The Effect of Washing, Blanching and Frozen Storage on Pesticide Residue in Spinach
Abstract
1. Introduction
2. Materials and Methods
2.1. Materials
2.2. Application of Pesticides and Harvesting
2.3. Methods of Washing, Blanching and Freezing
2.4. Extraction and Purification of Pesticides
2.5. LC-MS/MS Analysis
2.6. GC–MS/MS Analysis
2.7. Statistical Analysis
3. Results and Discussion
3.1. Preliminary Evaluation of Pesticide Residues in Spinach
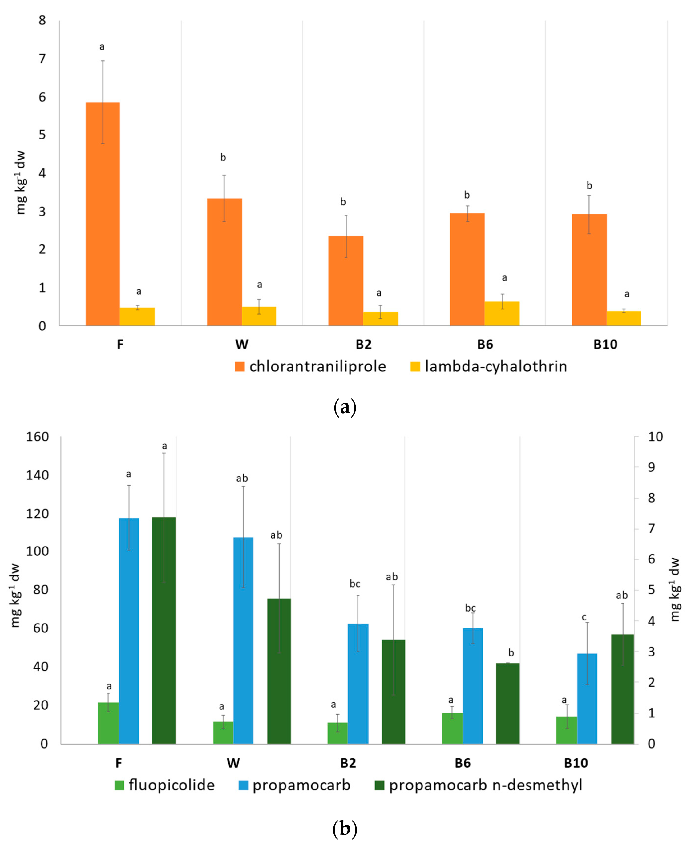
3.2. Effects of Washing and Blanching Treatments for Pesticide Removal
3.3. Effect of Frozen Storage on Pesticide Residue
4. Conclusions
Supplementary Materials
Author Contributions
Funding
Data Availability Statement
Acknowledgments
Conflicts of Interest
References
- Farina, Y.; Abdullah, M.P.; Bibi, N.; Khalik, W.M.A.W.M. Determination of pesticide residues in leafy vegetables at parts per billion levels by a chemometric study using GC-ECD in Cameron Highlands, Malaysia. Food Chem. 2017, 224, 186–192. [Google Scholar] [CrossRef]
- Yigit, N.; Velioglu, Y.S. Effects of processing and storage on pesticide residues in foods. Crit. Rev. Food Sci. Nutr. 2019, 60, 3622–3641. [Google Scholar] [CrossRef]
- Santarelli, G.A.; Migliorati, G.; Pomilio, F.; Marfoglia, C.; Centorame, P.; D’Agostino, A.; D’Aurelio, R.; Scarpone, R.; Battistelli, N.; Di Simone, F.; et al. Assessment of pesticide residues and microbial contamination in raw leafy green vegetables marketed in Italy. Food Control 2018, 85, 350–358. [Google Scholar] [CrossRef]
- Bonnechère, A.; Hanot, V.; Jolie, R.; Hendrickx, M.; Bragard, C.; Bedoret, T.; Van Loco, J. Effect of household and industrial processing on levels of five pesticide residues and two degradation products in spinach. Food Control 2012, 25, 397–406. [Google Scholar] [CrossRef]
- Islam, M.S.; Azim, F.; Saju, H.; Zargaran, A.; Shirzad, M.; Kamal, M.; Fatema, K.; Rehman, S.; Azad, M.A.M.; Ebrahimi-Barough, S. Pesticides and Parkinson’s disease: Current and future perspective. J. Chem. Neuroanat. 2021, 115, 101966. [Google Scholar] [CrossRef]
- European Commission. Regulation (EC) No 396/2005 of the European Parliament and of the Council of 23 February 2005 on Maximum Residue Levels of Pesticides in or on Food and Feed of Plant and Animal Origin and Amending Council Directive 91/414/EEC Text with EEA Relevance; European Commission: Brussels, Belgium, 2005.
