Soy Protein Isolate/Sodium Alginate Microparticles under Different pH Conditions: Formation Mechanism and Physicochemical Properties
Abstract
:1. Introduction
2. Materials and Methods
2.1. Materials
2.2. Preparation of SPI and SPI/SA Microparticles
2.3. ζ-Potential Measurement
2.4. Surface Hydrophobicity (H0) Measurement
2.5. Free SH Content Measurement
2.6. Intrinsic Fluorescence Spectra
2.7. Fourier Transform Infrared Spectroscopy (FTIR)
2.8. Differential Scanning Calorimetry (DSC) Analysis
2.9. Particle Size Measurement
2.10. Scanning Electron Microscopy (SEM)
2.11. Apparent Viscosity Measurement
2.12. Protein Solubility Measurement
2.13. Foaming Capacity (FC) and Foaming Stability (FS) Measurement
2.14. Emulsifying Activity Index (EAI) and Emulsifying Stability Index (ESI) Measurement
2.15. Statistical Analysis
3. Results and Discussion
3.1. ζ-Potential Analysis
3.2. Surface Hydrophobicity (H0) Analysis
3.3. Free SH Content Analysis
3.4. Fluorescence Spectra Analysis
3.5. FTIR Spectra Analysis
3.6. DSC Analysis
3.7. Particle Size Analysis
3.8. Morphology Analysis
3.9. Apparent Viscosity Analysis
3.10. Protein Solubility Analysis
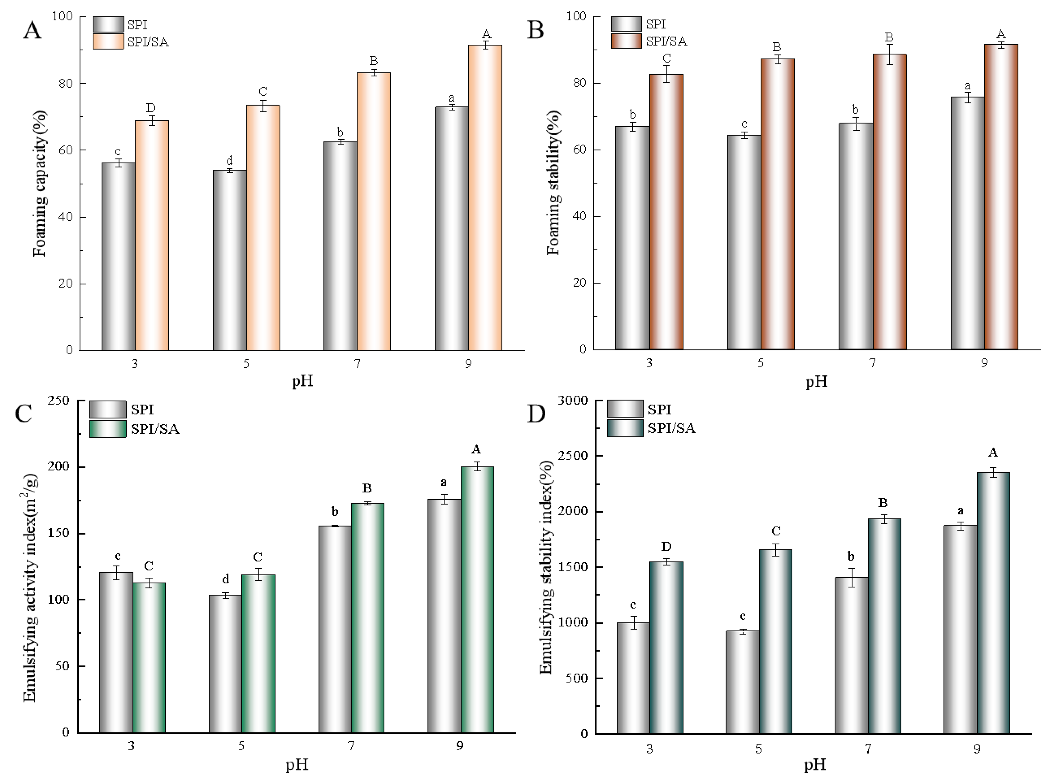
3.11. FC and FS Analysis
3.12. EAI and ESI Analysis
4. Conclusions
Author Contributions
Funding
Institutional Review Board Statement
Informed Consent Statement
Data Availability Statement
Conflicts of Interest
References
- Nishinari, K.; Fang, Y.; Guo, S.; Phillips, G.O. Soy proteins: A review on composition, aggregation and emulsification. Food Hydrocoll. 2014, 39, 301–318. [Google Scholar] [CrossRef]
- Mohamed, A.; Xu, J. Effect of ionic strength and pH on the thermal and rheological properties of soy protein–amylopectin blend. Food Chem. 2003, 83, 227–236. [Google Scholar] [CrossRef]
- Lin, C.; Chen, J.; Ren, J.; Zhao, M.M. Modifications of soy protein isolates using combined extrusion pre-treatment and controlled enzymatic hydrolysis for improved emulsifying properties. Food Hydrocoll. 2011, 25, 887–897. [Google Scholar] [CrossRef]
- Oliver, C.M.; Melton, L.D.; Stanley, R.A. Creating Proteins with Novel Functionality via the Maillard Reaction: A Review. Crit. Rev. Food. Sci. Nutr. 2006, 46, 337–350. [Google Scholar] [CrossRef] [PubMed]
- Zhang, T.; Guo, J.; Chen, J.F.; Wang, J.M.; Wan, Z.L.; Yang, X.Q. Heat stability and rheological properties of concentrated soy protein/egg white protein composite microparticle dispersions—ScienceDirect. Food Hydrocoll. 2019, 100, 105449. [Google Scholar] [CrossRef]
- Purwanti, N.; Peters, J.; Goot, A. Protein micro-structuring as a tool to texturize protein foods. Food Funct. 2013, 4, 277–282. [Google Scholar] [CrossRef]
