Study on the Trend in Microbial Changes during the Fermentation of Black Tea and Its Effect on the Quality
Abstract
1. Introduction
2. Materials and Methods
2.1. Experimental Materials
2.2. Reagents and Instruments
2.3. Quality Chemical Composition Assay
2.4. Tea Tree Endophytic Bacteria Collection and Total DNA Extraction
2.5. Structural Analysis of Microbial Population Composition
2.6. Data Analysis
3. Results
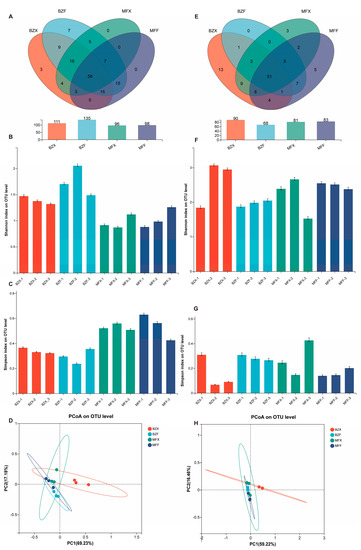
3.1. Sequence Statistics of Tea Bacteria and Fungi
3.2. Comparison of Tea Microbial Communities and Abundance during Black Tea Fermentation
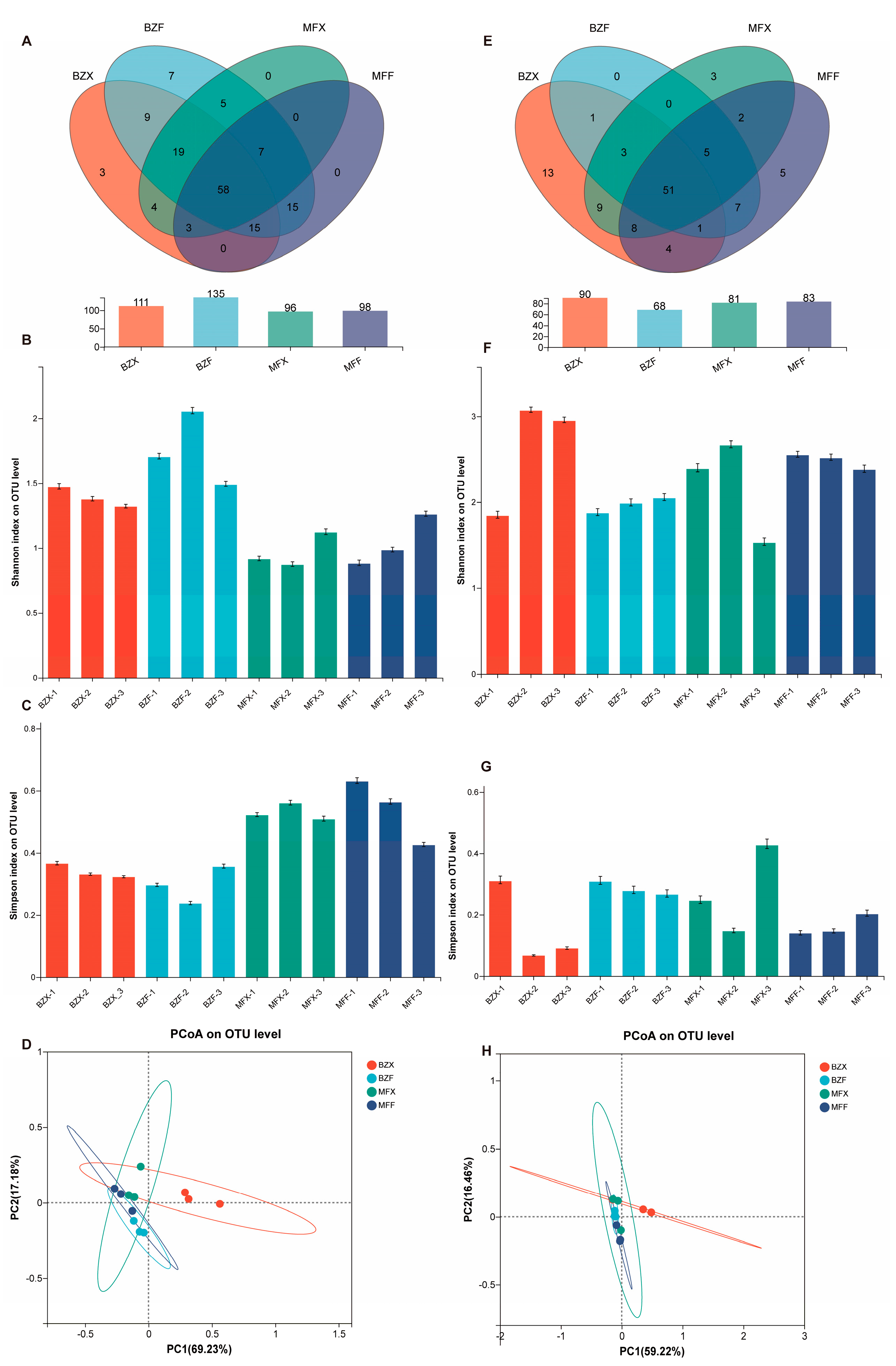
3.3. Comparison of Endophytic Fungal Communities and Abundance in Tea during Processing
3.4. Functional Prediction Analysis of Endophytic Bacteria and Bacterial Populations during Fermentation in Fresh Tea Tree Leaves
3.5. Comparison of the Content of Main Quality Chemical Components of Tea Leaves in Different Varieties of Fresh Leaves and in the Fermentation Process
3.6. Relationship between Dominant Microorganisms and Tea Quality
4. Discussion
Author Contributions
Funding
Data Availability Statement
Conflicts of Interest
References
- Li, Y.; He, C.; Yu, X.; Zhou, J.; Ran, W.; Chen, Y.; Ni, D. Effects of red-light withering on the taste of black tea as revealed by non-targeted metabolomics and transcriptomics analysis. LWT 2021, 147, 111620. [Google Scholar] [CrossRef]
- Li, S.; Lo, C.-Y.; Pan, M.-H.; Lai, C.-S.; Ho, C.-T. Black tea: Chemical analysis and stability. Food Funct. 2012, 4, 10–18. [Google Scholar] [CrossRef] [PubMed]
- Gao, Y.; Xu, Y.; Yin, J. Black tea benefits short-chain fatty acid producers but inhibits genus Lactobacillus in the gut of healthy Sprague–Dawley rats. J. Sci. Food Agric. 2020, 100, 5466–5475. [Google Scholar] [CrossRef] [PubMed]
- Xu, J.; Li, M.; Zhang, Y.; Chu, S.; Huo, Y.; Zhao, J.; Wan, C. Huangjinya Black Tea Alleviates Obesity and Insulin Resistance via Modulating Fecal Metabolome in High-Fat Diet-Fed Mice. Mol. Nutr. Food Res. 2020, 64, e2000353. [Google Scholar] [CrossRef]
- Chen, Q.; Zhu, Y.; Liu, Y.; Liu, Y.; Dong, C.; Lin, Z.; Teng, J. Black tea aroma formation during the fermentation period. Food Chem. 2021, 374, 131640. [Google Scholar] [CrossRef]