- European Commission. Regulation (EC) No 1107/2009 of the European Parliament and of the Council of 21 October 2009 Concerning the Placing of Plant Protection Products on the Market and Repealing Council Directives 79/117/EEC and 91/414/EEC; European Commission: Brussels, Belgium, 2009.
- Jepson, P.C.; Murray, K.; Bach, O.; Bonilla, M.A.; Neumeister, L. Selection of pesticides to reduce human and environmental health risks: A global guideline and minimum pesticides list. Lancet Planet Health 2020, 4, e56–e63. [Google Scholar] [CrossRef]
- Bhilwadikar, T.; Pounraj, S.; Manivannan, S.; Rastogi, N.K.; Negi, P.S. Decontamination of Microorganisms and Pesticides from Fresh Fruits and Vegetables: A Comprehensive Review from Common Household Processes to Modern Techniques. Compr. Rev. Food Sci. Food Saf. 2019, 18, 1003–1038. [Google Scholar] [CrossRef]
- Brancato, A.; Brocca, D.; De Lentdecker, C.; Erdos, Z.; Ferreira, L.; Greco, L.; Jarrah, S.; Kardassi, D.; Leuschner, R.; Lythgo, C.; et al. Modification of the existing maximum residue level for propamocarb in chards/beet leaves. EFSA J. 2017, 15, e05055. [Google Scholar] [CrossRef]
- López-Ruiz, R.; Romero-González, R.; Garrido Frenich, A. Dissipation kinetics of fenamidone, propamocarb and their metabolites in ambient soil and water samples and unknown screening of metabolites. J. Environ. Manag. 2020, 254, 109818. [Google Scholar] [CrossRef]
- Henry, L.N.; Ngowo, J.N. Degradation of Lambda-Cyhalothrin in Spinach (Spinacia Oleracea) & Collard Green (Brassica Oleracea) Under Tropical Conditions. Int. J. Sci. Res. 2016, 5, 2013–2016. [Google Scholar]
- Wu, Y.; An, Q.; Li, D.; Wu, J.; Pan, C. Comparison of different home/commercial washing strategies for ten typical pesticide residue removal effects in kumquat, spinach and cucumber. Int. J. Environ. Res. Public Health 2019, 16, 472. [Google Scholar] [CrossRef] [PubMed]
- Kaushik, G.; Satya, S.; Naik, S.N. Food processing a tool to pesticide residue dissipation—A review. Food Res. Int. 2009, 42, 26–40. [Google Scholar] [CrossRef]
- Djordjevic, T.; Djurovic-Pejcev, R. Food processing as a means for pesticide residue dissipation. Pestic. i Fitomedicina 2016, 31, 89–105. [Google Scholar] [CrossRef]
- Misra, N.N. The contribution of non-thermal and advanced oxidation technologies towards dissipation of pesticide residues. Trends Food Sci. Technol. 2015, 45, 229–244. [Google Scholar] [CrossRef]
- Gavahian, M.; Sarangapani, C.; Misra, N.N. Cold plasma for mitigating agrochemical and pesticide residue in food and water: Similarities with ozone and ultraviolet technologies. Food Res. Int. 2021, 141, 110138. [Google Scholar] [CrossRef] [PubMed]
- Scholz, R.; van Donkersgoed, G.; Herrmann, M.; Kittelmann, A.; von Schledorn, M.; Graven, C.; Mahieu, K.; van der Velde-Koerts, T.; Anagnostopoulos, C.; Bempelou, E.; et al. Database of processing techniques and processing factors compatible with the EFSA food classification and description system FoodEx 2 Objective 3: European database of processing factors for pesticides in food. EFSA Support Publ. 2018, 15. [Google Scholar] [CrossRef]
