Combined Effect of Cinnamon Bark Oil and Packaging Methods on Quality of Fresh Lamb Meat Patties during Storage at 4 °C
Abstract
1. Introduction
2. Materials and Methods
2.1. Sample Preparation
2.2. pH
2.3. Color
2.4. Myoglobin Redox Forms
2.5. TBARS
2.6. Microbiological Analysis
2.7. Statistical Analysis
3. Results
3.1. pH
3.2. Color
3.3. Relative Contents of Myoglobin Redox Forms
3.4. TBARS
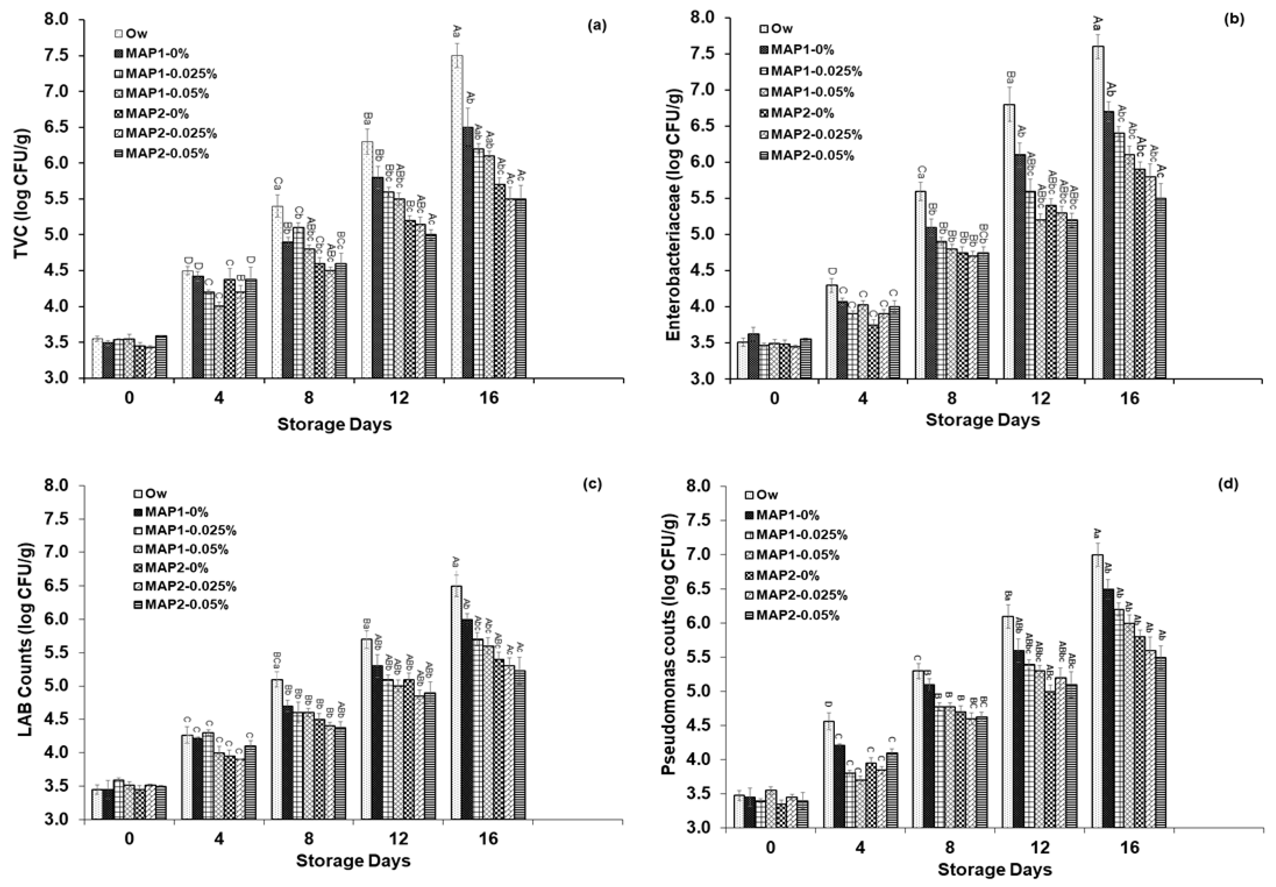
3.5. Microbiological Properties
4. Discussion
5. Conclusions
Author Contributions
Funding
Data Availability Statement
Conflicts of Interest
References
- Sperber, W.H. Introduction to the Microbiological Spoilage of Foods and Beverages. In Compendium of the Microbiological Spoilage of Foods and Beverages; Springer: New York, NY, USA, 2009; pp. 1–40. [Google Scholar]
- Pellissery, A.J.; Vinayamohan, P.G.; Amalaradjou, M.A.R.; Venkitanarayanan, K. Spoilage Bacteria and Meat Quality. In Meat Quality Analysis: Advanced Evaluation Methods, Techniques, and Technologies; Academic Press: Cambridge, MA, USA, 2019; pp. 307–334. ISBN 9780128192337. [Google Scholar]
- Xiong, Y.L. The Storage and Preservation of Meat: I—Thermal Technologies. In Lawrie’s Meat Science; Woodhead Publishing: Soston, UK, 2022; pp. 219–244. ISBN 9780323854085. [Google Scholar]
- Cando, D.; Morcuende, D.; Utrera, M.; Estévez, M. Phenolic-Rich Extracts from Willowherb (Epilobium Hirsutum L.) Inhibit Lipid Oxidation but Accelerate Protein Carbonylation and Discoloration of Beef Patties. Eur. Food Res. Technol. 2014, 238, 741–751. [Google Scholar] [CrossRef]
- Casaburi, A.; Piombino, P.; Nychas, G.J.; Villani, F.; Ercolini, D. Bacterial Populations and the Volatilome Associated to Meat Spoilage. Food Microbiol. 2015, 45, 83–102. [Google Scholar] [CrossRef]
- Nieminen, T.T.; Dalgaard, P.; Björkroth, J. Volatile Organic Compounds and Photobacterium Phosphoreum Associated with Spoilage of Modified-Atmosphere-Packaged Raw Pork. Int. J. Food Microbiol. 2016, 218, 86–95. [Google Scholar] [CrossRef]
- Lavieri, N.; Williams, S.K. Effects of Packaging Systems and Fat Concentrations on Microbiology, Sensory and Physical Properties of Ground Beef Stored at 4 ± 1 °C for 25 days. Meat Sci. 2014, 97, 534–541. [Google Scholar] [CrossRef] [PubMed]
- McMillin, K.W. Advancements in Meat Packaging. Meat Sci. 2017, 132, 153–162. [Google Scholar] [CrossRef] [PubMed]
- Sirocchi, V.; Devlieghere, F.; Peelman, N.; Sagratini, G.; Maggi, F.; Vittori, S.; Ragaert, P. Effect of Rosmarinus Officinalis L. Essential Oil Combined with Different Packaging Conditions to Extend the Shelf Life of Refrigerated Beef Meat. Food Chem. 2017, 221, 1069–1076. [Google Scholar] [CrossRef]
