A Study on the Formation of Flavor Substances by Bacterial Diversity in the Fermentation Process of Canned Bamboo Shoots in Clear Water
Abstract
:1. Introduction
2. Materials and Methods
2.1. Preparation Process of Samples
2.2. Analysis of Microbial Diversity
2.2.1. DNA Purification and PCR Amplification
2.2.2. High-Throughput Sequencing and Sequence Analysis
2.3. Determination of FAAs
2.4. Isolation, Purification and Identification of L. lactis TJJ2
2.5. Detection of Decarboxylase by Cultivation Method
2.6. Statistical Analysis
3. Results and Discussion
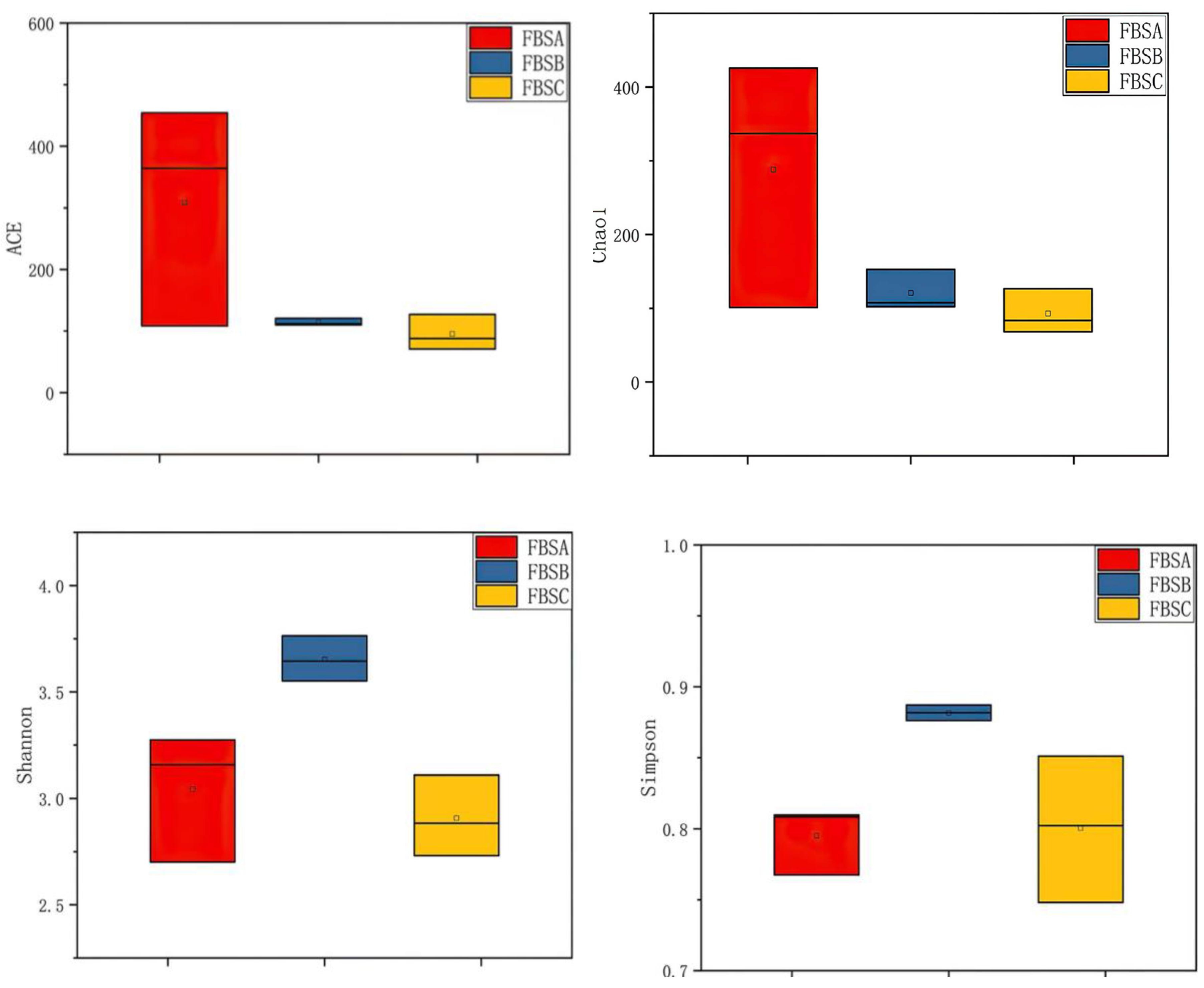
3.1. Changes in Bacterial Diversity during Fermentation
3.2. Cluster Analysis of Bacterial
3.3. Bacterial Community Composition
3.4. Correlation Analysis between Bacterial Genera and VFCs
3.5. The Changes in FAAs and the Correlation with Bacterial Genera
3.6. Identification of L. lactis TJJ2
3.7. Decarboxylase Validation Analysis
4. Conclusions
Author Contributions
Funding
Data Availability Statement
Acknowledgments
Conflicts of Interest
References
- Behera, S.S.; El Sheikha, A.F.; Hammami, R.; Kumar, A. Traditionally fermented pickles: How the microbial diversity associated with their nutritional and health benefits? J. Funct. Foods 2020, 70, 103971. [Google Scholar] [CrossRef]
- Du, R.P.; Song, G.; Zhao, D.; Sun, J.; Ping, W.X.; Ge, J.P. Lactobacillus casei starter culture improves vitamin content, increases acidity and decreases nitrite concentration during sauerkraut fermentation. Int. J. Food Sci. Technol. 2018, 53, 1925–1931. [Google Scholar] [CrossRef]
- Darmayanti, L.P.T.; Duwipayana, A.A.; Putra, I.N.K.; Antara, N.S. Preliminary Study of Fermented Pickle of Tabah Bamboo Shoot (Gigantochloa nigrociliata (Buese) Kurz). Int. J. Biol. Vet. Agric. Food Eng. 2014, 8, 1073–1078. [Google Scholar]
- Sarangthem, K.; Singh, T. Fermentation decreases the anti-nutritional content in bamboo shoots. Int. J. Curr. Microbiol. Appl. Sci. 2013, 2, 361–369. [Google Scholar]
- Sonar, N.R.; Vijayendra, S.V.N.; Prakash, M.; Saikia, M.; Tamang, J.P.; Halami, P.M. Nutritional and functional profile of traditional fermented bamboo shoot based products from Arunachal Pradesh and Manipur states of India. Int. Food Res. J. 2015, 22, 788–797. [Google Scholar]
- Devi, S.P.; Singh, H.T. Studies on the chemical and nutritional changes of bamboo shoots during fermentation. J. Food Sci. Technol. 1986, 23, 338–339. [Google Scholar]
