Simultaneous Determination of Pyridate, Quizalofop-ethyl, and Cyhalofop-butyl Residues in Agricultural Products Using Liquid Chromatography-Tandem Mass Spectrometry
Abstract
:1. Introduction
2. Materials and Methods
2.1. Chemicals and Reagents
2.2. Preparation of Standard Stock Solution and Calibration
2.3. Sample Preparation
2.4. Instrumental Conditions
2.5. Statistical Analyses
3. Results and Discussion
3.1. Optimization of the Extraction Procedure
3.2. Optimization of Clean-Up Procedure
3.3. Analytical Procedure
3.4. Method Validation
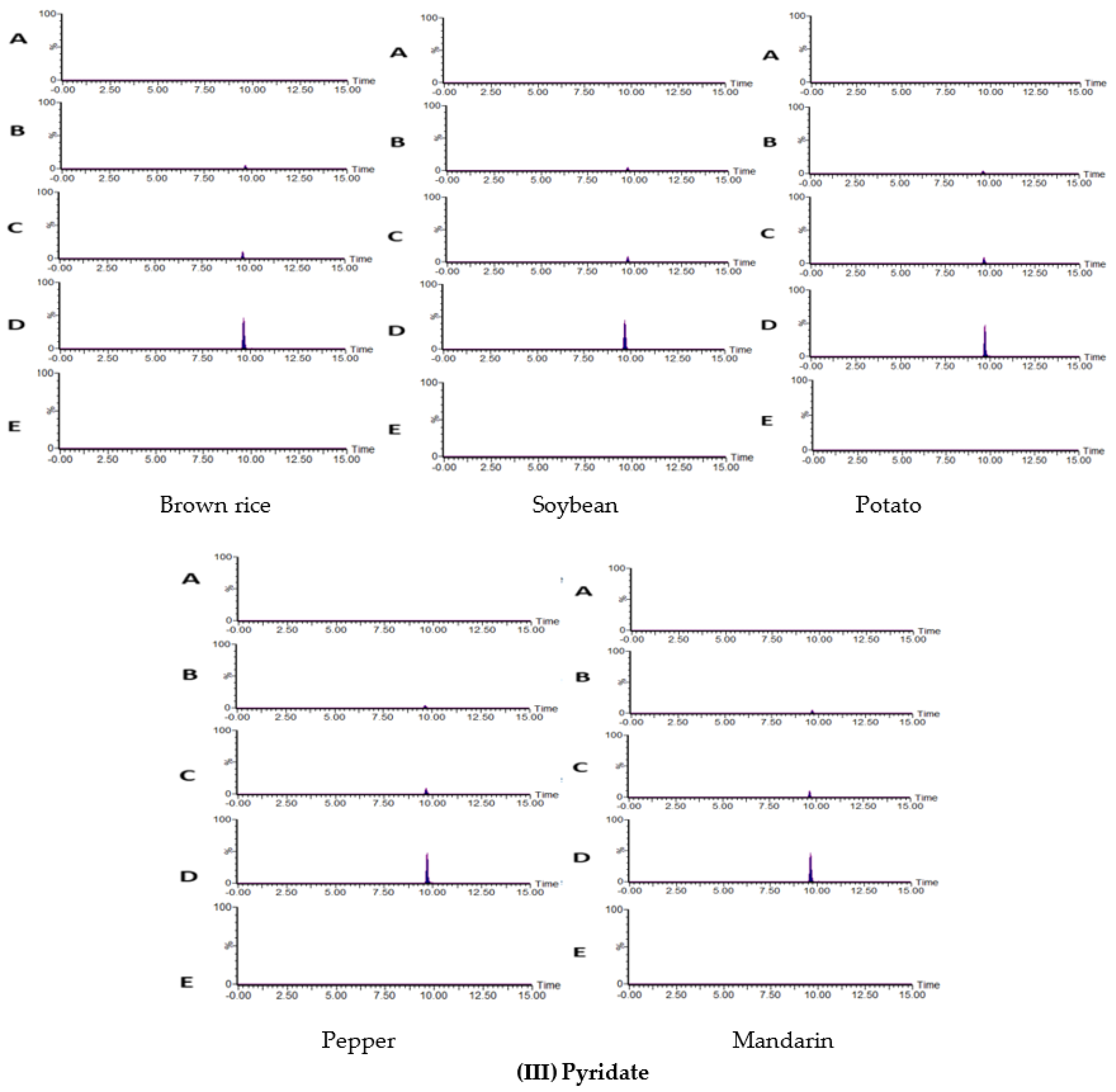
3.4.1. Specificity
3.4.2. Matrix Effects and Linearity
3.4.3. Limits of Detection and Quantitation
3.4.4. Recovery
3.5. Method Application
4. Conclusions
Author Contributions
Funding
Institutional Review Board Statement
Informed Consent Statement
Data Availability Statement
Conflicts of Interest
References
- Park, K.H.; Choi, J.H.; Abd El-Aty, A.M.; Cho, S.K.; Park, J.H.; Kim, B.M.; Yang, A.; Na, T.W.; Rahman, M.; Im, G.J.; et al. Determination of spinetoram and its metabolites in amaranth and parsley using QuEChERS-based extraction and liquid chromatography-tandem mass spectrometry. Food Chem. 2012, 134, 2552–2559. [Google Scholar] [CrossRef]
- Chemistry Libretexts 20.3, Herbicides and Defoliants. 27 June 2021. Available online: https://chem.libretexts.org/Bookshelves/Introductory_Chemistry/Map%3A_Chemistry_for_Changing_Times_(Hill_and_McCreary)/20%3A_Chemistry_Down_on_the_Farm/20.03%3A_Herbicides_and_Defoliants (accessed on 18 February 2022).
