Assessment of the Malting Process of Purgatory Bean and Solco Dritto Chickpea Seeds
Abstract
:1. Introduction
2. Materials and Methods
2.1. Raw Materials
2.2. Physical Properties of Pulses
2.3. Steeping Equipment
2.4. Seed Germination
2.5. Germinated Seed Kilning
2.6. Dehulling and Grinding of Malted Pulses
2.7. Cooking of Pulse Seeds as Such or Malted
2.8. In Vitro Glycemic Index
2.9. Statistical Analysis of Data
3. Results and Discussion
3.1. Physical Properties
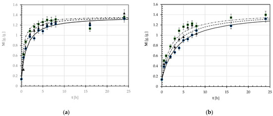
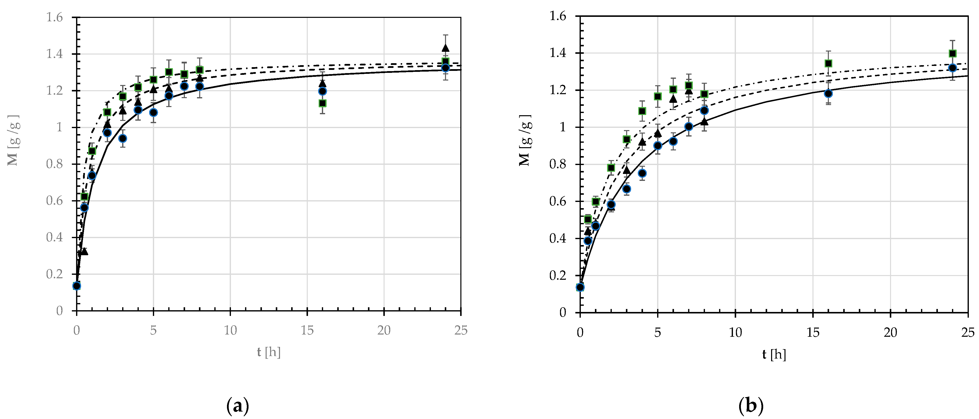
3.2. Soaking Kinetics of Dry Legumes
3.3. Pulse Germinability
3.4. Pulse Germination
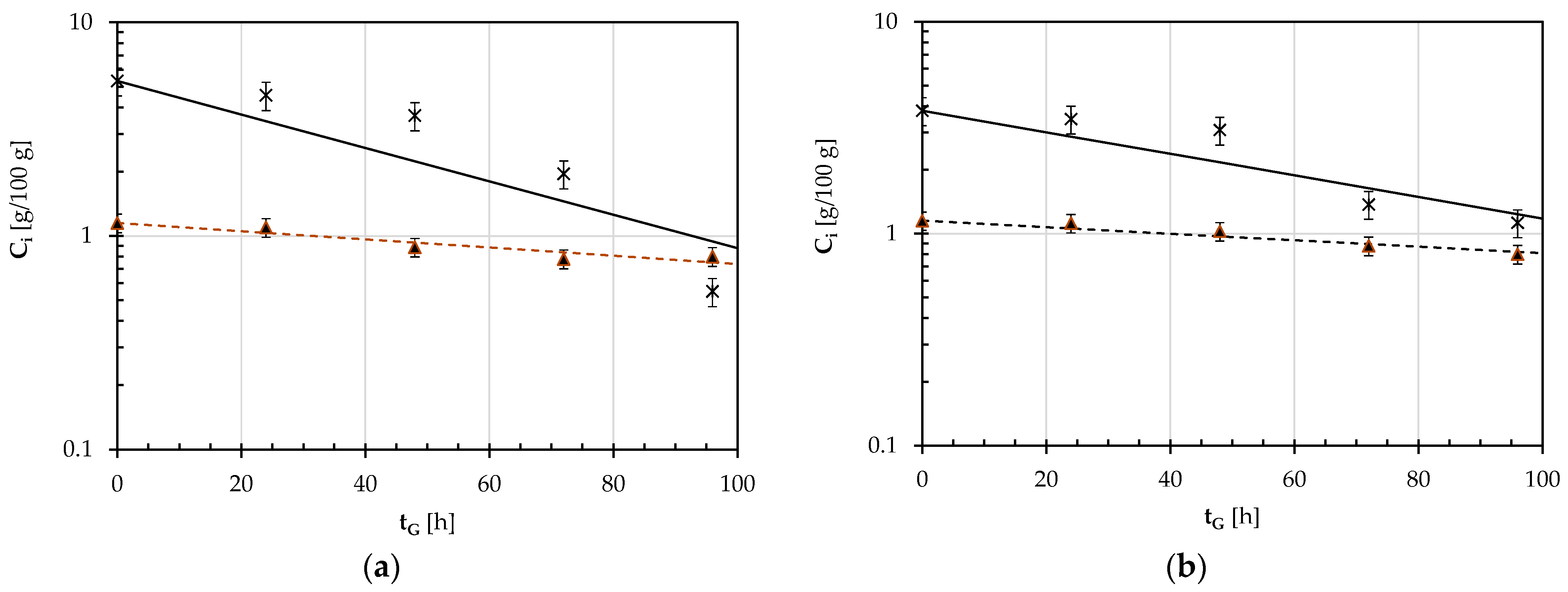
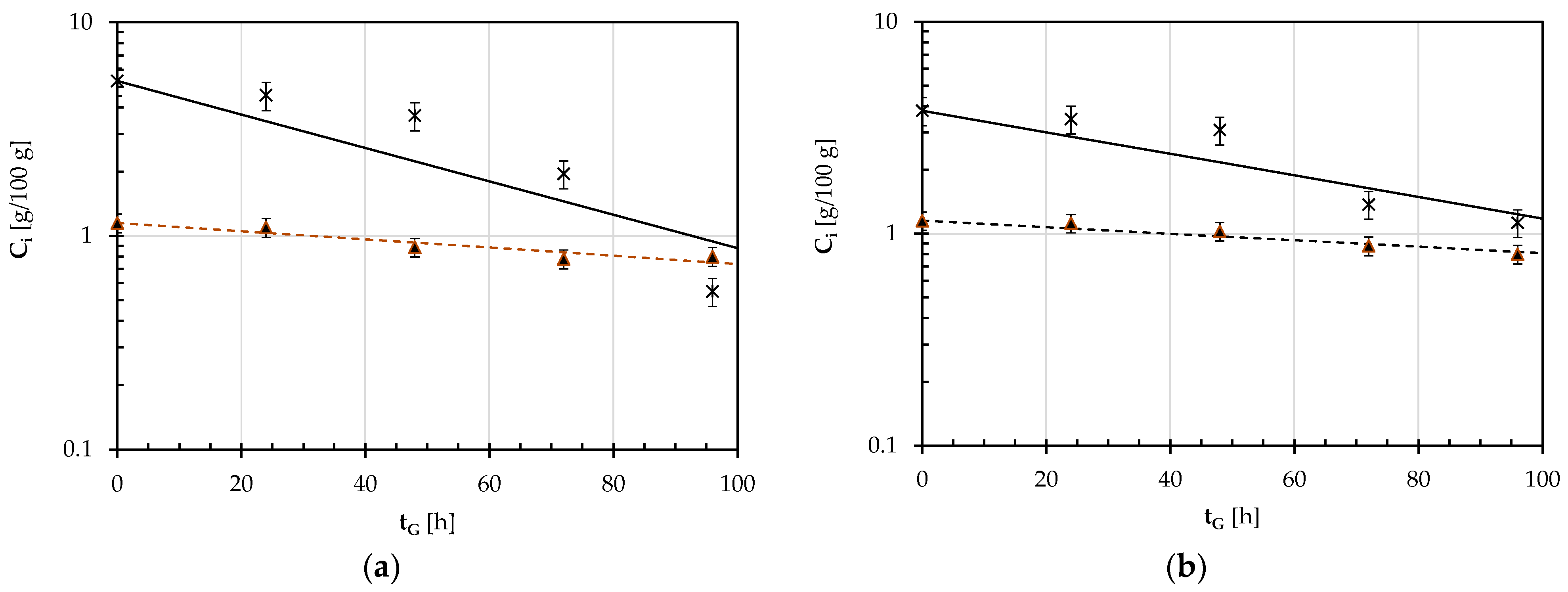
3.5. Malted Pulse Flour Production and Characterization
3.6. In Vitro Glycemic Index of Pulse Seeds
4. Conclusions
Supplementary Materials
Author Contributions
Funding
Data Availability Statement
Acknowledgments
Conflicts of Interest
References
- Abu-Ghannam, N.; Gowen, A. Pulse-based food products. In Pulse Foods: Processing, Quality and Nutraceutical Applications, 2nd ed.; Tiwari, B.K., Gowen, A., McKenna, B., Eds.; Academic Press: London, UK, 2021; Chapter 15; pp. 369–391. [Google Scholar]
