrusion | The incorporation of the carotenoids enhanced the UV-blocking properties of UV-A and UV-B by 95% and 75%, respectively. | [130] |
| Tomatoes Carrots Sunflowers | Sodium alginate | Solution casting | The incorporation of carotenoids reduced the water vapor permeability of the films and improved their thermal stability and light transmission. | [107] |
| - | Methylcellulose | Solvent casting | The increase in the nanoparticles of carotene showed lower UV transmittance and improved the antioxidant activity of the films. | [131] |
| - | LDPE/EVOH/PET | Twin extrusion | The incorporation of peanut β-carotene in films delayed oxidative degradation. | [132] |
| Bixin | Polylactic acid | Solvent casting | The films exhibited higher UV shielding properties, up to 95% of UV-A and 90% of UV-B. | [108] |
| Carrot | Pectin | Vacuum filtration | Carrot-based pectin improved the film’s mechanical properties and enhanced its antioxidant activity. | [27] |
| Tomatoes | Polyvinyl alcohol/chitosan | Solvent casting | There was an increase in the antimicrobial activity against S. aureus and P. aeruginosa, with a MIC of <0.078 mg DW/mL. | [133] |
| Tomatoes | Polylactic acid/titanium oxide | Solvent casting | The moisture content, antioxidant activity, and film thickness were increased, and higher antimicrobial properties of the films against S. aureus and E. coli were observed. | [134] |
| - | Soy protein isolates/polyvinyl alcohol | Electrospinning | The electrospinning coating technique showed higher encapsulation. | [119] |
| Annatto seeds Tomatoes Goji Berries | Cellulose acetate | Solvent casting | The films exhibited higher antioxidant and barrier properties. | [36] |
| - | Pectin/nanoclay | Solvent casting | The incorporation of carotene enhances mechanical properties such as flexibility and strength. This also exhibited antioxidant activity of 74.2% and antimicrobial properties against B. cereus and E. coli. | [135] |
| Goji berry extract | Sword bean starch | Solution casting | The presence of carotenoids improved the UV-blocking and antioxidant properties by 95.66%. | [136] |
| Solanum lycopersicum L. | Gelatin | Solvent casting | The incorporation of the carotenoid exhibited lower tensile strength but enhanced elongation. The film also showed higher UV-blocking properties. | [137] |
| Blue carb shells | Chitosan | Solvent casting | The addition of carotene protein exhibited antimicrobial properties of 18 mm against S. enterica, 17 mm against E. coli and K. pneumoniae, and 16 mm against S. aureus. | [138] |
| Carrots | Cassava starch | Solvent casting | The films showed higher antioxidant and light barrier properties and elongation at a rupture with the incorporation of the carotene. | [139] |
| - | Chitosan/starch nanostructures | Solution casting | The films showed higher antioxidant properties. | [140] |
| - | Low-density polyethylene | Twin Extrusion | There was a significant reduction in thickness and mechanical, thermal, and water vapor barrier properties. | [141] |
| Tomato, carrot, and annatto seed | Polylactic acid | Solvent casting | The incorporation of carotenoids exhibited reduced oxygen permeability and high light barrier properties. The film also exhibited a higher elasticity of up to 50%. | [32] |
| Solanum lycopersicum | Polyvinyl alcohol/gelatin | Solution casting | Exhibited lower mechanical properties, higher antimicrobial activity against S. aureus and B. cereus, and antioxidant properties of 80%. | [142] |
| Tomatoes | Cassava starch | Solvent casting | Adding lycopene nanocapsules also increased the UV blocking property to 0.01%, as well as the antioxidant activity of the sunflower oil, with a peroxide value of 70.81 ± 0.15 mEq/kg. | [143] |
| Poly-e-caprolactone | Cassava starch | Solution casting | The films showed higher elongation at break, UV shielding, and antioxidant properties. | [144] |
| Tomatoes | Shrimp muscle protein | Solution casting | The films showed reduced water solubility to 30% in all the film samples at day 32 and higher UV-blocking properties. | [145] |
| - | Polyvinyl alcohol/polyethylene oxide | Electrospinning | The electrospinning technique of carotene exhibited UV shielding capability. | [146] |
| Carrot | Residual carrot/gelatin | Solvent casting | The increasing carotene has also contributed to the greater values of opacity and Young’s modulus, lower light transmission, and elongation at break. | [147] |
| White paper | Inkjet printing | The hue of all printed QR code labels is responsive to ammonia solution concentrations, proving that pH-sensitive QR code labels are obtained. | [127] |
| Polymer Matrix | Carotenoid | Food | Food Property Observations | References |
