Sign in to use this feature.

Years

Between: -

Subjects

remove_circle_outline
remove_circle_outline
remove_circle_outline
remove_circle_outline
remove_circle_outline
remove_circle_outline
remove_circle_outline
remove_circle_outline
remove_circle_outline

Journals

remove_circle_outline
remove_circle_outline
remove_circle_outline
remove_circle_outline
remove_circle_outline
remove_circle_outline
remove_circle_outline
remove_circle_outline
remove_circle_outline

Article Types

Countries / Regions

remove_circle_outline
remove_circle_outline
remove_circle_outline
remove_circle_outline
remove_circle_outline

Search Results (1,303)

Search Parameters:
Keywords = pesticide residues

Order results
Result details
Results per page
Select all
Export citation of selected articles as:
21 pages, 2323 KB  
Article
Presence of Pesticides and Transformation Products and Associated Risk Assessment in Groundwater of a Region with an Intensive Agricultural Activity
by Eliseo Herrero-Hernández, José Manuel Ordax, Jesús M. Marín-Benito, Miguel del Nogal Sánchez and María Sonia Rodríguez-Cruz
Environments 2026, 13(1), 27; https://doi.org/10.3390/environments13010027 (registering DOI) - 1 Jan 2026
Abstract
The protection of natural resources, particularly groundwater, is essential for the sustainability of rural environments, especially when urban centers rely on this water for consumption. The objective of this study was to evaluate the occurrence, seasonal distribution, and associated risk of pesticide residues [...] Read more.
The protection of natural resources, particularly groundwater, is essential for the sustainability of rural environments, especially when urban centers rely on this water for consumption. The objective of this study was to evaluate the occurrence, seasonal distribution, and associated risk of pesticide residues in groundwater in a region of intensive farming in the Duero river basin (Spain). A total of 40 pesticides and 7 degradation products were analyzed at 20 sampling points over four campaigns conducted in 2018. Overall, twenty-one compounds were detected, including three insecticides, three fungicides, ten herbicides, and five degradation products. Concentrations of eight compounds (one fungicide, five herbicides, and two degradation products) exceeded the limits established by the European Union (EU) for drinking water. Herbicides were the most frequently detected pesticides and were present at the highest concentrations (up to 3.416 μg L−1) across all sampling campaigns. Metolachlor, prosulfocarb, metribuzin, and metolachlor degradation products (ethanesulfonic acid (ESA)– and oxanilic acid (OA)–metolachlor) were detected in concentrations over 1.0 µg L−1. The sum of Toxic Units (∑Tui) showed that none of samples posed a high risk. None of compounds presented a high risk for the three aquatic organismstested; only prosulfocarb for algae and Daphnia magna; pendimethalin for algae and fish; and metribuzin, chlorotoluron, and desethyl-terbuthylazine (DETbz) for algae posed high risks. Full article
21 pages, 2443 KB  
Article
Mycotoxins and Beyond: Unveiling Multiple Organic Contaminants in Pet Feeds Through HRMS Suspect Screening
by Dafni Dematati, Dimitrios Gkountouras, Vasiliki Boti and Triantafyllos Albanis
Toxins 2026, 18(1), 22; https://doi.org/10.3390/toxins18010022 - 30 Dec 2025
Viewed by 38
Abstract
This study evaluated 65 commercially available pet feed samples, including 33 cat feeds and 32 dog feeds (dry and wet formulations), for the presence of organic contaminants. These included mycotoxins, pesticides, pharmaceutical residues/veterinary drugs, and plant-based bioactive compounds. A suspect screening strategy was [...] Read more.
This study evaluated 65 commercially available pet feed samples, including 33 cat feeds and 32 dog feeds (dry and wet formulations), for the presence of organic contaminants. These included mycotoxins, pesticides, pharmaceutical residues/veterinary drugs, and plant-based bioactive compounds. A suspect screening strategy was employed using QuEChERS extraction followed by LC-LTQ/Orbitrap HRMS analysis. A total of 29 compounds were tentatively identified within 186 detections. In total, 76.9% of the samples were contaminated with mycotoxins. Aflatoxins (B1, B2, G1, and G2), T2 toxins, and HT2 toxins were dominant, with Aflatoxin B1 occurring in 33.8% of the samples and exhibiting a higher prevalence in dry feeds than in wet feeds. Pesticides were present in 72.0% of the dry formulations, including aclonifen and pirimiphos-methyl, but were present in only 11% of the wet formulations. Plant-based bioactive compounds, including phytoestrogens, were identified in 51% of the samples, highlighting toxicologically relevant candidates that merit prioritization for targeted confirmation, particularly in cat feeds. Pharmaceuticals were found in 23.8% of dry feeds (sparfloxacin and fumagillin). Overall, the HRMS-based, standard-free suspect screening workflow provides an early-warning overview of multi-class co-occurrence patterns in complex pet feed matrices and supports the prioritization of candidates for subsequent confirmatory analysis. Full article
Show Figures