- Karabagias, I.; Badeka, A.; Kontominas, M.G. Shelf Life Extension of Lamb Meat Using Thyme or Oregano Essential Oils and Modified Atmosphere Packaging. Meat Sci. 2011, 88, 109–116. [Google Scholar] [CrossRef]
- Hasani-Javanmardi, M.; Fallah, A.A.; Abbasvali, M. Effect of Safflower Oil Nanoemulsion and Cumin Essential Oil Combined with Oxygen Absorber Packaging on the Quality and Shelf-Life of Refrigerated Lamb Loins. LWT 2021, 147, 111557. [Google Scholar] [CrossRef]
- Hussain, Z.; Li, X.; Zhang, D.; Hou, C.; Ijaz, M.; Bai, Y.; Xiao, X.; Zheng, X. Influence of Adding Cinnamon Bark Oil on Meat Quality of Ground Lamb during Storage at 4 °C. Meat Sci. 2021, 171, 108269. [Google Scholar] [CrossRef]
- Harsanto, B.W.; Supriyanto; Kartini, I.; Pranoto, Y. The ability of breadfruit starch nanoparticles-stabilized pickering emulsion for encapsulating cinnamon essential oil. Malaysian Appl. Biol. 2022, 51, 83–90. [Google Scholar] [CrossRef]
- García-Díez, J.; Alheiro, J.; Pinto, A.L.; Falco, V.; Fraqueza, M.J.; Patarata, L. Synergistic Activity of Essential Oils from Herbs and Spices Used on Meat Products against Food Borne Pathogens. Nat. Prod. Commun. 2017, 12, 281–286. [Google Scholar] [CrossRef] [PubMed]
- Alizadeh Behbahani, B.; Falah, F.; Lavi Arab, F.; Vasiee, M.; Tabatabaee Yazdi, F. Chemical Composition and Antioxidant, Antimicrobial, and Antiproliferative Activities of Cinnamomum Zeylanicum Bark Essential Oil. Evid.-Based Complement. Altern. Med. 2020, 2020, 5190603. [Google Scholar] [CrossRef] [PubMed]
- Zhang, X.; Wang, H.; Li, X.; Sun, Y.; Pan, D.; Wang, Y.; Cao, J. Effect of Cinnamon Essential Oil on the Microbiological and Physiochemical Characters of Fresh Italian Style Sausage during Storage. Anim. Sci. J. 2019, 90, 435–444. [Google Scholar] [CrossRef] [PubMed]
- Khaleque, M.A.; Keya, C.A.; Hasan, K.N.; Hoque, M.M.; Inatsu, Y.; Bari, M.L. Use of Cloves and Cinnamon Essential Oil to Inactivate Listeria Monocytogenes in Ground Beef at Freezing and Refrigeration Temperatures. LWT 2016, 74, 219–223. [Google Scholar] [CrossRef]
- Soldatou, N.; Nerantzaki, A.; Kontominas, M.G.; Savvaidis, I.N. Physicochemical and Microbiological Changes of “Souvlaki”—A Greek Delicacy Lamb Meat Product: Evaluation of Shelf-Life Using Microbial, Colour and Lipid Oxidation Parameters. Food Chem. 2009, 113, 36–42. [Google Scholar] [CrossRef]
- Kennedy, C.; Buckley, D.J.; Kerry, J.P. Display Life of Sheep Meats Retail Packaged under Atmospheres of Various Volumes and Compositions. Meat Sci. 2004, 68, 649–658. [Google Scholar] [CrossRef]
- Vergara, H.; Gallego, L. Effects of Gas Composition in Modified Atmosphere Packaging on the Meat Quality of Spanish Manchega Lamb. J. Sci. Food Agric. 2001, 81, 1353–1357. [Google Scholar] [CrossRef]