- Saha, A.; Shabeer, T.P.A.; Banerjee, K.; Hingmire, S.; Bhaduri, D.; Jain, N.K.; Utture, S. Simultaneous analysis of herbicides pendimethalin, oxyfluorfen, imazethapyr and quizalofop-p-ethyl by LC-MS/MS and safety evaluation of their harvest time residues in peanut (Arachis hypogaea L.). J. Food Sci. Technol. 2015, 52, 4001–4014. [Google Scholar] [CrossRef] [PubMed] [Green Version]
- United States Environmental Protection Agency (EPA). Herbicides, Volume 2. Available online: https://www.epa.gov/caddis-vol2/caddis-volume-2-sources-stressors-responses-herbicides (accessed on 18 February 2022).
- Wang, S.; Hou, Z.; Liang, S.; Lu, Z. Residue Behavior and Risk Assessment of Rimsulfuron and Quizalofop-P-ethyl in Potato under Field Conditions. Bull. Environ. Contam. Toxicol. 2020, 105, 602–606. [Google Scholar] [CrossRef] [PubMed]
- Ko, A.Y.; Abd El-Aty, A.M.; Rahman, M.M.; Jang, J.; Kim, S.W.; Choi, J.H.; Shim, J.H. A modified QuEChERS method for simultaneous determination of flonicamid and its metabolites in paprika using tandem mass spectrometry. Food Chem. 2014, 157, 413–420. [Google Scholar] [CrossRef] [PubMed]
- Guo, W.; Bian, Z.; Zhang, D.; Tang, G.; Liu, W.; Wang, J.; Li, Z.; Yang, F. Simultaneous determination of herbicide residues in tobacco using ultraperformance convergence chromatography coupled with solid-phase extraction. J. Sep. Sci. 2015, 38, 858–863. [Google Scholar] [CrossRef]
- Food News. Co-Development of 511 Types of Pesticide Rapid Inspection Methods, Unification of the Residual Pesticide Test Method in the Production, Distribution, and Import Stages. 2021. Available online: http://www.foodnews.co.kr/news/articleView.html?idxno=91194 (accessed on 18 February 2022).
