Effect of Different Polymerization Degrees and Fatty Acids of Polyglycerol Esters on the Physical Properties and Whippability of Recombined Dairy Cream
Abstract
:1. Introduction
2. Materials and Methods
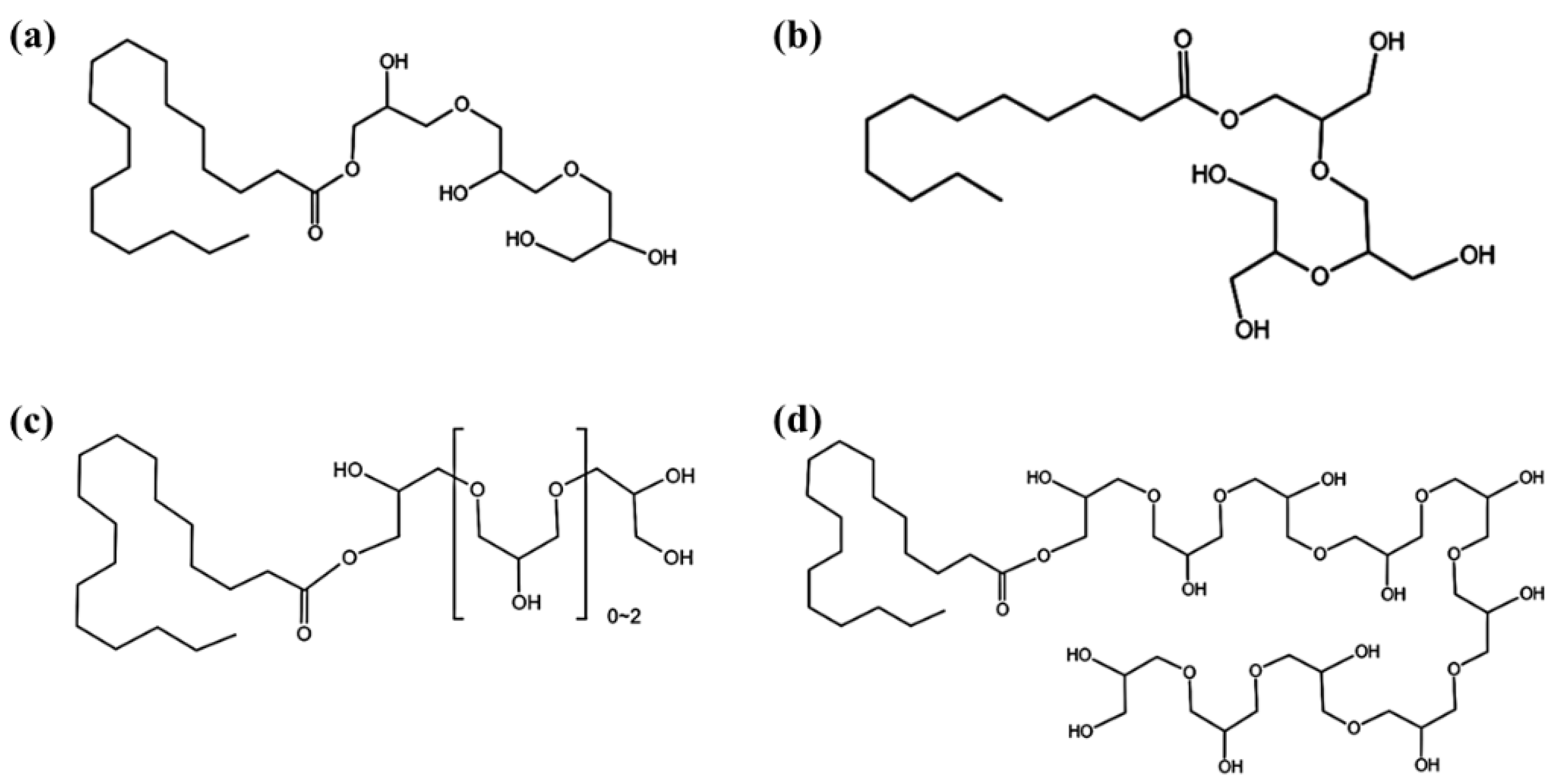
2.1. Materials
2.2. Formulation of RDC
2.3. Average Droplet Size
2.4. Viscosity
2.5. Physical Stability Analyzed Using LUMiSizer
2.6. Zeta Potential
2.7. Whipping Process and Overrun
2.8. Serum Loss
2.9. Firmness
2.10. Serum Protein Concentration
2.11. Microrheological Properties
2.12. Fat Agglomeration Rate
2.13. Statistical Analyses
3. Results and Discussion
3.1. Effect of PGEs on Particle Size of RDC
3.2. Effect of PGEs on Viscosity of RDC
3.3. Effect of PGEs on Emulsion Stability of RDC
3.4. Effect of PGEs on Zeta Potential of RDC
3.5. Effect of PGEs on Whipping Time of RDC
3.6. Effect of PGEs on Overrun of RDC
3.7. The Effect of PGEs on Firmness of RDC
3.8. Effect of PGEs on Serum Loss of RDC
3.9. Effect of PGEs on the Partial Agglomeration Rates of Fat in RDC
3.10. Effect of PGEs on the Serum Protein Content of RDC
3.11. Effect of PGEs on the Microrheology Properties of RDC
4. Conclusions
Author Contributions
Funding
Data Availability Statement
Conflicts of Interest
Appendix A

References
- Allen, K.E.; Dickinson, E.; Murray, B. Acidified sodium caseinate emulsion foams containing liquid fat: A comparison with whipped cream. LWT—Food Sci. Technol. 2005, 39, 225–234. [Google Scholar] [CrossRef]
- Wang, Y.; Yuan, D.; Li, Y.; Li, M.; Wang, Y.; Li, Y.; Zhang, L. Thermodynamic and whipping properties of milk fat in whipped cream: A study based on DSC and TD-NMR. Int. Dairy J. 2019, 97, 149–157. [Google Scholar] [CrossRef]
- Sato, A.; Matsumiya, K.; Kosugi, T.; Kubouchi, H.; Matsumura, Y. Effects of different gases on foaming properties of protein dispersions prepared with whipped cream dispenser. J. Food Eng. 2022, 314, 110764. [Google Scholar] [CrossRef]
- Fredrick, E.; Heyman, B.; Moens, K.; Fischer, S.; Verwijlen, T.; Moldenaers, P.; Van der Meeren, P.; Dewettinck, K. Monoacylglycerols in dairy recombined cream: II. The effect on partial coalescence and whipping properties. Food Res. Int. 2013, 51, 936–945. [Google Scholar] [CrossRef]
- Liu, Y.; Boeren, S.; Zhang, L.; Zhou, P.; Hettinga, K. Ultrasonication retains more milk fat globule membrane proteins compared to equivalent shear-homogenization. Innov. Food Sci. Emerg. 2021, 70, 102703. [Google Scholar] [CrossRef]