- Nieto, A.I.A.; O’Grady, M.N.; Gutierrez, J.I.; Kerry, J.P. Screening of Phytochemicals in Fresh Lamb Meat Patties Stored in Modified Atmosphere Packs: Influence on Selected Meat Quality Characteristics. Int. J. Food Sci. Technol. 2010, 45, 289–294. [Google Scholar] [CrossRef]
- Association, A.M.S. AMSA Meat Color Measurement Guidelines; AMSA: Champaigh, IL, USA, 2012; ISBN 8005172672. [Google Scholar]
- Dong, Z.; Xu, F.; Ahmed, I.; Li, Z.; Lin, H. Characterization and Preservation Performance of Active Polyethylene Films Containing Rosemary and Cinnamon Essential Oils for Pacific White Shrimp Packaging. Food Control 2018, 92, 37–46. [Google Scholar] [CrossRef]
- Radha Krishnan, K.; Babuskin, S.; Azhagu Saravana Babu, P.; Sasikala, M.; Sabina, K.; Archana, G.; Sivarajan, M.; Sukumar, M. Antimicrobial and Antioxidant Effects of Spice Extracts on the Shelf Life Extension of Raw Chicken Meat. Int. J. Food Microbiol. 2014, 171, 32–40. [Google Scholar] [CrossRef]
- Zhang, J.; Wang, Y.; Pan, D.D.; Cao, J.X.; Shao, X.F.; Chen, Y.J.; Sun, Y.Y.; Ou, C.R. Effect of Black Pepper Essential Oil on the Quality of Fresh Pork during Storage. Meat Sci. 2016, 117, 130–136. [Google Scholar] [CrossRef] [PubMed]
- Andrés, A.I.; Petrón, M.J.; Adámez, J.D.; López, M.; Timón, M.L. Food By-Products as Potential Antioxidant and Antimicrobial Additives in Chill Stored Raw Lamb Patties. Meat Sci. 2017, 129, 62–70. [Google Scholar] [CrossRef] [PubMed]
- Chaijan, M.; Benjakul, S.; Visessanguan, W.; Faustman, C. Changes of Lipids in Sardine (Sardinella Gibbosa) Muscle during Iced Storage. Food Chem. 2006, 99, 83–91. [Google Scholar] [CrossRef]
- Masniyom, P.; Benjakul, S.; Visessanguan, W. Shelf-Life Extension of Refrigerated Seabass Slices under Modified Atmosphere Packaging. J. Sci. Food Agric. 2002, 82, 873–880. [Google Scholar] [CrossRef]
- Faustman, C.; Cassens, R.G. The biochemical basis for discoloration in fresh meat: A REVIEW. J. Muscle Foods 1990, 1, 217–243. [Google Scholar] [CrossRef]
- Mancini, R. Meat Color. In The Science of Meat Quality; John Wiley & Sons, Ltd.: Hoboken, NJ, USA, 2013; pp. 177–198. ISBN 9780813815435. [Google Scholar]
- Khliji, S.; van de Ven, R.; Lamb, T.A.; Lanza, M.; Hopkins, D.L. Relationship between Consumer Ranking of Lamb Colour and Objective Measures of Colour. Meat Sci. 2010, 85, 224–229. [Google Scholar] [CrossRef]
- Moradinezhad, F.; Dorostkar, M. Effect of Vacuum and Modified Atmosphere Packaging on the Quality Attributes and Sensory Evaluation of Fresh Jujube Fruit. Int. J. Fruit Sci. 2021, 21, 82–94. [Google Scholar] [CrossRef]
- Paulsen, P.; Smulders, F.J.M. Encyclopedia of Meat Sciences, 2nd ed.; Elsevier Science: London, UK, 2014; Volume 9, ISBN 9780123847348. [Google Scholar]