- Maphosa, Y.; Jideani, V.A. The Role of Legumes in Human Nutrition. In Functional Food—Improve Health through Adequate Food; Chávarri Hueda, M., Ed.; IntechOpen Ltd.: London, UK, 2017; Chapter 6; pp. 103–121. Available online: https://www.intechopen.com/chapters/55808 (accessed on 23 August 2023).
- Nemecek, T.; von Richthofen, J.-S.; Dubois, G.; Casta, P.; Charles, R.; Pahl, H. Environmental impacts of introducing grain legumes into European crop rotations. Eur. J. Agron. 2008, 28, 380–393. [Google Scholar] [CrossRef]
- Rawal, V.; Navarro, D.K. The Global Economy of Pulses; FAO: Rome, Italy, 2019. [Google Scholar]
- de Almeida Costa, G.E.; Da Silva Queiroz-Monici, K.; Pissini Machado Reis, S.M.; De Oliveira, A.C. Chemical composition, dietary fibre and resistant starch contents of raw and cooked pea, common bean, chickpea and lentil legumes. Food Chem. 2006, 94, 327–330. [Google Scholar] [CrossRef]
- Gebrelibanos, M.; Tesfaye, D.; Raghavendra, Y.; Sintayeyu, B. Nutritional and health implications of legumes. Int. J. Pharm. Sci. Res. 2013, 4, 1269–1279. [Google Scholar]
- Shahbandeh, M. Production Volume of Pulses Worldwide from 2010 to 2021. Statista, 2023. Available online: https://www.statista.com/statistics/721945/pulses-production-volume-worldwide/#statisticContainer (accessed on 25 June 2023).