- Shi, D.; Li, C.H.; Stone, A.K.; Guldiken, B.; Nickerson, M.T. Recent Developments in Processing, Functionality, and Food Applications of Microparticulated Proteins. Food. Rev. Int. 2021, 1–24. [Google Scholar] [CrossRef]
- Dissanayake, M.; Liyanaarachchi, S.; Vasiljevic, T. Functional properties of whey proteins microparticulated at low pH. J. Dairy Sci. 2012, 95, 1667–1679. [Google Scholar] [CrossRef]
- Ozturk, O.K.; Mert, B. The Production and Characterization of Microparticulated Corn Zein and Its Application on Gluten-Free Bread-Making. Master’s Thesis, Middle East Technical University, Ankara, Turkey, 2014. [Google Scholar]
- Wang, W.; Shen, M.; Jiang, L.; Song, Q.; Liu, S.; Xie, J. Influence of Mesona blumes polysaccharide on the gel properties and microstructure of acid-induced soy protein isolate gels—ScienceDirect. Food Chem. 2020, 313, 126125. [Google Scholar] [CrossRef]
- Warnakulasuriya, S.N.; Nickerson, M.T. Review on plant protein-polysaccharide complex coacervation, and the functionality and applicability of formed complexes. J. Agric. Food Chem. 2018, 98, 5559–5571. [Google Scholar] [CrossRef]
- Lan, Y.; Ohm, J.B.; Chen, B.C.; Rao, J.J. Phase behavior and complex coacervation of concentrated pea protein isolate-beet pectin solution. Food Chem. 2019, 307, 125536. [Google Scholar] [CrossRef] [PubMed]
- Li, X.F.; Hua, Y.F.; Chen, Y.M.; Kong, X.Z.; Zhang, C.M. Two-step complex behavior between Bowman–Birk protease inhibitor and ι-carrageenan: Effect of protein concentration, ionic strength and temperature. Food Hydrocoll. 2017, 62, 1–9. [Google Scholar] [CrossRef]
- Li, M.; Wu, J.; Chen, Z.; Wu, T. Improving the Solubility of Myofibrillar Proteins (MPs) by Mixing with Sodium Alginate: Effects of pH, Mixing Ratios and Preheating of MPs. Food Biophys. 2020, 15, 113–121. [Google Scholar] [CrossRef]
- Gorji, E.G.; Waheed, A.; Ludwig, R.; Toca-Herrera, J.L.; Schleining, G.; Gorji, S.G. Complex Coacervation of Milk Proteins with Sodium Alginate. J. Agric. Food Chem. 2018, 66, 3210–3220. [Google Scholar] [CrossRef] [PubMed]
- Cai, B.Q.; Saito, A.; Ikeda, S. Maillard Conjugation of Sodium Alginate to Whey Protein for Enhanced Resistance to Surfactant-Induced Competitive Displacement from Air-Water Interfaces. J. Agric. Food Chem. 2018, 66, 704–710. [Google Scholar] [CrossRef] [PubMed]
- Mession, J.L.; Assifaoui, A.; Lafarge, C.; Saurel, R.; Cayot, P. Protein aggregation induced by phase separation in a pea proteins–sodium alginate–water ternary system. Food Hydrocoll. 2012, 28, 333–343. [Google Scholar] [CrossRef]
- Xu, Y.; Yang, N.; Yang, J.X.; Hu, J.; Zhang, K.; Katsuyoshi, N.; Glyn, O.P.; Fang, Y.P. Protein/polysaccharide intramolecular electrostatic complex as superior food-grade foaming agent—ScienceDirect. Food Hydrocoll. 2020, 101, 105474. [Google Scholar] [CrossRef]