- Agrahar-Murugkar, D.; Subbulakshmi, G. Preparation techniques and nutritive value of fermented foods from the Khasi tribes of Meghalaya. Ecol. Food Nutr. 2006, 45, 27–38. [Google Scholar] [CrossRef]
- Zang, J.; Yu, D.; Zhang, P.; Xu, Y.; Xia, W. The key enzymes and flavor precursors involved in formation of characteristic flavor compounds of low-salt fermented common carp (Cyprinus carpio L.). LWT 2022, 154, 112806. [Google Scholar] [CrossRef]
- Procopio, S.; Brunner, M. Differential transcribed yeast genes involved in flavour formation and its associated amino acid metabolism during brewery fermentation. Eur. Food Res. Technol. 2014, 239, 421–439. [Google Scholar] [CrossRef]
- Badwaik, L.S.; Borah, P.K.; Borah, K.; Das, A.J.; Deka, S.C.; Sharma, H.K. Influence of Fermentation on Nutritional Compositions, Antioxidant Activity, Total Phenolic and Microbial Load of Bamboo Shoot. Food Sci. Technol. Res. 2014, 20, 255–262. [Google Scholar] [CrossRef]
- Tamang, B.; Tamang, J.P. Lactic Acid Bacteria Isolated from Indigenous Fermented Bamboo Products of Arunachal Pradesh in India and Their Functionality. Food Biotechnol. 2009, 23, 133–147. [Google Scholar] [CrossRef]
- Hata, T.; Alemu, M.; Kobayashi, M.; Suzuki, C.; Nitisinprasert, S.; Ohmomo, S. Characterization of a Bacteriocin Produced by Enterococcus faecalis N1-33 and Its Application as a Food Preservative. J. Food Prot. 2009, 72, 524–530. [Google Scholar] [CrossRef]
- Tang, J.; Zhang, Z.; Zheng, S.; Gao, N.; Li, Z.; Li, K. Changes of Main Nutrient Components and Volatile Flavor Substances in Processing of Canned Bamboo Shoots. Fermentation 2021, 7, 293. [Google Scholar] [CrossRef]
- Minas, K.; McEwan, N.R.; Newbold, C.J.; Scott, K.P. Optimization of a high-throughput CTAB-based protocol for the extraction of qPCR-grade DNA from rumen fluid, plant and bacterial pure cultures. FEMS Microbiol. Lett. 2011, 325, 162–169. [Google Scholar] [CrossRef] [PubMed]
- Chen, C.; Zhang, J.; Lu, M.; Qin, C.; Chen, Y.; Yang, L.; Huang, Q.; Wang, J.; Shen, Z.; Shen, Q. Microbial communities of an arable soil treated for 8 years with organic and inorganic fertilizers. Biol. Fertil. Soils 2016, 52, 455–467. [Google Scholar] [CrossRef]
- Schloss, P.D.; Westcott, S.L.; Ryabin, T.; Hall, J.R.; Hartmann, M.; Hollister, E.B.; Lesniewski, R.A.; Oakley, B.B.; Parks, D.H.; Robinson, C.J. Introducing mothur: Open-source, platform-independent, community-supported software for describing and comparing microbial communities. Appl. Environ. Microbiol. 2009, 75, 7537–7541. [Google Scholar] [CrossRef] [PubMed]