- Tsochatzis, E.D.; Menkissoglu-Spiroudi, U.; Karpouzas, D.G.; Tzimou-Tsitouridou, R. A multi-residue method for pesticide residue analysis in rice grains using matrix solid-phase dispersion extraction and high-performance liquid chromatography-diode array detection. Anal. Bioanal. Chem. 2010, 397, 2181–2190. [Google Scholar] [CrossRef]
- Xiang, S.; Callaghan, M.M.; Watson, K.G.; Tong, L. A different mechanism for the inhibition of the carboxyltransferase domain of acetyl-coenzyme A carboxylase by tepraloxydim. Proc. Natl. Acad. Sci. USA 2009, 106, 20723–20727. [Google Scholar] [CrossRef] [Green Version]
- Lindner, W.; Ruckendorfer, H. HPLC—Residue analysis of the herbicide pyridate in cereals. Int. J. Environ. Anal. Chem. 1983, 16, 205–218. [Google Scholar] [CrossRef]
- Mandal, K.; Sahoo, S.K.; Battu, R.S.; Singh, B. Estimation of quizalofop ethyl residues in black gram (Vigna mungo L.) by gas liquid chromatography. Bull. Environ. Contam. Toxicol. 2014, 92, 115–118. [Google Scholar] [CrossRef]
- Wu, J.; Wang, K.; Zhang, Y.; Zhang, H. Determination and study on dissipation and residue determination of cyhalofop-butyl and its metabolite using HPLC-MS/MS in a rice ecosystem. Environ. Monit. Assess. 2014, 186, 6959–6967. [Google Scholar] [CrossRef]
- Kim, H.K.; Kim, B.H.; Shim, J.H.; Shu, Y.T. Study on analysis method of herbicide quizalofop-ethyl. Korean J. Environ. Agric. 1998, 17, 22–25. [Google Scholar]
- Mantzos, N.; Karakitsou, A.; Nikolaki, S.; Leneti, E.; Konstantinou, I.J.E.S.; Research, P. Dissipation and transport of quizalofop-p-ethyl herbicide in sunflower cultivation under field conditions. Environ. Sci. Pollut. Res. 2016, 23, 3481–3490. [Google Scholar] [CrossRef] [PubMed]
- Park, J.-A.; Zhang, D.; Kim, S.-K.; Cho, S.-H.; Cho, S.-M.; Yi, H.; Shim, J.-H.; Kim, J.-S.; El-Aty, A.M.A.; Shin, H.-C. Simultaneous determination of aminopyrine and antipyrine in porcine muscle, milk, and eggs using liquid chromatography with tandem mass spectrometry. J. Sep. Sci. 2015, 38, 4048–4054. [Google Scholar] [CrossRef] [PubMed]
- Kumar, B.; Sharma, R.; Singh, S.B.J. Evaluation of harvest residues of cyhalofop-butyl in paddy soil. Bull. Environ. Contam. Toxicol. 2012, 89, 344–347. [Google Scholar] [CrossRef]
- Fedeniuk, R.W.; Mizuno, M.; Neiser, C.; O’Byrne, C. Development of LC–MS/MS methodology for the detection/determination and confirmation of chloramphenicol, chloramphenicol 3-O-β-d-glucuronide, florfenicol, florfenicol amine and thiamphenicol residues in bovine, equine and porcine liver. J. Chromatogr. B 2015, 991, 68–78. [Google Scholar] [CrossRef]
- Riedel, M.; Speer, K.; Stuke, S.; Schmeer, K. Simultaneous analysis of 70 pesticides using HPLC/MS/MS: A comparison of the multiresidue method of Klein and Alder and the QuEChERS method. J. AOAC Int. 2010, 93, 1972–1986. [Google Scholar] [CrossRef] [PubMed] [Green Version]
- Srivastava, A.; Rai, S.; Kumar Sonker, A.; Karsauliya, K.; Pandey, C.P.; Singh, S.P. Simultaneous determination of multiclass pesticide residues in human plasma using a mini QuEChERS method. Anal. Bioanal. Chem. 2017, 409, 3757–3765. [Google Scholar] [CrossRef]