- Zhang, C.L.; Xu, W.; Jin, W.P.; Shah, B.R.; Li, Y.; Li, B. Influence of anionic alginate and cationic chitosan on physicochemical stability and carotenoids bioaccessibility of soy protein isolate-stabilized emulsions. Food Res. Int. 2015, 77, 419–425. [Google Scholar] [CrossRef]
- Dong, D.; Hua, Y.F.; Chen, Y.M.; Kong, X.Z.; Zhang, C.; Wang, Q. Charge Compensation, Phase Diagram, and Protein Aggregation in Soy Protein–Gum Arabic Complex Formation. J. Agric. Food Chem. 2013, 61, 3934–3940. [Google Scholar] [CrossRef]
- Cano-Sarmiento, C.; Téllez-Medina, D.; Viveros-Contreras, R.; Cornejo-Mazón, M.; Figueroa-Hernández, C.; García-Armenta, E.; Alamilla-Beltrán, L.; García, H.; Gutiérrez-López, G. Zeta potential of food matrices. Food Eng. Rev. 2018, 10, 113–138. [Google Scholar] [CrossRef]
- Tong, X.H.; Cao, J.; Sun, M.Y.; Liao, P.L.; Dai, S.C.; Cui, W.Y.; Cheng, X.Y.; Li, Y.; Jiang, L.Z.; Wang, H. Physical and oxidative stability of oil-in-water (O/W) emulsions in the presence of protein (peptide): Characteristics analysis and bioinformatics prediction. LWT 2021, 149, 111782. [Google Scholar] [CrossRef]
- Tong, X.H.; Cao, J.; Tian, T.; Lyu, B.; Miao, L.M.; Lian, Z.T.; Cui, W.Y.; Liu, S.; Wang, H.; Jiang, L.Z. Changes in structure, rheological property and antioxidant activity of soy protein isolate fibrils by ultrasound pretreatment and EGCG. Food Hydrocoll. 2022, 122, 107084. [Google Scholar] [CrossRef]
- Bo, L.; Wang, H.; Swallah, M.S.; Fu, H.; Jiang, L. Structure, Properties and Potential Bioactivities of High-purity Insoluble Fibre from Soybean Dregs (Okara). Food Chem. 2021, 364, 130402. [Google Scholar] [CrossRef]
- Jiang, L.; Ren, Y.M.; Xiao, Y.H.; Liu, S.S.; Zhang, J.H.; Yu, Q.; Chen, Y.; Xie, J.H. Effects of Mesona chinensis polysaccharide on the thermostability, gelling properties, and molecular forces of whey protein isolate gels. Carbohydr. Polym. 2020, 242, 116424. [Google Scholar] [CrossRef]
- Wang, H.; Sun, Y.F.; Li, Y.; Tong, X.H.; Regenstein, J.M.; Huang, Y.Y.; Ma, W.J.; Sami, R.; Qi, B.K.; Jiang, L.Z. Effect of the condition of spray-drying on the properties of the polypeptide-rich powders from enzyme-assisted aqueous extraction processing. Dry Technol. 2019, 37, 1563104. [Google Scholar] [CrossRef]
- Wang, H.; Tong, X.H.; Yuan, Y.; Peng, X.H.; Li, Y. Effect of Spray-Drying and Freeze-Drying on the Properties of Soybean Hydrolysates. J. Chem. 2020, 2020, 9201457. [Google Scholar] [CrossRef]
- Niu, F.G.; Niu, D.B.; Zhang, H.J.; Chang, C.H.; Gu, L.P.; Su, Y.J.; Yang, Y.J. Ovalbumin/gum arabic-stabilized emulsion: Rheology, emulsion characteristics, and Raman spectroscopic study. Food Hydrocoll. 2016, 52, 607–614. [Google Scholar] [CrossRef]