- Tanaka, T.; Yasumatsu, M.; Hirotani, M.; Matsuo, Y.; Li, N.; Zhu, H.-T.; Saito, Y.; Ishimaru, K.; Zhang, Y.-J. New degradation mechanism of black tea pigment theaflavin involving condensation with epigallocatechin-3-O-gallate. Food Chem. 2021, 370, 131326. [Google Scholar] [CrossRef]
- Ito, A.; Yanase, E. Study into the chemical changes of tea leaf polyphenols during japanese black tea processing. Food Res. Int. 2022, 160, 111731. [Google Scholar] [CrossRef]
- Rawat, R.; Gulati, A.; Babu, G.K.; Acharya, R.; Kaul, V.K.; Singh, B. Characterization of volatile components of Kangra orthodox black tea by gas chromatography-mass spectrometry. Food Chem. 2007, 105, 229–235. [Google Scholar] [CrossRef]
- Sun, J.; Chang, M.; Li, H.; Zhang, Z.; Chen, Q.; Chen, Y.; Yao, Y.; Pan, A.; Shi, C.; Wang, C.; et al. Endophytic Bacteria as Contributors to Theanine Production in Camellia sinensis. J. Agric. Food Chem. 2019, 38, 10685–10693. [Google Scholar] [CrossRef]
- Stodt, U.W.; Blauth, N.; Niemann, S.; Stark, J.; Pawar, V.; Jayaraman, S.; Koek, J.; Engelhardt, U.H. Investigation of Processes in Black Tea Manufacture through Model Fermentation (Oxidation) Experiments. J. Agric. Food Chem. 2014, 62, 7854–7861. [Google Scholar] [CrossRef]
- Tong, W.; Yu, J.; Wu, Q.; Hu, L.; Tabys, D.; Wang, Y.; Wei, C.; Ling, T.; Inayat, M.A.; Bennetzen, J.L. Black Tea Quality is Highly Affected during Processing by its Leaf Surface Microbiome. J. Agric. Food Chem. 2021, 69, 7115–7126. [Google Scholar] [CrossRef]
- Zhang, G.; Yang, J.; Cui, D.; Zhao, D.; Benedito, V.A.; Zhao, J. Genome-wide analysis and metabolic profiling unveil the role of peroxidase CsGPX3 in theaflavin production in black tea processing. Food Res. Int. 2020, 137, 109677. [Google Scholar] [CrossRef]
- Wang, Q.; Gong, J.; Chisti, Y.; Sirisansaneeyakul, S. Production of theabrownins using a crude fungal enzyme concentrate. J. Biotechnol. 2016, 231, 250–259. [Google Scholar] [CrossRef]
- Xu, A.; Wang, Y.; Wen, J.; Liu, P.; Liu, Z.; Li, Z. Fungal community associated with fermentation and storage of Fuzhuan brick-tea. Int. J. Food Microbiol. 2011, 146, 14–22. [Google Scholar] [CrossRef]
- Jin, G.; Wang, Y.-J.; Li, M.; Li, T.; Huang, W.-J.; Li, L.; Deng, W.-W.; Ning, J. Rapid and real-time detection of black tea fermentation quality by using an inexpensive data fusion system. Food Chem. 2021, 358, 129815. [Google Scholar] [CrossRef]
