Pullulan-Based Active Coating Incorporating Potassium Metabisulfite Maintains Postharvest Quality and Induces Disease Resistance to Soft Rot in Kiwifruit
Abstract
1. Introduction
2. Materials and Methods
2.1. Fruit Materials
2.2. Experiment Design
2.3. Isolation, Purification and Identification of Pathogens
2.4. High-Throughput DNA Sequencing and Analysis
2.5. In Vitro Antifungal Activity
2.6. Coating Preparation and Application
2.7. In Vivo Antifungal Activity
2.8. Kiwifruit Treatment for Postharvest Study
2.9. Index Determination
2.9.1. Quality and Physiological Parameter Indexes
2.9.2. Total Phenolic and Flavonoid Contents
2.9.3. The SOD, POD, CAT and PAL Enzyme Activity and Gene Expression
2.9.4. Determination of ATP, ADP and AMP Content and Energy Charge
2.10. Data Analysis
3. Results
3.1. Identification and Microbial Community Diversity Analysis
3.2. In Vitro Antifungal Activity
3.3. In Vivo Antifungal Activity
3.4. Kiwifruit Quality
3.4.1. Incidence of Decay and Visual Appearance
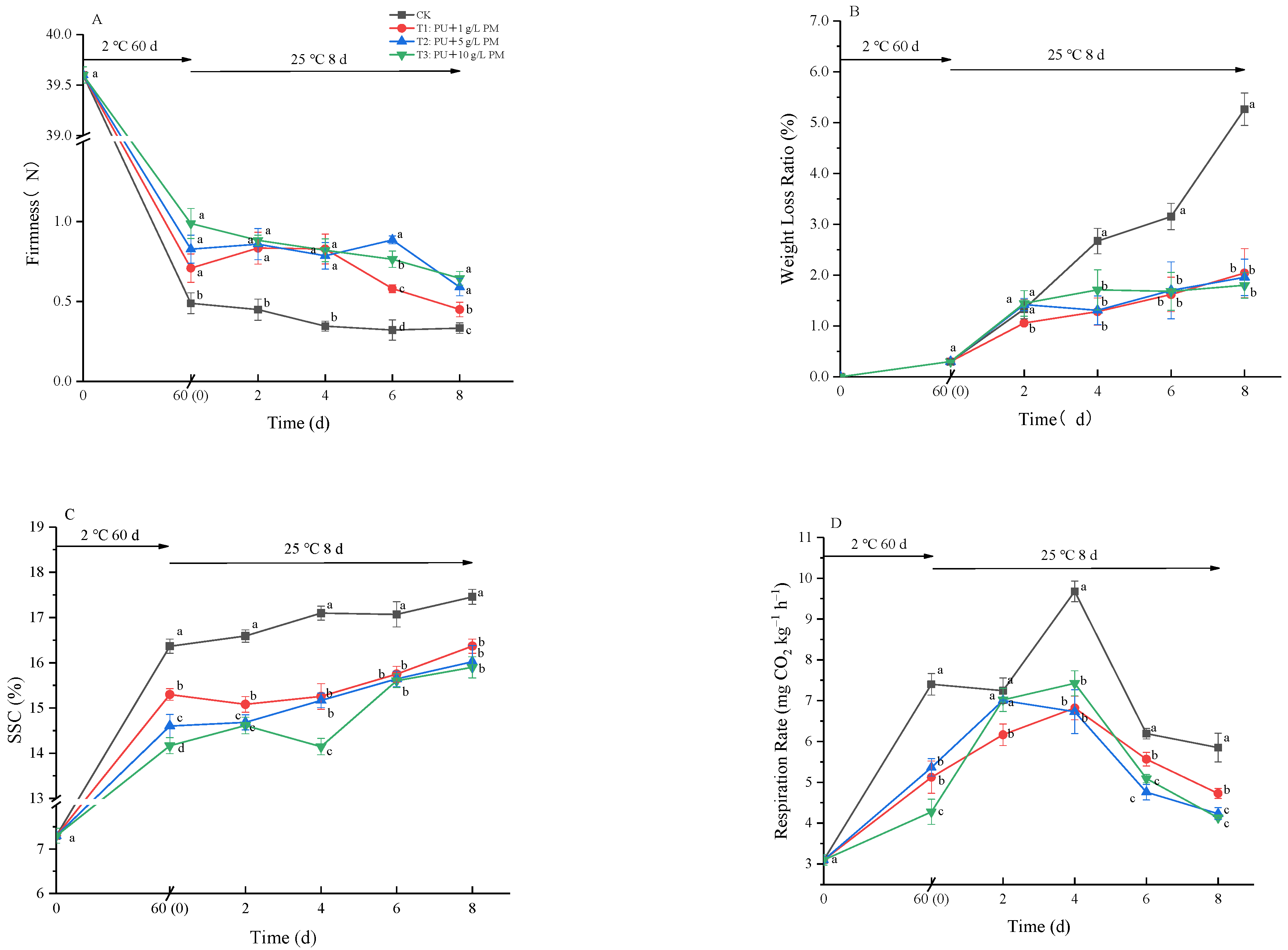
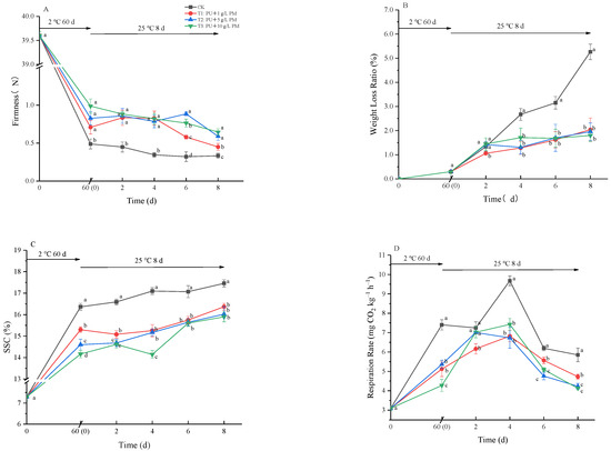
3.4.2. Effect of Pullulan Coating Combined with PM on Firmness, Respiration Rate, SSC, Weight Loss, Ethanol Content and Water Mobility in Harvested Kiwifruit
3.4.3. Effect of Pullulan Coating Combined with PM Treatment on Total Phenolic Content and Flavonoid Content in Harvested Kiwifruit
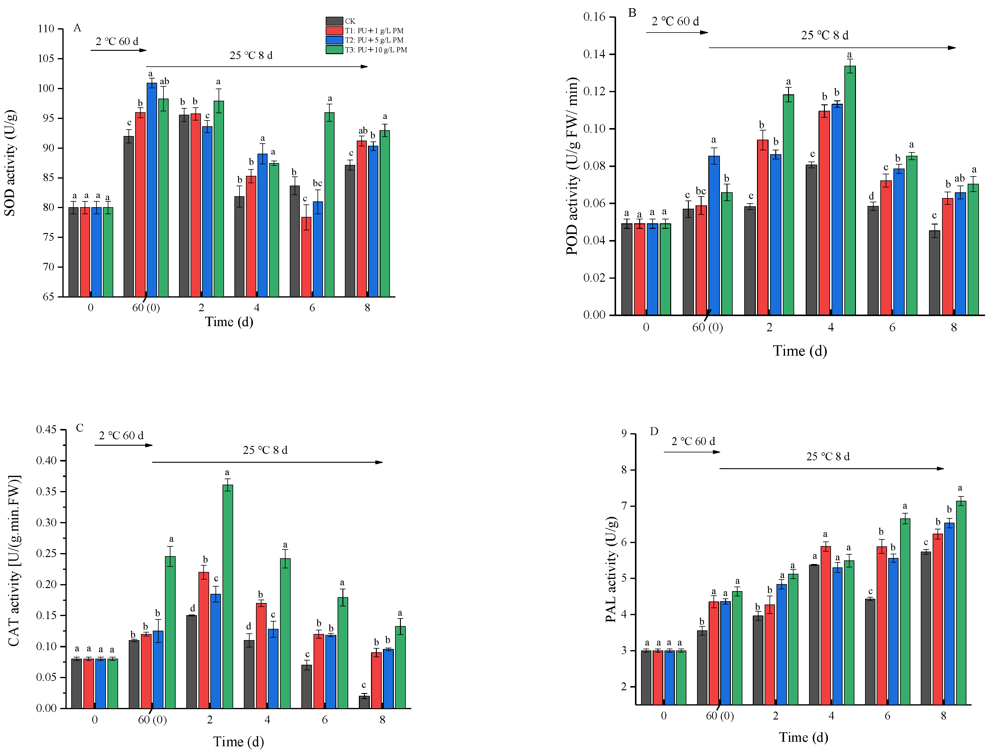
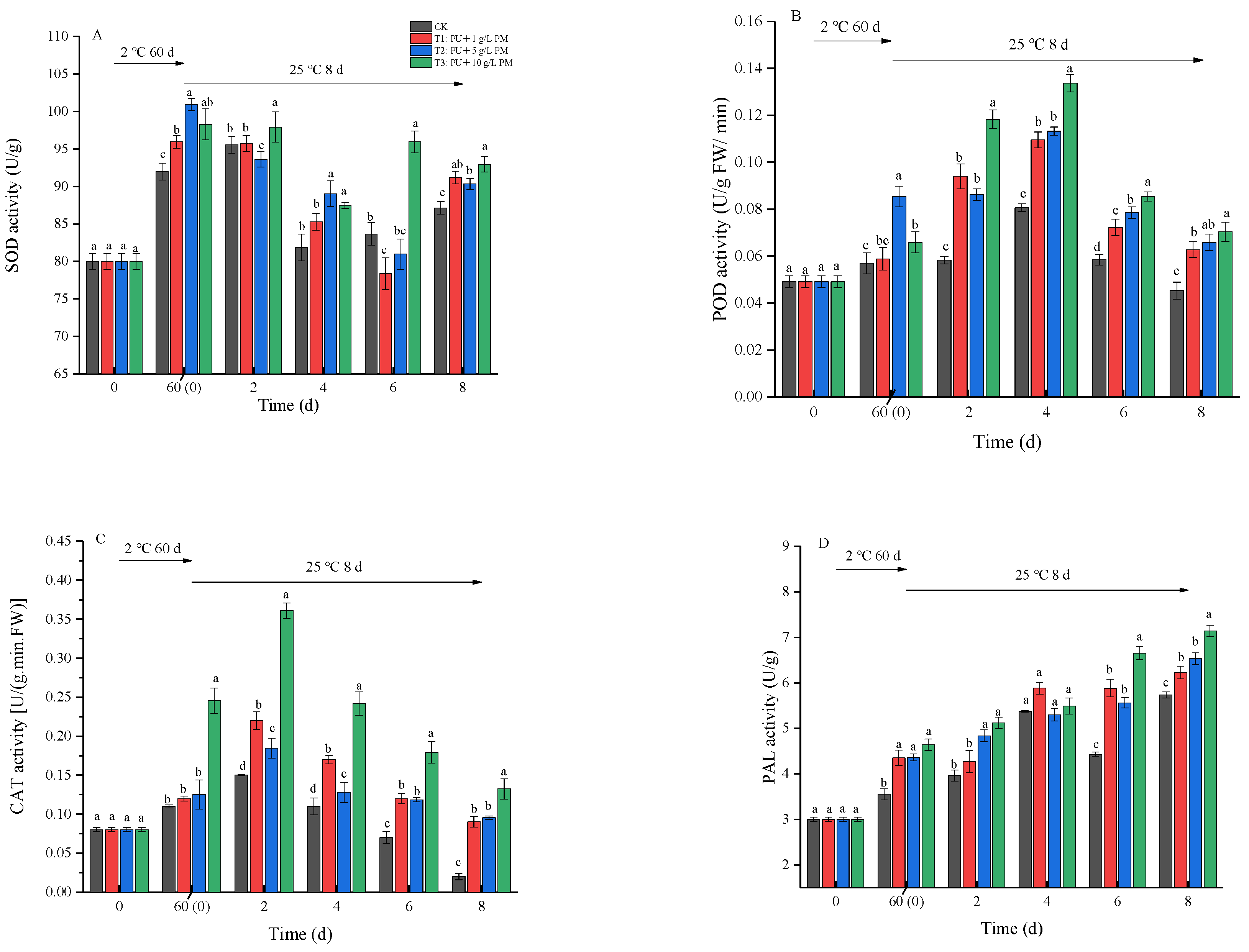
3.4.4. Effect of Pullulan Coating Combined with PM Treatment on Defense-Related Enzymes in Kiwifruit
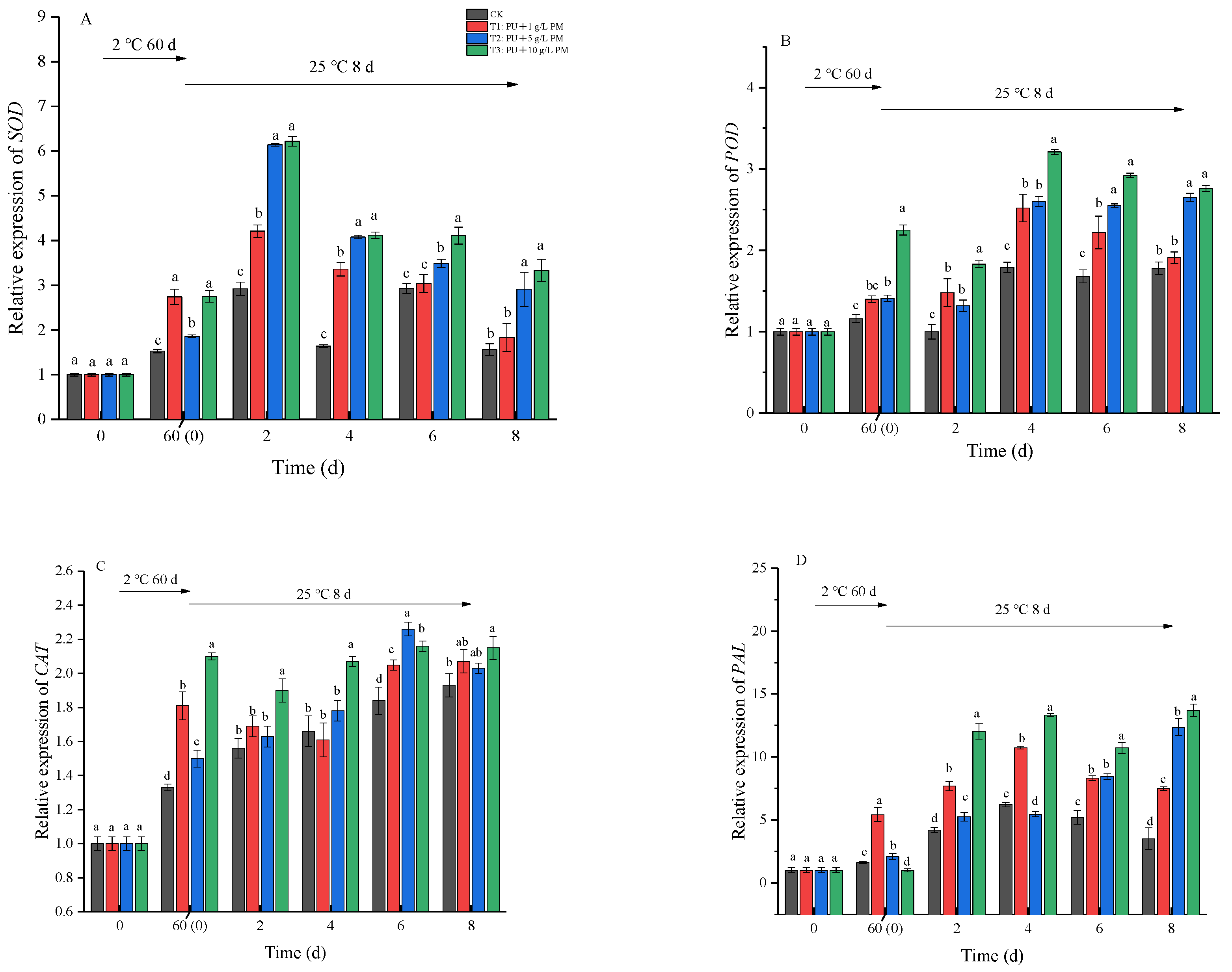
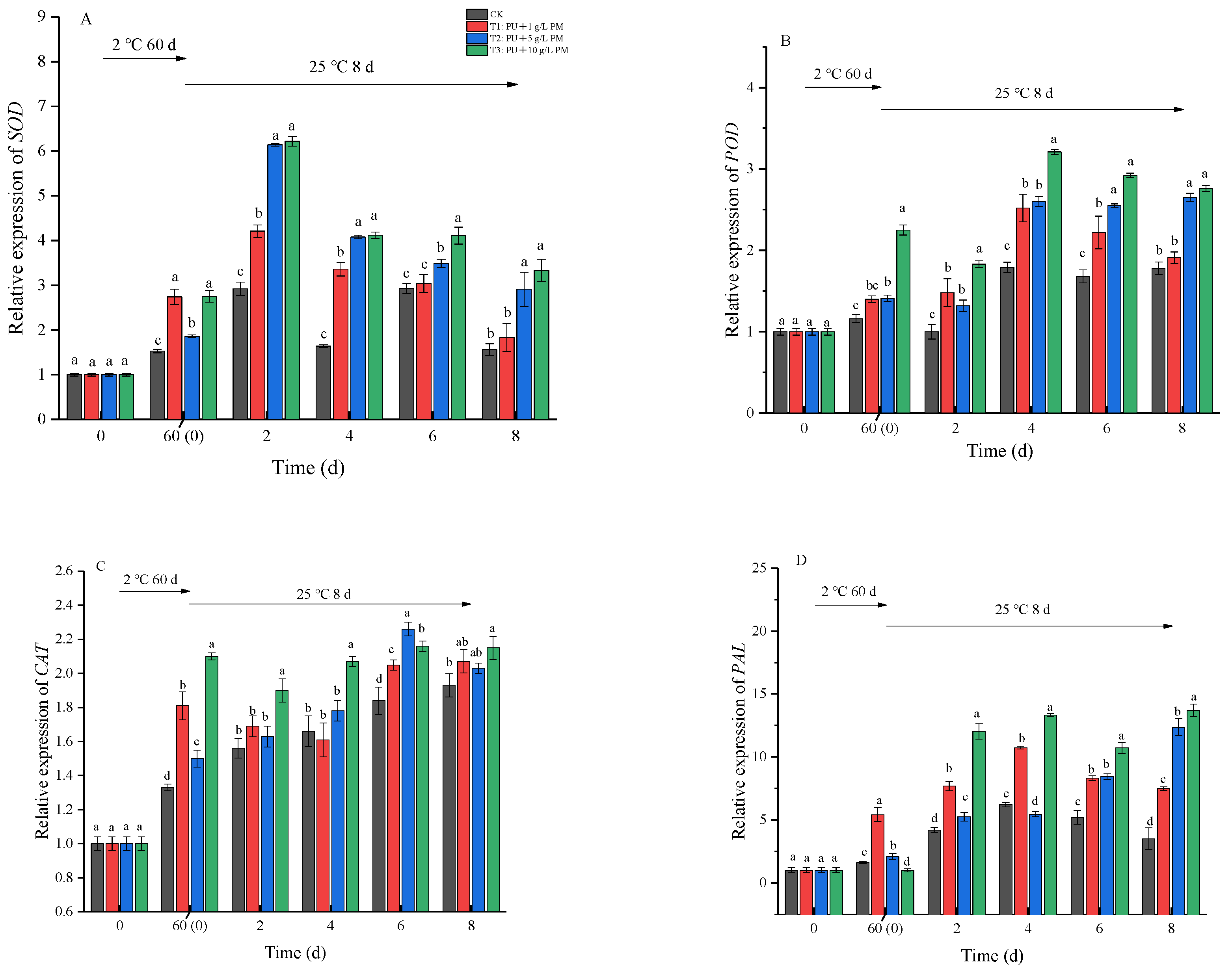
3.4.5. Effect of Pullulan Coating Combined with PM Treatment on Gene Expression of SOD, POD, CAT and PAL in Harvested Kiwifruit
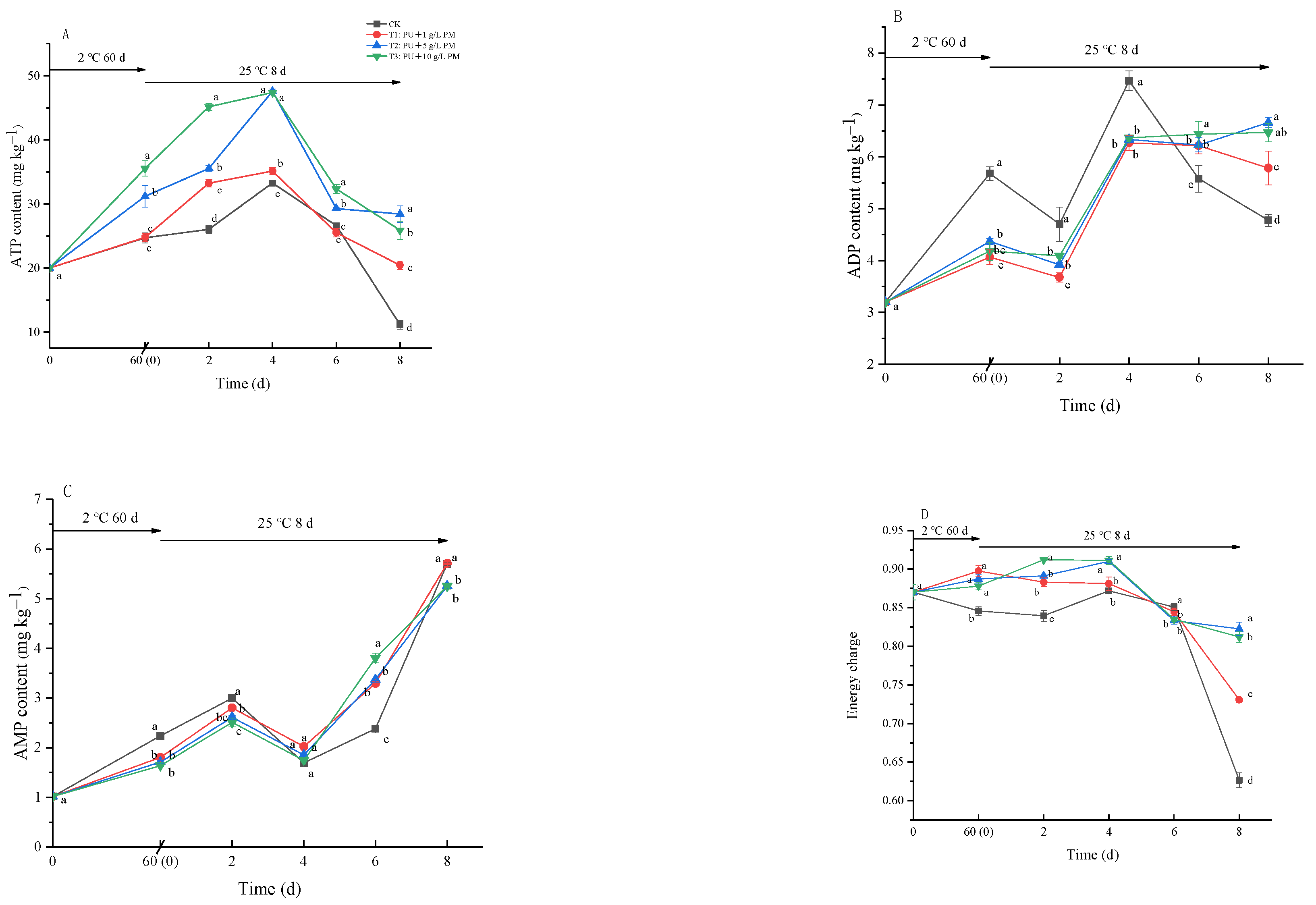
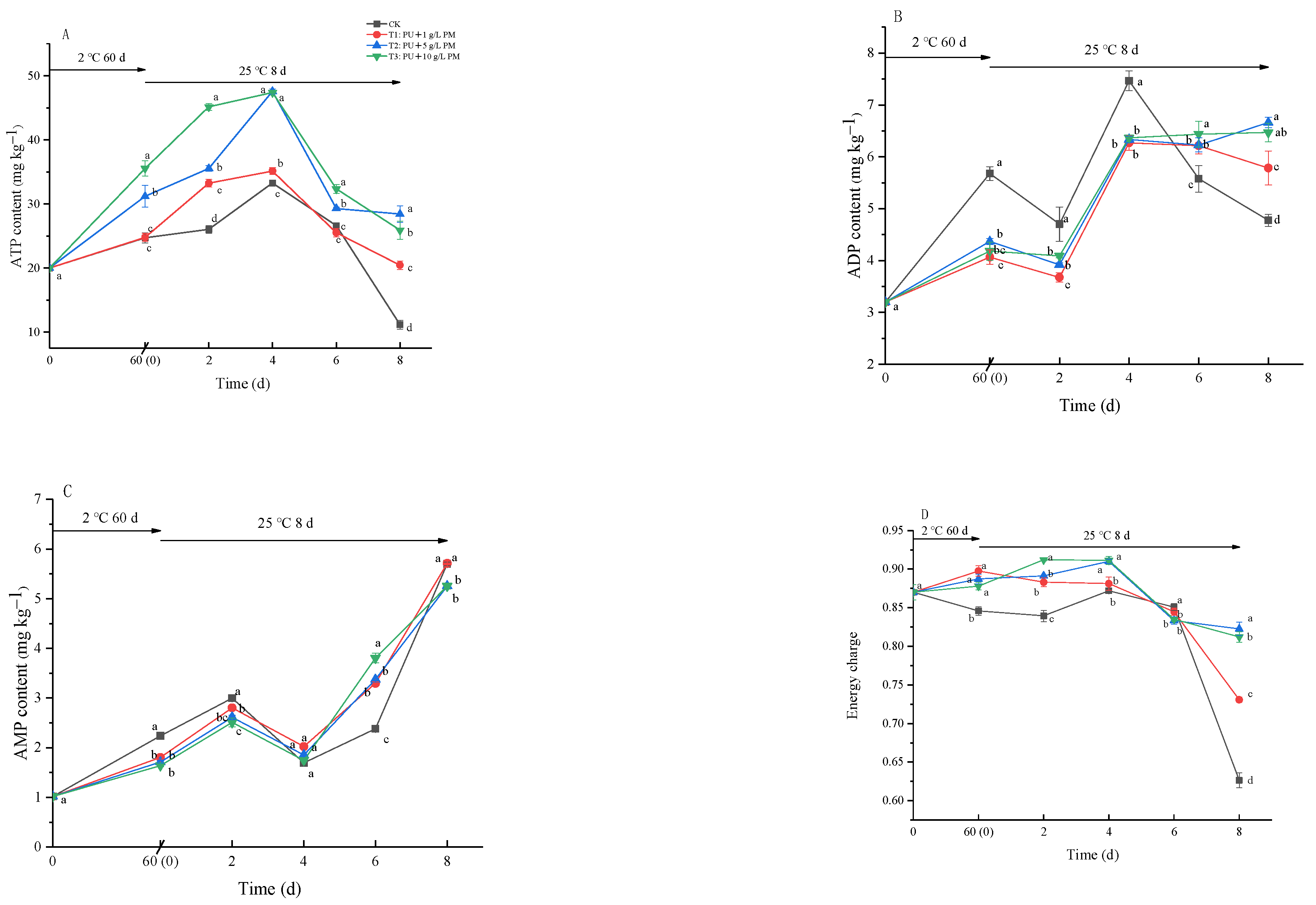
3.5. ATP, ADP and AMP Contents and Energy Charge (EC)
4. Discussion
5. Conclusions
Supplementary Materials
Author Contributions
Funding
Data Availability Statement
Conflicts of Interest
References