- Lehotay, S.J.; Kok, A.D.; Hiemstra, M.; Bodegraven, P.V. Validation of a fast and easy method for the determination of residues from 229 pesticides in fruits and vegetables using gas and liquid chromatography and mass spectrometric detection. J. AOAC Int. 2005, 88, 595–614. [Google Scholar] [CrossRef] [Green Version]
- Zhang, D.; Park, J.-A.; Kim, D.-S.; Kim, N.-H.; Kim, S.-K.; Cho, K.-S.; Jeong, D.; Shim, J.-H.; Abd El-Aty, A.M.; Shin, H.-C. Simultaneous detection of bacitracin and polymyxin B in livestock products using liquid chromatography with tandem mass spectrometry. J. Sep. Sci. 2015, 38, 2371–2380. [Google Scholar] [CrossRef] [PubMed]
- Rahman, M.M.; Abd El-Aty, A.M.; Kabir, M.H.; Chung, H.S.; Lee, H.S.; Hacımüftüoğlu, F.; Jeong, J.H.; Chang, B.-J.; Shin, H.-C.; Shim, J.-H. A quick and effective methodology for analyzing dinotefuran and its highly polar metabolites in plum using liquid chromatography-tandem mass spectrometry. Food Chem. 2018, 239, 1235–1243. [Google Scholar] [CrossRef]
- Zeng, D.; Shi, H.; Li, B.; Wang, M.; Song, B.J.J. Development of an enzyme-linked immunosorbent assay for quantitative determination of quizalofop-p-ethyl. J. Agric. Food Chem. 2006, 54, 8682–8687. [Google Scholar] [CrossRef]
- Lee, Y.-J.; Rahman, M.M.; Abd El-Aty, A.M.; Choi, J.-H.; Chung, H.S.; Kim, S.-W.; Abdel-Aty, A.M.; Shin, H.-C.; Shim, J.-H. Detection of three herbicide, and one metabolite, residues in brown rice and rice straw using various versions of the QuEChERS method and liquid chromatography-tandem mass spectrometry. Food Chem. 2016, 210, 442–450. [Google Scholar] [CrossRef]
- Han, Y.; Song, L.; Zou, N.; Chen, R.; Qin, Y.; Pan, C.J.J.o.C.B. Multi-residue determination of 171 pesticides in cowpea using modified QuEChERS method with multi-walled carbon nanotubes as reversed-dispersive solid-phase extraction materials. J. Chromatogr. B 2016, 1031, 99–108. [Google Scholar] [CrossRef] [PubMed]
- Tuzimski, T.; Szubartowski, S. Method development for selected bisphenols analysis in sweetened condensed milk from a can and breast milk samples by HPLC–DAD and HPLC-QqQ-MS: Comparison of sorbents (Z-SEP, Z-SEP Plus, PSA, C18, Chitin and EMR-Lipid) for clean-up of QuEChERS extract. Molecules 2019, 24, 2093. [Google Scholar] [CrossRef] [PubMed] [Green Version]
- Rahman, M.M.; Lee, H.S.; Abd El-Aty, A.M.; Kabir, M.H.; Chung, H.S.; Park, J.-H.; Kim, M.-R.; Kim, J.-H.; Shin, H.-C.; Shin, S.H. Determination of endrin and δ-keto endrin in five food products of animal origin using GC-μECD: A modified QuEChERS approach to traditional detection. Food Chem. 2018, 263, 59–66. [Google Scholar] [CrossRef] [PubMed]
- Codex Alimentarius Commission (CAC). Guidelines on Good Laboratory Practice in Residue Analysis; CAC/GL 40-1993, Rev.1-2003; Codex Alimentarius Commission (CAC): Rome, Italy, 2003. [Google Scholar]
- Ministry of Food and Drug Safety. Practical Manual on the Analysis of Residual Pesticides in Food; Guidelines on Standard Procedures for Preparation of Test Methods; National Institute of Food and Drug Safety Evaluation: Osong, Korea, 2016.