- OurWorldinData. Beans, Dry—Production (Tonnes). Available online: https://ourworldindata.org/grapher/bean-production?tab=table (accessed on 26 June 2023).
- Atlasbig. World Chickpea Production by Country. Available online: https://www.atlasbig.com/en-us/countries-chickpea-production (accessed on 26 June 2023).
- Atlasbig. World Lentil Production by Country. Available online: https://www.atlasbig.com/en-us/countries-lentil-production (accessed on 26 June 2023).
- Confimi Industria. La Produzione di Legumi in Italia Riprende a Crescere. 2018. Available online: https://www.confimi.it/pagina-iniziale/868-la-produzione-di-legumi-in-italia-riprende-a-crescere (accessed on 5 July 2023).
- Di Giovannantonio, C.; Catta, M.; Pica, G.; Casadei, G. Lazio Patrimonio Agroalimentare tra Biodiversità e Tradizione; ARSIAL: Rome, Italy, 2019. [Google Scholar]
- Cimini, A.; Poliziani, A.; Morgante, L.; Moresi, M. Antinutrient removal in yellow lentils by malting. J. Sci. Food Agric. 2023; ahead of print. [Google Scholar] [CrossRef]
- Slow Food Foundation. Purgatory Beans. Available online: https://www.fondazioneslowfood.com/en/ark-of-taste-slow-food/purgatory-beans/ (accessed on 27 June 2023).
