Effectiveness of Ultra-High Irradiance Blue Light-Emitting Diodes in Inactivating Escherichia coli O157:H7 on Dry Stainless Steel and Cast-Iron Surfaces
Abstract
:1. Introduction
2. Materials and Methods
2.1. Bacterial Strains and Inoculum Preparation
2.2. Preparation and Inoculation of Metal Surfaces
2.3. The Light Emitting Diode (LED) System
2.4. Ultra-High Irradiance (UHI) Monochromatic Blue Light Treatments
2.5. Microbiological Analysis
2.5.1. Determination of Viable E. coli O157:H7 Cells
2.5.2. Molecular Detection and Confirmation of E. coli O157:H7 Cells
2.6. Determination of Oxidative Stress in E. coli O157:H7 Cells
2.7. Data Analysis
3. Results
3.1. Inactivation of E. coli O157:H7 on Unsoiled Metal Surfaces by UHI Blue Light Treatments
3.2. Effect of Organic Soil on the Antimicrobial Effectiveness of UHI Blue Light Treatments
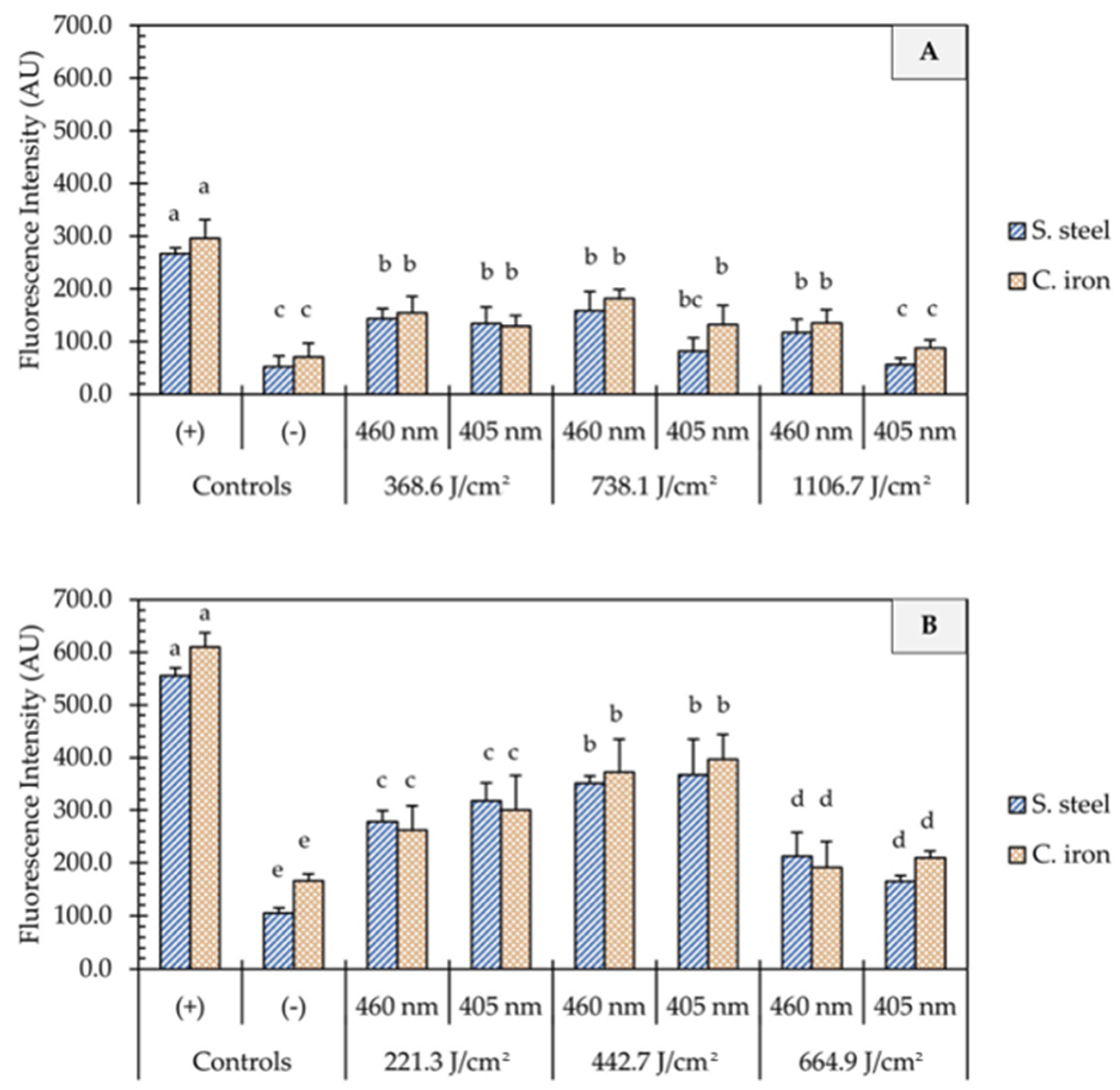
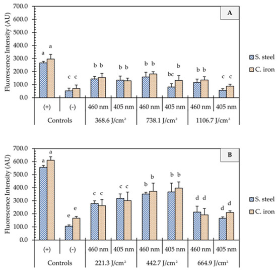
3.3. Intracellular ROS Generation in E. coli O157:H7
3.4. Temperature Changes on Metal Surfaces during UHI Blue Light Treatments
4. Discussion
5. Conclusions
Author Contributions
Funding
Data Availability Statement
Acknowledgments
Conflicts of Interest
References
- Kim, J.-S.; Lee, M.-S.; Kim, J.H. Recent updates on outbreaks of Shiga toxin-producing Escherichia coli and its potential reservoirs. Front. Cell. Infect. Microbiol. 2020, 10, 273. [Google Scholar] [CrossRef]
- Karmali, M.A. Infection by Shiga toxin-producing Escherichia coli: An overview. Mol. Biotechnol. 2004, 26, 117–122. [Google Scholar] [CrossRef]
- Pennington, H. Escherichia coli O157. Lancet 2010, 376, 1428–1435. [Google Scholar] [CrossRef]