- Fredrick, E.; Moens, K.; Heyman, B.; Fischer, S.; Van der Meeren, P.; Dewettinck, K. Monoacylglycerols in dairy recombined cream: I. The effect on milk fat crystallization. Food Res. Int. 2013, 51, 892–898. [Google Scholar] [CrossRef]
- Zhao, Q.; Kuang, W.; Long, Z.; Fang, M.; Liu, D.; Yang, B.; Zhao, M. Effect of sorbitan monostearate on the physical characteristics and whipping properties of whipped cream. Food Chem. 2013, 141, 1834–1840. [Google Scholar] [CrossRef]
- Wang, F.C.; Marangoni, A.G. Advances in the application of food emulsifier α-gel phases: Saturated monoglycerides, polyglycerol fatty acid esters, and their derivatives. J. Colloid Interf. Sci. 2016, 483, 394–403. [Google Scholar] [CrossRef]
- Uchino, T.; Fujimori, S.; Hatta, I.; Miyazaki, Y.; Kamiya, D.; Fujino, H.; Suzuki, R.; Kirishita, Y.; Eda, T.; Murashima, K.; et al. Development of novel polyglycerol fatty acid ester-based nanoparticles for the dermal delivery of tocopherol acetate. Int. J. Pharm. 2021, 592, 120004. [Google Scholar] [CrossRef]
- Kyeong, Y.B.; Chul, K.M.; Jackman, J.A.; Nam-Joon, C. Dynamic remodeling of giant unilamellar vesicles induced by monoglyceride nano-micelles: Insights into supramolecular organization. Appl. Mater. Today 2021, 24, 101099. [Google Scholar] [CrossRef]
- Li, Y.; Li, Y.; Yuan, D.; Wang, Y.; Li, M.; Zhang, L. The effect of caseins on the stability and whipping properties of recombined dairy creams. Int. Dairy J. 2020, 105, 104658. [Google Scholar] [CrossRef]
- Pan, Y.; Liu, L.; Tian, S.; Li, X.; Hussain, M.; Li, C.; Zhang, L.; Zhang, Q.; Leng, Y.; Jiang, S.; et al. Comparative analysis of interfacial composition and structure of fat globules in human milk and infant formulas. Food Hydrocoll. 2022, 124, 107290. [Google Scholar] [CrossRef]
- Li, X.; Wang, X.; Xu, D.; Cao, Y.; Wang, S.; Wang, B.; Sun, B.; Yuan, F.; Gao, Y. Enhancing physicochemical properties of emulsions by heteroaggregation of oppositely charged lactoferrin coated lutein droplets and whey protein isolate coated DHA droplets. Food Chem. 2018, 15, 75–85. [Google Scholar] [CrossRef] [PubMed]
- Wei, Y.; Tong, Z.; Dai, L.; Ma, P.; Zhang, M.; Liu, J.; Mao, L.; Yuan, F.; Gao, Y. Novel colloidal particles and natural small molecular surfactants co-stabilized Pickering emulsions with hierarchical interfacial structure: Enhanced stability and controllable lipolysis. J. Colloid Interf. Sci. 2020, 15, 291–307. [Google Scholar] [CrossRef]
- Zeng, D.; Cai, Y.; Liu, T.; Huang, L.; Liu, P.; Zhao, M.; Zhao, Q. Effect of sucrose ester S370 on interfacial layers and fat crystals network of whipped cream. Food Hydrocoll. 2021, 113, 106541. [Google Scholar] [CrossRef]