- Slow Food Foundation. Solco Dritto Chickpea. Available online: https://www.fondazioneslowfood.com/en/ark-of-taste-slow-food/solco-dritto-chickpea/ (accessed on 27 June 2023).
- Das, G.; Sharma, A.; Sarkar, P.K. Conventional and emerging processing techniques for the post-harvest reduction of antinutrients in edible legumes. Appl. Food Res. 2022, 2, 100112. [Google Scholar] [CrossRef]
- Patane, C.; Iacoponi, E.; Raccuia, S.A. Physico-chemical characteristics, water absorption, soaking and cooking properties of some Sicilian populations of chickpea (Cicer arietinum L.). Int. J. Food Sci. Nutr. 2004, 55, 547–554. [Google Scholar] [CrossRef]
- Sayar, S.; Turhan, M.; Gunasekaran, S. Analysis of chickpea soaking by simultaneous water transfer and water-starch reaction. J. Food Eng. 2001, 50, 91–98. [Google Scholar] [CrossRef]
- Wang, N.; Panozzo, J.F.; Wood, J.; Malcolmson, L.J.; Arganosa, G.C.; Baik, B.-K.; Driedger, D.; Han, J. AACCI approved methods Technical Committee report: Collaborative study on a method for determining firmness of cooked pulses (AACC International Method 56-36.01). Cereal Foods World 2012, 57, 230–234. [Google Scholar] [CrossRef]
- Zou, W.; Sissons, M.; Gidley, M.J.; Gilbert, R.G.; Warren, F.J. Combined techniques for characterising pasta structure reveals how the gluten network slows enzymc digestion rate. Food Chem. 2015, 188, 559–568. [Google Scholar] [CrossRef]
- Singh, M.; Manickavasagan, A.; Shobana, S.; Mohan, V. Glycemic index of pulses and pulse-based products: A review. Crit Rev Food Sci Nutr. 2021, 61, 1567–1588. [Google Scholar] [CrossRef]
- Granfeldt, Y.; Björck, I.; Drews, A.; Towar, J. An in vitro procedure based on chewing to predict metabolic responses to starch in cereal and legume products. Eur. J. Clin. Nutr. 1992, 46, 649–660. [Google Scholar] [CrossRef]
- Basso Los, F.G.; Ferreira Zielinski, A.A.; Wojeicchowski, J.P.; Nogueira, A.; Mottin Demiate, I. Beans (Phaseolus vulgaris L.): Whole seeds with complex chemical composition. Curr. Opin. Food Sci. 2018, 19, 63–71. [Google Scholar]
- Cappa, C.; James, D.; Kelly, J.D.; Nga, P.K.W. Seed characteristics and physicochemical properties of powders of 25 edible dry bean varieties. Food Chem. 2018, 253, 305–313. [Google Scholar] [CrossRef] [PubMed]
- de Barros, M.; Prudencio, S.H. Physical and chemical characteristics of common bean varieties. Ciências Agrárias Londrina 2016, 37, 751–762. [Google Scholar] [CrossRef]
- Nciri, N.; El Mhamdi, F.; Ben Ismail, H.B.; Ben Mansour, A.; Fennira, F. Physical properties of three white bean varieties (Phaseolus vulgaris L.) grown in Tunisia. J. Appl. Sci. Agric. 2014, 9, 195–200. [Google Scholar]
- Shimelis, E.A.; Rakshit, S.K. Proximate composition and physico-chemical properties of improved dry bean (Phaseolus vulgaris L.) varieties grown in Ethiopia. LWT-Food Sci. Technol. 2005, 38, 331–338. [Google Scholar] [CrossRef]
- Ercan, R.; Atli, A.; Köksel, H.; Dağ, A. Cooking quality and composition of dry beans grown in Turkey. GIDA 1994, 19, 313–316. [Google Scholar]
- Sefa-Dedeh, S.; Stanley, D.W. Textural implications of the microstructure of legumes. Food Technol. 1979, 33, 77–83. [Google Scholar]
- Pedrosa, M.M.; Guillamón, E.; Arribas, C. Autoclaved and extruded legumes as a source of bioactive phytochemicals: A review. Foods 2021, 10, 379. [Google Scholar] [CrossRef]
- Sparvoli, F.; Bollini, R.; Cominelli, E. Nutritional Value. In Grain Legumes; Ron, A.M.D., Ed.; Springer: New Work, NY, USA, 2015; pp. 291–326. [Google Scholar]