- Bag, S.; Mondal, A.; Banik, A. Exploring tea (Camellia sinensis) microbiome: Insights into the functional characteristics and their impact on tea growth promotion. Microbiol. Res. 2022, 254, 126890. [Google Scholar] [CrossRef]
- Wang, B.; Qu, F.; Wang, P.; Zhao, L.; Wang, Z.; Han, Y.; Zhang, X. Characterization analysis of flavor compounds in green teas at different drying temperature. LWT 2022, 161, 113394. [Google Scholar] [CrossRef]
- Guo, X.; Song, C.; Ho, C.T.; Wan, X. Contribution of l-theanine to the formation of 2,5-dimethylpyrazine, a key roasted peanutty flavor in oolong tea during manufacturing processes. Food Chem. 2018, 263, 18–28. [Google Scholar] [CrossRef]
- Qi, D.; Miao, A.; Chen, W.; Wang, W.; He, X.; Ma, C. Characterization of the volatile compounds profile of the innovative broken oolong-black tea in comparison with broken oolong and broken black tea. Food Control. 2021, 129, 108197. [Google Scholar] [CrossRef]
- Sharma, C.; Bhardwaj, N.K. Biotransformation of fermented black tea into bacterial nanocellulose via symbiotic interplay of microorganisms. Int. J. Biol. Macromol. 2019, 132, 166–177. [Google Scholar] [CrossRef]
- Li, Q.; Li, Y.; Luo, Y.; Zhang, Y.; Chen, Y.; Lin, H.; Wang, K.; Huang, J.; Liu, Z. Shifts in diversity and function of the bacterial community during the manufacture of Fu brick tea. Food Microbiol. 2019, 80, 70–76. [Google Scholar] [CrossRef] [PubMed]
- Xiang, M.; Chu, J.; Cai, W.; Ma, H.; Zhu, W.; Zhang, X.; Ren, J.; Xiao, L.; Liu, D.; Liu, X. Microbial Succession and Interactions During the Manufacture of Fu Brick Tea. Front. Microbiol. 2022, 13, 892437. [Google Scholar] [CrossRef] [PubMed]
- Lin, H.; Liu, C.; Peng, Z.; Tan, B.; Wang, K.; Liu, Z. Distribution pattern of endophytic bacteria and fungi in tea plants. Front. Microbiol. 2022, 13, 872034. [Google Scholar] [CrossRef] [PubMed]
- Jia, W.-B.; Zhao, Y.-Q.; Liao, S.-Y.; Li, P.-W.; Zou, Y.; Chen, S.-X.; Chen, W.; He, C.-L.; Du, X.; Zhu, M.-Z.; et al. Dynamic changes in the diversity and function of bacterial community during black tea processing. Food Res. Int. 2022, 161, 111856. [Google Scholar] [CrossRef] [PubMed]
- Lamb, E.G.; Kennedy, N.; Siciliano, S.D. Effects of plant species richness and evenness on soil microbial community diversity and function. Plant Soil 2021, 338, 483–495. [Google Scholar] [CrossRef]
