The Release Behavior of Anthraquinones Encapsulated into Casein Micelles during In Vitro Digestion
Abstract
1. Introduction
2. Materials and Methods
2.1. Materials
2.2. Methods
Ultrasonic-Assisted Encapsulation of Anthraquinones into CM and Preparation of Spray-Dried Microcapsules
2.3. In Vitro Static Digestion
2.3.1. Release Behavior of Anthraquinones during In Vitro Digestion
2.3.2. Scanning Electron Microscopy during In Vitro Digestion
2.3.3. Fourier Transform Infrared (FTIR) Spectroscopy during In Vitro Digestion
2.3.4. Statistical Analysis
3. Results and Discussion
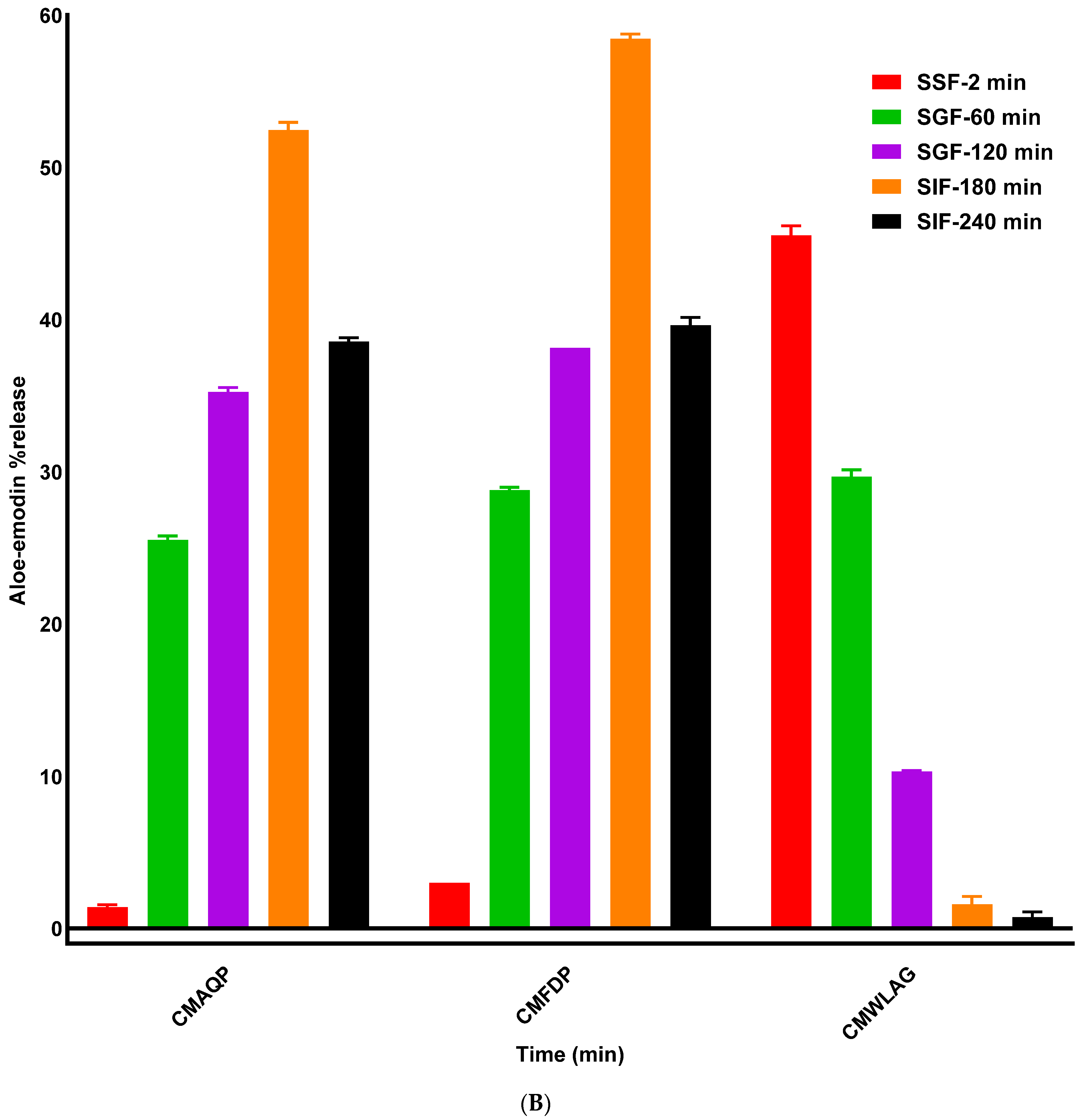
3.1. Release of Anthraquinones during In Vitro Digestion
3.2. SEM Images of Microcapsules during In Vitro Digestion
3.3. Structural Modification of Microcapsules during In Vitro Digestion


3.4. Mechanism

4. Conclusions
Author Contributions
Funding
Institutional Review Board Statement
Informed Consent Statement
Data Availability Statement
Acknowledgments
Conflicts of Interest
References
- Sánchez-Machado, D.I.; López-Cervantes, J.; Sendón, R.; Sanches-Silva, A. Aloe vera: Ancient knowledge with new frontiers. Trends Food Sci. Technol. 2017, 61, 94–102. [Google Scholar] [CrossRef]
- Tariq, H.; Zia, M.; Ihsan ul, H.; Muhammad, S.A.; Khan, S.A.; Fatima, N.; Mannan, A.; Abbasi, A.M.; Zhang, M. Antioxidant, Antimicrobial, Cytotoxic, and Protein Kinase Inhibition Potential in Aloe vera L. BioMed Res. Int. 2019, 2019, 6478187. [Google Scholar] [CrossRef] [PubMed]
- Dabai, Y.; Muhammad, S.; Aliyu, B. Antibacterial activity of anthraquinone fraction of Vitex doniana. Pak. J. Biol. Sci. 2007, 1–3. [Google Scholar]
- Sadiq, U.; Gill, H.; Chandrapala, J. Temperature and pH Stability of Anthraquinones from Native Aloe vera Gel, Spray-Dried and Freeze-Dried Aloe vera Powders during Storage. Foods 2022, 11, 1613. [Google Scholar] [CrossRef]
- Sadiq, U.; Gill, H.; Chandrapala, J. Ultrasound-Assisted Encapsulation of Anthraquinones Extracted from Aloe-Vera Plant into Casein Micelles. Gels 2022, 8, 597. [Google Scholar] [CrossRef]
- Sadiq, U.; Gill, H.; Chandrapala, J. Casein Micelles as an Emerging Delivery System for Bioactive Food Components. Foods 2021, 10, 1965. [Google Scholar] [CrossRef] [PubMed]
- Zahariev, N.; Marudova, M.; Milenkova, S.; Uzunova, Y.; Pilicheva, B. Casein Micelles as Nanocarriers for Benzydamine Delivery. Polymers 2021, 13, 4357. [Google Scholar] [CrossRef]
- Yan, B.; Davachi, S.M.; Ravanfar, R.; Dadmohammadi, Y.; Deisenroth, T.W.; Van Pho, T.; Odorisio, P.A.; Darji, R.H.; Abbaspourrad, A. Improvement of vitamin C stability in vitamin gummies by encapsulation in casein gel. Food Hydrocoll. 2021, 113, 106414. [Google Scholar] [CrossRef]
- Yang, M.; Wei, Y.; Ashokkumar, M.; Qin, J.; Han, N.; Wang, Y. Effect of ultrasound on binding interaction between emodin and micellar casein and its microencapsulation at various temperatures. Ultrason. Sonochem. 2020, 62, 104861. [Google Scholar] [CrossRef]