Figure 1

19 pages, 811 KB  
Article
Dissipation of Triazole Residues and Their Impact on Quality Parameters and Nutrient Contents in Tomato Fruits and Products: From Farm to Table
by Eman S. Elkholy, Atta A. Shalaby, Mahmoud M. Ramadan, Laila A. Al-Shuraym, Mustafa Shukry, Qichun Zhang, Ahmed A. A. Aioub and Rania M. Abd El-Hamid
Toxics 2026, 14(1), 20; https://doi.org/10.3390/toxics14010020 - 24 Dec 2025
Viewed by 187
Abstract
Triazole fungicides are used to protect tomato yield from fungal infection. However, information regarding triazole residues and dissipation profiles is limited. This study aimed to evaluate the behavior, residue dissipation, and potential risks of penconazole (PCZ, 10% EC, 25 cm3/100 L [...] Read more.
Triazole fungicides are used to protect tomato yield from fungal infection. However, information regarding triazole residues and dissipation profiles is limited. This study aimed to evaluate the behavior, residue dissipation, and potential risks of penconazole (PCZ, 10% EC, 25 cm3/100 L water) and difenoconazole (DFZ, 25% EC, 50 cm3/100 L water) applied during the fruiting stage of tomatoes over 15 days in Mit Al-Qurashi village, Dakahlia Governorate, Egypt. The study also examined the residue levels of PCZ and DFZ in tomatoes following household preparation methods, as well as the health risks and residue intake associated with these pesticides. Additionally, the impact of PCZ and DFZ residues on macro- and micro-nutrient levels, as well as quality parameters in tomato fruits, was investigated. Our data showed that PCZ and DFZ exhibited dissipation rates recorded at 70.88% and 73.33% after 6 days of application, then increased to 99.74% and 98.25% after 15 days of application, respectively, corresponding to half-lives of 2.08 and 2.78 days. The pre-harvest intervals (PHIs) were determined to be 9 days for DFZ and 12 days for PCZ. Based on risk assessment and Health Risk Index (HRI) calculations, the withholding periods for using treated tomato fruits for human consumption were extended to 15 days for DFZ treatment and reduced to 9 days for PCZ. Notably, tomato fruits treated with PCZ or DFZ could be safely consumed one day after application if processed into paste. However, other forms of processing, including washing with water, acetic acid (5%), and sodium carbonate (5%) for 5 min, significantly reduced the residue levels of the tested fungicides. Moreover, the tested fungicides not only significantly reduced the levels of macro- and micronutrients in tomato fruits but also altered the quality parameters of the tomatoes. These findings could guide the safe and responsible use of PCZ and DFZ in tomatoes, helping to prevent potential health risks to consumers. Full article
Show Figures