- Chen, H.C.; Yi, Z.; Hannah, R. TBtools: An Integrative Toolkit Developed for Interactive Analyses of Big Biological Data. Mol. Plant 2020, 13, 1194–1202. [Google Scholar] [CrossRef] [PubMed]
- Guan-Yu, F.; Li-Juan, C.; Xiao-Zhong, Z.; Yu-Jian, J. Deciphering the succession patterns of bacterial community and their correlations with environmental factors and flavor compounds during the fermentation of Zhejiang rosy vinegar. J. Int. J. Food Microbiol. 2021, 341, 109070. [Google Scholar]
- Chi, H.; Lu, W.W.; Liu, G.Q.; Qin, Y.Y. Physiochemical property changes and mineral element migration behavior of bamboo shoots during traditional fermentation process. J. Food Process. Preserv. 2020, 44, e14784. [Google Scholar] [CrossRef]
- Park, J.H.; Ahn, H.J.; Kim, S.G.; Chung, C.H. Dextran-like exopolysaccharide-producing Leuconostoc and Weissella from kimchi and its ingredients. Food Sci. Biotechnol. 2013, 22, 1047–1053. [Google Scholar] [CrossRef]
- Lu, H.; Huang, C.; Yu, K.; Liu, Z. Effects of Mixed Inoculation of Leuconostoc Citreum and Lactobacillus Plantarum on Suansun (Sour Bamboo Shoot) Fermentation. Food Biosci. 2022, 47, 101688. [Google Scholar] [CrossRef]
- Montemurro, M.; Celano, G.; Angelis, M.; Gobbetti, M.; Pontonio, E.J.F.M. Selection of non-Lactobacillus strains to be used as starters for sourdough fermentation. Food Microbiol. 2020, 90, 103491. [Google Scholar] [CrossRef] [PubMed]
- Xia, X.J.; Ran, C.X.; Ye, X.J.; Li, G.N.; Kan, J.Q.; Zheng, J. Monitoring of the bacterial communities of bamboo shoots (Dendrocalamus latiflorus) during pickling process. Int. J. Food Sci. Technol. 2017, 52, 1101–1110. [Google Scholar] [CrossRef]
- Zhong, A.; Chen, W.; Duan, Y.; Li, K.; Tang, X.; Tian, X.; Wu, Z.; Li, Z.; Wang, Y.; Wang, C. The potential correlation between microbial communities and flavors in traditional fermented sour meat. LWT 2021, 149, 111873. [Google Scholar] [CrossRef]
- Singhal, P.; Bal, L.M.; Satya, S.; Sudhakar, P.; Naik, S.N. Bamboo Shoots: A Novel Source of Nutrition and Medicine. Crit. Rev. Food Sci. Nutr. 2013, 53, 517–534. [Google Scholar] [CrossRef]
- Xu, J.-J.; Fang, X.; Li, C.-Y.; Yang, L.; Chen, X.-Y. General and specialized tyrosine metabolism pathways in plants. Abiotech 2019, 1, 97–105. [Google Scholar] [CrossRef]
- Fernandez, M.; Zuniga, M. Amino acid catabolic pathways of lactic acid bacteria. Crit. Rev. Microbiol. 2006, 32, 155–183. [Google Scholar] [CrossRef]