- Luo, A.; Bai, J.; Li, R.; Liu, Z.; Fang, Y.; Wang, D.; Huang, T.; Zhang, L.; Liang, J.; Kou, L. Difference of resistance to postharvest blue mold between Hongyang and Qihong kiwifruits. Food Chem. 2019, 285, 389–396. [Google Scholar] [CrossRef] [PubMed]
- Pan, L.; Zhao, X.; Chen, M.; Fu, Y.; Xiang, M.; Chen, J. Effect of exogenous methyl jasmonate treatment on disease resistance of postharvest kiwifruit. Food Chem. 2020, 305, 125483. [Google Scholar] [CrossRef] [PubMed]
- Li, L.; Pan, H.; Liu, W.; Chen, M.Y.; Zhong, C.H. First report of Alternaria alternata causing postharvest rot of kiwifruit in China. Plant Dis. 2017, 101, 1046. [Google Scholar] [CrossRef]
- Peng, J.; Zhu, S.; Lin, X.; Wan, X.; Zhang, Q.; Njie, A.; Luo, D.; Long, Y.; Fan, R.; Dong, X. Evaluation of Preharvest Melatonin on Soft Rot and Quality of Kiwifruit Based on Principal Component Analysis. Foods 2023, 12, 1414. [Google Scholar] [CrossRef] [PubMed]
- Martinez-Blay, V.; Taberner, V.; Perez-Gago, M.B.; Palou, L. Control of major citrus postharvest diseases by sulfur-containing food additives. Int. J. Food Microblol. 2020, 330, 108713. [Google Scholar] [CrossRef] [PubMed]
- Shah, S.; Hashmi, M.S.; Qazi, I.M.; Durrani, Y.; Sarkhosh, A.; Hussain, I.; Brecht, J.K. Pre-storage chitosan-thyme oil coating control anthracnose in mango fruit. Sci. Hortic. 2021, 284, 110139. [Google Scholar] [CrossRef]
- Tang, X.; Ouyang, Q.; Jing, G.; Shao, X.; Tao, N. Antifungal mechanism of sodium dehydroacetate against Geotrichum citri-aurantii. World. J. Microb Biot. 2018, 34, 29. [Google Scholar] [CrossRef]
- Hua, C.; Li, Y.; Wang, X.; Kai, K.; Su, M.; Shi, W.; Zhang, D.; Liu, Y. The effect of low and high molecular weight chitosan on the control of gray mold (Botrytis cinerea) on kiwifruit and host response. Sci. Hortic. 2019, 246, 700–709. [Google Scholar] [CrossRef]
- Chu, Y.; Gao, C.; Liu, X.; Zhang, N.; Xu, T.; Feng, X.; Yang, Y.; Shen, X.; Tang, X. Improvement of storage quality of strawberries by pullulan coatings incorporated with cinnamon essential oil nanoemulsion. Lwt-Food Sci. Technol. 2020, 122, 109054. [Google Scholar] [CrossRef]