Figure 1

21 pages, 1097 KB  
Review
Miniaturized-LC in the Analysis of Emerging Organic Contaminants in Food and Environmental Samples: Recent Advances and Applications
by Cemil Aydoğan, Ashraf Ali, Mehmet Atakay, Bekir Salih and Ziad El Rassi
Molecules 2026, 31(1), 68; https://doi.org/10.3390/molecules31010068 - 24 Dec 2025
Viewed by 244
Abstract
Mini-LC systems, including Cap-LC, Nano-LC and Chip-LC, offer a sustainable alternative to conventional LC methods thanks to their reduced solvent consumption, enhanced separation efficiency and environmentally friendly operation. Integrating micro-scale sample preparation techniques, such as µ-SPE, IT-SPME, LPME and QuEChERS, with Mini-LC significantly [...] Read more.
Mini-LC systems, including Cap-LC, Nano-LC and Chip-LC, offer a sustainable alternative to conventional LC methods thanks to their reduced solvent consumption, enhanced separation efficiency and environmentally friendly operation. Integrating micro-scale sample preparation techniques, such as µ-SPE, IT-SPME, LPME and QuEChERS, with Mini-LC significantly improving analytical sensitivity and selectivity. Mini-LC coupled with mass spectrometry has demonstrated excellent performance in the detection of trace levels of pesticides, pharmaceuticals, veterinary drug residues, perfluoroalkyl substances (PFASs), and mycotoxins. Despite current challenges relating to matrix effects, instrument stability and method standardization, Mini-LC represents a promising analytical platform for the cost-effective, high-sensitivity, green monitoring of contaminants in food safety and environmental analysis. This review summarizes recent advances in the application of Mini-LC techniques for analyzing emerging organic contaminants (EOCs) in food and environmental samples. This paper also provides a critical review of this topic, covering works published in the last four years (early 2022–mid 2025). Additionally, it discusses the use of these techniques in combination with mass spectrometry (e.g., low-resolution MS or high-resolution MS) for the detection of EOCs in food and environmental samples. Full article
(This article belongs to the Special Issue Advanced Approaches for Analysis of Food Contaminants and Residues)
Show Figures

Figure 1

15 pages, 242 KB  
Review
Exogenous Impurities in Baijiu: Sources, Detection, and Safety Strategies
by Yabin Zhou, Jin Hua and Liping Xu
Beverages 2026, 12(1), 2; https://doi.org/10.3390/beverages12010002 - 24 Dec 2025
Viewed by 293
Abstract
Baijiu, China’s traditional distilled spirit, is produced through solid-state fermentation and distillation of grains, resulting in a highly complex chemical and sensory profile. However, exogenous impurities introduced via raw materials, water, equipment, packaging, or the surrounding environment pose significant challenges to both safety [...] Read more.
Baijiu, China’s traditional distilled spirit, is produced through solid-state fermentation and distillation of grains, resulting in a highly complex chemical and sensory profile. However, exogenous impurities introduced via raw materials, water, equipment, packaging, or the surrounding environment pose significant challenges to both safety and quality. These impurities, including heavy metals, plasticizers, pesticide residues, mycotoxins, environmental pollutants, and un-authorized food additives, are associated with neurotoxicity, carcinogenicity, endocrine disruption, and sensory defects. This narrative review synthesizes current knowledge on their sources, reported concentration ranges in Baijiu (generally at trace µg/kg–mg/kg levels), analytical detection methods with sub-mg/kg sensitivity, and control strategies for these substances. Regulatory frameworks, including China’s standards, are critically assessed, with emphasis on gaps such as the lack of explicit limits for certain classes of impurities. Case studies of contamination incidents are discussed to illustrate practical risks and monitoring gaps. Emerging trends, including low- and zero-alcohol Baijiu, are also considered in relation to changing impurity profiles and detection requirements. Recommendations include tightening regulatory limits, adopting portable and real-time detection technologies, and promoting the development of “pure Baijiu” that meets international safety and quality expectations. Future research priorities center on high-resolution mass spectrometry, advanced real-time monitoring, and eco-friendly analytical solutions, ensuring that Baijiu maintains both cultural heritage and global competitiveness. Full article
31 pages, 1944 KB  
Review
Strategies to Determine and Mitigate Pesticide Residues in Food
by Ana Rita Oliveira, Sílvia Cruz Barros, Duarte Torres and Ana Sanches Silva
Molecules 2026, 31(1), 63; https://doi.org/10.3390/molecules31010063 - 24 Dec 2025
Viewed by 385
Abstract
This review provides a comprehensive overview of strategies to mitigate pesticide residues in food, examining both household and industrial processing techniques alongside the emerging role of Artificial Intelligence (AI). Simple household methods, such as washing, peeling, and thermal processing (e.g., boiling, frying), are [...] Read more.
This review provides a comprehensive overview of strategies to mitigate pesticide residues in food, examining both household and industrial processing techniques alongside the emerging role of Artificial Intelligence (AI). Simple household methods, such as washing, peeling, and thermal processing (e.g., boiling, frying), are effective. For instance, washing with running water achieves a reduction of up to 77% in residue for some vegetables. Additionally, processes like jam-making or frying can significantly reduce specific residues. Industrially, advanced methods such as ozonated water washing, ultrasonification, and cold plasma are employed for high efficiency while preserving food quality. Critically, AI is emerging as a powerful, indirect tool through predictive modelling, AI-assisted sorting/screening, and consumer guidance, enhancing precision agriculture and regulatory analytics. The review paper concludes that a combination of these diverse methods is essential for minimizing pesticide exposure and ensuring a safer food supply. Full article
Show Figures