| Analyte | CAS No. | Molecular Formula | Chemical Structure | Log Pow |
|---|---|---|---|---|
| Cyhalofop-butyl | 122008-85-9 | C20H20FNO4 | ![]() | 3.31 |
| Quizalofop-ethyl | 76578-14-8 | C19H17ClN2O4 | ![]() | 4.28 |
| Pyridate | 55512-33-9 | C19H23ClN2O2S | ![]() | 6.61 |
| Condition | Content | ||
|---|---|---|---|
| Instrument | LC: Alience 2695 LC separation module, Waters MS/MS: Micromass Quattro Micro triple quadrupole tandem mass, Waters | ||
| Chromatographic separation | |||
| Column | Agilent ZORBAX Eclipse Plus C18 (3.0 mm I.D. × 150 mm L, 3.5 μm) | ||
| Flow rate | 0.3 mL/min | ||
| Injection volume | 5 μL | ||
| Oven temp. | 40 °C | ||
| Mobile phase | A: 5 mM ammonium formate, 0.1% formic acid in methanol B: 5 mM ammonium formate, 0.1% formic acid in water | ||
| Gradient | Time | A (%) | B (%) |
| 0.0 | 5 | 95 | |
| 2.0 | 5 | 95 | |
| 4.0 | 95 | 5 | |
| 10.0 | 95 | 5 | |
| 12.0 | 5 | 95 | |
| 15.0 | 5 | 95 | |
| MS/MS condition | |||
| Capillary voltage | 3.9 kV | ||
| Source temp. | 150 °C | ||
| Desolvation gas temp. | 250 °C | ||
| Desolvation gas flow | 500 L/h | ||
| Analyte | Spiking Level | Recovery ± RSD a (%) | |||
|---|---|---|---|---|---|
| Original | AOAC | EN | |||
| (A) | Cyhalofop-butyl | LOQ | 110.6 ± 8.4 | 71.2 ± 22.5 | 98.3 ± 4.2 |
| 10 × LOQ | 86.3 ± 7.7 | 127.3 ± 12.7 | 101.5 ± 1.5 | ||
| Quizalofop-ethyl | LOQ | 76.8 ± 0.6 | 111.0 ± 7.6 | 96.5 ± 7.2 | |
| 10 × LOQ | 99.0 ± 6.2 | 104.2 ± 0.6 | 94.4 ± 3.6 | ||
| Pyridate | LOQ | 92.2 ± 7.9 | 121.9 ± 8.5 | 82.0 ± 8.7 | |
| 10 × LOQ | 91.0 ± 4.3 | 86.8 ± 9.2 | 81.3 ± 1.1 | ||
| (B) | Cyhalofop-butyl | LOQ | 51.3 ± 19.9 | 72.3 ± 22.0 | 80.0 ± 12.2 |
| 10 × LOQ | 78.6 ± 2.2 | 101.5 ± 17.6 | 95.4 ± 12.5 | ||
| Quizalofop-ethyl | LOQ | 85.5 ± 3.3 | 99.3 ± 2.7 | 86.3 ± 1.7 | |
| 10 × LOQ | 85.2 ± 1.3 | 108.5 ± 7.9 | 102.4 ± 1.9 | ||
| Pyridate | LOQ | 87.9 ± 0.4 | 85.5 ± 3.5 | 78.0 ± 4.5 | |
| 10 × LOQ | 77.0 ± 3.5 | 86.8 ± 11.0 | 83.6 ± 0.7 | ||
| (C) | Cyhalofop-butyl | LOQ | 93.9 ± 1.7 | 115.3 ± 0.3 | 76.5 ± 9.2 |
| 10 × LOQ | 113.5 ± 6.9 | 124.6 ± 9.4 | 102.4 ± 13.2 | ||
| Quizalofop-ethyl | LOQ | 90.5 ± 4.6 | 129.3 ± 1.0 | 104.2 ± 1.7 | |