- DGISAN. Controllo Ufficiale sui Residui dei Prodotti Fitosanitari Negli Alimenti–Rapporto 2020; DGISAN: Daegu, Republic of Korea, 2023. [Google Scholar]
- Farha, W.; Abd El-Aty, A.M.; Rahman, M.M.; Jeong, J.H.; Shin, H.C.; Wang, J.; Shin, S.S.; Shim, J.H. Analytical approach, dissipation pattern and risk assessment of pesticide residue in green leafy vegetables: A comprehensive review. Biomed. Chromatogr. 2018, 32, e4134. [Google Scholar] [CrossRef]
- Holland, P.T.; Hamilton, D.; Ohlin, B.; Skidmore, M.W. Effects of storage and processing on pesticide residue in plant products. Pure Appl. Chem. 1994, 66, 335–356. [Google Scholar] [CrossRef]
- Concha-meyer, A.; Grandon, S.; Sepúlveda, G.; Diaz, R.; Yuri, J.A.; Torres, C. Pesticide residues quantification in frozen fruit and vegetables in Chilean domestic market using QuEChERS extraction with ultra-high-performance liquid chromatography electrospray ionization Orbitrap mass spectrometry. Food Chem. 2019, 295, 64–71. [Google Scholar] [CrossRef]
- Alaboudi, A.R.; Almashhadany, D.A.; Jarrah, B.S. Effect of Cooking and Freezing on Levels of pesticides residues in Local Fresh Fish. Bull. Univ. Agric. Sci. Vet. Med. Cluj-Napoca Anim. Sci. Biotechnol. 2021, 78, 28. [Google Scholar] [CrossRef]
- Oliva, J.; Cermeño, S.; Cámara, M.A.; Martínez, G.; Barba, A. Disappearance of six pesticides in fresh and processed zucchini, bioavailability and health risk assessment. Food Chem. 2017, 229, 172–177. [Google Scholar] [CrossRef]
- Zhao, F.; Liu, J.; Han, B.; Luo, J. Investigation and validation of detection of storage stability of difenoconazole residue in Mango. J. Food Qual. 2019, 2019, 5641643. [Google Scholar] [CrossRef]
- Abou-Arab, A.A.K. Behavior of pesticides in tomatoes during commercial and home preparation. Food Chem. 1999, 65, 509–514. [Google Scholar] [CrossRef]
- Wongmaneepratip, W.; Gao, X.; Yang, H. Effect of food processing on reduction and degradation pathway of pyrethroid pesticides in mackerel fillet (Scomberomorus commerson). Food Chem. 2022, 384, 132523. [Google Scholar] [CrossRef]
- Słowik-Borowiec, M.; Szpyrka, E. Selected food processing techniques as a factor for pesticide residue removal in apple fruit. Environ. Sci. Pollut. Res. 2020, 27, 2361–2373. [Google Scholar] [CrossRef]
- Tomlin, C.D.S. Pesticide Manual: A World Compendium of Pesticides; British Crop Protection Council: Hampshire, UK, 2003. [Google Scholar]
- European Commission. Regulation (EU) 2018/848 of the European Parliament and of the Council of 30 May 2018 on Organic Production and Labelling of Organic Products and Repealing Council Regulation (EC) No 834/2007; European Commission: Brussels, Belgium, 2018.
- European Commission. Commission Regulation (EU) 2021/590 of 12 April 2021 Amending Annexes II and IV to Regulation (EC) No 396/2005 of the European Parliament and of the Council as Regards Maximum Residue Levels for Aclonifen, Boscalid, Cow Milk, Etofenprox, Ferric Pyrophosph; European Commission: Brussels, Belgium, 2021.