Graphical abstract

24 pages, 3841 KB  
Review
The Neglected Dimension in Pesticide Residues: Emerging Green and Enantioselective Strategies for the Analysis and Removal of Chiral Pesticides
by Binbin Liu, Ziyan Gong and Haixiang Gao
Separations 2026, 13(1), 4; https://doi.org/10.3390/separations13010004 - 23 Dec 2025
Viewed by 243
Abstract
Chirality remains the most neglected axis of pesticide residue science. Many active ingredients are sold as racemates although their enantiomers differ in potency, persistence, transport, and toxicology; as a result, total concentration is a poor surrogate for risk. This review synthesizes green and [...] Read more.
Chirality remains the most neglected axis of pesticide residue science. Many active ingredients are sold as racemates although their enantiomers differ in potency, persistence, transport, and toxicology; as a result, total concentration is a poor surrogate for risk. This review synthesizes green and enantioselective strategies spanning the full analytical–remediation continuum. We survey solvent-minimized sample preparation approaches (SPME/TF-SPME, FPSE, µSPE, DLLME with DES/NADES), MS-compatible chiral separations (immobilized polysaccharide CSPs in LC and SFC, cyclodextrin-based selectors in GC, CE/CEC), and HRMS-enabled confirmation and suspect screening. Complex matrices (e.g., fermented beverages such as wine and high-sugar products) are critically discussed, together with practical matrix-tolerant workflows and the complementary role of chiral GC for hydrophobic residues. We then examine emerging enantioselective materials—MIPs, MOFs/COFs, and cyclodextrin-based sorbents—for extraction and preconcentration and evaluate stereoselective removal via adsorption, biodegradation, and chiral photocatalysis. Finally, we propose toxicity-weighted enantiomeric fraction (EF) metrics for decision-making, outline EF-aware green treatment strategies, and identify metrological and regulatory priorities (CRMs, ring trial protocols, FAIR data). Our thesis is simple: to reduce hazards efficiently and sustainably, laboratories and practitioners must measure—and manage—pesticide residues in the chiral dimension. Full article
(This article belongs to the Special Issue New Techniques for Extraction and Removal of Pesticide Residues)
Show Figures

