Assessing the Effectiveness of Fermented Banana Peel Extracts for the Biosorption and Removal of Cadmium to Mitigate Inflammation and Oxidative Stress
Abstract
1. Introduction
2. Materials and Methods
2.1. Strain Cultivation
2.2. Screening for LAB Strains with Cadmium Tolerance
2.3. Screening for LAB Strains with Cadmium Adsorption Potential
2.4. Acid Resistance, Bile Salt Resistance, and Antibiotic Tolerance Tests
2.5. Production of Fermented LAB Powder from Banana Peel
2.6. Antioxidant Activity Assay
2.6.1. 2,2-Diphenyl-1-picrylhydrazine (DPPH) Scavenging Assay
2.6.2. Hydroxyl Radical Scavenging Assay
2.6.3. Fe2+ Chelating Activity
2.6.4. Total Reducing Power
2.7. Analysis of Caco-2 Cell Survival Rate Using Fermented Banana Peel LAB Powder
2.8. Banana Peel LAB Fermentation Powder Inhibits Cadmium-Induced Inflammation in Caco-2 Cells
2.9. Analysis of Cell Oxidative Damage
2.9.1. Intracellular Oxidative Damage Assay
2.9.2. Intracellular Antioxidant Activity Assay
2.10. FT-IR Analysis
2.11. Statistical Analysis
3. Results and Discussion
3.1. Screening of LAB with Cadmium Tolerance
3.2. Screening of LAB with Cadmium Adsorption Potential
3.3. Adsorption of Cadmium by LAB-Fermented Banana Peel
3.4. Determination of Antioxidant Activity in LAB-Fermented Banana Peel Products
3.5. Determination of Probiotic Properties
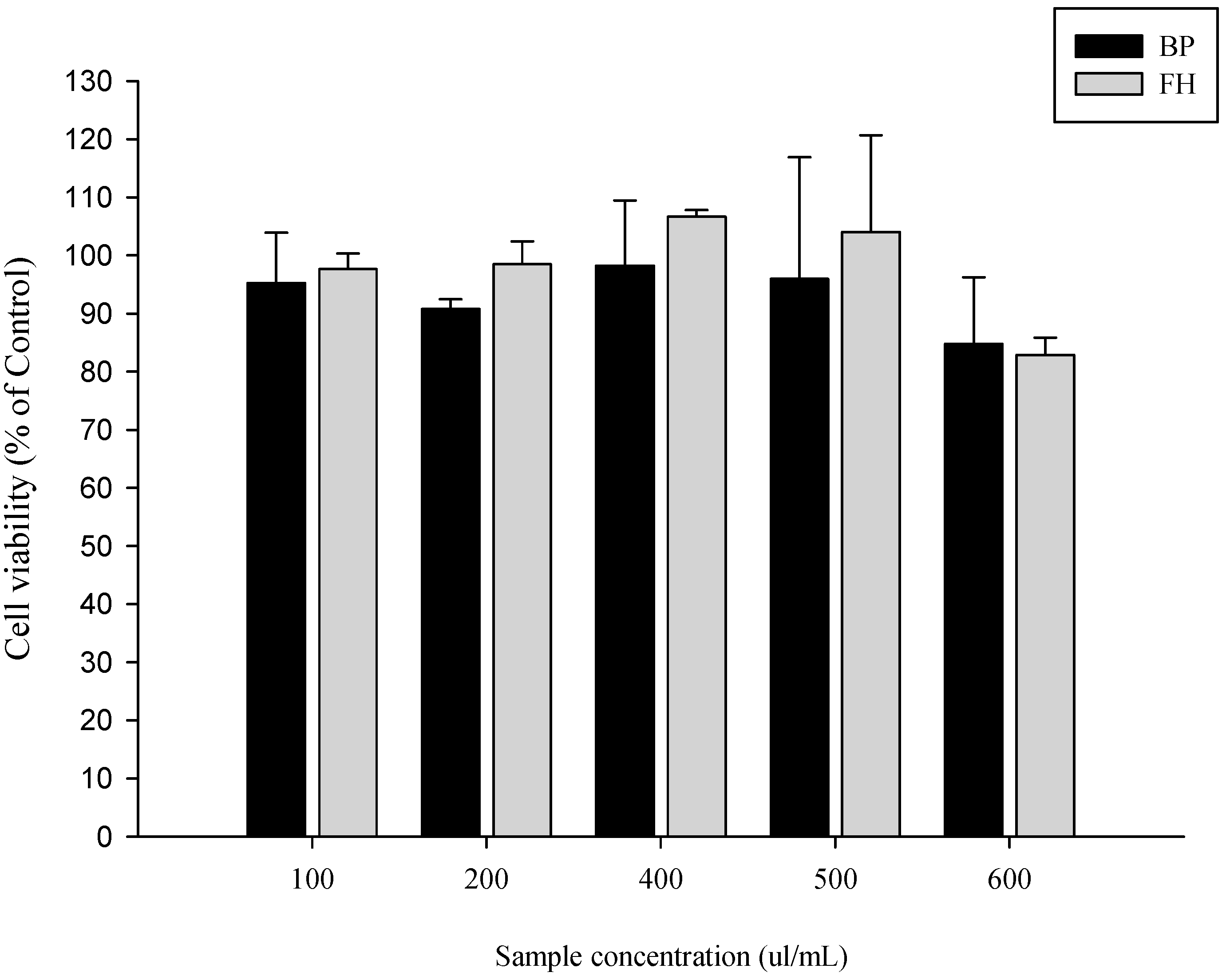
3.6. Analysis of Caco-2 Cell Survival Rate Using LAB-Fermented Banana Peel Products
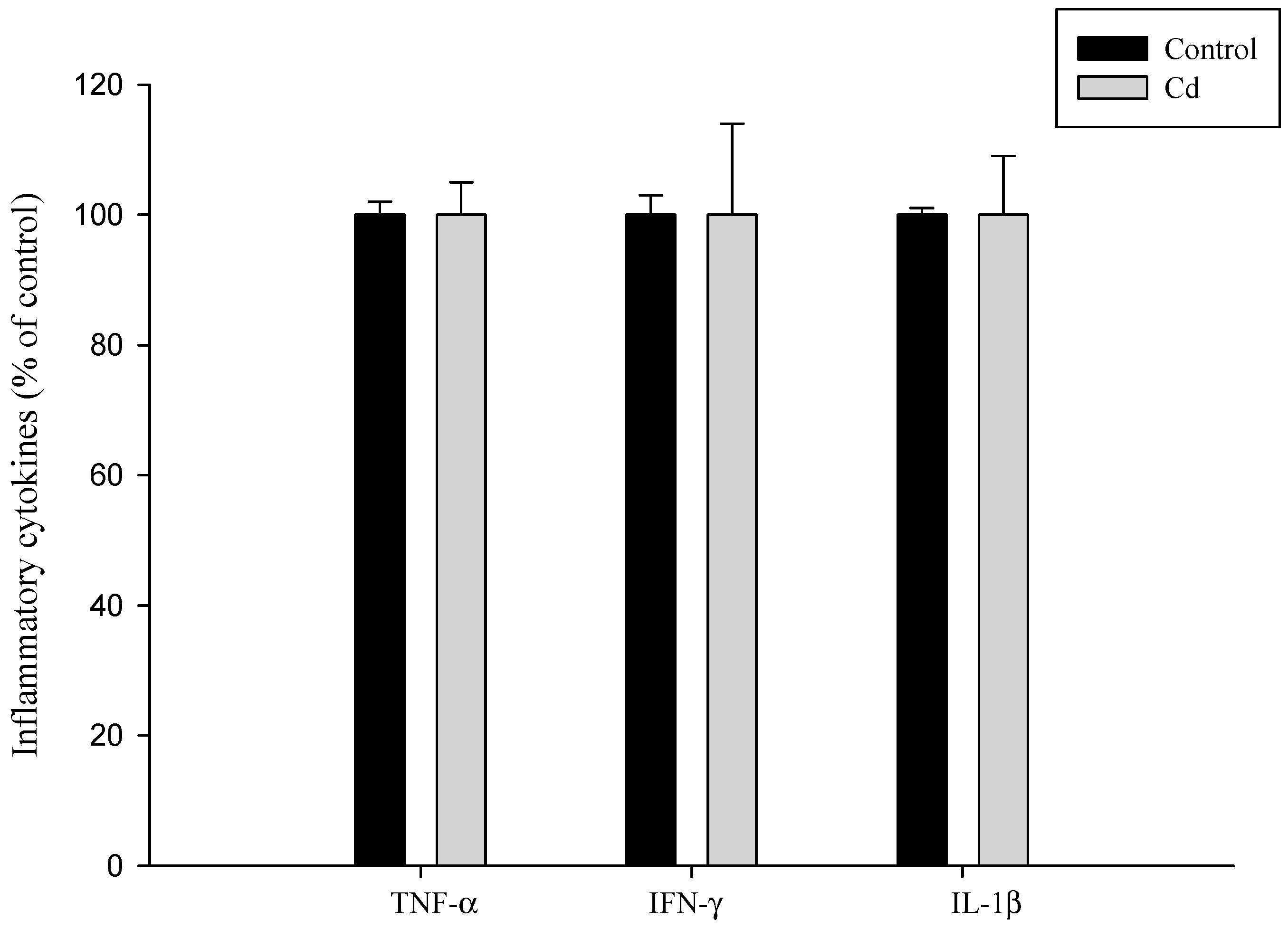
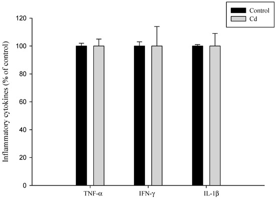
3.7. Inhibition of Cadmium-Induced Inflammation in Caco-2 Cells by LAB-Fermented Banana Peel Product
3.8. Analysis of Oxidative Cell Damage Induced by Cadmium Using LAB-Fermented Banana Peel Products
3.9. Determination of Intracellular Antioxidant Activity of LAB-Fermented Banana Peel Products
3.10. FT-IR Analysis
4. Conclusions
Author Contributions
Funding
Data Availability Statement
Acknowledgments
Conflicts of Interest
References
- Odewumi, C.; Latinwo, L.M.; Lyles, R.L., 2nd; Badisa, V.L.D.; Ahkinyala, C.A.; Kent-First, M. Comparative whole genome transcriptome analysis and fenugreek leaf extract modulation on cadmium-induced toxicity in liver cells. Int. J. Mol. Med. 2018, 42, 735–744. [Google Scholar] [CrossRef] [PubMed]
- Mishra, S.; Lin, Z.; Pang, S.; Zhang, Y.; Bhatt, P.; Chen, S. Biosurfactant is a powerful tool for the bioremediation of heavy metals from contaminated soils. J. Hazard. Mater. 2021, 418, 126253. [Google Scholar] [CrossRef] [PubMed]