- Zhou, X.; Chen, L.; Han, J.; Shi, M.; Wang, Y.; Zhang, L.; Li, Y.; Wu, W. Stability and physical properties of recombined dairy cream: Effects of soybean lecithin. Int. J. Food Prop. 2017, 20, 2223–2233. [Google Scholar] [CrossRef]
- Zhan, F.; Li, J.; Youssef, M.; Li, B. Enhancement of foam stability parallel with foamability of the foam stabilized by sodium caseinate-based complex: Octenyl succinate starch acting a dual role. Food Hydrocoll. 2021, 113, 106479. [Google Scholar] [CrossRef]
- Liu, P.; Huang, L.; Liu, T.; Cai, Y.; Zeng, D.; Zhou, F.; Zhao, M.; Deng, X.; Zhao, Q. Whipping properties and stability of whipping cream: The impact of fatty acid composition and crystallization properties. Food Chem. 2021, 347, 128997. [Google Scholar] [CrossRef]
- Ye, A. Functional properties of milk protein concentrates: Emulsifying properties, adsorption and stability of emulsions. Int. Dairy J. 2010, 21, 14–20. [Google Scholar] [CrossRef]
- Cheng, J.; Dudu, O.E.; Li, X.; Yan, T. Effect of emulsifier-fat interactions and interfacial competitive adsorption of emulsifiers with proteins on fat crystallization and stability of whipped-frozen emulsions. Food Hydrocoll. 2020, 101, 105491. [Google Scholar] [CrossRef]
- Jiang, J.; Jin, Y.; Liang, X.; Piatko, M.; Campbell, S.; Lo, S.K.; Liu, Y. Synergetic interfacial adsorption of protein and low-molecular-weight emulsifiers in aerated emulsions. Food Hydrocoll. 2018, 81, 15–22. [Google Scholar] [CrossRef]
- Peng, B.; Xiong, C.; Huang, Y.; Hu, J.; Zhu, X.; Deng, Z. Enzymatic Synthesis of Polyglycerol Fatty Acid Esters and Their Application as Emulsion Stabilizers. J. Agr. Food Chem. 2018, 66, 8104–8113. [Google Scholar] [CrossRef]
- Lee, L.Y.; Chin, N.L.; Christensen, E.S.; Lim, C.H.; Yusof, Y.A.; Talib, R.A. Applications and effects of monoglycerides on frozen dessert stability. LWT 2018, 97, 508–515. [Google Scholar] [CrossRef]
- Janine, D.; Hela, B.B.; Fabien, D.; Paul, S.; Stephane, D.; Joel, W.; Nicolas, R. Decrease of the amount of fat in chocolate at constant viscosity by optimizing the particle size distribution of chocolate. Food Struct. 2022, 31, 100253. [Google Scholar] [CrossRef]
- Wang, X.; Li, X.; Xu, D.; Liu, G.; Xiao, J.; Cao, Y.; Sun, B. Influence of unadsorbed emulsifiers on the rheological properties and structure of heteroaggregate of whey protein isolate (WPI) coated droplets and flaxseed gum (FG) coated droplets. Food Hydrocoll. 2018, 80, 42–52. [Google Scholar] [CrossRef]