- Scallan, E.; Hoekstra, R.M.; Angulo, F.J.; Tauxe, R.V.; Widdowson, M.-A.; Roy, S.L.; Jones, J.L.; Griffin, P.M. Foodborne illness acquired in the United States—Major pathogens. Emerg. Infect. Dis. 2011, 17, 7–15. [Google Scholar] [CrossRef] [PubMed]
- Rangel, J.M.; Sparling, P.H.; Crowe, C.; Griffin, P.M.; Swerdlow, D.L. Epidemiology of Escherichia coli O157: H7 outbreaks, united states, 1982–2002. Emerg. Infect. Dis. 2005, 11, 603–609. [Google Scholar] [CrossRef] [PubMed]
- Harris, J.; Yada, S. Flour and cereal grain products: Foodborne illness outbreaks and product recalls. In Flour & Cereal Grains—Outbreaks and Recalls; UC Davis: Davis, CA, USA, 2023; Available online: https://ucfoodsafety.ucdavis.edu/low-moisture-foods/lmf-information-uc (accessed on 2 July 2023).
- Harris, J.; Yada, S. Publications on the microbial safety of nuts and sesame seeds (version 2). In Nuts & Nut Products—Outbreaks and Recalls; UC Davis: Davis, CA, USA, 2023; Available online: https://ucfoodsafety.ucdavis.edu/low-moisture-foods/nuts-and-nut-pastes (accessed on 2 July 2023).
- Gill, A.T.; McMahon, F.D.; Petronella, N. Shiga toxin-producing Escherichia coli survives storage in wheat flour for two years. Food Microbiol. 2020, 87, 103380. [Google Scholar] [CrossRef] [PubMed]
- Beuchat, L.; Komitopoulou, E.; Betts, R.; Beckers, H.; Bourdichon, F.; Joosten, H.; Fanning, S.; Ter Kuile, B. Persistence and Survival of Pathogens in Dry Foods and Dry Food Processing Environments; ILSI Europe Report Series; International Life Sciences Institute: Washington, DC, USA, 2011; pp. 1–48. Available online: https://ilsi.eu/wp-content/uploads/sites/3/2016/06/Persistence-and-survival-report.pdf (accessed on 8 August 2023).