- European Commission. Commission Regulation (EU) 2021/616 of 13 April 2021 Amending Annexes II, III and V to Regulation (EC) No 396/2005 of the European Parliament and of the Council as Regards Maximum Residue Levels for Benalaxyl, Benalaxyl-M, Dichlobenil, Fluopicolide, Proqu; European Commission: Brussels, Belgium, 2021.
- European Commission. Commission Regulation (EU) 2022/1324 of 28 July 2022 Amending Annexes II and III to Regulation (EC) No 396/2005 of the European Parliament and of the Council as Regards Maximum Residue Levels for Benzovindiflupyr, Boscalid, Fenazaquin, Fluazifop-P, Flupyr; European Commission: Brussels, Belgium, 2022.
- European Commission. Commission Regulation (EU) 2020/856 of 9 June 2020 Amending Annexes II and III to Regulation (EC) No 396/2005 of the European Parliament and of the Council as Regards Maximum Residue Levels for Cyantraniliprole, Cyazofamid, Cyprodinil, Fenpyroximate, Flud; European Commission: Brussels, Belgium, 2020.
- Yang, S.-J.; Mun, S.; Kim, H.J.; Han, S.J.; Kim, D.W.; Cho, B.S.; Kim, A.G.; Park, D.W. Effectiveness of Different Washing Strategies on Pesticide Residue Removal: The First Comparative Study on Leafy Vegetables. Foods 2022, 11, 2916. [Google Scholar] [CrossRef]
- Timme, G.; Walz-Tylla, B. Effects of Food Preparation and Processing on Pesticide Residues in Commodities of Plant Origin. In Pesticide Residues in Food and Drinking Water: Human Expsure and Risks; John Wiley & Sons, Ltd.: Hoboken, NJ, USA, 2004; pp. 121–148. [Google Scholar]
- Guardia-Rubio, M.; Ayora-Cañada, M.J.; Ruiz-Medina, A. Effect of Washing on Pesticide Residues in Olives. J. Food Sci. 2007, 72, C139–C143. [Google Scholar] [CrossRef]
- Nagayama, T. Behavior of Residual Organophosphorus Pesticides in Foodstuffs during Leaching or Cooking. J. Agric. Food Chem. 1996, 44, 2388–2393. [Google Scholar] [CrossRef]
- López-Ruiz, R.; Romero-González, R.; Serra, B.; Garrido Frenich, A. Dissipation kinetic studies of fenamidone and propamocarb in vegetables under greenhouse conditions using liquid and gas chromatography coupled to high-resolution mass spectrometry. Chemosphere 2019, 226, 36–46. [Google Scholar] [CrossRef]
- Keikotlhaile, B.M.; Spanoghe, P.; Steurbaut, W. Effects of food processing on pesticide residues in fruits and vegetables: A meta-analysis approach. Food Chem. Toxicol. 2010, 48, 1–6. [Google Scholar] [CrossRef]
- Yang, A.; Park, J.H.; Abd El-Aty, A.M.; Choi, J.H.; Oh, J.H.; Do, J.A.; Kwon, K.; Shim, K.H.; Choi, O.J.; Shim, J.H. Synergistic effect of washing and cooking on the removal of multi-classes of pesticides from various food samples. Food Control 2012, 28, 99–105. [Google Scholar] [CrossRef]
- Bozena, L.; Magdalena, J.; Izabela, H.; Piotr, K. Removal of 16 pesticide residues from strawberries by washing with tap and ozone water, ultrasonic cleaning and boiling. Environ. Monit. Assess. 2016, 188, 1–19. [Google Scholar] [CrossRef]