- Shrestha, S.; Min, Z. Effect of Lactic Acid Pretreatment on the Quality of Fresh Pork Packed in Modified Atmosphere. J. Food Eng. 2006, 72, 254–260. [Google Scholar] [CrossRef]
- Guerra-Rivas, C.; Vieira, C.; Rubio, B.; Martínez, B.; Gallardo, B.; Mantecón, A.R.; Lavín, P.; Manso, T. Effects of Grape Pomace in Growing Lamb Diets Compared with Vitamin E and Grape Seed Extract on Meat Shelf Life. Meat Sci. 2016, 116, 221–229. [Google Scholar] [CrossRef]
- Fernandes, R.D.P.P.; Freire, M.T.D.A.; de Paula, E.S.M.; Kanashiro, A.L.S.; Catunda, F.A.P.; Rosa, A.F.; Balieiro, J.C.D.C.; Trindade, M.A. Stability of Lamb Loin Stored under Refrigeration and Packed in Different Modified Atmosphere Packaging Systems. Meat Sci. 2014, 96, 554–561. [Google Scholar] [CrossRef]
- Insausti, K.; Beriain, M.J.; Purroy, A.; Alberti, P.; Gorraiz, C.; Alzueta, M.J. Shelf Life of Beef from Local Spanish Cattle Breeds Stored under Modified Atmosphere. Meat Sci. 2001, 57, 273–281. [Google Scholar] [CrossRef] [PubMed]
- Bekhit, A.E.D.; Faustman, C. Metmyoglobin Reducing Activity. Meat Sci. 2005, 71, 407–439. [Google Scholar] [CrossRef] [PubMed]
- Cunha, L.C.M.; Monteiro, M.L.G.; Lorenzo, J.M.; Munekata, P.E.S.; Muchenje, V.; de Carvalho, F.A.L.; Conte-Junior, C.A. Natural Antioxidants in Processing and Storage Stability of Sheep and Goat Meat Products. Food Res. Int. 2018, 111, 379–390. [Google Scholar] [CrossRef]
- Peng, X.; Cheng, K.W.; Ma, J.; Chen, B.; Ho, C.T.; Lo, C.; Chen, F.; Wang, M. Cinnamon Bark Proanthocyanidins as Reactive Carbonyl Scavengers to Prevent the Formation of Advanced Glycation Endproducts. J. Agric. Food Chem. 2008, 56, 1907–1911. [Google Scholar] [CrossRef]
- Jeremiah, L.E.; Gibson, L.L. The Influence of Packaging and Storage Time on the Retail Properties and Case-Life of Retail-Ready Beef. Food Res. Int. 2001, 34, 621–631. [Google Scholar] [CrossRef]
- Jakobsen, M.; Bertelsen, G. Colour Stability and Lipid Oxidation of Fresh Beef. Development of a Response Surface Model for Predicting the Effects of Temperature, Storage Time, and Modified Atmosphere Composition. Meat Sci. 2000, 54, 49–57. [Google Scholar] [CrossRef]
- Raines, C.R.; Hunt, M.C. Headspace Volume and Percentage of Carbon Monoxide Affects Carboxymyoglobin Layer Development of Modified Atmosphere Packaged Beef Steaks. J. Food Sci. 2010, 75, C62–C65. [Google Scholar] [CrossRef]
- Carballo, D.E.; Caro, I.; Andrés, S.; Giráldez, F.J.; Mateo, J. Assessment of the Antioxidant Effect of Astaxanthin in Fresh, Frozen and Cooked Lamb Patties. Food Res. Int. 2018, 111, 342–350. [Google Scholar] [CrossRef]
- ICMSF | International Commission on Microbiological Specifications for Foods—Evaluating Issues and Making Timely Contributions on Newly Emerging Food Safety Concerns. Available online: https://www.icmsf.org/ (accessed on 28 June 2023).