- Moeller, H.; Martin, D.; Schrader, K.; Hoffmann, W.; Lorenzen, P.C. Spray-or freeze-drying of casein micelles loaded with Vitamin D2: Studies on storage stability and in vitro digestibility. LWT 2018, 97, 87–93. [Google Scholar] [CrossRef]
- Liao, M.; Ma, L.; Miao, S.; Hu, X.; Liao, X.; Chen, F.; Ji, J. The in-vitro digestion behaviors of milk proteins acting as wall materials in spray-dried microparticles: Effects on the release of loaded blueberry anthocyanins. Food Hydrocoll. 2021, 115, 106620. [Google Scholar]
- Tan, S.; Ebrahimi, A.; Langrish, T. Controlled release of caffeine from tablets of spray-dried casein gels. Food Hydrocoll. 2019, 88, 13–20. [Google Scholar] [CrossRef]
- Chang, C.; Wang, T.; Hu, Q.; Luo, Y. Caseinate-zein-polysaccharide complex nanoparticles as potential oral delivery vehicles for curcumin: Effect of polysaccharide type and chemical cross-linking. Food Hydrocoll. 2017, 72, 254–262. [Google Scholar]
- Wang, X.; Ye, A.; Lin, Q.; Han, J.; Singh, H. Gastric digestion of milk protein ingredients: Study using an in vitro dynamic model. J. Dairy Sci. 2018, 101, 6842–6852. [Google Scholar] [CrossRef]
- Tuinier, R.; de Kruif, C.G. Stability of casein micelles in milk. J. Chem. Phys. 2002, 117, 1290–1295. [Google Scholar] [CrossRef]
- He, T.; Giuseppin, M.L. Slow and fast dietary proteins differentially modulate postprandial metabolism. Int. J. Food Sci. Nutr. 2014, 65, 386–390. [Google Scholar] [CrossRef]
- Jarunglumlert, T.; Nakagawa, K.; Adachi, S. Digestibility and structural parameters of spray-dried casein clusters under simulated gastric conditions. Food Res. Int. 2015, 75, 166–173. [Google Scholar] [CrossRef]
- Liao, M.; Chen, F.; Hu, X.; Liao, X.; Miao, S.; Ma, L.; Ji, J. Controlled gastrointestinal digestion of micellar casein loaded anthocyanins: The chelating and complexing effect of dextran sulfate. Food Hydrocoll. 2022, 132, 107863. [Google Scholar] [CrossRef]
- Yang, M.; Ye, A.; Yang, Z.; Everett, D.W.; Gilbert, E.P.; Singh, H. Pepsin-induced coagulation of casein micelles: Effect of whey proteins and heat treatment. Food Chem. 2023, 402, 134214. [Google Scholar] [CrossRef]
- Sadiq, U.; Gill, H.; Chandrapala, J.; Shahid, F. Influence of Spray Drying on Encapsulation Efficiencies and Structure of Casein Micelles Loaded with Anthraquinones Extracted from Aloe vera Plant. Appl. Sci. 2023, 13, 110. [Google Scholar] [CrossRef]
- Minekus, M.; Alminger, M.; Alvito, P.; Ballance, S.; Bohn, T.; Bourlieu, C.; Carrière, F.; Boutrou, R.; Corredig, M.; Dupont, D. A standardised static in vitro digestion method suitable for food–an international consensus. Food Funct. 2014, 5, 1113–1124. [Google Scholar] [CrossRef] [PubMed]