- Kidmose, U.; Martens, H.J. Changes in texture, microstructure and nutritional quality of carrot slices during blanching and freezing. J. Sci. Food Agric. 1999, 79, 1747–1753. [Google Scholar] [CrossRef]
- van der Sman, R.G.M. Impact of Processing Factors on Quality of Frozen Vegetables and Fruits. Food Eng. Rev. 2020, 12, 399–420. [Google Scholar] [CrossRef]





| Commercial Product | Pesticide | Class and Mode of Action | MRLs mg/kg | Log p at pH 7, 20 °C | Water Solubility at 20 °C mg/L | Melting Point | Henry’s Constant at 25 °C Pa m3 mol−1 | Stability * |
|---|---|---|---|---|---|---|---|---|
| VOLARE® | Fluopicolide![]() | Benzamide and pyridine fungicides; systemic; absorbed by the roots and leaves and transported acropetally; modifies the distribution of fungal spectrinlike proteins. | 6 | 2.9 | 2.80 | 150 | 4.15 × 10−5 | Stable in tightly closed and dry conditions; slow degradation to photolysis and hydrolysis; degradation occurs through hydroxylation in the bridge carbon. |
Propamocarb hydrochloride![]() | Carbamate fungicide; systemic; reduces mycelial growth and development of sporangia, influences the biochemical synthesis of membranes; absorbed by the roots and leaves and transported acropetally. | 40 | −1.3 | 1,005,000 | 64.2 | 8.50 × 10−9 | Stable to hydrolysis, temperature up to 400 °C and photolysis. | |
| ALTACOR® | Chlorantraniliprole![]() | Systemic anthranilic diamide insecticide, it binds to ryanodine receptor, causing impaired muscle regulation, paralysis and insect death. | 20 | 2.86 | 0.88 | 209 | 3.2 × 10−9 | Fast aqueous photolysis; slow aqueous hydrolysis. |
| KARATE ZEON® | Lambda-cyhalothrin![]() | Pyrethroid insecticide with contact and stomach action and repellent properties; nonsystemic. | 0.6 | 5.5 | 0.005 | 49.2 | 2.00 × 10−2 | Stable to light, stable to storage >6 months at 15–25 °C and stable to decomp and cis–trans isomerization for at least 4 years in the dark at 50 °C. |
| Pesticide | Retention Time (min) | Precursor Ions (m/z) | Product Ions (m/z) | Cone Voltage | Collision Energy (V) | Quantifying Ions |
|---|---|---|---|---|---|---|
| LC-MS | ||||||
| Lambda-cyhalothrin | 7.95 | 467.2 | 225 | 16 | 23 | x |
| 467.2 | 141.2 | 16 | 57 | |||
| Fluopicolide | 5.68 | 383 | 173 | 40 | 20 | x |
| 383 | 109 | 40 | 66 | |||
| Propamocarb hydrochloride | 0.91 | 189.1 | 102 | 15 | 15 | x |
| 189.1 | 144 | 15 | 10 | |||
| Propamocarb n-desmethyl | 0.90 | 175.2 | 102.1 | 30 | 14 | x |
| 175.2 | 144.2 | 30 | 8 | |||
| Chlorantraniliprole | 5.12 | 484 | 453 | 20 | 14 | x |
| 482 | 451 | 20 | 14 | |||
| GC-MS | ||||||
| Lambda-cyhalothrin | 33.55 | 181.1 | 152.1 | 30 | ||
| 181.1 | 127.1 | 35 |
| Blanching Methods | Storage (Days) | Residue Concentration (mg kg−1 dw) | ||||
|---|---|---|---|---|---|---|