- Stewart, G.S.A.B. Micro-Organisms in Food—2. Sampling for Microbiological Analysis: Principles and Specific Applications. Meat Sci. 1987, 19, 315. [Google Scholar] [CrossRef] [PubMed]
- Wabeck, C.J. Quality Assurance and Food Safety—Chicken Meat. In Commercial Chicken Meat and Egg Production; Springer: Boston, MA, USA, 2002; pp. 871–887. [Google Scholar]
- Hayes, J.E.; Stepanyan, V.; Allen, P.; O’Grady, M.N.; Kerry, J.P. Effect of Lutein, Sesamol, Ellagic Acid and Olive Leaf Extract on the Quality and Shelf-Life Stability of Packaged Raw Minced Beef Patties. Meat Sci. 2010, 84, 613–620. [Google Scholar] [CrossRef] [PubMed]
- Corry, J.E.L. Spoilage Organisms of Red Meat and Poultry. In Microbiological Analysis of Red Meat, Poultry and Eggs: A Volume in Woodhead Publishing Series in Food Science, Technology and Nutrition; Elsevier Ltd.: Amsterdam, The Netherlands, 2006; pp. 101–122. ISBN 9781845690595. [Google Scholar]
- Hilbig, J.; Ma, Q.; Davidson, P.M.; Weiss, J.; Zhong, Q. Physical and Antimicrobial Properties of Cinnamon Bark Oil Co-Nanoemulsified by Lauric Arginate and Tween 80. Int. J. Food Microbiol. 2016, 233, 52–59. [Google Scholar] [CrossRef] [PubMed]
- Vasconcelos, N.G.; Croda, J.; Simionatto, S. Antibacterial Mechanisms of Cinnamon and Its Constituents: A Review. Microb. Pathog. 2018, 120, 198–203. [Google Scholar] [CrossRef] [PubMed]
- Mano, S.B.; Ordóñez Pereda, J.A.; García de Fernando, G.D. Aumento Da Vida Útil e Microbiologia Da Carne Suína Embalada Em Atmosfera Modificada. Ciência e Tecnol. Aliment. 2002, 22, 1–10. [Google Scholar] [CrossRef][Green Version]
- Bajpai, V.K.; Sharma, A.; Baek, K.H. Antibacterial Mode of Action of Cudrania Tricuspidata Fruit Essential Oil, Affecting Membrane Permeability and Surface Characteristics of Food-Borne Pathogens. Food Control 2013, 32, 582–590. [Google Scholar] [CrossRef]
- Ghabraie, M.; Vu, K.D.; Tata, L.; Salmieri, S.; Lacroix, M. Antimicrobial effect of essential oils in combinations against five bacteria and their effect on sensorial quality of ground meat. LWT-Food Sci. Technol. 2016, 66, 332–339. [Google Scholar] [CrossRef]

| Treatments | Storage Time (Day) | |||||||
|---|---|---|---|---|---|---|---|---|
| Packaging Types | CBO | 0 | 4 | 8 | 12 | 16 | SEM | p-Value |
| Ow | 0% | 5.43 d | 5.50 Dc | 5.66 ABb | 5.70 Ab | 5.92 Aa | 0.07 | <0.002 |
| MAP1 | 0% | 5.49 d | 5.60 BCc | 5.59 Cc | 5.68 Ab | 5.78 Ba | 0.07 | <0.001 |
| 0.025% | 5.46 bc | 5.57 CDb | 5.69 Aa | 5.70 Aa | 5.68 Ca | 0.09 | <0.001 | |
| 0.05% | 5.50 c | 5.64 ABb | 5.62 BCb | 5.68 Ab | 5.77 Ba | 0.10 | <0.001 | |
| MAP2 | 0% | 5.46 c | 5.67 Ab | 5.63 BCb | 5.69 Ab | 5.78 Ba | 0.11 | <0.001 |