- Beuchat, L.R.; Komitopoulou, E.; Beckers, H.; Betts, R.P.; Bourdichon, F.; Fanning, S.; Joosten, H.M.; Ter Kuile, B.H. Low–Water Activity Foods: Increased Concern as Vehicles of Foodborne Pathogens. J. Food Prot. 2013, 76, 150–172. [Google Scholar] [CrossRef]
- Bae, Y.M.; Lee, S.Y. Inhibitory effects of UV treatment and a combination of UV and dry heat against pathogens on stainless steel and polypropylene surfaces. J. Food Sci. 2012, 77, M61–M64. [Google Scholar] [CrossRef]
- Du, W.X.; Danyluk, M.D.; Harris, L.J. Efficacy of aqueous and alcohol-based quaternary ammonium sanitizers for reducing Salmonella in dusts generated in almond hulling and shelling facilities. J. Food Sci. 2010, 75, M7–M13. [Google Scholar] [CrossRef]
- Harada, A.M.M.; Nascimento, M.S. Efficacy of dry sanitizing methods on Listeria monocytogenes biofilms. Food Control 2021, 124, 107897. [Google Scholar] [CrossRef]
- Harada, A.M.M.; Nascimento, M.S. Effect of dry sanitizing methods on Bacillus cereus biofilm. Braz. J. Microbiol. 2021, 52, 919–926. [Google Scholar] [CrossRef] [PubMed]
- Bache, S.E.; Maclean, M.; MacGregor, S.J.; Anderson, J.G.; Gettinby, G.; Coia, J.E.; Taggart, I. Clinical studies of the High-Intensity Narrow-Spectrum light Environmental Decontamination System (HINS-light EDS), for continuous disinfection in the burn unit inpatient and outpatient settings. Burns 2012, 38, 69–76. [Google Scholar] [CrossRef] [PubMed]
- Maclean, M.; MacGregor, S.; Anderson, J.; Woolsey, G.; Coia, J.; Hamilton, K.; Taggart, I.; Watson, S.; Thakker, B.; Gettinby, G. Environmental decontamination of a hospital isolation room using high-intensity narrow-spectrum light. J. Hosp. Infect. 2010, 76, 247–251. [Google Scholar] [CrossRef]
- Prasad, A.; Roopesh, M. Bacterial biofilm reduction by 275 and 455 nm light pulses emitted from light emitting diodes. J. Food Saf. 2023, 43, e13049. [Google Scholar] [CrossRef]
- Subedi, S.; Du, L.; Prasad, A.; Yadav, B.; Roopesh, M. Inactivation of Salmonella and quality changes in wheat flour after pulsed light-emitting diode (LED) treatments. Food Bioprod. Process. 2020, 121, 166–177. [Google Scholar] [CrossRef]
- Prasad, A.; Gänzle, M.; Roopesh, M. Antimicrobial activity and drying potential of high intensity blue light pulses (455 nm) emitted from LEDs. Food Res. Int. 2021, 148, 110601. [Google Scholar] [CrossRef] [PubMed]
- Cossu, M.; Ledda, L.; Cossu, A. Emerging trends in the photodynamic inactivation (PDI) applied to the food decontamination. Food Res. Int. 2021, 144, 110358. [Google Scholar] [CrossRef]
- Wang, Y.; Wang, Y.; Wang, Y.; Murray, C.K.; Hamblin, M.R.; Hooper, D.C.; Dai, T. Antimicrobial blue light inactivation of pathogenic microbes: State of the art. Drug Resist. Updates 2017, 33, 1–22. [Google Scholar] [CrossRef]
- Hessling, M.; Spellerberg, B.; Hoenes, K. Photoinactivation of bacteria by endogenous photosensitizers and exposure to visible light of different wavelengths–a review on existing data. FEMS Microbiol. Lett. 2017, 364, fnw270. [Google Scholar] [CrossRef]
- Luksienė, Z.; Zukauskas, A. Prospects of photosensitization in control of pathogenic and harmful micro-organisms. J. Appl. Microbiol. 2009, 107, 1415–1424. [Google Scholar] [CrossRef]
- D’Souza, C.; Yuk, H.G.; Khoo, G.H.; Zhou, W. Application of light-emitting diodes in food production, postharvest preservation, and microbiological food safety. Compr. Rev. Food Sci. Food Saf. 2015, 14, 719–740. [Google Scholar] [CrossRef]
- Prasad, A.; Gänzle, M.; Roopesh, M. Understanding the Salmonella inactivation mechanisms of 365, 395 and 455 nm light pulses emitted from light-emitting diodes. Appl. Sci. 2023, 13, 1501. [Google Scholar] [CrossRef]
- Food and Drug Administration (FDA). Food Code; U.S. Food and Drug Administration: Silver Spring, MD, USA, 2017; pp. 21, 130.