- Huppertz, T.; Kelly, A.L. Physical Chemistry of Milk Fat Globules. In Developments in Dairy Chemistry; Springer: Boston, MA, USA, 2006. [Google Scholar]
- Panchal, B.R.; Truong, T.; Prakash, S.; Bansal, N.; Bhandari, B. Effect of fat globule size on the churnability of dairy cream. Food Res. Int. 2017, 99, 229–238. [Google Scholar] [CrossRef] [PubMed]
- Low, L.E.; Siva, S.P.; Ho, Y.K.; Chan, E.S.; Tey, B.T. Recent advances of characterization techniques for the formation, physical properties and stability of Pickering emulsion. Adv. Colloid Interfac. 2020, 277, 102117. [Google Scholar] [CrossRef] [PubMed]
- Zhang, M.; Fan, L.; Liu, Y.; Huang, S.; Li, J. Effects of proteins on emulsion stability: The role of proteins at the oil–water interface. Food Chem. 2022, 397, 133726. [Google Scholar] [CrossRef] [PubMed]
- Yan, G.; Cui, Y.; Lia, D.; Ding, Y.; Han, J.; Wang, S.; Yang, Q.; Zheng, H. The characteristics of soybean protein isolate obtained by synergistic modification of high hydrostatic pressure and phospholipids as a promising replacement of milk in ice cream. LWT 2022, 160, 113223. [Google Scholar] [CrossRef]
- Zhai, J.; Wooster, T.J.; Hoffmann, S.V.; Lee, T.H.; Augustin, M.A.; Aguilar, M.I. Structural rearrangement of β-lactoglobulin at different oil-water interfaces and its effect on emulsion stability. Langmuir. Acs. J. Surf. Colloids 2011, 27, 9227–9236. [Google Scholar] [CrossRef]
- Zhai, J.; Miles, A.J.; Pattenden, L.K.; Lee, T.H.; Augustin, M.A.; Wallace, B.A.; Aguilar, M.I.; Wooster, T.J. Changes in -lactoglobulin conformation at the oil/water interface of emulsions studied by synchrotron radiation circular dichroism spectroscopy. Biomacromolecules 2010, 11, 2136–2142. [Google Scholar] [CrossRef] [PubMed]
- Fuller, G.T.; Considine, T.; Golding, M.; Matia-Merino, L.; MacGibbon, A.; Gillies, G. Aggregation behavior of partially crystalline oil-in-water emulsions: Part I—Characterization under steady shear. Food Hydrocoll. 2015, 43, 521–528. [Google Scholar] [CrossRef]
- Sakamoto, M.; Ohba, A.; Kuriyama, J.; Maruo, K.; Ueno, S.; Sato, K. Influences of fatty acid moiety and esterification of polyglycerol fatty acid esters on the crystallization of palm mid fraction in oil-in-water emulsion. Colloids Surf. B Biointerfaces 2004, 37, 27–33. [Google Scholar] [CrossRef] [PubMed]
- Dutta, A.; Chengara, A.; Nikolov, A.D.; Wasan, D.T.; Chen, K.; Campbell, B. Texture and stability of aerated food emulsions––effects of buoyancy and Ostwald ripening. J. Food Eng. 2004, 62, 169–175. [Google Scholar] [CrossRef]