- Synowiec, A.; Gniewosz, M.; Krasniewska, K.; Chlebowska-Smigiel, A.; Przybył, J.L.; Bączek, K.; Węglarz, Z. Effect of meadowsweet flower extract-pullulan coatings on rhizopus rot development and postharvest quality of cold-stored red peppers. Molecules 2014, 19, 12925–12939. [Google Scholar] [CrossRef]
- Pobiega, K.; Przybył, J.L.; Żubernik, J.; Gniewosz, M. Prolonging the shelf life of cherry tomatoes by pullulan coating with ethanol extract of propolis during refrigerated storage. Food Bioprocess Technol. 2020, 13, 1447–1461. [Google Scholar] [CrossRef]
- Zhang, Q.; Shi, W.; Zhou, B.; Du, H.; Xi, L.; Zou, M.; Zou, H.; Xin, L.; Gao, Z.; Chen, L. Variable characteristics of microbial communities on the surface of sweet cherries under different storage conditions. Postharvest Biol. Technol. 2020, 173, 111408. [Google Scholar] [CrossRef]
- Duan, X.; Ou Yang, Q.; Jing, G.; Tao, N. Effect of sodium dehydroacetate on the development of sour rot on Satsuma mandarin. Food Control. 2016, 65, 8–13. [Google Scholar] [CrossRef]
- Kou, J.; Wei, C.; Zhao, Z.; Guan, J.; Wang, W. Effects of ethylene and 1-methylcyclopropene treatments on physiological changes and ripening-related gene expression of ‘Mopan’ persimmon fruit during storage. Postharvest Biol. Technol. 2020, 166, 111185. [Google Scholar] [CrossRef]
- Burdon, J.; Pidakala, P.; Martin, P.; Billing, D. Softening of ‘Hayward’ kiwifruit on the vine and in storage: The effects of temperature. Sci. Hortic. 2017, 220, 176–182. [Google Scholar] [CrossRef]
- Ali, M.; Raza, M.A.; Li, S.; Zhou, L.; Huan, C.; Shuling, S.; Zheng, X. 1-MCP regulates ethanol fermentation and GABA shunt pathway involved in kiwifruit quality during postharvest storage. Hortic. Plant J. 2021, 7, 23–30. [Google Scholar] [CrossRef]
- Liu, Y.; Zeng, Y.; Hu, R.; Sun, X. Effect of contact ultrasonic power on moisture migration during far-infrared radiation drying of kiwifruit. J. Food Process. Eng. 2019, 42, e13235. [Google Scholar] [CrossRef]
- Liu, J.; Kennedy, J.F.; Zhang, X.; Heng, C.; Chen, W.; Chen, Z.; Wu, X.; Wu, X. Preparation of alginate oligosaccharide and its effects on decay control and quality maintenance of harvested kiwifruit. Carbohydr. Polym. 2020, 242, 116462. [Google Scholar] [CrossRef]