- Kobayashi, E.; Okubo, Y.; Suwazono, Y.; Kido, T.; Nishijo, M.; Nakagawa, H.; Nogawa, K. Influence of years engaged in agriculture and number of pregnancies and deliveries on mortality of inhabitants of the Jinzu River basin area, Japan. Occup. Environ. Med. 2002, 59, 847–850. [Google Scholar] [CrossRef] [PubMed]
- Rafati Rahimzadeh, M.; Rafati Rahimzadeh, M.; Kazemi, S.; Moghadamnia, A.A. Cadmium toxicity and treatment: An update. Caspian J. Intern. Med. 2017, 8, 135–145. [Google Scholar]
- Genchi, G.; Sinicropi, M.S.; Lauria, G.; Carocci, A.; Catalano, A. The Effects of Cadmium Toxicity. Int. J. Environ. Res. Public Health 2020, 17, 3782. [Google Scholar] [CrossRef] [PubMed]
- Vacchi-Suzzi, C.; Kruse, D.; Harrington, J.; Levine, K.; Meliker, J.R. Is Urinary Cadmium a Biomarker of Long-term Exposure in Humans? A Review. Curr. Environ. Health Rep. 2016, 3, 450–458. [Google Scholar] [CrossRef] [PubMed]
- Cui, Z.G.; Ahmed, K.; Zaidi, S.F.; Muhammad, J.S. Ins and outs of cadmium-induced carcinogenesis: Mechanism and prevention. Cancer Treat. Res. Commun. 2021, 27, 100372. [Google Scholar] [CrossRef]
- Rusanov, A.L.; Smirnova, A.V.; Poromov, A.A.; Fomicheva, K.A.; Luzgina, N.G.; Majouga, A.G. Effects of cadmium chloride on the functional state of human intestinal cells. Toxicol. Vitr. 2015, 29, 1006–1011. [Google Scholar] [CrossRef]
- Nemmiche, S. Oxidative Signaling Response to Cadmium Exposure. Toxicol. Sci. 2017, 156, 4–10. [Google Scholar] [CrossRef]
- Miao, A.J.; Schwehr, K.A.; Xu, C.; Zhang, S.J.; Luo, Z.; Quigg, A.; Santschi, P.H. The algal toxicity of silver engineered nanoparticles and detoxification by exopolymeric substances. Environ. Pollut. 2009, 157, 3034–3041. [Google Scholar] [CrossRef]
- Pop, O.L.; Suharoschi, R.; Gabbianelli, R. Biodetoxification and Protective Properties of Probiotics. Microorganisms 2022, 10, 1278. [Google Scholar] [CrossRef] [PubMed]
- Amara, A.A.; Shibl, A. Role of Probiotics in health improvement, infection control and disease treatment and management. Saudi. Pharm. J. 2015, 23, 107–114. [Google Scholar] [CrossRef] [PubMed]
- Baralić, K.; Živančević, K.; Bozic, D.; Đukić-Ćosić, D. Probiotic cultures as a potential protective strategy against the toxicity of environmentally relevant chemicals: State-of-the-art knowledge. Food Chem. Toxicol. 2023, 172, 113582. [Google Scholar] [CrossRef] [PubMed]