- Frias, J.; Vidal-Valverde, C.; Sotomayor, C.; Diaz-Pollan, C.; Urbano, G. Influence of processing on available carbohydrate content and antinutritional factors of chickpeas. Eur. Food Res. Technol. 2000, 210, 340–345. [Google Scholar] [CrossRef]
- Rawal, V.; Bansal, P.; Tyagi, K. Chickpea: Transformation in production conditions. In The Global Economy of Pulses; Rawal, V., Navarro, D.K., Eds.; FAO: Rome, Italy, 2019; Chapter 3; pp. 21–36. [Google Scholar]
- Kaur, M.; Singh, N.; Singh Sodhi, N. Physicochemical, cooking, textural and roasting characteristics of chickpea (Cicer arietinum L.) cultivars. J. Food Eng. 2005, 69, 511–517. [Google Scholar] [CrossRef]
- Williams, P.C.; Nakoul, H.; Singh, K.B. Relationship between cooking time and some physical characteristics in chickpeas (Cicer arietinum L.). J. Sci. Food Agric. 1983, 34, 492–496. [Google Scholar] [CrossRef]
- El-Adawy, T.A. Nutritional composition and antinutritional factors of chickpeas (Cicer arietinum L.) undergoing different cooking methods and germination. Plant Foods Hum. Nutr. 2002, 57, 83–97. [Google Scholar] [CrossRef] [PubMed]
- Converting Colors. Available online: https://convertingcolors.com/ (accessed on 12 August 2023).
- Peleg, M. An empirical model for desorption of moisture sorption curve. J. Food Sci. 1988, 53, 1216–1219. [Google Scholar] [CrossRef]
- Abu-Ghannam, N.; McKenna, B. Hydration kinetics of red kidney beans (Phaseolus vulgaris L.). J. Food Sci. 1997, 62, 520–523. [Google Scholar] [CrossRef]
- Hung, T.V.; Liu, L.H.; Black, R.G.; Trewhella, M.A. Water absorption in chickpea (C. arietinum) and field pea (P. sativum) cultivars using the Peleg model. J. Food Sci. 2006, 58, 848–852. [Google Scholar] [CrossRef]
- Pan, Z.; Tangratanavalee, W. Characteristics of soybeans as affected by soaking conditions. Lebensm. Wiss. U.-Technol. 2003, 36, 143–151. [Google Scholar] [CrossRef]
- Ali, A.S.; Elozeiri, A.A. Metabolic Processes During Seed Germination. In Seed Biology; Jimenez-Lopez, J.C., Ed.; IntechOpen Ltd.: London, UK, 2017; Chapter 8; pp. 141–166. [Google Scholar] [CrossRef]
- Haileslassie, H.A.; Henry, C.J.; Tyler, R.T. Impact of household food processing strategies on antinutrient (phytate, tannin and polyphenol) contents of chickpeas (Cicer arietinum L.) and beans (Phaseolus vulgaris L.): A review. Int. J. Food Sci. Technol. 2016, 51, 947–1957. [Google Scholar] [CrossRef]
- Sangronis, E.; Machado, C.J. Influence of germination on the nutritional quality of Phaseolus vulgaris and Cajanus cajan. LWT 2007, 40, 116–120. [Google Scholar] [CrossRef]
- Thavarajah, D.; Thavarajah, P. Evaluation of chickpea (Cicer arietinum L.) micronutrient composition: Biofortification opportunities to combat global micronutrient malnutrition. Food Res. Int. 2012, 49, 99–104. [Google Scholar] [CrossRef]
- Rodriguez-Amaya, D.B. Isomerization and oxidation. In Food Carotenoids: Chemistry, Biology, and Technology; Rodriguez-Amaya, D.B., Ed.; John Wiley & Sons Ltd.: Chichester, UK, 2016; Chapter 7; pp. 174–198. [Google Scholar]
- Commission Regulation (EU) No. 432/2012 of 16 May 2012 “Establishing a List of Permitted Health Claims Made on Foods, Other Than Those Referring to the Reduction of Disease Risk and to Children’s Development and Health”. Off. J. Eur. Union 2012, L136, 1–40. Available online: https://eur-lex.europa.eu/legal-content/EN/TXT/PDF/?uri=CELEX:02012R0432-20170822 (accessed on 6 August 2023).