- Wang, Y.S.; Tian, S.P.; Xu, Y.; Qin, G.Z.; Yao, H. Changes in the activities of pro-and anti-oxidant enzymes in peach fruit inoculated with Cryptococcus laurentii or Penicillium expansum at 0 or 20 °C. Postharvest Biol. Technol. 2004, 34, 21–28. [Google Scholar] [CrossRef]
- Lin, Y.; Lin, H.; Fan, Z.; Wang, H.; Lin, M.; Chen, Y.; Lin, Y. Inhibitory effect of propyl gallate on pulp breakdown of longan fruit and its relationship with ROS metabolism. Postharvest Biol. Technol. 2020, 168, 111272. [Google Scholar] [CrossRef]
- Petriccione, M.; Mastrobuoni, F.; Zampella, L.; Scortichini, M. Reference gene selection for normalization of RT-qPCR gene expression data from Actinidia deliciosa leaves infected with Pseudomonas syringae pv. actinidiae. Sci. Rep.-UK 2015, 5, 16961. [Google Scholar] [CrossRef] [PubMed]
- Wu, B.; Guo, Q.; Li, Q.; Ha, Y.; Li, X. Impact of postharvest nitric oxide treatment on antioxidant enzymes and related genes in banana fruit in response to chilling tolerance. Postharvest Biol. Technol. 2014, 92, 157–163. [Google Scholar] [CrossRef]
- Wurms, K.V.; Gould, E.; Chee, A.A.; Taylor, J.; Curran, B.; Reglinski, T. Elicitor induction of defence genes and reduction of bacterial canker in kiwifruit. N. Z. Plant Prot. 2017, 70, 272–284. [Google Scholar] [CrossRef][Green Version]
- Liu, F.; Yang, N.; Zhang, L.; Cui, B.; Jin, Y.; Jin, Z. Magnetic field delays the senescence of strawberries by maintaining energy state and regulating respiratory metabolism. Postharvest Biol. Technol. 2023, 199, 112282. [Google Scholar] [CrossRef]
- Meena, N.K.; Baghel, M.; Jain, S.K.; Asrey, R. Postharvest biology and technology of kiwifruit. In Postharvest Biology and Technology of Temperate Fruits; Springer: Cham, Switzerland, 2018; pp. 299–329. [Google Scholar] [CrossRef]
- Zhu, Y.; Yu, J.; Brecht, J.K.; Jiang, T.; Zheng, X. Pre-harvest application of oxalic acid increases quality and resistance to Penicillium expansum in kiwifruit during postharvest storage. Food Chem. 2016, 190, 537–543. [Google Scholar] [CrossRef] [PubMed]