- Jendresen, C.B.; Stahlhut, S.G.; Li, M.; Gaspar, P.; Siedler, S.; Forster, J.; Maury, J.; Borodina, I.; Nielsen, A.T. Highly Active and Specific Tyrosine Ammonia-Lyases from Diverse Origins Enable Enhanced Production of Aromatic Compounds in Bacteria and Saccharomyces cerevisiae. Appl. Environ. Microbiol. 2015, 81, 4458–4476. [Google Scholar] [CrossRef]
- Tieman, D.; Taylor, M.; Schauer, N.; Fernie, A.R.; Hanson, A.D.; Klee, H.J. Tomato aromatic amino acid decarboxylases participate in synthesis of the flavor volatiles 2-phenylethanol and 2-phenylacetaldehyde. Proc. Natl. Acad. Sci. USA 2006, 103, 8287–8292. [Google Scholar] [CrossRef]
- Buňková, L.; Buňka, F.; Hlobilová, M.; Vaňátková, Z.; Nováková, D.; Dráb, V. Tyramine production of technological important strains of Lactobacillus, Lactococcus and Streptococcus. Eur. Food Res. Technol. 2009, 229, 533–538. [Google Scholar] [CrossRef]
- Gummalla, S.; Broadbent, J.R. Tyrosine and Phenylalanine Catabolism by Lactobacillus Cheese Flavor Adjuncts. J. Dairy Sci. 2001, 48, 1011–1019. [Google Scholar] [CrossRef] [PubMed]
- Li, K.; Tang, J.J.; Zhang, Z.X.; Wu, Z.Q.; Zhong, A.A.; Li, Z.J.; Wang, Y.L. Correlation between flavor compounds and microorganisms of Chaling natural fermented red sufu. LWT Food Sci. Technol. 2022, 154, 112873. [Google Scholar] [CrossRef]
- Zhou, Z.L.; Liu, S.P.; Kong, X.W.; Ji, Z.W.; Han, X.; Wu, J.F.; Mao, J. Elucidation of the aroma compositions of Zhenjiang aromatic vinegar using comprehensive two dimensional gas chromatography coupled to time-of-flight mass spectrometry and gas chromatography-olfactometry. J. Chromatogr. A 2017, 1487, 218–226. [Google Scholar] [CrossRef] [PubMed]
- Jang, M.; Jeong, D.W.; Heo, G.; Kong, H.; Kim, C.T.; Lee, J.H. Genetic Background Behind the Amino Acid Profiles of Fermented Soybeans Produced by Four Bacillus spp. J. Microbiol. Biotechnol. 2021, 31, 447–455. [Google Scholar] [CrossRef]
- Wuthrich, D.; Wenzel, C.; Bavan, T.; Bruggmann, R.; Berthoud, H.; Irmler, S. Transcriptional Regulation of Cysteine and Methionine Metabolism in Lactobacillus paracasei FAM18149. Front. Microbiol. 2018, 9, 1261. [Google Scholar] [CrossRef]
- Shen, T.; Liu, J.; Wu, Q.; Xu, Y. Increasing 2-furfurylthiol content in Chinese sesame-flavored Baijiu via inoculating the producer of precursor l-cysteine in Baijiu fermentation. Food Res. Int. 2020, 138, 109757. [Google Scholar] [CrossRef]
- Allegrini, A.; Astegno, A.; La Verde, V.; Dominici, P. Characterization of C-S lyase from Lactobacillus delbrueckii subsp. bulgaricus ATCC BAA-365 and its potential role in food flavour applications. J. Biochem. 2017, 161, 349–360. [Google Scholar]