- Gupta, P.; Diwan, B. Bacterial Exopolysaccharide mediated heavy metal removal: A Review on biosynthesis, mechanism and remediation strategies. Biotechnol. Rep. 2016, 13, 58–71. [Google Scholar] [CrossRef]
- Huang, L.; Jin, Y.; Zhou, D.; Liu, L.; Huang, S.; Zhao, Y.; Chen, Y. A Review of the Role of Extracellular Polymeric Substances (EPS) in Wastewater Treatment Systems. Int. J. Environ. Res. Public Health 2022, 19, 12191. [Google Scholar] [CrossRef]
- Padam, B.S.; Tin, H.S.; Chye, F.Y.; Abdullah, M.I. Banana by-products: An under-utilized renewable food biomass with great potential. J. Food Sci. Technol. 2014, 51, 3527–3545. [Google Scholar] [CrossRef]
- Reddad, Z.; Gerente, C.; Andres, Y.; Le Cloirec, P. Modeling of single and competitive metal adsorption onto a natural polysaccharide. Environ. Sci. Technol. 2002, 36, 2242–2248. [Google Scholar] [CrossRef]
- Happi Emaga, T.; Robert, C.; Ronkart, S.N.; Wathelet, B.; Paquot, M. Dietary fibre components and pectin chemical features of peels during ripening in banana and plantain varieties. Bioresour. Technol. 2008, 99, 4346–4354. [Google Scholar] [CrossRef]
- Saeed, A.; Akhter, M.W.; Iqbal, M. Removal and recovery of heavy metals from aqueous solution using papaya wood as a new biosorbent. Sep. Purif. Technol. 2005, 45, 25–31. [Google Scholar] [CrossRef]
- Castro, R.S.D.; Caetano, L.; Ferreira, G.; Padilha, P.M.; Saeki, M.J.; Zara, L.F.; Martines, M.A.U.; Castro, G.R. Banana Peel Applied to the Solid Phase Extraction of Copper and Lead from River Water: Preconcentration of Metal Ions with a Fruit Waste. Ind. Eng. Chem. Res. 2011, 50, 3446–3451. [Google Scholar] [CrossRef]
- Abou-Shanab, R.A.; Angle, J.S.; van Berkum, P. Chromate-tolerant bacteria for enhanced metal uptake by Eichhornia crassipes (Mart.). Int. J. Phytoremediation 2007, 9, 91–105. [Google Scholar] [CrossRef] [PubMed]
- Liu, Y.H.; Ho, C.Y.; Huang, C.C.; Tsai, C.C. Inhibitory Effect of Lactic Acid Bacteria on Uropathogenic Escherichia coli-Induced Urinary Tract Infections. J. Prob. Health 2016, 4, 2. [Google Scholar]
- Matlawska-Wasowska, K.; Finn, R.; Mustel, A.; O’Byrne, C.P.; Baird, A.W.; Coffey, E.T.; Boyd, A. The Vibrio parahaemolyticus Type III Secretion Systems manipulate host cell MAPK for critical steps in pathogenesis. BMC Microbiol. 2010, 10, 329. [Google Scholar] [CrossRef]
- Gueimonde, M.; Ouwehand, A.; Huhtinen, H.; Salminen, E.; Salminen, S. Qualitative and quantitative analyses of the bifidobacterial microbiota in the colonic mucosa of patients with colorectal cancer, diverticulitis and inflammatory bowel disease. World J. Gastroenterol. 2007, 13, 3985–3989. [Google Scholar] [CrossRef] [PubMed]
