Quantitation of Water Addition in Octopus Using Time Domain Reflectometry (TDR): Development of a Rapid and Non-Destructive Food Analysis Method
Abstract
:1. Introduction
2. Materials and Methods
2.1. Raw Material, Processing, and Sampling
2.2. Weight Changes, Moisture and Protein Contents
2.3. Electrical Conductivity
2.4. Time Domain Reflectometry
2.4.1. RFQ-Scan® Analysis
2.4.2. Calibration and Validation of TDR Analysis
2.5. Statistical Analysis
3. Results and Discussion
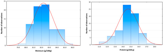
3.1. Characterization of Control Octopus Samples
3.2. Water Uptake and Moisture Content in Water-Added Octopus
3.3. Protein and Moisture/Protein Ratio in Water-Added Octopus
3.4. Electrical Conductivity
3.5. Time Domain Reflectometry
3.5.1. Data Exploration of TDR Results
3.5.2. Calibration and Validation of TDR Analysis
Detection of Water-Added Octopus (Control vs. Water-Added Octopus)
Quantitation of Moisture Content of Octopus
4. Conclusions
Author Contributions
Funding
Institutional Review Board Statement
Informed Consent Statement
Data Availability Statement
Acknowledgments
Conflicts of Interest
References
- Barbosa, A.; Vaz-Pires, P. Quality index method (QIM): Development of a sensorial scheme for common octopus (Octopus vulgaris). Food Control 2004, 15, 161–168. [Google Scholar] [CrossRef]
- INE. Official Fisheries Statistics 2020 [Estatísticas da Pesca 2020]; Direcção-Geral de Recursos Naturais Segurança e Serviços Marítimos: Lisboa, Portugal, 2021; p. 152. Available online: https://www.ine.pt/ngt_server/attachfileu.jsp?look_parentBoui=506923148&att_display=n&att_download=y (accessed on 1 October 2021).
- Mariani, S.; Griffiths, A.M.; Velasco, A.; Kappel, K.; Jérôme, M.; Perez-Martin, R.I.; Schröder, U.; Verrez-Bagnis, V.; Silva, H.; Vandamme, S.G.; et al. Low mislabeling rates indicate marked improvements in European seafood market operations. Front. Ecol. Environ. 2015, 13, 536–540. [Google Scholar] [CrossRef]
- Pardo, M.Á.; Jiménez, E.; Pérez-Villarreal, B. Misdescription incidents in seafood sector. Food Control 2016, 62, 277–283. [Google Scholar] [CrossRef]
- Van Ruth, S.M.; Brouwer, E.; Koot, A.; Wijtten, M. Seafood and Water Management. Foods 2014, 3, 622–631. [Google Scholar] [CrossRef] [Green Version]
- Wells, M.J.; Wells, J. Water Uptake in a Cephalopod and the Function of the so-called ‘Pancreas’. J. Exp. Biol. 1989, 145, 215–226. [Google Scholar] [CrossRef]
- EU. Regulation (EU) No 1169/2011 of the European Parliament and of the Council of 25 October 2011 on the provision of food information to consumers. Off. J. Eur. Union 2011, 304, 18–63. [Google Scholar]
- Pescazores. There Are a Lot of Octopus and Prices Are Falling, Docapesca Encourages Consumption [Há Muito Polvo e os Preços estão a Cair, Docapesca Incentiva o Consumo]. 2013. Available online: https://pescazores.com/ha-muito-polvo-e-os-precos-estao-a-cair-docapesca-incentiva-o-consumo/ (accessed on 1 October 2021).
- Visão. When Buying Water at the Price of Fish [Quando se Compra Água ao Preço do Peixe]. 2018. Available online: https://visao.sapo.pt/atualidade/sociedade/2018-03-20-quando-se-compra-agua-ao-preco-do-peixe/ (accessed on 1 October 2021).