| 0.025% | 5.54 bc | 5.55 CDc | 5.65 ABb | 5.71 Ab | 5.81 Ba | 0.10 | <0.001 | |
| 0.05% | 5.47 b | 5.58 Cb | 5.71 Aba | 5.69 Aa | 5.74 BCa | 0.09 | <0.001 | |
| p-value | <0.59 | <0.001 | <0.001 | <0.336 | <0.001 | |||
| Treatments | Storage Time (Day) | ||||||||
|---|---|---|---|---|---|---|---|---|---|
| Packaging Types | CBO | 0 | 4 | 8 | 12 | 16 | SEM | p-Value | |
| L* | Ow | 0% | 41.6 b | 43.0 Ca | 40.1 Db | 41.6 Db | 39.0 Cc | 0.20 | <0.005 |
| MAP1 | 0% | 41.4 c | 46.3 ABa | 43.7 Bb | 47.3 ABa | 47.1 Ba | 0.40 | <0.001 | |
| 0.025% | 42.6 c | 47.9 Aab | 45.7 ABb | 48.1 Aab | 48.8 Aa | 0.23 | <0.001 | ||
| 0.05% | 40.7 c | 46.9 Ab | 47.1 Ab | 48.3 Aab | 49.2 Aa | 0.29 | <0.001 | ||
| MAP2 | 0% | 40.8 b | 44.8 BCa | 44.8 Ba | 44.8 Ca | 44.6 BCa | 0.29 | <0.001 | |
| 0.025% | 41.0 c | 46.5 ABa | 46.7 Aa | 45.1 Cb | 46.0 Ba | 0.35 | <0.001 | ||
| 0.05% | 42.2 b | 46.1 ABa | 46.8 Aa | 46.1 BCa | 46.8 Ba | 0.37 | <0.001 | ||
| p-value | <0.290 | <0.001 | <0.001 | <0.001 | <0.001 | ||||
| a* | Ow | 0% | 12.1 a | 12.3 BCa | 12.5 Ca | 9.8 Cb | 7.9 Cc | 0.12 | <0.001 |
| MAP1 | 0% | 12.3 b | 13.0 Bb | 13.8 Bb | 14.8 Aa | 13.8 ABb | 0.44 | <0.001 | |
| 0.025% | 12.1 b | 14.6 Aa | 15.9 Aa | 14.2 Aa | 14.5 Aa | 0.20 | <0.001 | ||
| 0.05% | 13.0 b | 14.5 Aa | 13.9 Bab | 13.2 Aab | 14.9 Aa | 0.22 | <0.108 | ||
| MAP2 | 0% | 12.1 a | 11.2 Ca | 11.3 Da | 11.4 Ba | 13.0 Ba | 0.38 | <0.341 | |
| 0.025% | 12.8 a | 11.5 Cb | 12.3 CDa | 10.7 BCb | 12.3 Ba | 0.21 | <0.056 | ||
| 0.05% | 11.9 a | 11.6 Ca | 11.8 CDa | 10.0 BCb | 12.8 BCa | 0.25 | <0.243 | ||
| p-value | <0.266 | <0.0001 | <0.001 | <0.001 | <0.001 | ||||
| b* | Ow | 0% | 11.7 b | 13.9 ABa | 15.3 ABCa | 15.7 ABa | 16.3 Aa | 0.19 | <0.001 |
| MAP1 | 0% | 11.9 c | 13.2 Bb | 13.0 Db | 14.1 BCa | 15.4 ABa | 0.19 | <0.000 | |
| 0.025% | 11.9 c | 12.5 Bbc | 14.1 BCa | 14.8 ABa | 13.9 Bab | 0.25 | <0.027 | ||
| 0.05% | 11.1 c | 13.6 Bab | 12.8 Db | 13.6 Cab | 14.7 Ba | 0.23 | <0.007 | ||
| MAP2 | 0% | 11.8 d | 14.3 ABc | 15.9 Aab | 14.9 ABbc | 16.7 Aa | 0.17 | <0.001 | |
| 0.025% | 11.2 c | 12.3 Bc | 14.2 Cb | 15.1 ABab | 16.4 Aa | 0.24 | <0.001 | ||
| 0.05% | 11.7 b | 15.6 Aa | 15.7 ABa | 16.2 Aa | 15.6 ABa | 0.18 | <0.001 | ||
| p-value | <0.697 | <0.014 | <0.001 | <0.004 | <0.001 | ||||
| Chroma | Ow | 0% | 16.8 c | 18.6 ABb | 19.0 Ba | 17.8 Cc | 17.4 Bb | 0.18 | <0.001 |
| MAP1 | 0% | 17.1 b | 18.4 ABab | 18.3 Bab | 20.7 Aa | 20.5 Aa | 0.33 | <0.023 | |
| 0.025% | 17.0 c | 19.0 Ab | 21.2 Aa | 19.4 ABb | 20.5 Aab | 0.28 | <0.001 | ||
| 0.05% | 17.4 b | 19.9 Aa | 18.1 Bab | 18.7 ABab | 19.8 ABa | 0.32 | <0.057 | ||
| MAP2 | 0% | 16.9 c | 18.2 ABbc | 19.6 Bab | 18.1 BCbc | 21.5 Aa | 0.38 | <0.006 | |