- Foster-Powell, K.; Holt, S.H.A.; Brand-Miller, J.C. International table of glycemic index and glycemic load values. Am. J. Clin. Nutr. 2002, 76, 5–56. [Google Scholar] [CrossRef] [PubMed]
- Atkinson, F.S.; Brand-Miller, J.C.; Foster-Powell, K.; Buyken, A.E.; Goletzke, J. International tables of glycemic index and glycemic load values 2021: A systematic review. Am. J. Clin. Nutr. 2021, 114, 1625–1632. [Google Scholar] [CrossRef] [PubMed]






| Parameter | GPB | MGPB | SDC | MSDC | Unit |
|---|---|---|---|---|---|
| Raw protein | 22.7 ± 1.7 a | 23.4 ± 2.1 a | 22.3 ± 1.7 a | 23.6 ± 1.9 a | g/100 g dm |
| Total Starch (TS) | 33.81 ± 1.66 b | 34.96 ± 0.19 b | 46.8 ± 0.6 a | 45.2 ± 2.0 a | g/100 g dm |
| Resistant Starch (RS) | 23.59 ± 0.34 a | 22.01 ± 1.82 a | 1.77 ± 0.22 b | 1.19 ± 0.43 b | g/100 g dm |
| Phytic Acid (PA) | 1.15 ± 0.12 a | 0.78 ± 0.13 b | 1.15 ± 0.12 a | 0.79 ± 0.09 b | g/100 g dm |
| Raffinose (R) | 5.31 ± 0.28 a | 1.95 ± 0.20 c | 3.80 ± 0.15 b | 1.65 ± 0.11 c | g/100 g dm |
| Seed weight (mS) | 0.167 ± 0.003 c | 0.133 ± 0.002 d | 0.302 ± 0.010 a | 0.219 ± 0.002 b | g/seed |
| Seed volume (vS) | 0.123 ± 0.006 c | 0.103 ± 0.000 d | 0.233 ± 0.012 a | 0.191 ± 0.000 b | cm3/seed |
| Mean seed radius (RS) | 0.309 ± 0.005 c | 0.290 ± 0.000 d | 0.382 ± 0.006 a | 0.358 ± 0.000 b | cm/seed |
| Seed density (ρS) | 1.35 ± 0.03 a | 1.30 ± 0.002 b | 1.30 ± 0.09 a,b | 1.14 ± 0.01 c | g cm3 |
| Hydration capacity (HC) | 0.149 ± 0.006 c | 0.132 ± 0.003 d | 0.284 ± 0.006 a | 0.182 ± 0.010 b | g/seed |
| Swelling capacity (SC) | 0.313 ± 0.012 c | 0.368 ± 0.007 b | 0.503 ± 0.015 a | 0.369 ± 0.012 b | cm3/seed |
| L* | 71.0 ± 1.7 b,c | 73.3 ± 1.5 a,b | 69.5 ± 1.6 c | 75.1 ± 1.8 a | - |
| a* | 0.6 ± 0.5 c | 0.01 ± 0.61 c | 3.7 ± 0.5 a | 2.3 ± 0.6 b | - |
| b* | 15.6 ± 1.7 b | 19.0 ± 1.9 b | 27.0 ± 2.3 a | 27.0 ± 1.3 a | - |
| Legume Variety Parameter | Gradoli Purgatory Beans | Solco Dritto Chickpeas | Unit | ||||
|---|---|---|---|---|---|---|---|
| T | 18 | 25 | 32 | 18 | 25 | 32 | [°C] |
| k1 | 0.92 ± 0.18 | 1.16 ± 0.29 | 0.36 ± 0.13 | 2.76 ± 0.26 | 2.23 ± 0.35 | 1.49 ± 0.14 | [h g dm/g] |
| k2 | 0.83 ± 0.02 | 0.75 ± 0.03 | 0.81 ± 0.01 | 0.75 ± 0.03 | 0.73 ± 0.04 | 0.71 ± 0.03 | [g dm/g] |
| r2 | 0.996 | 0.986 | 0.998 | 0.988 | 0.979 | 0.990 | [-] |
| Ea/R | 6099 ± 1278 a | 3552 ± 441 b | [K] | ||||