- Calò, R.; Marabini, L. Protective effect of Vaccinium myrtillus extract against UVA- and UVB-induced damage in a human keratinocyte cell line (HaCaT cells). J. Photochem. Photobiol. B 2014, 132, 27–35. [Google Scholar] [CrossRef] [PubMed]
- Topcu, A.; Bulat, T. Removal of cadmium and lead from aqueous solution by Enterococcus faecium strains. J. Food Sci. 2010, 75, T13–T17. [Google Scholar] [CrossRef] [PubMed]
- Vrieze, A.; Holleman, F.; Zoetendal, E.G.; de Vos, W.M.; Hoekstra, J.B.; Nieuwdorp, M. The environment within: How gut microbiota may influence metabolism and body composition. Diabetologia 2010, 53, 606–613. [Google Scholar] [CrossRef] [PubMed]
- Morillo Pérez, J.A.; García-Ribera, R.; Quesada, T.; Aguilera, M.; Ramos-Cormenzana, A.; Monteoliva-Sánchez, M. Biosorption of heavy metals by the exopolysaccharide produced by Paenibacillus jamilae. World J. Microbiol. Biotechnol. 2008, 24, 2699–2704. [Google Scholar] [CrossRef]
- Yin, Y.; Hu, Y.Y.; Xiong, F. Sorption of Cu (II) and Cd (II) by extracellular polymeric substances (EPS) from Aspergillus fumigatus. Int. Biodeterior. Biodegrad. 2011, 65, 1012–1018. [Google Scholar] [CrossRef]
- Kiran, B.; Kaushik, A. Chromium binding capacity of Lyngbya putealis exopolysaccharides. Biochem. Eng. J. 2008, 38, 47–54. [Google Scholar] [CrossRef]
- Polak-Berecka, M.; Waśko, A.; Paduch, R.; Skrzypek, T.; Sroka-Bartnicka, A. The effect of cell surface components on adhesion ability of Lactobacillus rhamnosus. Antonie Van Leeuwenhoek 2014, 106, 751–762. [Google Scholar] [CrossRef] [PubMed]
- Ognjanović, B.I.; Marković, S.D.; Ethordević, N.Z.; Trbojević, I.S.; Stajn, A.S.; Saicić, Z.S. Cadmium-induced lipid peroxidation and changes in antioxidant defense system in the rat testes: Protective role of coenzyme Q(10) and vitamin E. Reprod. Toxicol. 2010, 29, 191–197. [Google Scholar] [CrossRef] [PubMed]
- Jafarpour, D.; Shekarforoush, S.S.; Ghaisari, H.R.; Nazifi, S.; Sajedianfard, J.; Eskandari, M.H. Protective effects of synbiotic diets of Bacillus coagulans, Lactobacillus plantarum and inulin against acute cadmium toxicity in rats. BMC Complement. Altern. Med. 2017, 17, 291. [Google Scholar] [CrossRef] [PubMed]
- Hyun, J.S.; Satsu, H.; Shimizu, M. Cadmium induces interleukin-8 production via NF-kappaB activation in the human intestinal epithelial cell, Caco-2. Cytokine 2007, 37, 26–34. [Google Scholar] [CrossRef] [PubMed]