|---|---|---|---|---|
| Polylactic acid | Bixin | Sunflower oil | The films decreased the light transmission of UV-A by around 0.3% and UV-B by around 1.8%. The films containing bixin shielded oxygen-sensitive food from degradation and decreased the level of peroxides in sunflower oil (below 10 mEq/kg). | [130] |
| Sodium alginate | β-carotene and lycopene | Sunflower oil | Incorporating lycopene and β-carotene showed a remarkable protective effect on sunflower oil, with a peroxide index of 9.19 ± 1.58 mEq/kg. | [107] |
| LDPE/EVOH/PET | β-carotene | Peanuts | The peanuts packaged in β-carotene films had delayed oxidative degradation, with an oxygen-absorbing capacity of 1.7 ± 0.3 mL O2 per g. | [132] |
| Polylactic acid | Bixin | Food oil | Incorporating bixin in the films exhibited UV-A transmission values below 10% and UV-B light transmittance below 15%, resulting in lower oxidation properties. | [108] |
| Carrot pectin | Lipophilic carotenoid | Vegan ripened cashew | The developed film was able to preserve the vegan ripened cashew by improving the antioxidant properties of the film with carotenoids. | [27] |
| Cellulose acetate | Norbixin, zeaxanthin, or lycopene | Sunflower oil | The films containing norbixin and lycopene exhibited higher antioxidant properties than zeaxanthin and antimicrobial properties with inhibition zone diameters for B. cereus and E. coli. | [36] |
| Soy protein isolate/polyvinyl alcohol | β-carotene | Soybean oil | The electrospun coating showed a higher encapsulation of 65.0% ± 2.6%. They were 51.4% ± 0.9% effectively incorporated within their cores. The in vitro release assay in soybean oil that simulates fatty foods showed that the heat treatment (annealing) promoted a slower and more sustained release of the bioactive in the release medium. | [119] |
| Pectin/nanoclay | β-carotene | Butter | The incorporation of film exhibited a synergistic effect on the antimicrobial activity against the growth of B. cereus and E. coli. Therefore, antioxidant properties had a peroxide value of 1.1 in 90 days. | [135] |
| Cassava starch | β-carotene | Sunflower oil | The addition of β-carotene in the films exhibited a lower oxidation rate with an increase in peroxide value during the 30 days of storage, 2.22 ± 0.13 mEq/kg to 274.97 ± 0.45 mEq/kg, and higher UV-transmission properties with a value of 35.47 ± 1.51% at 210 nm. | [139] |
| Polyvinyl alcohol/gelatin | Lycopene | Chicken meat | The films incorporated with carotenoid enhanced the film’s antimicrobial properties against S. aureus and B. cereus, which increased the shelf life of chicken meat by preventing spoilage. | [142] |
| Cassava starch | Lycopene nanocapsules | Sunflower oil | The incorporation of lycopene in the films improved the UV-blocking property as well as increased the antioxidant activity of the sunflower oil. | [143] |
| Cassava starch | Bixin nanocapsules | Sunflower oil | The incorporation of bixin increased the oxidation rate of the sunflower oil, from an initial peroxide value of 1.92 ± 0.15 mEq/kg to 188.16 ± 3.56 mEq/kg after 30 days of storage. | [144] |
Disclaimer/Publisher’s Note: The statements, opinions and data contained in all publications are solely those of the individual author(s) and contributor(s) and not of MDPI and/or the editor(s). MDPI and/or the editor(s) disclaim responsibility for any injury to people or property resulting from any ideas, methods, instructions or products referred to in the content. |
© 2023 by the authors. Licensee MDPI, Basel, Switzerland. This article is an open access article distributed under the terms and conditions of the Creative Commons Attribution (CC BY) license (https://creativecommons.org/licenses/by/4.0/).
Share and Cite
Roy, S.; Deshmukh, R.K.; Tripathi, S.; Gaikwad, K.K.; Das, S.S.; Sharma, D. Recent Advances in the Carotenoids Added to Food Packaging Films: A Review. Foods 2023, 12, 4011. https://doi.org/10.3390/foods12214011
Roy S, Deshmukh RK, Tripathi S, Gaikwad KK, Das SS, Sharma D. Recent Advances in the Carotenoids Added to Food Packaging Films: A Review. Foods. 2023; 12(21):4011. https://doi.org/10.3390/foods12214011
Chicago/Turabian StyleRoy, Swarup, Ram Kumar Deshmukh, Shefali Tripathi, Kirtiraj K. Gaikwad, Sabya Sachi Das, and Devanshi Sharma. 2023. "Recent Advances in the Carotenoids Added to Food Packaging Films: A Review" Foods 12, no. 21: 4011. https://doi.org/10.3390/foods12214011
APA StyleRoy, S., Deshmukh, R. K., Tripathi, S., Gaikwad, K. K., Das, S. S., & Sharma, D. (2023). Recent Advances in the Carotenoids Added to Food Packaging Films: A Review. Foods, 12(21), 4011. https://doi.org/10.3390/foods12214011