| 10 × LOQ | 92.4 ± 7.5 | 126.3 ± 8.5 | 106.9 ± 5.5 | ||
| Pyridate | LOQ | 76.9 ± 2.0 | 128.1 ± 3.3 | 86.7 ± 10.4 | |
| 10 × LOQ | 92.8 ± 6.5 | 110.5 ± 0.6 | 99.9 ± 1.7 | ||
| (D) | Cyhalofop-butyl | LOQ | 81.5 ± 37.7 | 27.8 ± 11.4 | 86.5 ± 2.6 |
| 10 × LOQ | 62.7 ± 14.1 | 100.9 ± 7.7 | 85.1 ± 4.9 | ||
| Quizalofop-ethyl | LOQ | 68.4 ± 7.2 | 90.0 ± 6.9 | 93.3 ± 5.0 | |
| 10 × LOQ | 75.9 ± 1.1 | 92.4 ± 3.3 | 91.7 ± 0.7 | ||
| Pyridate | LOQ | 80.2 ± 11.2 | 87.3 ± 11.2 | 100.5 ± 1.9 | |
| 10 × LOQ | 76.9 ± 3.4 | 97.0 ± 2.8 | 90.3 ± 4.8 | ||
| (E) | Cyhalofop-butyl | LOQ | 117.5 ± 14.0 | 95.8 ± 35.0 | 80.4 ± 17.3 |
| 10 × LOQ | 75.4 ± 0.8 | 91.0 ± 6.9 | 88.7 ± 9.0 | ||
| Quizalofop-ethyl | LOQ | 81.1 ± 5.0 | 99.0 ± 4.6 | 82.2 ± 5.7 | |
| 10 × LOQ | 94.0 ± 1.2 | 101.7 ± 7.0 | 94.0 ± 0.4 | ||
| Pyridate | LOQ | 70.1 ± 7.1 | 78.4 ± 7.8 | 79.8 ± 5.2 | |
| 10 × LOQ | 84.1 ± 1.2 | 81.2 ± 1.9 | 73.2 ± 2.1 | ||
| Purification Material | Recovery (%) | |||
|---|---|---|---|---|
| Cyhalofop-butyl | Quizalofop-ethyl | Pyridate | ||
| PSA | 50 mg | 121.4 | 89.8 | 0.0 |
| 75 mg | 70.0 | 96.4 | 0.0 | |
| 100 mg | 104.6 | 82.2 | 0.0 | |
| C18 | 50 mg | 107.4 | 90.2 | 14.3 |
| 75 mg | 98.3 | 87.4 | 10.0 | |
| 100 mg | 94.6 | 74.0 | 1.8 | |
| GCB | 5 mg | 108.0 | 50.2 | 32.6 |
| 10 mg | 95.9 | 20.7 | 14.4 | |
| 15 mg | 88.4 | 6.9 | 10.0 | |
| MWCNTs | 5 mg | 107.2 | 1.6 | 5.8 |
| 10 mg | 58.4 | 0.0 | 2.1 | |
| 15 mg | 57.9 | 0.0 | 0.0 | |
| Z-SEP | 50 mg | 92.2 | 88.3 | 110.3 |
| 75 mg | 99.5 | 101.4 | 93.2 | |
| 100 mg | 71.3 | 91.3 | +95.9 | |
| Z-SEP+ | 50 mg | 105.1 | 86.2 | 77.2 |
| 75 mg | 139.7 | 101.1 | 98.3 | |
| 100 mg | 124.0 | 90.1 | 81.9 | |
| Analyte | Molecular Weight (g/mol) | Exact Mass (g/mol) | Precursor Ion (m/z) | Product Ion (m/z) | CE a (V) | |
|---|---|---|---|---|---|---|
| 1 | Cyhalofop-butyl | 357.4 | 357.14 | 358.1319 | 120.0795 | 26 |
| 256.1212 b | 10 | |||||
| 2 | Quizalofop-ethyl | 372.8 | 372.09 | 373.0561 | 91.062 | 32 |
| 299.1621 b | 20 | |||||
| 3 | Pyridate | 378.9 | 378.12 | 379.1319 | 207.0993 b | 28 |
| 351.1753 | 10 | |||||
| Analyte | Spiking Level (mg/kg) | Recovery ± RSD a (%) | LOQ (mg/kg) | ||||