- Wang, J.; Hu, S.; Nie, S.; Yu, Q.; Xie, M. Reviews on mechanisms of in vitro antioxidant activity of polysaccharides. Oxid. Med. Cell Longev. 2016, 2016, 5692852. [Google Scholar] [CrossRef]
- Vu, H.T.; Scarlett, C.J.; Vuong, Q.V. Phenolic compounds within banana peel and their potential uses: A review. J. Funct. Foods. 2018, 40, 238–248. [Google Scholar] [CrossRef]
- Esteves, A.C.; Felcman, J. Study of the effect of the administration of Cd (II), cysteine, methionine, and Cd (II) together with cysteine or methionine on the conversion of xanthine dehydrogenase into xanthine oxidase. Biol. Trace Elem. Res. 2000, 76, 19–30. [Google Scholar] [CrossRef]
- Stewart, D.; Killeen, E.; Naquin, R.; Alam, S.; Alam, J. Degradation of transcription factor Nrf2 via the ubiquitin-proteasome pathway and stabilization by cadmium. J. Biol. Chem. 2003, 278, 2396–2402. [Google Scholar] [CrossRef]
- Farmand, F.; Ehdaie, A.; Roberts, C.K.; Sindhu, R.K. Lead-induced dysregulation of superoxide dismutases, catalase, glutathione peroxidase, and guanylate cyclase. Environ. Res. 2005, 98, 33–39. [Google Scholar] [CrossRef]
- Gonzalez, A.; Laporte, D.; Moenne, A. Cadmium Accumulation Involves Synthesis of Glutathione and Phytochelatins, and Activation of CDPK, CaMK, CBLPK, and MAPK Signaling Pathways in Ulva compressa. Front Plant. Sci. 2021, 12, 669096. [Google Scholar] [CrossRef]
- Wang, Y.; Wu, Y.; Wang, Y.; Xu, H.; Mei, X.; Yu, D.; Wang, Y.; Li, W. Antioxidant Properties of Probiotic Bacteria. Nutrients 2017, 9, 521. [Google Scholar] [CrossRef] [PubMed]
- Helbig, K.; Bleuel, C.; Krauss, G.J.; Nies, D.H. Glutathione and Transition-Metal Homeostasis in Escherichia coli. J. Bacteriol. 2008, 190, 5431–5438. [Google Scholar] [CrossRef] [PubMed]
- Zhai, Q.; Tian, F.; Zhao, J.; Zhang, H.; Narbad, A.; Chen, W. Oral administration of probiotics inhibits heavy metal cadmium absorption by protecting intestinal barrier. Appl. Environ. Microbiol. 2016, 82, 4429–4440. [Google Scholar] [CrossRef]
- Zhai, Q.; Yu, L.; Li, T.; Zhu, J.; Zhang, C.; Zhao, J.; Zhang, H.; Chen, W. Effect of dietary probiotic supplementation on intestinal microbiota and physiological conditions of Nile tilapia (Oreochromis niloticus) under waterborne cadmium exposure. Antonie Van Leeuwenhoek. 2017, 110, 501–513. [Google Scholar]