- Hashmi, M.S.; East, A.R.; Palmer, J.S.; Heyes, J.A. Hypobaric treatment stimulates defence-related enzymes in strawberry. Postharvest Biol. Technol. 2013, 85, 77–82. [Google Scholar] [CrossRef]
- Sivakumar, D.; Wijeratnam, R.S.; Wijesundera, R.L.C.; Abeyesekere, M. Control of postharvest diseases of rambutan using controlled atmosphere storage and potassium metabisulphite or Trichoderma harzianum. Phytoparasitica 2002, 30, 403–409. [Google Scholar] [CrossRef]
- Riva, S.C.; Opara, U.O.; Fawole, O.A. Recent developments on postharvest application of edible coatings on stone fruit: A review. Sci. Hortic. 2020, 262, 109074. [Google Scholar] [CrossRef]
- Qiu, J.Y.; Liu, C.Y.; Li, Y.Q.; Xie, B.Y.; Zhu, Z.Y. Effects of postharvest treatment with pullulan, calcium chloride, and chitosan on quality and sugar metabolism of Annona squamosa during storage. J. Food Process Preserv. 2022, 46, e16615. [Google Scholar] [CrossRef]
- Tylewicz, U.; Panarese, V.; Laghi, L.; Rocculi, P.; Nowacka, M.; Placucci, G.; Dalla-Rosa, M. NMR and DSC water study during osmotic dehydration of Actinidia deliciosa and Actinidia chinensis kiwifruit. Food Biophys. 2011, 6, 327–333. [Google Scholar] [CrossRef]
- Kumar, N.; Neeraj; Pratibha; Singla, M. Enhancement of storage life and quality maintenance of litchi (Litchi chinensis Sonn.) fruit using chitosan: Pullulan blend antimicrobial edible coating. Int. J. Fruit Sci. 2020, 20, 1662–1680. [Google Scholar] [CrossRef]
- Ge, M.; Zhang, L.; Ai, J.; Ji, R.; He, L.; Liu, C.H. Effect of heat shock and potassium sorbate treatments on gray mold and postharvest quality of ‘XuXiang’ kiwifruit. Food Chem. 2020, 324, 126891. [Google Scholar] [CrossRef] [PubMed]
- Apel, K.; Hirt, H. Reactive oxygen species: Metabolism, oxidative stress, and signal transduction. Annu. Rev. Plant Biol. 2004, 55, 373–399. [Google Scholar] [CrossRef] [PubMed]
- Xu, F.; Liu, S.; Liu, Y.; Xu, J.; Liu, T.; Dong, S. Effectiveness of lysozyme coatings and 1-MCP treatments on storage and preservation of kiwifruit. Food Chem. 2019, 288, 201–207. [Google Scholar] [CrossRef]