- Shi, Y.; Singh, A.; Kitts, D.D.; Pratap-Singh, A. Lactic acid fermentation: A novel approach to eliminate unpleasant aroma in pea protein isolates. LWT 2021, 150, 111927. [Google Scholar] [CrossRef]
- Liang, G.J.; Chen, W.P.; Qie, X.J.; Zeng, M.M.; Qin, F.; He, Z.Y.; Chen, J. Modification of soy protein isolates using combined pre-heat treatment and controlled enzymatic hydrolysis for improving foaming properties—ScienceDirect. Food Hydrocoll. 2020, 105, 105764. [Google Scholar] [CrossRef]
- Li, D.; Zhao, Y.; Wang, X.; Tang, H.; Wu, N.; Wu, F.; Yu, D.; Elfalleh, W. Effects of (+)-catechin on a rice bran protein oil-in-water emulsion: Droplet size, zeta-potential, emulsifying properties, and rheological behavior. Food Hydrocoll. 2020, 98, 105306. [Google Scholar] [CrossRef]
- Wang, S.N.; Yang, J.J.; Shao, G.Q.; Liu, J.; Jiang, L.Z. pH-induced conformational changes and interfacial dilatational rheology of soy protein isolated/soy hull polysaccharide complex and its effects on emulsion stabilization. Food Hydrocoll. 2020, 109, 106075. [Google Scholar] [CrossRef]
- Li, X.F.; Hua, Y.F.; Chen, Y.M.; Kong, X.Z.; Zhang, C.M. The selective complex behavior between soybean whey proteins and ι-carrageenan and isolation of the major proteins of the soybean whey. Food Hydrocoll. 2016, 56, 207–217. [Google Scholar] [CrossRef]
- Nobuhara, T.; Matsumiya, K.; Nambu, Y.; Nakamura, A.; Fujii, N.; Matsumura, Y. Stabilization of milk protein dispersion by soybean soluble polysaccharide under acidic pH conditions. Food Hydrocoll. 2014, 34, 39–45. [Google Scholar] [CrossRef]
- Ma, X.B.; Yan, T.Y.; Hou, F.; Chen, W.J.; Miao, S. Formation of soy protein isolate (SPI)-citrus pectin (CP) electrostatic complexes under a high-intensity ultrasonic field: Linking the enhanced emulsifying properties to physicochemical and structural properties. Ultrason Sonochem. 2019, 59, 104748. [Google Scholar] [CrossRef] [PubMed]
- Wang, Q.M.; Tang, Y.W.; Yang, Y.X.; Zhao, J.C.; Zhang, Y.H.; Li, L.; Wang, Q. Interaction between wheat gliadin and quercetin under different pH conditions analyzed by multi-spectroscopy methods. Spectrochim. Acta A Mol. Biomol. Spectrosc. 2020, 229, 117937. [Google Scholar] [CrossRef] [PubMed]
- Zhang, X.Z.; Lei, Y.J.; Luo, X.G.; Wang, Y.X.; Li, Y.; Li, B.; Liu, S.L. Impact of pH on the interaction between soybean protein isolate and oxidized bacterial cellulose at oil-water interface: Dilatational rheological and emulsifying properties. Food Hydrocoll. 2021, 115, 106609. [Google Scholar] [CrossRef]
- Shimada, K.; Cheftel, J.C. Sulfhydryl group/disulfide bond interchange reactions during heat-induced gelation of whey protein isolate. J. Agric. Food Chem. 1989, 37, 161–168. [Google Scholar] [CrossRef]