- Hyun, J.-E.; Lee, S.-Y. Blue light-emitting diodes as eco-friendly non-thermal technology in food preservation. Trends Food Sci. Technol. 2020, 105, 284–295. [Google Scholar] [CrossRef]
- Ramakrishnan, P.; Maclean, M.; MacGregor, S.J.; Anderson, J.G.; Grant, M.H. Cytotoxic responses to 405 nm light exposure in mammalian and bacterial cells: Involvement of reactive oxygen species. Toxicol. In Vitro 2016, 33, 54–62. [Google Scholar] [CrossRef] [PubMed]
- Ziuzina, D.; Han, L.; Cullen, P.J.; Bourke, P. Cold plasma inactivation of internalized bacteria and biofilms for Salmonella enterica serovar Typhimurium, Listeria monocytogenes and Escherichia coli. Int. J. Food Microbiol. 2015, 210, 53–61. [Google Scholar] [CrossRef] [PubMed]
- Mandal, R.; Mohammadi, X.; Wiktor, A.; Singh, A.; Pratap Singh, A. Applications of pulsed light decontamination technology in food processing: An overview. Appl. Sci. 2020, 10, 3606. [Google Scholar] [CrossRef]
- Lang, E.; Thery, T.; Peltier, C.; Colliau, F.; Adamuz, J.; Grangeteau, C.; Dupont, S.; Beney, L. Ultra-high irradiance (UHI) blue light: Highlighting the potential of a novel LED-based device for short antifungal treatments of food contact surfaces. Appl. Microbiol. Biotechnol. 2022, 106, 415–424. [Google Scholar] [CrossRef] [PubMed]
- Subedi, S.; Roopesh, M. Simultaneous drying of pet food pellets and Salmonella inactivation by 395 nm light pulses in an LED reactor. J. Food Eng. 2020, 286, 110110. [Google Scholar] [CrossRef]
- Prasad, A.; Gänzle, M.; Roopesh, M. Inactivation of Escherichia coli and Salmonella using 365 and 395 nm high intensity pulsed light emitting diodes. Foods 2019, 8, 679. [Google Scholar] [CrossRef]
- Du, L.; Prasad, A.J.; Gänzle, M.; Roopesh, M. Inactivation of Salmonella spp. in wheat flour by 395 nm pulsed light emitting diode (LED) treatment and the related functional and structural changes of gluten. Food Res. Int. 2020, 127, 108716. [Google Scholar] [CrossRef]
- Kreith, F.; Manglik, R.M.; Bohn, M.S. Principles of Heat Transfer, 7th ed.; Cengage Learning: Stamford, CT, USA, 2011. [Google Scholar]
- Kim, Y.S.; Flores, R.A.; Chung, O.K.; Bechtel, D.B. Physical, chemical, and thermal characterization of wheat flour milling coproducts. J. Food Process. Eng. 2003, 26, 469–488. [Google Scholar] [CrossRef]
- Alonso, V.P.P.; Gonçalves, M.P.M.; de Brito, F.A.E.; Barboza, G.R.; Rocha, L.d.O.; Silva, N.C.C. Dry surface biofilms in the food processing industry: An overview on surface characteristics, adhesion and biofilm formation, detection of biofilms, and dry sanitization methods. Compr. Rev. Food Sci. Food Saf. 2023, 22, 688–713. [Google Scholar] [CrossRef]