| Chlorantraniliprole | Lambda-Cyhalothrin | Fluopicolide | Propamocarb | Propamocarb n-Desmethyl | ||
| B2 | t0 | 2.34 ± 0.55 a,B | 0.36 ± 0.17 b,D | 10.81 ± 4.68 a,C | 62.61 ± 10.45 a,A | 3.38 ± 1.79 a,AB |
| t1 | 2.57 ± 0.27 a,B | 0.31 ± 0.06 b,D | 12.61 ± 2.81 a,C | 77.93 ± 6.09 a,A | 3.83 ± 1.03 a,A | |
| t105 | 2.93 ± 1.12 a,B | 2.93 ± 0.88 a,CD | 16.53 ± 10.44 a,C | 63.77 ± 21.80 a,A | 1.99 ± 0.11 a,A | |
| t300 | 5.83 ± 1.11 a,B | 4.17 ± 1.60 a,BC | 24.85 ± 2.30 a,BC | 66.93 ± 10.30 a,A | 3.45 ± 0.40 a,AB | |
| B6 | t0 | 2.94 ± 0.20 b,B | 0.64 ± 0.19 b,D | 16.23 ± 3.31 b,C | 60.09 ± 7.93 ab,A | 2.63 ± 0.10 b,AB |
| t1 | 2.30 ± 0.46 b,B | 0.24 ± 0.04 b,D | 11.40 ± 2.01 b,C | 43.86 ± 5.32 b,A | 1.62 ± 0.40 b,AB | |
| t105 | 4.67 ± 1.51 b,B | 4.77 ± 1.37 ab,BD | 37.58 ± 1.04 ab,AB | 69.76 ± 10.66 ab,A | 1.67 ± 0.11 b,A | |
| t300 | 12.15 ± 2.00 a,A | 6.38 ± 2.90 a,AB | 44.12 ± 1.00 a,A | 73.04 ± 11.90 a,A | 3.87 ± 1.10 a,A | |
| B10 | t0 | 2.92 ± 0.50 b,B | 0.39 ± 0.05 c,D | 14.22 ± 6.04 b,C | 46.94 ± 16.09 a,A | 3.56 ± 1.10 a,AB |
| t1 | 2.37 ± 0.54 b,B | 0.33 ± 0.11 c,D | 8.53 ± 0.10 b,C | 36.04 ± 5.92 a,A | 1.23 ± 0.16 b,B | |
| t105 | 3.88 ± 1.24 b,B | 4.11 ± 1.30 b,BC | 18.53 ± 8.28 b,C | 58.10 ± 14.59 a,A | 1.65 ± 0.45 ab,A | |
| t300 | 11.94 ± 2.20 a,A | 8.63 ± 0.30 a,A | 45.58 ± 0.70 a,A | 78.61 ± 24.70 a,A | 4.05 ± 0.60 a,A | |
Disclaimer/Publisher’s Note: The statements, opinions and data contained in all publications are solely those of the individual author(s) and contributor(s) and not of MDPI and/or the editor(s). MDPI and/or the editor(s) disclaim responsibility for any injury to people or property resulting from any ideas, methods, instructions or products referred to in the content. |
© 2023 by the authors. Licensee MDPI, Basel, Switzerland. This article is an open access article distributed under the terms and conditions of the Creative Commons Attribution (CC BY) license (https://creativecommons.org/licenses/by/4.0/).
Share and Cite
Flamminii, F.; Minetti, S.; Mollica, A.; Cichelli, A.; Cerretani, L. The Effect of Washing, Blanching and Frozen Storage on Pesticide Residue in Spinach. Foods 2023, 12, 2806. https://doi.org/10.3390/foods12142806
Flamminii F, Minetti S, Mollica A, Cichelli A, Cerretani L. The Effect of Washing, Blanching and Frozen Storage on Pesticide Residue in Spinach. Foods. 2023; 12(14):2806. https://doi.org/10.3390/foods12142806
Chicago/Turabian StyleFlamminii, Federica, Silvia Minetti, Adriano Mollica, Angelo Cichelli, and Lorenzo Cerretani. 2023. "The Effect of Washing, Blanching and Frozen Storage on Pesticide Residue in Spinach" Foods 12, no. 14: 2806. https://doi.org/10.3390/foods12142806
APA StyleFlamminii, F., Minetti, S., Mollica, A., Cichelli, A., & Cerretani, L. (2023). The Effect of Washing, Blanching and Frozen Storage on Pesticide Residue in Spinach. Foods, 12(14), 2806. https://doi.org/10.3390/foods12142806