| 0.025% | 17.0 b | 17.1 Cb | 19.0 Bab | 18.5 ABab | 21.5 Aa | 0.29 | <0.001 | ||
| 0.05% | 16.6 b | 19.5 Aa | 19.7 Ba | 19.9 ABa | 19.7 ABa | 0.20 | <0.001 | ||
| p-value | <0.882 | <0.118 | <0.002 | <0.039 | <0.070 | ||||
| Hue | Ow | 0% | 43.9 d | 48.9 BCc | 50.8 Bc | 56.3 Ab | 63.6 Aa | 0.14 | <0.001 |
| MAP1 | 0% | 44.1 a | 44.9 CDa | 44.9 Ca | 45.0 Ba | 48.1 CDa | 0.84 | <0.001 | |
| 0.025% | 44.6 a | 41.0 Da | 44.5 Ca | 44.1 Ba | 43.5 DEa | 0.65 | <0.662 | ||
| 0.05% | 41.7 a | 42.4 Da | 41.6 Ca | 45.8 Ba | 41.6 Ea | 0.60 | <0.177 | ||
| MAP2 | 0% | 44.5 b | 51.9 ABa | 54.8 Aa | 52.1 Aa | 51.9 BCa | 0.65 | <0.001 | |
| 0.025% | 41.5 c | 47.8 Cb | 49.8 Bb | 54.7 Aa | 51.3 BCa | 0.49 | <0.001 | ||
| 0.05% | 44.5 b | 53.3 Aa | 53.2 ABa | 56.4 Aa | 53.3 Ba | 0.73 | <0.001 | ||
| p-value | <0.985 | <0.001 | <0.001 | <0.001 | <0.001 | ||||
| Treatments | Storage Time (Day) | ||||||||
|---|---|---|---|---|---|---|---|---|---|
| Packaging Types | CBO | 0 | 4 | 8 | 12 | 16 | SEM | p-Value | |
| DeoxyMb | Ow | 0% | 51.3 a | 25.4 Acd | 30.3 Ab | 27.6 Ac | 24.3 Ad | 0.20 | <0.001 |
| MAP1 | 0% | 52.3 a | 16.2 Bc | 18.3 Bc | 20.3 Bb | 17.5 BCc | 0.40 | <0.021 | |
| 0.025% | 53.3 a | 15.1 BCb | 16.6 BCb | 14.6 Cb | 11.6 Dc | 0.23 | <0.001 | ||
| 0.05% | 52.3 a | 14.6 BCb | 13.6 Cb | 12.9 Db | 13.6 Db | 0.29 | <0.001 | ||
| MAP2 | 0% | 51.3 a | 14.6 BCd | 16.2 BCcd | 17.0 BCbc | 19.1 Bb | 0.29 | <0.001 | |
| 0.025% | 52.2 a | 13.1 Cc | 15.1 BCbc | 16.1 BCb | 17.0 BCb | 0.35 | <0.001 | ||
| 0.05% | 51.2 a | 14.1 Bbc | 15.1 BCb | 13.1 CDb | 15.1 Cb | 0.37 | <0.001 | ||
| p-value | <0.291 | <0.001 | <0.001 | <0.001 | <0.001 | ||||
| OxyMb | Ow | 0% | 26.2 b | 36.5 Ca | 26.3 Cb | 24.5 Fb | 19.0 Dc | 0.19 | <0.001 |
| MAP1 | 0% | 26.2 d | 60.4 Aa | 56.2 Bb | 50.8 Dc | 49.6 Bc | 0.46 | <0.001 | |
| 0.025% | 26.2 d | 63.3 Aa | 60.5 Ab | 58.5 Bc | 57.9 Ac | 0.25 | <0.001 | ||
| 0.05% | 26.2 c | 62.9 Aa | 61.8 Aa | 59.5 Aab | 54.8 Ab | 0.45 | <0.001 | ||
| MAP2 | 0% | 27.5 e | 56.5 Ba | 55.2 Bb | 47.1 Ec | 33.9 Cd | 0.38 | <0.001 | |
| 0.025% | 26.2 e | 62.3 Aa | 57.9 ABb | 50.3 Dc | 39.4 Cd | 0.26 | <0.001 | ||
| 0.05% | 27.2 d | 60.3 Aa | 55.3 Bb | 55.0 Cb | 42.9 Bc | 0.45 | <0.001 | ||
| p-value | <0.766 | <0.001 | <0.001 | <0.001 | <0.001 | ||||
| MetMb | Ow | 0% | 19.3 e | 26.7 Ad | 32.5 Ac | 42.5 Ab | 55.3 Aa | 0.19 | <0.001 |
| MAP1 | 0% | 18.5 d | 20.6 Bc | 25.7 Fb | 29.1 Db | 33.0 Ea | 0.19 | <0.001 | |
| 0.025% | 18.9 d | 21.7 Bc | 23.9 EFc | 27.1 Eb | 30.7 Ea | 0.25 | <0.001 | ||
| 0.05% | 19.9 e | 22.6 Bd | 24.7 Dc | 27.7 Eb | 31.6 Da | 0.23 | <0.001 | ||
| MAP2 | 0% | 20.9 e | 24.0 Ad | 28.7 BCc | 35.9 Bb | 46.9 Ba | 0.17 | <0.001 | |