- Zahid, H.F.; Ali, A.; Legione, A.R.; Ranadheera, C.S.; Fang, Z.; Dunshea, F.R.; Ajlouni, S. Probiotic yoghurt enriched with mango peel powder: Biotransformation of phenolics and modulation of metabolomic outputs after in vitro digestion and colonic fermentation. Int. J. Mol. Sci. 2023, 24, 8560. [Google Scholar] [PubMed]
- Haratifar, S.; Meckling, K.A.; Corredig, M. Bioefficacy of tea catechins encapsulated in casein micelles tested on a normal mouse cell line (4D/WT) and its cancerous counterpart (D/v-src) before and after in vitro digestion. Food Funct. 2014, 5, 1160–1166. [Google Scholar] [CrossRef]
- Carrière, F. Impact of gastrointestinal lipolysis on oral lipid-based formulations and bioavailability of lipophilic drugs. Biochimie 2016, 125, 297–305. [Google Scholar] [CrossRef] [PubMed]
- Luo, Y.; Pan, K.; Zhong, Q. Casein/pectin nanocomplexes as potential oral delivery vehicles. Int. J. Pharm. 2015, 486, 59–68. [Google Scholar] [CrossRef] [PubMed]
- Porter, C.J.; Trevaskis, N.L.; Charman, W.N. Lipids and lipid-based formulations: Optimizing the oral delivery of lipophilic drugs. Nat. Rev. Drug Discov. 2007, 6, 231–248. [Google Scholar] [PubMed]
- Solaberrieta, I.; Jiménez, A.; Garrigós, M.C. Valorization of Aloe vera Skin By-Products to Obtain Bioactive Compounds by Microwave-Assisted Extraction: Antioxidant Activity and Chemical Composition. Antioxidants 2022, 11, 1058. [Google Scholar] [PubMed]
- Acevedo Cortez, J.S.; Kharisov, B.I.; Serrano, T.; González, L.T.; Kharissova, O.V. Hydrophobization and evaluation of absorption capacity of Aloe vera, Opuntia ficus-indica and Gelidium for oil spill cleanup. J. Dispers. Sci. Technol. 2019, 40, 884–891. [Google Scholar] [CrossRef]
- Choi, Y.M.; Kim, C.-H. An optimized methodology to observe internal microstructures of Aloe vera by cryo-scanning electron microscope. Appl. Microsc. 2016, 46, 76–82. [Google Scholar] [CrossRef]
- Scudino, H.; Guimarães, J.T.; Ramos, G.L.P.; Santillo, A.; Pimentel, T.C.; Cruz, A.G.; Albenzio, M. High-Intensity Ultrasound in Cheese Processing. Curr. Opin. Food Sci. 2023, 50, 101004. [Google Scholar] [CrossRef]
- Sinaga, H.; Bansal, N.; Bhandari, B. Effects of milk pH alteration on casein micelle size and gelation properties of milk. Int. J. Food Prop. 2017, 20, 179–197. [Google Scholar] [CrossRef]
- Famelart, M.-H.; Lepesant, F.; Gaucheron, F.; Le Graet, Y.; Schuck, P. pH-Induced physicochemical modifications of native phosphocaseinate suspensions: Influence of aqueous phase. Le Lait 1996, 76, 445–460. [Google Scholar] [CrossRef]
- Liao, M.; Chen, F.; Hu, X.; Miao, S.; Ma, L.; Ji, J. The in-vitro digestion behaviors of micellar casein acting as wall materials in spray-dried microparticles: The relationships between colloidal calcium phosphate and the release of loaded blueberry anthocyanins. Food Chem. 2022, 375, 131864. [Google Scholar] [PubMed]
- Barbé, F.; Ménard, O.; Le Gouar, Y.; Buffière, C.; Famelart, M.-H.; Laroche, B.; Le Feunteun, S.; Rémond, D.; Dupont, D. Acid and rennet gels exhibit strong differences in the kinetics of milk protein digestion and amino acid bioavailability. Food Chem. 2014, 143, 1–8. [Google Scholar] [CrossRef]