- Hidalgo, F.J.; Alcón, E.; Zamora, R. Cysteine- and serine-thermal degradation products promote the formation of Strecker aldehydes in amino acid reaction mixtures. Food Res. Int. 2013, 54, 1394–1399. [Google Scholar] [CrossRef]
- Tang, H.; Li, P.; Chen, L.; Ma, J.-K.; Guo, H.-H.; Huang, X.-C.; Zhong, R.-M.; Jing, S.-Q.; Jiang, L.-W. The formation mechanisms of key flavor substances in stinky tofu brine based on metabolism of aromatic amino acids. Food Chem. 2022, 392, 133253. [Google Scholar] [CrossRef]









| Taste | Nutrients | Sensory Threshold mg/100 mL | FBSA | FBSB | FBSC | |||
|---|---|---|---|---|---|---|---|---|
| Contents mg/100 g | TAV | Contents mg/100 g | TAV | Contents mg/100 g | TAV | |||
| Umami | Aspartic | 100 | 0.78 ± 0.02 b | 0.01 | 2.10 ± 0.10 a | 0.02 | 2.20 ± 0.10 a | 0.02 |
| Glutamic | 30 | 11.13 ± 1.01 b | 0.37 | 54.00 ± 1.00 a | 1.8 | 7.41 ± 0.41 c | 0.25 | |
| Sweet | Threonine | 260 | 10.00 ± 0.20 b | 0.04 | 7.03 ± 0.25 c | 0.03 | 16.00 ± 0.50 a | 0.06 |
| Serine | 150 | 12.13 ± 1.01 b | 0.08 | 11.00 ± 0.50 b | 0.07 | 32.07 ± 1.01 a | 0.21 | |
| Glycine | 130 | 1.23 ± 0.65 a | 0.01 | 1.17 ± 0.25 a | 0.01 | 1.60 ± 0.36 a | 0.01 | |
| Alanine | 60 | 14.00 ± 0.10 a | 0.23 | 12.00 ± 1.00 b | 0.2 | 10.07 ± 0.90 c | 0.17 | |
| Proline | 300 | ND | 5.87 ± 0.55 b | 0.02 | 16.03 ± 0.85 a | 0.05 | ||
| Bitter | Histidine | 20 | 6.60 ± 0.66 a | 0.33 | 4.50 ± 0.95 b | 0.23 | 5.80 ± 0.70 ab | 0.29 |
| Isoleucine | 90 | 8.73 ± 0.15 a | 0.01 | 5.10 ± 0.10 c | 0.06 | 7.17 ± 0.70 b | 0.08 | |
| Leucine | 190 | 4.40 ± 0.90 a | 0.02 | 4.03 ± 0.95 a | 0.02 | 5.57 ± 1.01 a | 0.03 | |
| Lysine | 50 | 3.00 ± 0.20 a | 0.06 | 2.23 ± 0.25 a | 0.04 | 3.00 ± 0.60 a | 0.06 | |
| Methionine | 30 | 2.13 ± 0.15 a | 0.07 | ND | ND | |||
| Phenylalanine | 90 | 4.26 ± 0.55 b | 0.05 | 6.14 ± 0.59 a | 0.07 | ND | ||
| Tyrosine | 91 | 450.57 ± 1.34 a | 4.95 | 270.67 ± 2.08 c | 2.97 | 360.23 ± 2.16 b | 3.96 | |
| Tasteless | Cysteine | - | 0.64 ± 0.11 a | - | 1.22 ± 0.09 a | - | 1.50 ± 0.21 a | - |
| Valine | - | 5.57 ± 0.35 b | - | 6.67 ± 0.80 b | - | 12.03 ± 1.00 a | - | |
| Carbon Source | Growth | Carbon Source | Growth | Carbon Source | Growth | Carbon Source | Growth |
|---|---|---|---|---|---|---|---|
| CK | - | D-Galactose | + | D-Melibiose | - | L-Arabinitol | - |
| Glycerol | - | D-Glucose | + | Sucrose | + | Salicin | + |