- Tang, Y.; Yang, Y.; Wang, Q.; Tang, Y.; Ming, J. Combined effect of carboxymethylcellulose and salt on structural properties of wheat gluten proteins. Food Hydrocoll. 2019, 97, 105189. [Google Scholar] [CrossRef]
- Mge, I.; Bcker, U.; Wubshet, S.G.; Lindberg, D.; Afseth, N.K. Fourier-transform infrared (FTIR) fingerprinting for quality assessment of protein hydrolysates. LWT 2021, 152, 112339. [Google Scholar] [CrossRef]
- Wang, M.; Fu, Y.Y.; Chen, G.W.; Shi, Y.G.; Li, X.M.; Zhang, H.; Shen, Y.L. Fabrication and characterization of carboxymethyl chitosan and tea polyphenols coating on zein nanoparticles to encapsulate β-carotene by anti-solvent precipitation method—ScienceDirect. Food Hydrocoll. 2018, 77, 577–587. [Google Scholar] [CrossRef]
- Liu, F.; Ma, C.; Mcclements, D.J.; Gao, Y. A comparative study of covalent and non-covalent interactions between zein and polyphenols in ethanol-water solution. Food Hydrocoll. 2017, 63, 625–634. [Google Scholar] [CrossRef]
- Zhang, B.C.; Luo, Y.C.; Qin, W. Effect of acid and base treatments on structural, rheological, and antioxidant properties of α-zein. Food Chem. 2011, 124, 210–220. [Google Scholar] [CrossRef]
- Feng, L.P.; Jia, X.; Yan, J.; Yan, W.J.; Yin, L.J. Mechanical, thermal stability and microstructural properties of emulsion-filled gels: Effect of sugar beet pectin/soy protein isolate ratio. LWT 2021, 141, 110917. [Google Scholar] [CrossRef]
- Lee, A.C.; Hong, Y.H. Coacervate formation of α-lactalbumin–chitosan and β-lactoglobulin–chitosan complexes. Food Res. Int. 2009, 42, 733–738. [Google Scholar] [CrossRef]
- Hossain, M.K.; Keidel, J.; Hensel, O.; Diakité, M. The impact of extruded microparticulated whey proteins in reduced-fat, plain-type stirred yogurt: Characterization of physicochemical and sensory properties. LWT 2020, 134, 109976. [Google Scholar] [CrossRef]
- Umaa, M.; Turchiuli, C.; Rosselló, C.; Simal, S. Addition of a mushroom by-product in oil-in-water emulsions for the microencapsulation of sunflower oil by spray drying. Food Chem. 2020, 343, 128429. [Google Scholar] [CrossRef]
- Ren, F.; Yu, B.; Dong, D.; Hou, Z.; Cui, B. Rheological, thermal and microstructural properties of whey protein isolate-modified cassava starch mixed gels at different pH values. Int. J. Food Sci. Technol. 2017, 52, 2445–2454. [Google Scholar] [CrossRef]
- Owens, C.; Griffin, K.; Khouryieh, H.; Williams, K. Creaming and oxidative stability of fish oil-in-water emulsions stabilized by whey protein-xanthan-locust bean complexes: Impact of pH. Food Chem. 2018, 239, 314–322. [Google Scholar] [CrossRef]
- Mercadé-Prieto, R.; Sahoo, P.K.; Falconer, R.J.; Paterson, W.R.; Wilson, D.I. Polyelectrolyte screening effects on the dissolution of whey protein gels at high pH conditions. Food Hydrocoll. 2007, 21, 1275–1284. [Google Scholar] [CrossRef]