Graphical abstract

22 pages, 1748 KB  
Review
Artificial Intelligence-Driven Food Safety: Decoding Gut Microbiota-Mediated Health Effects of Non-Microbial Contaminants
by Ruizhe Xue, Xinyue Zong, Xiaoyu Jiang, Guanghui You, Yongping Wei and Bingbing Guo
Foods 2026, 15(1), 22; https://doi.org/10.3390/foods15010022 - 22 Dec 2025
Viewed by 345
Abstract
A wide range of non-microbial contaminants—such as heavy metals, pesticide residues, antibiotics, as well emerging foodborne contaminants like micro- and nanoplastics and persistent organic pollutants—can enter the human body through daily diet and exert subtle yet chronic effects that are increasingly recognized to [...] Read more.
A wide range of non-microbial contaminants—such as heavy metals, pesticide residues, antibiotics, as well emerging foodborne contaminants like micro- and nanoplastics and persistent organic pollutants—can enter the human body through daily diet and exert subtle yet chronic effects that are increasingly recognized to be gut microbiota-dependent. However, the relationships among multi-contaminant exposure profiles, dynamic microbial community structures, microbial metabolites, and diverse clinical or subclinical phenotypes are highly non-linear and multidimensional, posing major challenges to traditional analytical approaches. Artificial intelligence (AI) is emerging as a powerful tool to untangle the complex interactions between foodborne non-microbial contaminants, the gut microbiota, and host health. This review synthesizes current knowledge on how key classes of non-microbial food contaminants modulate gut microbial composition and function, and how these alterations, in turn, influence intestinal barrier integrity, immune homeostasis, metabolic regulation, and systemic disease risk. We then highlight recent advances in the application of AI techniques, including machine learning (ML), deep learning (DL), and network-based methods, to integrate multi-omics and exposure data, identify microbiota and metabolite signatures of specific contaminants, and infer potential causal pathways within “contaminant–microbiota–host” axes. Finally, we discuss current limitations, such as data heterogeneity, small-sample bias, and interpretability gaps, and propose future directions for building standardized datasets, explainable AI frameworks, and human-relevant experimental validation pipelines. Overall, AI-enabled analysis offers a promising avenue to refine food safety risk assessment, support precision nutrition strategies, and develop microbiota-targeted interventions against non-microbial food contaminants. Full article
Show Figures

Figure 1

21 pages, 9852 KB  
Article
Multivariate Statistical Analysis of Solidago canadensis L. Essential Oil and Its Antifungal Mechanism Against Mulberry Sclerotinia Diseases
by Jia-Xin Yang, Zhen-Zhen Lu, Sen Chen, Shi-Yi Lin, Xiao-Hui Yao, Tao Chen and Dong-Yang Zhang
Int. J. Mol. Sci. 2026, 27(1), 49; https://doi.org/10.3390/ijms27010049 - 20 Dec 2025
Viewed by 168
Abstract
Ciboria shiraiana (C. shiraiana), a pathogenic fungus, is a major threat to mulberry trees, causing mulberry sclerotinia diseases. Current control strategies primarily rely on chemical pesticides, whose long-term use leads to adverse effects such as pesticide residues, environmental pollution, and pathogen [...] Read more.
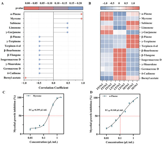
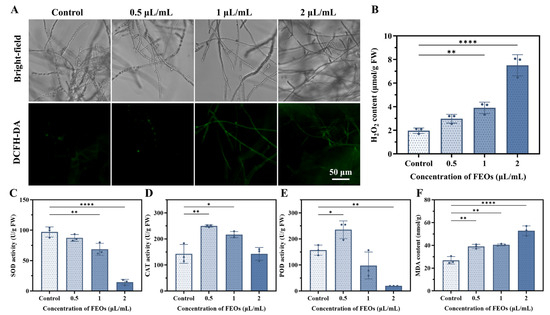
Ciboria shiraiana (C. shiraiana), a pathogenic fungus, is a major threat to mulberry trees, causing mulberry sclerotinia diseases. Current control strategies primarily rely on chemical pesticides, whose long-term use leads to adverse effects such as pesticide residues, environmental pollution, and pathogen resistance. This study aimed to develop a green pesticide derived from the essential oil (EOs) of Solidago canadensis L. (S. canadensis L.) and to analyze its antifungal mechanism. SLEOs were extracted from flowers, leaves, and stems of S. canadensis L. via hydro-distillation. Their chemical composition was analyzed by GC-MS. Multivariate statistical analysis was used to assess compositional differences among SLEOs from various plant parts and evaluate the correlation between their chemical components and antifungal efficacy. The antifungal mechanism of SLEOs against C. shiraiana was investigated using an integrated approach combining transcriptomics with physiological and biochemical analyses. The EO yield varied with plant part: flowers yielded the most (1.00% ± 0.07%), followed by leaves (0.76% ± 0.04%) and stems (0.05% ± 0.01%). Flower EOs (FEOs) strongly inhibited C. shiraiana, with an EC50 value of 0.642 μL/mL. α-pinene and myrcene showed the highest correlation with antifungal activity. Transcriptomic and physiological data revealed that SLEOs compromise cell wall and membrane integrity, infiltrate cells, and trigger leakage of intracellular contents. Additionally, SLEOs inhibited activities of antioxidant enzymes (SOD, CAT, and POD), leading to intracellular ROS accumulation, oxidative stress, lipid peroxidation, and DNA damage. SLEOs constitute a promising natural and environmentally sustainable antifungal agent. Their activity is linked to specific components and a multi-target mechanism involving membrane disruption and oxidative stress induction. This study provides a foundation for developing plant-based agents to manage mulberry sclerotinia diseases. Full article
(This article belongs to the Section Molecular Plant Sciences)
Show Figures