- Chen, Y.; Hung, Y.C.; Chen, M.; Lin, M.; Lin, H. Enhanced storability of blueberries by acidic electrolyzed oxidizing water application may be mediated by regulating ROS metabolism. Food Chem. 2019, 270, 229–235. [Google Scholar] [CrossRef] [PubMed]
- Zhang, S.; Lin, H.; Lin, Y.; Lin, Y.; Hung, Y.C.; Chen, Y.; Wang, H.; Shi, J. Energy status regulates disease development and respiratory metabolism of Lasiodiplodia theobromae (Pat.) Griff. & Maubl.-infected longan fruit. Food Chem. 2017, 231, 238–246. [Google Scholar] [CrossRef] [PubMed]
- Hu, W.; Zhang, X.; Godana, E.A.; Gu, X.; Zhao, L.; Zhang, H. Yarrowia lipolytica reduces the disease incidence of asparagus infected by Fusarium proliferatum by affecting respiratory metabolism and energy status. Biol. Control. 2021, 159, 104625. [Google Scholar] [CrossRef]
- Chen, Y.; Lin, H.; Zhang, S.; Sun, J.; Lin, Y.; Wang, H.; Shi, J. Phomopsis longanae Chi-induced disease development and pericarp browning of harvested longan fruit in association with energy metabolism. Front. Microbiol. 2018, 9, 1454. [Google Scholar] [CrossRef]









| Gene | Gene Bank Accession Number | Forward Primer (5′-3′) | Reference |
|---|---|---|---|
| Actin | FG520231 | F: GCAGGAATCCATGAGACTACC R: GTCTGCGATACCAGGGAACAT | [21] |
| SOD | FG471220 | F: CACAAGAAGCACCACCAGAC R: TCTGCAATTTGACGACGGTG | [21] |
| POD | FJ422811 | F: TCTGTCGTCTTCTGTTTGTATGG R: CTCCTCCTTTGAGAGGGTTATTG | [22] |
| CAT | FG470670 | F: GCTTGGACCCAACTATCTGC R: TTGACCTCCTCATCCCTGTG | [21] |
| PAL | AAC18870 | F: AAACGACAACCCCTTGATTG R: ACAAGCTCCGAAATTTGTGC | [23] |
| Food Additive | Concentration (g/L) | Inhibition of Diaporthe sp. (%) | Inhibition of Botryosphaeria dothidea (%) | Inhibition of Phomopsis sp. (%) | Inhibition of Alternaria sp. (%) | ||||
|---|---|---|---|---|---|---|---|---|---|
| Day2 | Day8 | Day2 | Day8 | Day2 | Day8 | Day2 | Day8 | ||
| SD | 0.05 | 73.71 ± 0.43 d | 20.09 ± 0.1 e | 94.73 ± 0.06 b | 61.40 ± 0.08 d | 88.36 ± 0.37 c | 16.54 ± 0.52 e | 100 ± 0.00 a | 11.71 ± 0.43 b |
| 0.25 | 93.27 ± 0.28 c | 60.52 ± 0.33 d | 100 ± 0.00 a | 89.83 ± 0.05 c | 94.30 ± 0.21 b | 52.82 ± 0.22 d | 100 ± 0.00 a | 100 ± 0.00 a | |