- DECO. Test to Deep-Frozen Octopus: The Miracle of Weight Decrease [Teste ao Polvo Congelado: O Milagre da Diminuição de Água]. 2016. Available online: https://www.deco.proteste.pt/institucionalemedia/acoes/temas/seguranca-alimentar/~/media/56f69a9aa27a4734bd986ee8f4c44923.ashx (accessed on 1 October 2021).
- Mendes, R.; Teixeira, B.; Gonçalves, S.; Lourenço, H.; Martins, F.; Camacho, C.; Oliveira, R.; Silva, H. The quality of deep-frozen octopus in the Portuguese retail market: Results from a case study of abusive water addition practices. LWT Food Sci. Technol. 2017, 77, 397–405. [Google Scholar] [CrossRef]
- Mendes, R.; Vieira, H.; Pereira, J.; Teixeira, B. Water uptake and cooking losses in Octopus vulgaris during industrial and domestic processing. LWT Food Sci. Technol. 2017, 78, 8–15. [Google Scholar] [CrossRef]
- Kent, M.; Knöchel, R.; Daschner, F.; Berger, U.K. Composition of foods using microwave dielectric spectra. Eur. Food Res. Technol. 2000, 210, 359–366. [Google Scholar] [CrossRef]
- Blakey, R.T.; Morales-Partera, A.M. Microwave dielectric spectroscopy—A versatile methodology for online, non-destructive food analysis, monitoring and process control. Eng. Agric. Environ. Food 2016, 9, 264–273. [Google Scholar] [CrossRef]
- Nieto-Ortega, S.; Melado-Herreros, Á.; Foti, G.; Olabarrieta, I.; Ramilo-Fernández, G.; Gonzalez Sotelo, C.; Teixeira, B.; Velasco, A.; Mendes, R. Rapid Differentiation of Unfrozen and Frozen-Thawed Tuna with Non-Destructive Methods and Classification Models: Bioelectrical Impedance Analysis (BIA), Near-Infrared Spectroscopy (NIR) and Time Domain Reflectometry (TDR). Foods 2022, 11, 55. [Google Scholar] [CrossRef] [PubMed]
- Kent, M.; Daschner, F. Time Domain Spectroscopy. In Fishery Products: Quality, Safety and Authenticity; Wiley-Blackwell, John Wiley & Sons, Ltd.: Chichester, UK, 2009; pp. 273–285. [Google Scholar]
- Venkatesh, M.S.; Raghavan, G.S.V. An Overview of Microwave Processing and Dielectric Properties of Agri-food Materials. Biosyst. Eng. 2004, 88, 1–18. [Google Scholar] [CrossRef]
- Jha, S.N.; Narsaiah, K.; Basediya, A.L.; Sharma, R.; Jaiswal, P.; Kumar, R.; Bhardwaj, R. Measurement techniques and application of electrical properties for nondestructive quality evaluation of foods—A review. J. Food Sci. Technol. 2011, 48, 387–411. [Google Scholar] [CrossRef] [Green Version]
- Mendes, R.; Schimmer, O.; Vieira, H.; Pereira, J.; Teixeira, B. Control of abusive water addition to Octopus vulgaris with non-destructive methods. J. Sci. Food Agric. 2018, 98, 369–376. [Google Scholar] [CrossRef] [PubMed]
- Lee, D.; Lee, S.; Lee, C.J.; Lee, S.H. Detection of Artificially Water-Injected Frozen Octopus minor (Sasaki) Using Dielectric Properties. J. Chem. 2019, 2019, 8968351. [Google Scholar] [CrossRef]
- AOAC. Official Methods of Analysis of the Association of Official Analytical Communities International, 18th ed.; AOAC: Washington, DC, USA, 2005. [Google Scholar]
- Saint-Denis, T.; Goupy, J. Optimization of a nitrogen analyser based on the Dumas method. Anal. Chim. Acta 2004, 515, 191–198. [Google Scholar] [CrossRef]