| Erythritol | - | D-Fructose | + | D-Trehalose | - | D-Cellobiose | + |
| D-Arabinose | - | D-Mannose | + | Inulin | - | D-Arabinitol | - |
| L-Arabinose | - | L-Sorbose | - | D-Melezitose | - | L-Rhamnose | - |
| D-Ribose | + | Esculin ferric citrate | + | D- Gentiobiose | + | Potassium Gluconate | - |
| D-Xylose | - | Dulcitol | - | Starch | + | L-Fucose | - |
| L-Xylose | - | Inositol | - | Glycogen | - | Arbutin | - |
| D-Ribose | - | Mannitol | - | Xylitol | - | D-Maltose | + |
| D-Lactose | + | Sorbitol | - | D-Raffinose | - | D-Fucose | - |
| α-Methyl-D-mannoside | - | D-Turanose | - | Potassium 5-ketogluconate | - | Amygdalin | + |
| α-Methyl-D-glucoside | - | N-Acetylglucosamine | + | β-Methyl-D-xyloside | - | Potassium 2-ketogluconate | - |
| D-Lyxose | - | D-Tagatose | - |
Disclaimer/Publisher’s Note: The statements, opinions and data contained in all publications are solely those of the individual author(s) and contributor(s) and not of MDPI and/or the editor(s). MDPI and/or the editor(s) disclaim responsibility for any injury to people or property resulting from any ideas, methods, instructions or products referred to in the content. |
© 2023 by the authors. Licensee MDPI, Basel, Switzerland. This article is an open access article distributed under the terms and conditions of the Creative Commons Attribution (CC BY) license (https://creativecommons.org/licenses/by/4.0/).
Share and Cite
Li, K.; Gao, N.; Tang, J.; Ma, H.; Jiang, J.; Duan, Y.; Li, Z. A Study on the Formation of Flavor Substances by Bacterial Diversity in the Fermentation Process of Canned Bamboo Shoots in Clear Water. Foods 2023, 12, 3478. https://doi.org/10.3390/foods12183478
Li K, Gao N, Tang J, Ma H, Jiang J, Duan Y, Li Z. A Study on the Formation of Flavor Substances by Bacterial Diversity in the Fermentation Process of Canned Bamboo Shoots in Clear Water. Foods. 2023; 12(18):3478. https://doi.org/10.3390/foods12183478
Chicago/Turabian StyleLi, Ke, Ning Gao, Jiaojiao Tang, Huiqin Ma, Jiayan Jiang, Yufan Duan, and Zongjun Li. 2023. "A Study on the Formation of Flavor Substances by Bacterial Diversity in the Fermentation Process of Canned Bamboo Shoots in Clear Water" Foods 12, no. 18: 3478. https://doi.org/10.3390/foods12183478
APA StyleLi, K., Gao, N., Tang, J., Ma, H., Jiang, J., Duan, Y., & Li, Z. (2023). A Study on the Formation of Flavor Substances by Bacterial Diversity in the Fermentation Process of Canned Bamboo Shoots in Clear Water. Foods, 12(18), 3478. https://doi.org/10.3390/foods12183478