| 0.5 | 96.09 ± 0.18 b | 71.38 ± 0.14 c | 100 ± 0.00 a | 97.25 ± 0.52 b | 100 ± 0.00 a | 84.63 ± 0.36 c | 100 ± 0.00 a | 100 ± 0.00 a | |
| 0.75 | 100 ± 0.00 a | 92.28 ± 0.15 b | 100 ± 0.00 a | 100 ± 0.00 a | 100 ± 0.00 a | 94.21 ± 0.41 b | 100 ± 0.00 a | 100 ± 0.00 a | |
| 1 | 100 ± 0.00 a | 100 ± 0.00 a | 100 ± 0.00 a | 100 ± 0.00 a | 100 ± 0.00 a | 100 ± 0.00 a | 100 ± 0.00 a | 100 ± 0.00 a | |
| PM | 0.05 | 63.83 ± 0.63 b | 10.32 ± 0.21 c | 44.46 ± 0.33 d | 11.81 ± 0.18 d | 34.28 ± 0.29 c | 0.00 ± 0.00 d | 88.05 ± 0.19 c | 12.63 ± 0.22 e |
| 0.25 | 100 ± 0.00 a | 18.59 ± 0.37 b | 74.33 ± 0.26 c | 20.76 ± 0.24 c | 72.41 ± 0.44 b | 0.00 ± 0.00 d | 98.47 ± 0.11 b | 38.38 ± 0.28 d | |
| 0.5 | 100 ± 0.00 a | 100 ± 0.00 a | 80.03 ± 0.20 b | 79.33 ± 0.65 b | 100 ± 0.00 a | 63.62 ± 0.34 c | 100 ± 0.00 a | 56.69 ± 0.28 c | |
| 0.75 | 100 ± 0.00 a | 100 ± 0.00 a | 100 ± 0.00 a | 100 ± 0.00 a | 100 ± 0.00 a | 97.18 ± 0.25 b | 100 ± 0.00 a | 63.57 ± 1.79 b | |
| 1 | 100 ± 0.00 a | 100 ± 0.00 a | 100 ± 0.00 a | 100 ± 0.00 a | 100 ± 0.00 a | 100 ± 0.00 a | 100 ± 0.00 a | 100 ± 0.00 a | |
| SM | 0.05 | 52.38 ± 0.32 b | 11.33 ± 0.32 c | 33.19 ± 0.33 d | 8.93 ± 0.32 d | 30.38 ± 0.33 c | 9.83 ± 0.19 e | 88.49 ± 0.16 c | 10.21 ± 0.44 e |
| 0.25 | 100 ± 0.00 a | 33.43 ± 0.33 b | 46.74 ± 0.46 c | 15.07 ± 0.24 c | 70.69 ± 0.39 b | 15.63 ± 0.39 d | 99.31 ± 0.09 b | 34.92 ± 0.29 d | |
| 0.5 | 100 ± 0.00 a | 100 ± 0.00 a | 73.41 ± 0.00 b | 69.12 ± 0.00 b | 100 ± 0.00 a | 36.56 ± 0.00 c | 100 ± 0.00 a | 74.57 ± 0.47 c | |
| 0.75 | 100 ± 0.00 a | 100 ± 0.00 a | 100 ± 0.00 a | 100 ± 0.00 a | 100 ± 0.00 a | 79.85 ± 0.00 b | 100 ± 0.00 a | 84.42 ± 0.44 b | |
| 1 | 100 ± 0.00 a | 100 ± 0.00 a | 100 ± 0.00 a | 100 ± 0.00 a | 100 ± 0.00 a | 100 ± 0.00 a | 100 ± 0.00 a | 100 ± 0.00 a | |
| Lysozyme | 0.05 | 73.89 ± 0.22 d | 20.62 ± 0.26 e | 96.68 ± 0.34 b | 50.41 ± 0.43 c | 68.51 ± 0.20 d | 16.82 ± 0.26 e | 100 ± 0.00 a | 100 ± 0.00 a |
| 0.25 | 93.52 ± 0.42 c | 52.66 ± 0.32 d | 100 ± 0.00 a | 94.41 ± 0.36 b | 93.93 ± 0.24 c | 53.70 ± 0.27 d | 100 ± 0.00 a | 100 ± 0.00 a | |
| 0.5 | 97.52 ± 0.32 b | 69.44 ± 0.32 c | 100 ± 0.00 a | 100 ± 0.00 a | 96.54 ± 0.30 b | 75.88 ± 0.40 c | 100 ± 0.00 a | 100 ± 0.00 a | |