- Kitabatake, N.; Etsushiro, D. Surface Tension and Foamability of Protein and Surfactant Solutions. J. Food Sci. 2006, 53, 1542–1569. [Google Scholar] [CrossRef]
- Mleko, S.; Kristinsson, H.G.; Liang, Y.; Gustaw, W. Rheological properties of foams generated from egg albumin after pH treatment. LWT 2007, 40, 908–914. [Google Scholar] [CrossRef]
- Nastaj, M.; Sołowiej, B.G. The effect of various pH values on foaming properties of whey protein preparations. Int. J. Dairy Technol. 2020, 73, 683–694. [Google Scholar] [CrossRef]
- Li, L.J.; He, M.Y.; Wang, N.; Wu, C.L.; Teng, F.; Li, Y.; Li, M.D. Spectroscopic analysis of the effect of vitamin B 12 -soy protein isolate on the soy protein isolate structure. J. Mol. Liq. 2021, 325, 115148. [Google Scholar] [CrossRef]






| pH | SPI | SPI/SA |
|---|---|---|
| Average Particle Size (μm) | Average Particle Size (μm) | |
| 3.0 | 26.52 ± 1.15 b | 63.40 ± 1.61 A |
| 5.0 | 40.39 ± 1.78 a | 36.89 ± 0.72 B |
| 7.0 | 18.42 ± 0.76 c | 24.00 ± 0.59 C |
| 9.0 | 14.77 ± 0.85 d | 15.92 ± 0.66 D |
Publisher’s Note: MDPI stays neutral with regard to jurisdictional claims in published maps and institutional affiliations. |
© 2022 by the authors. Licensee MDPI, Basel, Switzerland. This article is an open access article distributed under the terms and conditions of the Creative Commons Attribution (CC BY) license (https://creativecommons.org/licenses/by/4.0/).
Share and Cite
Cao, J.; Tong, X.; Wang, M.; Tian, T.; Yang, S.; Sun, M.; Lyu, B.; Cao, X.; Wang, H.; Jiang, L. Soy Protein Isolate/Sodium Alginate Microparticles under Different pH Conditions: Formation Mechanism and Physicochemical Properties. Foods 2022, 11, 790. https://doi.org/10.3390/foods11060790
Cao J, Tong X, Wang M, Tian T, Yang S, Sun M, Lyu B, Cao X, Wang H, Jiang L. Soy Protein Isolate/Sodium Alginate Microparticles under Different pH Conditions: Formation Mechanism and Physicochemical Properties. Foods. 2022; 11(6):790. https://doi.org/10.3390/foods11060790
Chicago/Turabian StyleCao, Jia, Xiaohong Tong, Mengmeng Wang, Tian Tian, Sai Yang, Mingyue Sun, Bo Lyu, Xinru Cao, Huan Wang, and Lianzhou Jiang. 2022. "Soy Protein Isolate/Sodium Alginate Microparticles under Different pH Conditions: Formation Mechanism and Physicochemical Properties" Foods 11, no. 6: 790. https://doi.org/10.3390/foods11060790
APA StyleCao, J., Tong, X., Wang, M., Tian, T., Yang, S., Sun, M., Lyu, B., Cao, X., Wang, H., & Jiang, L. (2022). Soy Protein Isolate/Sodium Alginate Microparticles under Different pH Conditions: Formation Mechanism and Physicochemical Properties. Foods, 11(6), 790. https://doi.org/10.3390/foods11060790