- Floury, J.; Bianchi, T.; Thévenot, J.; Dupont, D.; Jamme, F.; Lutton, E.; Panouillé, M.; Boué, F.; Le Feunteun, S. Exploring the breakdown of dairy protein gels during in vitro gastric digestion using time-lapse synchrotron deep-UV fluorescence microscopy. Food Chem. 2018, 239, 898–910. [Google Scholar] [CrossRef] [PubMed]
- Mulet-Cabero, A.-I.; Rigby, N.M.; Brodkorb, A.; Mackie, A.R. Dairy food structures influence the rates of nutrient digestion through different in vitro gastric behaviour. Food Hydrocoll. 2017, 67, 63–73. [Google Scholar] [CrossRef]
- Ye, A.; Cui, J.; Dalgleish, D.; Singh, H. Formation of a structured clot during the gastric digestion of milk: Impact on the rate of protein hydrolysis. Food Hydrocoll. 2016, 52, 478–486. [Google Scholar]
- Guo, Q.; Ye, A.; Singh, H.; Rousseau, D. Destructuring and restructuring of foods during gastric digestion. Compr. Rev. Food Sci. Food Saf. 2020, 19, 1658–1679. [Google Scholar] [CrossRef] [PubMed]
- Moitzi, C.; Menzel, A.; Schurtenberger, P.; Stradner, A. The pH induced sol−gel transition in skim milk revisited. A detailed study using time-resolved light and X-ray scattering experiments. Langmuir 2011, 27, 2195–2203. [Google Scholar] [CrossRef] [PubMed]
- Ye, A. Gastric colloidal behaviour of milk protein as a tool for manipulating nutrient digestion in dairy products and protein emulsions. Food Hydrocoll. 2021, 115, 106599. [Google Scholar] [CrossRef]
- Broersen, K. Milk processing affects structure, bioavailability and immunogenicity of β-lactoglobulin. Foods 2020, 9, 874. [Google Scholar] [CrossRef] [PubMed]
- Gonzalez-Jordan, A.; Thomar, P.; Nicolai, T.; Dittmer, J. The effect of pH on the structure and phosphate mobility of casein micelles in aqueous solution. Food Hydrocoll. 2015, 51, 88–94. [Google Scholar]
- Sun, Y.; Tai, Z.; Yan, T.; Dai, Y.; Hemar, Y.; Li, N. Unveiling the structure of the primary caseinate particle using small-angle X-ray scattering and simulation methodologies. Food Res. Int. 2021, 149, 110653. [Google Scholar] [PubMed]
- Broyard, C.; Gaucheron, F. Modifications of structures and functions of caseins: A scientific and technological challenge. Dairy Sci. Technol. 2015, 95, 831–862. [Google Scholar] [CrossRef]
- Chobert, J.M.; Bertrand-Harb, C.; Nicolas, M.G. Solubility and emulsifying properties of caseins and whey proteins modified enzymically by trypsin. J. Agric. Food Chem. 1988, 36, 883–892. [Google Scholar] [CrossRef]
- Barth, A.; Zscherp, C. What vibrations tell about proteins. Q. Rev. Biophys. 2002, 35, 369–430. [Google Scholar] [CrossRef] [PubMed]
- Singh, B.R.; DeOliveira, D.B.; Fu, F.-N.; Fuller, M.P. Fourier transform infrared analysis of amide III bands of proteins for the secondary structure estimation. In Proceedings of the Biomolecular spectroscopy III, Los Angeles, CA, USA, 17–18 January 1993; pp. 47–55. [Google Scholar]