Graphical abstract

25 pages, 395 KB  
Review
Low-Cost Adsorbents for Water Treatment: A Sustainable Alternative for Pollutant Removal
by Leticia Nishi, Anna Carla Ribeiro, Carolina Moser Paraíso, Diana Aline Gomes Cusioli, Laiza Bergamasco Beltran, Luís Fernando Cusioli and Rosângela Bergamasco
Processes 2025, 13(12), 4088; https://doi.org/10.3390/pr13124088 - 18 Dec 2025
Viewed by 273
Abstract
This review addresses the potential of low-cost adsorbents (LCAds) derived from agro-industrial and marine residues as sustainable alternatives for water purification. Although raw biomass offers economic advantages, its application is often limited by low surface area and reactivity. Consequently, this paper examined physicochemical [...] Read more.
This review addresses the potential of low-cost adsorbents (LCAds) derived from agro-industrial and marine residues as sustainable alternatives for water purification. Although raw biomass offers economic advantages, its application is often limited by low surface area and reactivity. Consequently, this paper examined physicochemical modifications—such as pyrolysis, acid/alkali activation, and surface grafting—that enhance adsorptive properties. The superior performance of these modified materials in removing heavy metals, dyes, pesticides, and pharmaceuticals is highlighted. Furthermore, the transition from laboratory scale to industrial application faces key hurdles, such as biomass variability, reactor engineering, and regulatory gaps. Finally, future perspectives are presented, focusing on the integration of LCAds into hybrid treatment systems and their pivotal role in the circular economy for decentralized water management. Full article
(This article belongs to the Special Issue Natural Low-Cost Adsorbents in Water Purification Processes)
17 pages, 4549 KB  
Article
Simultaneous Determination and Dietary Risk Assessment of 26 Pesticide Residues in Wheat Grain and Bran Using QuEChERS-UHPLC-MS/MS
by Hongwei Zhang, Quan Liu, Xinhui Dong, Xueyang Qiao, Chunyong Li, Junli Cao, Pengcheng Ren, Jindong Li and Shu Qin
Foods 2025, 14(24), 4351; https://doi.org/10.3390/foods14244351 - 17 Dec 2025
Viewed by 392
Abstract
Evaluating the potential chronic health risks posed by pesticides to consumers is essential for ensuring food safety and protecting public health. An ultra-high-performance liquid chromatography–tandem mass spectrometry (UHPLC-MS/MS) method coupled with modified QuEChERS extraction was developed to simultaneously determine 26 pesticide residues in [...] Read more.
Evaluating the potential chronic health risks posed by pesticides to consumers is essential for ensuring food safety and protecting public health. An ultra-high-performance liquid chromatography–tandem mass spectrometry (UHPLC-MS/MS) method coupled with modified QuEChERS extraction was developed to simultaneously determine 26 pesticide residues in wheat grain and bran. Samples were extracted with acetonitrile with 2% (v/v) acetic acid and cleaned up using C18 sorbent. Method validation demonstrated excellent linearity, accuracy, and precision. When applied to 48 wheat grain and 24 bran samples collected from major wheat-growing regions in China, 12 and 21 pesticides were detected at concentrations ranging from <0.005 to 1.785 mg kg−1 and <0.01 to 2.188 mg kg−1, respectively. Chronic hazard quotients (HQc) and acute hazard quotients (HQa) for all pesticides for grain and bran were far below the safety threshold of 100%. These results indicate that pesticide residues in wheat grain and bran present negligible chronic dietary risks to consumers across all age groups. Full article
Show Figures