- McKelvey, P.J.; Bodnaruk, P.W. Survival of Salmonella species on stainless steel exposed to dry heat. Int. J. Food Saf. 2013, 15, 88–92. [Google Scholar]
- De Gruijl, F.R. Photocarcinogenesis: UVA vs. UVB radiation. Skin Pharmacol. Physiol. 2002, 15, 316–320. [Google Scholar] [CrossRef] [PubMed]
- Hadi, J.; Wu, S.; Brightwell, G. Antimicrobial blue light versus pathogenic bacteria: Mechanism, application in the food industry, hurdle technologies and potential resistance. Foods 2020, 9, 1895. [Google Scholar] [CrossRef] [PubMed]





| Organic Soiling a | Light Wavelength | Treatment Intensity | |||
|---|---|---|---|---|---|
| Power Level (%) | Irradiance (mW/cm2) b | Treatment Time (s) | Energy Dose (J/cm2) | ||
| None | 405 nm | 100 | 842 | 263 | 221.3 |
| 526 | 442.7 | ||||
| 790 | 664.9 | ||||
| 460 nm | 100 | 615 | 360 | 221.4 | |
| 720 | 442.7 | ||||
| 1080 | 664.1 | ||||
| All-Purpose Wheat Flour | 405 nm | 100 | 842 | 438 | 368.6 |
| 790 | 664.9 | ||||
| 877 | 738.1 | ||||
| 1315 | 1106.7 | ||||
| 460 nm | 100 | 615 | 600 | 368.9 | |
| 1080 | 664.1 | ||||
| 1200 | 737.9 | ||||
| 1800 | 1106.8 | ||||
Disclaimer/Publisher’s Note: The statements, opinions and data contained in all publications are solely those of the individual author(s) and contributor(s) and not of MDPI and/or the editor(s). MDPI and/or the editor(s) disclaim responsibility for any injury to people or property resulting from any ideas, methods, instructions or products referred to in the content. |
© 2023 by the authors. Licensee MDPI, Basel, Switzerland. This article is an open access article distributed under the terms and conditions of the Creative Commons Attribution (CC BY) license (https://creativecommons.org/licenses/by/4.0/).
Share and Cite
Minor, M.; Sabillón, L. Effectiveness of Ultra-High Irradiance Blue Light-Emitting Diodes in Inactivating Escherichia coli O157:H7 on Dry Stainless Steel and Cast-Iron Surfaces. Foods 2023, 12, 3072. https://doi.org/10.3390/foods12163072
Minor M, Sabillón L. Effectiveness of Ultra-High Irradiance Blue Light-Emitting Diodes in Inactivating Escherichia coli O157:H7 on Dry Stainless Steel and Cast-Iron Surfaces. Foods. 2023; 12(16):3072. https://doi.org/10.3390/foods12163072
Chicago/Turabian StyleMinor, Martha, and Luis Sabillón. 2023. "Effectiveness of Ultra-High Irradiance Blue Light-Emitting Diodes in Inactivating Escherichia coli O157:H7 on Dry Stainless Steel and Cast-Iron Surfaces" Foods 12, no. 16: 3072. https://doi.org/10.3390/foods12163072
APA StyleMinor, M., & Sabillón, L. (2023). Effectiveness of Ultra-High Irradiance Blue Light-Emitting Diodes in Inactivating Escherichia coli O157:H7 on Dry Stainless Steel and Cast-Iron Surfaces. Foods, 12(16), 3072. https://doi.org/10.3390/foods12163072

