Sign in to use this feature.

Years

Between: -

Subjects

remove_circle_outline
remove_circle_outline
remove_circle_outline

Journals

Article Types

Countries / Regions

Search Results (1)

Search Parameters:
Keywords = Lactococcus lactis TJJ2

Order results
Result details
Results per page
Select all
Export citation of selected articles as:
14 pages, 3746 KB  
Article
A Study on the Formation of Flavor Substances by Bacterial Diversity in the Fermentation Process of Canned Bamboo Shoots in Clear Water
by Ke Li, Ning Gao, Jiaojiao Tang, Huiqin Ma, Jiayan Jiang, Yufan Duan and Zongjun Li
Foods 2023, 12(18), 3478; https://doi.org/10.3390/foods12183478 - 19 Sep 2023
Cited by 7 | Viewed by 2333
Abstract
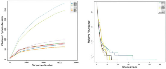
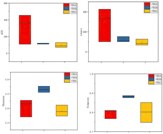
Canned bamboo shoots in clear water could produce a unique flavor through bacterial diversity via the fermentation process. Weissella, Streptococcus, Leuconostoc, Acinetobacter, Lactococcus and Lactobacillus were the main microorganisms. Tyrosine was the most abundant free amino acid (FAA), which [...] Read more.
Canned bamboo shoots in clear water could produce a unique flavor through bacterial diversity via the fermentation process. Weissella, Streptococcus, Leuconostoc, Acinetobacter, Lactococcus and Lactobacillus were the main microorganisms. Tyrosine was the most abundant free amino acid (FAA), which had a negative correlation with Lactococcus. Ten kinds of flavor substances, such as 3-methyl-1-butanol, acetic acid, 2-phenylethyl ester, benzene acetaldehyde, benzoic acid and ethyl ester, were important influential factors in the flavor of fermented bamboo shoots. Through the verification test of tyrosine and phenylalanine decarboxylase, it was found that Lactococcus lactis TJJ2 could decompose tyrosine and phenylalanine to produce benzaldehyde and benzene acetaldehyde, which provided the fermented bamboo shoots with a grassy aroma. Full article
(This article belongs to the Section Food Microbiology)
Show Figures

Figure 1

Back to TopTop