Figure 1

21 pages, 9133 KB  
Article
Assessing Sustainable Management of a Plateau Lake: Adsorption and Integrated Risk of Sediment Pollutants
by Xinyu Wen, Yun Pan, Zhengyuan Shang, Henghao Shi, Yandun Jin, Huipeng Zhou, Huawei Zhang, Zhiwen Dong and Fengqin Chang
Sustainability 2025, 17(24), 11235; https://doi.org/10.3390/su172411235 - 15 Dec 2025
Viewed by 256
Abstract
As one of the nine largest plateau lakes in Yunnan Province, China, Qilu Lake is considered significantly affected by extensive anthropogenic pollution. However, the pollution status and integrated risks posed by organochlorine pesticides and heavy metals in the lake’s sediments remain poorly understood. [...] Read more.
As one of the nine largest plateau lakes in Yunnan Province, China, Qilu Lake is considered significantly affected by extensive anthropogenic pollution. However, the pollution status and integrated risks posed by organochlorine pesticides and heavy metals in the lake’s sediments remain poorly understood. This study analyzed the concentrations of organochlorine pesticides and heavy metals in 22 surface sediment samples from the Qilu Lake, and assessed their combined ecological and health risks. Results showed that the mean concentrations of five target organochlorine pesticides (α-hexachlorocyclohexane, β-hexachlorocyclohexane, γ-hexachlorocyclohexane, p,p′-dichlorodiphenyltrichloroethane, and o,p′-dichlorodiphenyltrichloroethane) were consistently low, whereas most heavy metals, except for arsenic, significantly exceeded Yunnan Province background values, with mercury and cadmium exhibiting the most pronounced enrichment. Source analysis indicated that the heavy metals mainly derived from a mixed agricultural-industrial-traffic source, a natural geogenic source, and industrial-traffic emissions, while the organochlorine pesticides originated from both historical residues and ongoing agricultural applications. A linear model was identified as optimal function for characterizing the adsorption-accumulation relationship between organochlorine pesticides and heavy metals. Ecological risks were dominated by heavy metals, especially cadmium, and the evaluated results showed that the health risks were higher for children than adults. Although non-carcinogenic risks were negligible, carcinogenic risks, particularly from chromium, warrant special attention, especially for children. This study enhances the understanding of combined pollution in rural plateau lakes and provides a scientific basis for achieving sustainable water environment management by (1) establishing an integrated risk assessment framework for pollutants, (2) identifying a priority control pollutant list, and (3) laying a theoretical foundation for targeted ecological restoration strategies, directly supporting the implementation of Sustainable Development Goal (SDG) 6 (clean water and sanitation). Full article
Show Figures

Figure 1

11 pages, 296 KB  
Article
Pesticide Residues in Egyptian Strawberries Inspected at the EU Border (2021–2024)
by Kalina Maja Sikorska-Zimny and Artur Miszczak
Molecules 2025, 30(24), 4780; https://doi.org/10.3390/molecules30244780 - 15 Dec 2025
Viewed by 416
Abstract
The increasing reliance of the European Union on strawberry imports from North African countries, particularly Egypt, underscores the necessity of systematic monitoring of these commodities for pesticide residues prior to their placement on the EU market. This study evaluated pesticide residues in Egyptian [...] Read more.
The increasing reliance of the European Union on strawberry imports from North African countries, particularly Egypt, underscores the necessity of systematic monitoring of these commodities for pesticide residues prior to their placement on the EU market. This study evaluated pesticide residues in Egyptian strawberries inspected at the Polish border between 2021 and 2024. Detection rates rose sharply from 63% in 2022 to over 90% in 2023–2024, although a subset of samples each year contained no detectable residues (1 sample in 2021 and 2024; 2 in 2022), confirming that pesticide-free production is achievable. Fosetyl-aluminium was the most frequently identified compound, followed by bromide ion, azoxystrobin, and boscalid. Eleven exceedances of maximum residue levels (MRLs) were recorded, involving substances not approved in the EU due to carcinogenic, neurotoxic, or endocrine-disrupting properties. Multiple-residue presence was common, with up to eleven pesticides detected in a single sample. The findings highlight the need for broader surveillance, stricter enforcement, and support for sustainable pest management in exporting countries. Full article
(This article belongs to the Special Issue Analysis of Pesticide Residues in Food and Environmental Samples)
Show Figures