- Chakravarty, R.; Banerjee, P.C. Mechanism of cadmium binding on the cell wall of an acidophilic bacterium. Bioresour. Technol. 2012, 108, 176–183. [Google Scholar] [CrossRef] [PubMed]
- Guo, J.; Zhang, X. Metal-ion interactions with sugars. The crystal structure and FTIR study of an SrCl2-fructose complex. Carbohydr. Res. 2004, 339, 1421–1426. [Google Scholar]
- Golcuk, K.; Altun, A.; Kumru, M. Thermal studies and vibrational analyses of m-methylaniline complexes of Zn(II), Cd(II) and Hg(II) bromides. Spectrochim Acta A Mol. Biomol. Spectrosc. 2003, 59, 1841–1847. [Google Scholar] [CrossRef]
- Wattanakornsiri, A.; Rattanawan, P.; Sanmueng, T.; Satchawan, S.; Jamnongkan, T.; Phuengphai, P. Local fruit peel biosorbents for lead(II) and cadmium(II) ion removal from waste aqueous solution: A kinetic and equilibrium study. S. Afr. J. Chem. Eng. 2022, 42, 306–317. [Google Scholar] [CrossRef]
- Ismail, B.; Nampoothiri, K.M. Production, purification and structural characterization of an exopolysaccharide produced by a probiotic Lactobacillus plantarum MTCC 9510. Arch. Microbiol. 2010, 192, 1049–1057. [Google Scholar] [CrossRef]
- Duma, P.; Miller, L. The use of synchrotron infrared microspectroscopy in biological and biomedical investigations. Vib. Spectrosc. 2003, 32, 3–21. [Google Scholar] [CrossRef]
- Fischer, G.; Braun, S.; Thissen, R.; Dott, W. FT-IR spectroscopy as a tool for rapid identification and intra-species characterization of airborne filamentous fungi. J. Microbiol. Methods 2006, 64, 63–77. [Google Scholar] [CrossRef] [PubMed]
- Pavasant, P.; Apiratikul, R.; Sungkhum, V.; Suthiparinyanont, P.; Wattanachira, S.; Marhaba, T.F. Biosorption of Cu2+, Cd2+, Pb2+, and Zn2+ using dried marine green macroalga Caulerpa lentillifera. Bioresour. Technol. 2006, 97, 2321–2329. [Google Scholar] [CrossRef] [PubMed]











| Strain | Minimum Inhibitory Concentration at 50% for Cd (mg/L) | |
|---|---|---|
| 24 h | 48 h | |
| T126-1 | 500 | 500 |
| MU1 | 62.5 | 62.5 |
| TH3 | 250 | 250 |
| T16-1 | 250 | 500 |
| B22 | 250 | 250 |
| TF-1 | 250 | 250 |
| MG2 | 250 | 125 |
| T40-1 | 500 | 500 |
| TD3 | 250 | 125 |
| MK4 | 125 | 125 |
| MT3 | 62.5 | 62.5 |
| Subject | Fermented Supernatant of Banana Peels | ||
|---|---|---|---|
| Control | TH3 | T40-1 | |
| Scavenging rate of OH (%) | 74.85 ± 0.11 a | 84.67 ± 0.96 b | 80.66 ± 4.27 ab |
| Scavenging rate of DPPH (%) | 86.81 ± 2.67 a | 89.95 ± 0.15 a | 89.27 ± 2 a |
| Fe2+ chelating ability (%) | 28.99 ± 0.59 a | 30.25 ± 0.59 a | 36.97 ± 0 b |