- Salonen, A. Mixing bubbles and drops to make foamed emulsions. Curr. Opin. Colloid Interface Sci. 2020, 50, 101381. [Google Scholar] [CrossRef]
- Dutta, A.; Chengara, A.; Nikolov, A.D.; Wasan, D.T.; Chen, K.; Campbell, B. Destabilization of aerated food products: Effects of Ostwald ripening and gas diffusion. J. Food Eng. 2004, 62, 177–184. [Google Scholar] [CrossRef]
- Schmidts, T.; Dobler, D.; Guldan, A.C.; Paulus, N.; Runkel, F. Multiple W/O/W emulsions—Using the required HLB for emulsifier evaluation. Colloids Surf. A Physicochem. Eng. Asp. 2010, 372, 48–54. [Google Scholar] [CrossRef]
- Hanazawa, T.; Sakurai, Y.; Matsumiya, K.; Mutoh, T.; Matsumura, Y. Effects of solid fat content in fat particles on their adsorption at the air–water interface. Food Hydrocoll. 2018, 83, 317–325. [Google Scholar] [CrossRef]
- Cheng, J.; Cui, J.; Ma, Y.; Yan, T.; Wang, L.; Li, H.; Li, X. Effects of soy-to-milk protein ratio and sucrose fatty acid ester addition on the stability of ice cream emulsions. Food Hydrocoll. 2016, 60, 425–436. [Google Scholar] [CrossRef]
- Gunning, P.A.; Mackie, A.R.; Gunning, A.P.; Woodward, N.C.; Wilde, P.J.; Morris, V.J. Effect of Surfactant Type on Surfactant−Protein Interactions at the Air−Water Interface. Biomacromolecules 2004, 5, 984–991. [Google Scholar] [CrossRef]
- Hinderink EB, A.; Meinders MB, J.; Miller, R.; Sagis, L.; Schroën, K.; Berton-Carabin, C.C. Interfacial protein-protein displacement at fluid interfaces. Adv. Colloid Interfac. 2022, 305, 102691. [Google Scholar] [CrossRef] [PubMed]
- Corredig, M.; Alexander, M. Food emulsions studied by DWS: Recent advances. Trends Food Sci. Technol. 2007, 19, 67–75. [Google Scholar] [CrossRef]
- Du, L.; Jiang, Q.; Li, S.; Zhou, Q.; Tan, Y.; Meng, Z. Microstructure evolution and partial coalescence in the whipping process of oleofoams stabilized by monoglycerides. Food Hydrocoll. 2021, 112, 106245. [Google Scholar] [CrossRef]







| Concentration (%) | TMS (%) | TML (%) | PGE55 (%) | PMS (%) |
|---|---|---|---|---|
| 0.0 | 44.00 ± 0.03 Aa | 44.00 ± 0.03 Aa | 44.00 ± 0.03 Aa | 44.00 ± 0.03 Aa |
| 0.3 | 7.60 ± 0.06 Bb | 1.67 ± 0.59 Bc | 0.00 | 18.70 ± 0.37 Ca |
| 0.5 | 5.90 ± 0.08 Cb | 1.26 ± 0.53 Bc | 0.00 | 20.01 ± 0.39 Ca |
| 0.7 | 3.47 ± 0.05 Db | 0.00 | 0.00 | 27.32 ± 0.43 Ba |
| 0.9 | 0.00 | 0.00 | 0.00 | 18.68 ± 0.42 Ca |
| 1.2 | 0.00 | 0.00 | 0.00 | 7.90 ± 0.01 Da |
| Concentration (%) | TMS (%) | TML (%) | PGE55 (%) | PMS (%) |
|---|---|---|---|---|
| 0.0 | 8.95 ± 0.24 Aa | 8.95 ± 0.24 Aa | 8.95 ± 0.24 Aa | 8.95 ± 0.24 Aa |