|---|---|---|---|---|---|---|---|
| Brown Rice | Soybean | Potato | Green Pepper | Mandarin | |||
| Cyhalofop-butyl | 0.01 | 87.0 ± 15.0 | 85.9 ± 14.8 | 102.9 ± 6.8 | 84.5 ± 4.5 | 92.0 ± 12.7 | 0.01 |
| 0.02 | 91.1 ± 9.8 | 95.6 ± 8.2 | 92.8 ± 10.0 | 93.4 ± 7.0 | 105.8 ± 9.3 | ||
| 0.1 | 96.9 ± 8.2 | 106.5 ± 6.0 | 89.8 ± 4.5 | 90.3 ± 7.1 | 94.4 ± 7.9 | ||
| Quizalofop-ethyl | 0.01 | 94.4 ± 7.8 | 101.3 ± 7.4 | 97.5 ± 3.8 | 89.1 ± 8.5 | 98.5 ± 6.9 | 0.01 |
| 0.02 | 97.8 ± 6.6 | 104.4 ± 3.1 | 91.2 ± 5.5 | 99.4 ± 6.7 | 104.7 ± 8.9 | ||
| 0.1 | 91.2 ± 5.2 | 106.0 ± 1.5 | 92.0 ± 1.8 | 103.8 ± 1.8 | 112.4 ± 4.0 | ||
| Pyridate | 0.01 | 106.8 ± 2.9 | 94.6 ± 5.6 | 91.0 ± 3.0 | 89.9 ± 5.4 | 93.6 ± 3.4 | 0.01 |
| 0.02 | 99.6 ± 2.0 | 90.6 ± 4.2 | 94.2 ± 5.5 | 86.8 ± 2.8 | 91.8 ± 9.2 | ||
| 0.1 | 109.6 ± 3.7 | 88.4 ± 3.1 | 94.3 ± 2.6 | 106.4 ± 0.5 | 85.7 ± 3.7 | ||
| Analyte | Spiking Level (mg/kg) | Recovery ± RSD a (%) | |||||
|---|---|---|---|---|---|---|---|
| Brown Rice | Soybean | Potato | Green Pepper | Mandarin | |||
| Cyhalofop-butyl | 0.01 | A | 105.6 ± 8.3 | 117.6 ± 4.6 | 84.9 ± 3.5 | 99.6 ± 4.1 | 75.8 ± 9.9 |
| B | 87.0 ± 2.8 | 95.0 ± 1.8 | 95.3 ± 2.2 | 94.0 ± 4.1 | 95.3 ± 4.7 | ||
| 0.02 | A | 103.4 ± 6.9 | 104.3 ± 4.9 | 91.3 ± 6.2 | 82.0 ± 8.7 | 79.4 ± 8.0 | |
| B | 88.2 ± 3.0 | 93.2 ± 5.1 | 86.2 ± 3.4 | 92.4 ± 1.6 | 98.3 ± 3.7 | ||
| 0.1 | A | 102.5 ± 5.5 | 90.5 ± 6.0 | 90.9 ± 4.5 | 79.8 ± 3.5 | 96.8 ± 7.8 | |
| B | 86.9 ± 3.6 | 103.0 ± 2.3 | 83.7 ± 2.5 | 93.0 ± 3.1 | 99.2 ± 1.7 | ||
| Quizalofop-ethyl | 0.01 | A | 71.8 ± 2.7 | 88.9 ± 2.0 | 72.2 ± 7.5 | 76.7 ± 9.9 | 76.6 ± 4.4 |
| B | 81.3 ± 3.2 | 83.7 ± 5.5 | 89.5 ± 3.2 | 101.0 ± 2.9 | 112.9 ± 6.5 | ||
| 0.02 | A | 81.3 ± 4.6 | 81.6 ± 2.0 | 80.2 ± 3.3 | 89.6 ± 2.4 | 83.7 ± 2.1 | |
| B | 86.9 ± 1.5 | 85.4 ± 1.9 | 91.9 ± 3.4 | 96.5 ± 1.0 | 111.1 ± 4.2 | ||
| 0.1 | A | 78.2 ± 5.4 | 74.9 ± 1.4 | 82.4 ± 1.7 | 97.3 ± 2.2 | 98.8 ± 3.5 | |
| B | 85.6 ± 4.6 | 94.0 ± 8.3 | 99.8 ± 4.1 | 88.7 ± 4.1 | 105.9 ± 1.8 | ||
| Pyridate | 0.01 | A | 89.6 ± 3.2 | 107.1 ± 2.9 | 86.3 ± 6.2 | 74.3 ± 3.3 | 74.5 ± 4.8 |
| B | 85.5 ± 2.2 | 92.7 ± 3.4 | 89.1 ± 3.1 | 103.4 ± 2.9 | 98.3 ± 1.5 | ||