- Chen, D.; He, L.; Chen, S.; Yao, Y.; Ma, Y.; Zhou, X. Comparative analysis on determination of amino acid content of different tea varieties in Fanjingshan by HPLC. Food Ind. 2020, 42, 294–298. [Google Scholar]
- Jabeen, S.; Alam, S.; Saleem, M.; Ahmad, W.; Bibi, R.; Hamid, F.S.; Shah, H.U. Withering timings affect the total free amino acids and mineral contents of tea leaves during black tea manufacturing. Arab. J. Chem. 2015, 12, 2411–2417. [Google Scholar] [CrossRef]
- Liu, Y.; Chen, Q.; Liu, D.; Yang, L.; Hu, W.; Kuang, L.; Huang, Y.; Teng, J.; Liu, Y. Multi-omics and enzyme activity analysis of flavour substances formation: Major metabolic pathways alteration during Congou black tea processing. Food Chem. 2023, 403, 134263. [Google Scholar] [CrossRef]
- Yu, P.; Huang, H.; Zhao, X.; Zhong, N.; Zheng, H. Dynamic variation of amino acid content during black tea processing: A review. Food Res. Int. 2022, 1–14. [Google Scholar] [CrossRef]
- Li, Q.; Huang, J.; Li, Y.; Zhang, Y.; Luo, Y.; Chen, Y.; Lin, H.; Wang, K.; Liu, Z. Fungal community succession and major components change during manufacturing process of Fu brick tea. Sci. Rep. 2017, 7, 6947. [Google Scholar] [CrossRef]
- Nurmilah, S.; Cahyana, Y.; Utama, G.L. Metagenomics analysis of the polymeric and monomeric phenolic dynamic changes related to the indigenous bacteria of black tea spontaneous fermentation. Biotechnol. Rep. 2022, 36, e00774. [Google Scholar] [CrossRef]
- Wang, X.; Du, G.; Chen, H.; Zeng, X.; Liu, B.; Guo, C.; Sheng, Q.; Yuan, Y.; Yue, T. Comparative Metagenomics Reveals Microbial Communities and Their Associated Functions in Two Types of Fuzhuan Brick Tea. Front. Microbiol. 2021, 12, 705681. [Google Scholar] [CrossRef]
- Zhou, J.; Liu, C.; Zhao, S.; Liu, Y.; Zhang, S.; Zhao, Q.; Wang, F.; Xu, G.; Huang, J.; Liu, Z. Improved yield of theaflavin-3,3ʹ-digallate from Bacillus megaterium tyrosinase via directed evolution. Food Chem. 2021, 375, 131848. [Google Scholar] [CrossRef]






| Phylum | Class | Order | Family | Genus | BZF (%) | BZX (%) | MFF (%) | MFX (%) |
|---|---|---|---|---|---|---|---|---|
| Actinobacteria | Actinobacteria | Micrococcales | Microbacteriaceae | Microbacterium | 6.28 | 4.60 | 5.23 | 4.89 |
| Bacteroidetes | Flavobacteriia | Flavobacteriales | Flavobacteriaceae | Chryseobacterium | 50.22 | 26.89 | 35.75 | 48.75 |
| Proteobacteria | Alphaproteobacteria | Rhizobiales | Aurantimonadaceae | Aureimonas | 2.50 | 5.21 | 2.18 | 2.07 |