| 0.75 | 100 ± 0.00 a | 85.55 ± 0.37 b | 100 ± 0.00 a | 100 ± 0.00 a | 100 ± 0.00 a | 95.60 ± 0.22 b | 100 ± 0.00 a | 100 ± 0.00 a | |
| 1 | 100 ± 0.00 a | 100 ± 0.00 a | 100 ± 0.00 a | 100 ± 0.00 a | 100 ± 0.00 a | 100 ± 0.00 a | 100 ± 0.00 a | 100 ± 0.00 a | |
Disclaimer/Publisher’s Note: The statements, opinions and data contained in all publications are solely those of the individual author(s) and contributor(s) and not of MDPI and/or the editor(s). MDPI and/or the editor(s) disclaim responsibility for any injury to people or property resulting from any ideas, methods, instructions or products referred to in the content. |
© 2023 by the authors. Licensee MDPI, Basel, Switzerland. This article is an open access article distributed under the terms and conditions of the Creative Commons Attribution (CC BY) license (https://creativecommons.org/licenses/by/4.0/).
Share and Cite
Tian, Y.; Li, L.; Wang, R.; Ji, N.; Ma, C.; Lei, J.; Guan, W.; Zhang, X. Pullulan-Based Active Coating Incorporating Potassium Metabisulfite Maintains Postharvest Quality and Induces Disease Resistance to Soft Rot in Kiwifruit. Foods 2023, 12, 3197. https://doi.org/10.3390/foods12173197
Tian Y, Li L, Wang R, Ji N, Ma C, Lei J, Guan W, Zhang X. Pullulan-Based Active Coating Incorporating Potassium Metabisulfite Maintains Postharvest Quality and Induces Disease Resistance to Soft Rot in Kiwifruit. Foods. 2023; 12(17):3197. https://doi.org/10.3390/foods12173197
Chicago/Turabian StyleTian, Yiming, Lamei Li, Rui Wang, Ning Ji, Chao Ma, Jiqing Lei, Wenqiang Guan, and Xu Zhang. 2023. "Pullulan-Based Active Coating Incorporating Potassium Metabisulfite Maintains Postharvest Quality and Induces Disease Resistance to Soft Rot in Kiwifruit" Foods 12, no. 17: 3197. https://doi.org/10.3390/foods12173197
APA StyleTian, Y., Li, L., Wang, R., Ji, N., Ma, C., Lei, J., Guan, W., & Zhang, X. (2023). Pullulan-Based Active Coating Incorporating Potassium Metabisulfite Maintains Postharvest Quality and Induces Disease Resistance to Soft Rot in Kiwifruit. Foods, 12(17), 3197. https://doi.org/10.3390/foods12173197