| ln(A) | −20.94 ± 4.29 a | −11.16 ± 1.48 b | [-] | ||||
| r2 | 0.85 | 0.93 | [-] | ||||
| 0.81 ± 0.02 a | 0.76 ± 0.04 a | [g dm/g] | |||||
| Parameter | ki [h−1] | r2 | ki [h−1] | r2 |
|---|---|---|---|---|
| Component i | Gradoli Purgatory beans | Solco Dritto chickpeas | ||
| Raffinose | −0.018 ± 0.003 a | 0.89 | −0.012 ± 0.002 b | 0.92 |
| Phytic acid | −0.0044 ± 0.0005 a | 0.96 | −0.0035 ± 0.0003 a | 0.97 |
| Food Product | AUC [g min/L] | SHI [%] | GI [%] | GI Chart |
|---|---|---|---|---|
| White bread | 81.2 ± 0.4 a | 100.0 ± 0.5 a | 94.4 ± 0.4 a | High |
| GPB as such | 4.9 ± 0.2 c | 6.0 ± 0.3 c | 13.4 ± 0.2 c | Low |
| MGPB | 6.0 ± 0.8 b,c | 7.4 ± 1.0 b,c | 14.6 ± 0.9 b,c | Low |
| SDC as such | 4.2 ± 1.3 c | 5.1 ± 1.5 c | 12.6 ± 1.3 c | Low |
| MSDC | 7.6 ± 1.1 b | 9.3 ± 1.3 b | 16.2 ± 1.1 b | Low |
Disclaimer/Publisher’s Note: The statements, opinions and data contained in all publications are solely those of the individual author(s) and contributor(s) and not of MDPI and/or the editor(s). MDPI and/or the editor(s) disclaim responsibility for any injury to people or property resulting from any ideas, methods, instructions or products referred to in the content. |
© 2023 by the authors. Licensee MDPI, Basel, Switzerland. This article is an open access article distributed under the terms and conditions of the Creative Commons Attribution (CC BY) license (https://creativecommons.org/licenses/by/4.0/).
Share and Cite
Cimini, A.; Poliziani, A.; Morgante, L.; Moresi, M. Assessment of the Malting Process of Purgatory Bean and Solco Dritto Chickpea Seeds. Foods 2023, 12, 3187. https://doi.org/10.3390/foods12173187
Cimini A, Poliziani A, Morgante L, Moresi M. Assessment of the Malting Process of Purgatory Bean and Solco Dritto Chickpea Seeds. Foods. 2023; 12(17):3187. https://doi.org/10.3390/foods12173187
Chicago/Turabian StyleCimini, Alessio, Alessandro Poliziani, Lorenzo Morgante, and Mauro Moresi. 2023. "Assessment of the Malting Process of Purgatory Bean and Solco Dritto Chickpea Seeds" Foods 12, no. 17: 3187. https://doi.org/10.3390/foods12173187
APA StyleCimini, A., Poliziani, A., Morgante, L., & Moresi, M. (2023). Assessment of the Malting Process of Purgatory Bean and Solco Dritto Chickpea Seeds. Foods, 12(17), 3187. https://doi.org/10.3390/foods12173187