| 0.02 | A | 86.9 ± 5.1 | 105.6 ± 2.9 | 82.2 ± 1.9 | 86.9 ± 5.1 | 105.6 ± 2.9 | |
| B | 86.1 ± 1.8 | 91.4 ± 0.8 | 93.7 ± 5.4 | 99.5 ± 1.5 | 99.0 ± 1.0 | ||
| 0.1 | A | 80.2 ± 3.9 | 97.8 ± 1.6 | 97.5 ± 3.4 | 80.2 ± 3.9 | 97.8 ± 1.6 | |
| B | 87.5 ± 2.2 | 95.0 ± 1.7 | 97.2 ± 3.1 | 93.8 ± 1.5 | 98.9 ± 1.0 | ||
Publisher’s Note: MDPI stays neutral with regard to jurisdictional claims in published maps and institutional affiliations. |
© 2022 by the authors. Licensee MDPI, Basel, Switzerland. This article is an open access article distributed under the terms and conditions of the Creative Commons Attribution (CC BY) license (https://creativecommons.org/licenses/by/4.0/).
Share and Cite
Shim, J.-H.; Rahman, M.M.; Zaky, A.A.; Lee, S.-J.; Jo, A.; Yun, S.-H.; Eun, J.-B.; Kim, J.-H.; Park, J.-W.; Oz, E.; et al. Simultaneous Determination of Pyridate, Quizalofop-ethyl, and Cyhalofop-butyl Residues in Agricultural Products Using Liquid Chromatography-Tandem Mass Spectrometry. Foods 2022, 11, 899. https://doi.org/10.3390/foods11070899
Shim J-H, Rahman MM, Zaky AA, Lee S-J, Jo A, Yun S-H, Eun J-B, Kim J-H, Park J-W, Oz E, et al. Simultaneous Determination of Pyridate, Quizalofop-ethyl, and Cyhalofop-butyl Residues in Agricultural Products Using Liquid Chromatography-Tandem Mass Spectrometry. Foods. 2022; 11(7):899. https://doi.org/10.3390/foods11070899
Chicago/Turabian StyleShim, Jae-Han, Md. Musfiqur Rahman, Ahmed A. Zaky, Shin-Jee Lee, Ara Jo, Seung-Hee Yun, Jong-Bang Eun, Jong-Hwan Kim, Jong-Woo Park, Emel Oz, and et al. 2022. "Simultaneous Determination of Pyridate, Quizalofop-ethyl, and Cyhalofop-butyl Residues in Agricultural Products Using Liquid Chromatography-Tandem Mass Spectrometry" Foods 11, no. 7: 899. https://doi.org/10.3390/foods11070899
APA StyleShim, J.-H., Rahman, M. M., Zaky, A. A., Lee, S.-J., Jo, A., Yun, S.-H., Eun, J.-B., Kim, J.-H., Park, J.-W., Oz, E., Proestos, C., Oz, F., & Abd El-Aty, A. M. (2022). Simultaneous Determination of Pyridate, Quizalofop-ethyl, and Cyhalofop-butyl Residues in Agricultural Products Using Liquid Chromatography-Tandem Mass Spectrometry. Foods, 11(7), 899. https://doi.org/10.3390/foods11070899