| 0.025% | 20.7 e | 24.7 Ad | 27.6 CDc | 33.7 Cb | 43.7 Bca | 0.24 | <0.001 | ||
| 0.05% | 20.6 d | 25.6 Ac | 29.7 Bb | 31.9 Db | 42.1 Ca | 0.18 | <0.001 | ||
| p-value | <0.697 | <0.014 | <0.001 | <0.004 | <0.001 | ||||
| Treatments | Storage Time (Day) | |||||||
|---|---|---|---|---|---|---|---|---|
| Packaging Types | CBO | 0 | 4 | 8 | 12 | 16 | SEM | p-Value |
| Ow | 0% | 0.36 d | 0.44 Ad | 0.92 Ac | 1.65 Ab | 2.26 Aa | 0.09 | <0.001 |
| MAP1 | 0% | 0.35 d | 0.40 Bd | 0.61 Bc | 0.79 Bb | 1.16 Ba | 0.01 | <0.001 |
| 0.025% | 0.33 d | 0.39 Bd | 0.51 CDc | 0.75 Bb | 0.93 CDa | 0.03 | <0.001 | |
| 0.05% | 0.34 d | 0.41 ABd | 0.58 Bc | 0.81 Bb | 0.97 Ca | 0.11 | <0.001 | |
| MAP2 | 0% | 0.34 c | 0.38 Bd | 0.54 BCc | 0.63 BCb | 0.85 DEa | 0.19 | <0.001 |
| 0.025% | 0.35 d | 0.39 Bd | 0.46 Cc | 0.54 Cb | 0.71 EFa | 0.05 | <0.001 | |
| 0.05% | 0.36 d | 0.39 Bd | 0.49 CDc | 0.57 Cb | 0.75 Fa | 0.07 | <0.001 | |
| p-value | <0.082 | <0.034 | <0.001 | <0.001 | <0.001 | |||
Disclaimer/Publisher’s Note: The statements, opinions and data contained in all publications are solely those of the individual author(s) and contributor(s) and not of MDPI and/or the editor(s). MDPI and/or the editor(s) disclaim responsibility for any injury to people or property resulting from any ideas, methods, instructions or products referred to in the content. |
© 2023 by the authors. Licensee MDPI, Basel, Switzerland. This article is an open access article distributed under the terms and conditions of the Creative Commons Attribution (CC BY) license (https://creativecommons.org/licenses/by/4.0/).
Share and Cite
Hussain, Z.; Ijaz, M.; Zhang, Y.; Bai, Y.; Hou, C.; Li, X.; Zhang, D. Combined Effect of Cinnamon Bark Oil and Packaging Methods on Quality of Fresh Lamb Meat Patties during Storage at 4 °C. Foods 2023, 12, 2916. https://doi.org/10.3390/foods12152916
Hussain Z, Ijaz M, Zhang Y, Bai Y, Hou C, Li X, Zhang D. Combined Effect of Cinnamon Bark Oil and Packaging Methods on Quality of Fresh Lamb Meat Patties during Storage at 4 °C. Foods. 2023; 12(15):2916. https://doi.org/10.3390/foods12152916
Chicago/Turabian StyleHussain, Zubair, Muawuz Ijaz, Yejun Zhang, Yuqiang Bai, Chengli Hou, Xin Li, and Dequan Zhang. 2023. "Combined Effect of Cinnamon Bark Oil and Packaging Methods on Quality of Fresh Lamb Meat Patties during Storage at 4 °C" Foods 12, no. 15: 2916. https://doi.org/10.3390/foods12152916
APA StyleHussain, Z., Ijaz, M., Zhang, Y., Bai, Y., Hou, C., Li, X., & Zhang, D. (2023). Combined Effect of Cinnamon Bark Oil and Packaging Methods on Quality of Fresh Lamb Meat Patties during Storage at 4 °C. Foods, 12(15), 2916. https://doi.org/10.3390/foods12152916