- Barth, A. Infrared spectroscopy of proteins. Biochim. Biophys. Acta (BBA)—Bioenerg. 2007, 1767, 1073–1101. [Google Scholar]
- Curley, D.M.; Kumosinski, T.F.; Unruh, J.J.; Farrell, H.M., Jr. Changes in the secondary structure of bovine casein by Fourier transform infrared spectroscopy: Effects of calcium and temperature. J. Dairy Sci. 1998, 81, 3154–3162. [Google Scholar]
- Hussain, R.; Gaiani, C.; Aberkane, L.; Ghanbaja, J.; Scher, J. Multiscale characterization of casein micelles under NaCl range conditions. Food Biophys. 2011, 6, 503–511. [Google Scholar] [CrossRef]
- Rojas-Candelas, L.E.; Chanona-Pérez, J.J.; Méndez, J.V.M.; Morales-Hernández, J.A.; Benavides, H.A.C. Characterization of Structural Changes of Casein Micelles at Different PH Using Microscopy and Spectroscopy Techniques. Microsc. Microanal. 2022, 28, 527–536. [Google Scholar] [CrossRef] [PubMed]





| Constituent (mL/L) | SSF | SGF | SIF |
|---|---|---|---|
| KCL | 15.1 | 8.6 | 8.5 |
| KH2PO4 | 4.6 | 1.12 | 1 |
| NaHCO3 | 8.5 | 15.62 | 53.12 |
| MgCl2 | 0.62 | 0.5 | 1.37 |
| (NH4)2CO3 | 0.075 | 0.62 | 0 |
| NaCl | 0 | 14.75 | 12 |
| HCL | as per pH adjustments | as per pH adjustments | as per pH adjustments |
| NaOH | as per pH adjustments | as per pH adjustments | as per pH adjustments |
Disclaimer/Publisher’s Note: The statements, opinions and data contained in all publications are solely those of the individual author(s) and contributor(s) and not of MDPI and/or the editor(s). MDPI and/or the editor(s) disclaim responsibility for any injury to people or property resulting from any ideas, methods, instructions or products referred to in the content. |
© 2023 by the authors. Licensee MDPI, Basel, Switzerland. This article is an open access article distributed under the terms and conditions of the Creative Commons Attribution (CC BY) license (https://creativecommons.org/licenses/by/4.0/).
Share and Cite
Sadiq, U.; Shahid, F.; Gill, H.; Chandrapala, J. The Release Behavior of Anthraquinones Encapsulated into Casein Micelles during In Vitro Digestion. Foods 2023, 12, 2844. https://doi.org/10.3390/foods12152844
Sadiq U, Shahid F, Gill H, Chandrapala J. The Release Behavior of Anthraquinones Encapsulated into Casein Micelles during In Vitro Digestion. Foods. 2023; 12(15):2844. https://doi.org/10.3390/foods12152844
Chicago/Turabian StyleSadiq, Uzma, Fatima Shahid, Harsharn Gill, and Jayani Chandrapala. 2023. "The Release Behavior of Anthraquinones Encapsulated into Casein Micelles during In Vitro Digestion" Foods 12, no. 15: 2844. https://doi.org/10.3390/foods12152844
APA StyleSadiq, U., Shahid, F., Gill, H., & Chandrapala, J. (2023). The Release Behavior of Anthraquinones Encapsulated into Casein Micelles during In Vitro Digestion. Foods, 12(15), 2844. https://doi.org/10.3390/foods12152844