| Bradyrhizobiaceae | Bosea | 0.40 | 1.04 | 0.36 | 0.42 | |||
| Hyphomicrobiaceae | Devosia | 3.46 | 6.84 | 4.92 | 6.19 | |||
| Methylobacteriaceae | Methylobacterium | 0.58 | 4.56 | 0.79 | 0.94 | |||
| 0.04 | 5.45 | 0.05 | 1.08 | |||||
| 0.29 | 3.06 | 0.77 | 0.97 | |||||
| 0.27 | 1.39 | 0.43 | 0.96 | |||||
| 0.08 | 0.65 | 0.13 | 0.62 | |||||
| Rhizobiaceae | Rhizobium | 6.72 | 4.09 | 8.15 | 2.29 | |||
| 0.64 | 1.83 | 0.91 | 2.84 | |||||
| Sphingomonadales | Sphingomonadaceae | Sphingomonas | 6.53 | 4.93 | 7.47 | 4.11 | ||
| 2.84 | 1.43 | 5.08 | 4.26 | |||||
| 0.38 | 9.13 | 0.50 | 0.63 | |||||
| 2.52 | 2.79 | 3.19 | 1.64 | |||||
| Betaproteobacteria | Burkholderiales | Comamonadaceae | Acidovorax | 8.74 | 3.94 | 7.95 | 5.91 | |
| Variovorax | 1.62 | 0.82 | 2.69 | 0.83 | ||||
| Oxalobacteraceae | Herbaspirillum | 2.15 | 1.59 | 3.57 | 1.54 | |||
| 2.03 | 0.07 | 2.71 | 1.81 | |||||
| Gammaproteobacteria | Enterobacteriales | Enterobacteriaceae | Morganella | 0.03 | 0.04 | 2.34 | 0.26 |
| Phylum | Class | Order | BZF (%) | BZX (%) | MFF (%) | MFX (%) |
|---|---|---|---|---|---|---|
| Ascomycota | Dothideomycetes | Capnodiales | 3.66 | 46.14 | 1.38 | 6.46 |
| 0.24 | 3.19 | 0.11 | 1.78 | |||
| 1.61 | 1.00 | 0.23 | 0.21 | |||
| 0.99 | 0.06 | 0.09 | 0.04 | |||
| Pleosporales | 44.89 | 22.34 | 67.79 | 54.96 | ||
| 5.86 | 1.31 | 7.27 | 4.65 | |||
| 2.07 | 0.48 | 1.94 | 12.49 | |||
| 0.07 | 0.39 | 0.07 | 0.54 | |||
| unclassified | 0.28 | 0.08 | 0.03 | 0.08 | ||
| Eurotiomycetes | Chaetothyriales | 0.01 | 0.66 | 0.00 | 0.00 | |
| Unclassified Fungi | unclassified | unclassified | 21.28 | 21.64 | 15.15 | 17.19 |
| Sample | BZX | BZF | MFX | MFF |
|---|---|---|---|---|
| Theanine | 0.51 ± 0.002 | 0.44 ± 0.002 | 0.64 ± 0.001 | 0.56 ± 0.001 |
| Total amino acids | 2.69 ± 0.002 | 3.18 ± 0.012 | 2.96 ± 0.005 | 3.24 ± 0.004 |
| Theobromine | 0.132 ± 0.001 | 0.153 ± 0.001 | 0.165 ± 0.001 | 0.183 ± 0.002 |
| Theophylline | 0 | 0 | 0 | 0 |
| Caffeine | 2.215 ± 0.002 | 3.667 ± 0.005 | 2.694 ± 0.003 | 3.861 ± 0.016 |
| Gallic acid | 0.06 ± 0.001 | 0.46 ± 0.001 | 0.062 ± 0.002 | 0.457 ± 0.001 |
| D-LC | 0.6 ± 0.001 | 0 | 0.725 ± 0.001 | 0 |
| EC | 0.559 ± 0.003 | 0 | 0.526 ± 0.001 | 0 |
| EGC | 3.63 ± 0.002 | 0.023 ± 0.001 | 3.435 ± 0.004 | 0.014 ± 0.001 |
| EGCG | 5.616 ± 0.006 | 0.13 ± 0.001 | 6.489 ± 0.008 | 0.1 ± 0.001 |