Graphical abstract

17 pages, 2867 KB  
Article
Effects and Mechanisms of Dufulin Toxicity on Zebrafish, Danio rerio
by Shaoqian Jia, Mengxue Li, Guoqiang Yuan, Long Wang and Heng Chi
Toxics 2025, 13(12), 1075; https://doi.org/10.3390/toxics13121075 - 13 Dec 2025
Viewed by 376
Abstract
Pesticide pollution has become a major global issue, primarily because of its ability to induce widespread toxicity. This research aimed to explore the toxicological effects of Dufulin on zebrafish, focusing on the underlying molecular mechanisms of these effects from biochemical and transcriptomic perspectives. [...] Read more.
Pesticide pollution has become a major global issue, primarily because of its ability to induce widespread toxicity. This research aimed to explore the toxicological effects of Dufulin on zebrafish, focusing on the underlying molecular mechanisms of these effects from biochemical and transcriptomic perspectives. Residual Dufulin has been confirmed to occur in ecosystems, with its half-life significantly affected by environmental conditions. Its low water solubility may lead to its accumulation in sediments, thereby posing a potential threat to aquatic ecosystems, which necessitates urgent targeted research. The findings of this study indicate that Dufulin has concentration-dependent effects on zebrafish; 0.01 mg/L Dufulin triggered a non-specific immune response and enhanced the antioxidant defense system in zebrafish, resulting in oxidative stress or apoptosis and influencing the cell cycle, while 0.10 mg/L Dufulin mainly affected normal meiosis of zebrafish cells and 1.00 mg/L Dufulin produced cytotoxicity and affected the normal metabolic process of zebrafish. These findings reveal the multi-level toxic mechanism of Dufulin on aquatic organisms from the biochemical and transcriptome levels and provide an important basis for its ecological and environmental risk assessment. Full article
Show Figures

Figure 1

22 pages, 317 KB  
Article
Assessing Dietary Exposure to Pesticides: Insights from Greek Potato Consumers
by Konstantinos B. Simoglou, Zisis Vryzas and Emmanouil Roditakis
Pollutants 2025, 5(4), 49; https://doi.org/10.3390/pollutants5040049 - 11 Dec 2025
Viewed by 535
Abstract
The study investigates Greek consumers’ beliefs and their assessment of the risks associated with consuming potatoes they perceive as contaminated with pesticide residues, aiming to understand the relationship between perceived risk and actual dietary exposure. A survey of 1318 participants was conducted, employing [...] Read more.
The study investigates Greek consumers’ beliefs and their assessment of the risks associated with consuming potatoes they perceive as contaminated with pesticide residues, aiming to understand the relationship between perceived risk and actual dietary exposure. A survey of 1318 participants was conducted, employing latent profile analysis to identify two distinct consumer profiles: Concerned Consumers, who prioritize certified products and exhibit lower potato consumption, and Confident Consumers, who demonstrate higher consumption levels and lower risk perception. Data from the consumer survey and the two-category grouping were benchmarked against data from the Greek report on pesticide residue monitoring in food to estimate exposure against established toxicological reference values. The results indicate that pesticide residues on potatoes in Greece remain significantly below established toxicological reference values, with mean exposures well within safety limits for both consumer groups. Despite the higher consumption among Confident Consumers, their exposure levels are still negligible. The findings highlight a disconnect between consumer perceptions of pesticide risk and actual exposure, suggesting that current agricultural practices are effective in safeguarding public health. This study underscores the importance of evidence-based risk communication to bridge the gap between consumer concerns and scientific reality, reinforcing the role of potatoes as a safe and essential food source. Full article
(This article belongs to the Section Food Pollution)
Back to TopTop