| Reducing activity (%) | 72.08 ± 6.99 a | 75.84 ± 9.61 a | 75.11 ± 9.71 a |
| Strain | Acid Tolerance (log CFU/mL) | Bile Salt Tolerance (log CFU/mL) | ||||
|---|---|---|---|---|---|---|
| 0 h | 1.5 h | 3 h | 0 h | 1.5 h | 3 h | |
| T40-1 | 8.7 ± 0.07 | 8.71 ± 0.05 | 8.61 ± 0.13 | 8.63 ± 0.01 | 8.55 ± 0.04 | 8.63 ± 0.03 |
| TH3 | 8.51 ± 0.01 | 8.4 ± 0.02 | 8.53 ± 0.04 | 8.54 ± 0 | 8.4 ± 0.02 | 8.57 ± 0.02 |
| Antibiotic | Inhibition Zone (mm) | |
|---|---|---|
| Strain T40-1 | Strain TH3 | |
| Kanamycin (30 μg) | 12 (+) | 10 (-) |
| Ampicillin (10 μg) | 30 (+++) | 20 (++) |
| Penicillin G (10 units) | 19 (++) | 27 (+++) |
| Streptomycin (10 μg) | 10 (-) | 10 (-) |
| Tetracycline (30 μg) | 30 (+++) | 34 (+++) |
| Gentamicin (30 μg) | 12 (+) | 16 (+) |
| Neomycin (30 μg) | 15 (+) | 13 (+) |
| Erythromycin (15 μg) | 21 (+) | 11 (-) |
Disclaimer/Publisher’s Note: The statements, opinions and data contained in all publications are solely those of the individual author(s) and contributor(s) and not of MDPI and/or the editor(s). MDPI and/or the editor(s) disclaim responsibility for any injury to people or property resulting from any ideas, methods, instructions or products referred to in the content. |
© 2023 by the authors. Licensee MDPI, Basel, Switzerland. This article is an open access article distributed under the terms and conditions of the Creative Commons Attribution (CC BY) license (https://creativecommons.org/licenses/by/4.0/).
Share and Cite
Chou, L.-C.; Tsai, C.-C. Assessing the Effectiveness of Fermented Banana Peel Extracts for the Biosorption and Removal of Cadmium to Mitigate Inflammation and Oxidative Stress. Foods 2023, 12, 2632. https://doi.org/10.3390/foods12132632
Chou L-C, Tsai C-C. Assessing the Effectiveness of Fermented Banana Peel Extracts for the Biosorption and Removal of Cadmium to Mitigate Inflammation and Oxidative Stress. Foods. 2023; 12(13):2632. https://doi.org/10.3390/foods12132632
Chicago/Turabian StyleChou, Lan-Chun, and Cheng-Chih Tsai. 2023. "Assessing the Effectiveness of Fermented Banana Peel Extracts for the Biosorption and Removal of Cadmium to Mitigate Inflammation and Oxidative Stress" Foods 12, no. 13: 2632. https://doi.org/10.3390/foods12132632
APA StyleChou, L.-C., & Tsai, C.-C. (2023). Assessing the Effectiveness of Fermented Banana Peel Extracts for the Biosorption and Removal of Cadmium to Mitigate Inflammation and Oxidative Stress. Foods, 12(13), 2632. https://doi.org/10.3390/foods12132632