| GCG | 1.756 ± 0.002 | 0 | 2.378 ± 0.004 | 0 |
| ECG | 1.133 ± 0.001 | 0.11 ± 0.001 | 1.161 ± 0.001 | 0.056 ± 0.001 |
| Total tea polyphenols | 17.588 ± 0.169 | 9.351 ± 0.113 | 17.749 ± 0.157 | 7.610 ± 0.105 |
| Phenol–ammonia ratio | 16.285 ± 0.05 | 6.7611 ± 0.08 | 13.147 ± 0.08 | 5.708 ± 0.051 |
| Fructose | 0.15 ± 0.0001 | 0.59 ± 0.002 | 0.171 ± 0.0001 | 0.605 ± 0.002 |
| Glucose | 0.857 ± 0.0001 | 0.561 ± 0.003 | 0.853 ± 0.0001 | 0.569 ± 0.001 |
| Sucrose | 2.182 ± 0.003 | 0.488 ± 0.001 | 1.899 ± 0.004 | 0.581 ± 0.002 |
| Malt dust | 1.271 ± 0.0005 | 1.748 ± 0.002 | 1.534 ± 0.0002 | 1.838 ± 0.005 |
| Theaflavins | 0 | 0.281 ± 0.002 | 0 | 0.323 ± 0.001 |
| Thearubigins | 0 | 5.425 ± 0.002 | 0 | 5.948 ± 0.002 |
Disclaimer/Publisher’s Note: The statements, opinions and data contained in all publications are solely those of the individual author(s) and contributor(s) and not of MDPI and/or the editor(s). MDPI and/or the editor(s) disclaim responsibility for any injury to people or property resulting from any ideas, methods, instructions or products referred to in the content. |
© 2023 by the authors. Licensee MDPI, Basel, Switzerland. This article is an open access article distributed under the terms and conditions of the Creative Commons Attribution (CC BY) license (https://creativecommons.org/licenses/by/4.0/).
Share and Cite
Liu, C.; Lin, H.; Wang, K.; Zhang, Z.; Huang, J.; Liu, Z. Study on the Trend in Microbial Changes during the Fermentation of Black Tea and Its Effect on the Quality. Foods 2023, 12, 1944. https://doi.org/10.3390/foods12101944
Liu C, Lin H, Wang K, Zhang Z, Huang J, Liu Z. Study on the Trend in Microbial Changes during the Fermentation of Black Tea and Its Effect on the Quality. Foods. 2023; 12(10):1944. https://doi.org/10.3390/foods12101944
Chicago/Turabian StyleLiu, Changwei, Haiyan Lin, Kuofei Wang, Zhixu Zhang, Jianan Huang, and Zhonghua Liu. 2023. "Study on the Trend in Microbial Changes during the Fermentation of Black Tea and Its Effect on the Quality" Foods 12, no. 10: 1944. https://doi.org/10.3390/foods12101944
APA StyleLiu, C., Lin, H., Wang, K., Zhang, Z., Huang, J., & Liu, Z. (2023). Study on the Trend in Microbial Changes during the Fermentation of Black Tea and Its Effect on the Quality. Foods, 12(10), 1944. https://doi.org/10.3390/foods12101944