| 0.7 | 4.14 ± 0.29 Bb | 3.73 ± 0.36 Bb | 3.67 ± 0.41 Bb | 7.93 ± 0.34 Ba |
| 0.9 | 4.67 ± 0.32 Bb | 2.65 ± 0.32 Cc | 3.03 ± 0.36 Bc | 7.34 ± 0.36 Ca |
| Concentration | TMS | TML | PGE55 | PMS | |
|---|---|---|---|---|---|
| EI (× 10−3) | 0% | 1.79 ± 0.03 Aa | 1.79 ± 0.03 Aa | 1.79 ± 0.03 Aa | 1.79 ± 0.03 Aa |
| 0.7% | 1.68 ± 0.03 Bb | 1.53 ± 0.04 Cc | 1.72 ± 0.01 Bb | 1.81 ± 0.010 Ba | |
| 0.9% | 1.70 ± 0.08 Ab | 1.71 ± 0.01 Bb | 1.77 ± 0.02 Aab | 1.84 ± 0.01 Ba | |
| MVI (× 10−3) | 0% | 1.79 ± 0.03 Aa | 1.79 ± 0.03 Aa | 1.79 ± 0.03 Aa | 1.79 ± 0.03 Aa |
| 0.7% | 1.81 ± 0.01 Bc | 5.68 ± 0.10 Ba | 5.9 ± 0.17 Ba | 5.33 ± 0.14 Cb | |
| 0.9% | 1.84 ± 0.01 Cd | 8.19 ± 0.18 Cb | 11.92 ± 0.30 Ca | 3.39 ± 0.17 Bc |
Disclaimer/Publisher’s Note: The statements, opinions and data contained in all publications are solely those of the individual author(s) and contributor(s) and not of MDPI and/or the editor(s). MDPI and/or the editor(s) disclaim responsibility for any injury to people or property resulting from any ideas, methods, instructions or products referred to in the content. |
© 2022 by the authors. Licensee MDPI, Basel, Switzerland. This article is an open access article distributed under the terms and conditions of the Creative Commons Attribution (CC BY) license (https://creativecommons.org/licenses/by/4.0/).
Share and Cite
Yan, G.; Wang, S.; Li, Y.; Zhang, J.; Ding, H.; Li, Y.; Zhang, L. Effect of Different Polymerization Degrees and Fatty Acids of Polyglycerol Esters on the Physical Properties and Whippability of Recombined Dairy Cream. Foods 2023, 12, 22. https://doi.org/10.3390/foods12010022
Yan G, Wang S, Li Y, Zhang J, Ding H, Li Y, Zhang L. Effect of Different Polymerization Degrees and Fatty Acids of Polyglycerol Esters on the Physical Properties and Whippability of Recombined Dairy Cream. Foods. 2023; 12(1):22. https://doi.org/10.3390/foods12010022
Chicago/Turabian StyleYan, Guosen, Shiran Wang, Yang Li, Jing Zhang, Hao Ding, Yan Li, and Liebing Zhang. 2023. "Effect of Different Polymerization Degrees and Fatty Acids of Polyglycerol Esters on the Physical Properties and Whippability of Recombined Dairy Cream" Foods 12, no. 1: 22. https://doi.org/10.3390/foods12010022
APA StyleYan, G., Wang, S., Li, Y., Zhang, J., Ding, H., Li, Y., & Zhang, L. (2023). Effect of Different Polymerization Degrees and Fatty Acids of Polyglycerol Esters on the Physical Properties and Whippability of Recombined Dairy Cream. Foods, 12(1), 22. https://doi.org/10.3390/foods12010022