- Schimmer, O.; Knöchel, R. A hand-held TDR-system with a fast system-rise time and a high resolution bandwidth for moisture measurements in the microwave frequency range. In Proceedings of the 5th International Conference on Electromagnetic Wave Interaction with Water and Moist Substances, Rotorua, New Zealand, 23–26 March 2003. [Google Scholar]
- Schimmer, O.; Osen, R.; Schönfeld, K.; Hemmy, B. Detection of added Water in Seafood using a Dielectric Time Domain Reflectometer. In Proceedings of the 8th International Conference on Electromagnetic Wave Interaction with Water and Moist Substances—ISEMA 2009, Espoo, Finland, 1–5 June 2009. [Google Scholar]
- Ozogul, Y.; Duysak, O.; Ozogul, F.; Özkütük, A.S.; Türeli, C. Seasonal effects in the nutritional quality of the body structural tissue of cephalopods. Food Chem. 2008, 108, 847–852. [Google Scholar] [CrossRef] [PubMed]
- Torrinha, A.; Cruz, R.; Gomes, F.; Mendes, E.; Casal, S.; Morais, S. Octopus lipid and vitamin E composition: Interspecies, interorigin, and nutritional variability. J. Agric. Food Chem. 2014, 62, 8508–8517. [Google Scholar] [CrossRef]
- Estefanell, J.; Socorro, J.; Tuya, F.; Izquierdo, M.; Roo, J. Growth, protein retention and biochemical composition in Octopus vulgaris fed on different diets based on crustaceans and aquaculture by-products. Aquaculture 2011, 322–323, 91–98. [Google Scholar] [CrossRef]
- Fulladosa, E.; Duran-Montgé, P.; Serra, X.; Picouet, P.; Schimmer, O.; Gou, P. Estimation of dry-cured ham composition using dielectric time domain reflectometry. Meat Sci. 2013, 93, 873–879. [Google Scholar] [CrossRef]
- Kent, M.; Knöchel, R.; Daschner, F.; Berger, U.-K. Composition of foods including added water using microwave dielectric spectra. Food Control 2001, 12, 467–482. [Google Scholar] [CrossRef]
- Traffano-Schiffo, M.V.; Castro-Giraldez, M.; Colom, R.J.; Talens, P.; Fito, P.J. New methodology to analyze the dielectric properties in radiofrequency and microwave ranges in chicken meat during postmortem time. J. Food Eng. 2021, 292, 110350. [Google Scholar] [CrossRef]
- Kent, M.; Knöchel, R.; Daschner, F.; Schimmer, O.; Oehlenschläger, J.; Mierke-Klemeyer, S.; Barr, U.-K.; Floberg, P. Time domain reflectometry as a tool for the estimation of quality in foods. Int. Agrophys. 2004, 18, 225–229. [Google Scholar]
- Kent, M.; Oehlenschlager, J.; Mierke-Klemeyer, S.; Knöchel, R.; Daschner, F.; Schimmer, O. Estimation of the quality of frozen cod using a new instrumental method. Eur. Food Res. Technol. 2004, 219, 540–544. [Google Scholar] [CrossRef]
- Kent, M.; Anderson, D. Dielectric studies of added water in poultry meat and scallops. J. Food Eng. 1996, 28, 239–259. [Google Scholar] [CrossRef]
- Sequid. Added Water in Fish and Meat. 2021. Available online: http://www.sequid.de/en/rfqscan-added-water.php (accessed on 1 October 2021).
- Shrestha, B.L.; Wood, H.C.; Sokhansanj, S. Prediction of moisture content of alfalfa using density-independent functions of microwave dielectric properties. Meas. Sci. Technol. 2005, 16, 1179–1185. [Google Scholar] [CrossRef]
- McKeown, M.S.; Trabelsi, S.; Tollner, E.W.; Nelson, S.O. Dielectric spectroscopy measurements for moisture prediction in Vidalia onions. J. Food Eng. 2012, 111, 505–510. [Google Scholar] [CrossRef]






| Number of Samples | Moisture (g/100 g) | Protein (g/100 g) | M/P Ratio | Electrical Conductivity (mS·cm−1) | |
|---|---|---|---|---|---|
| Control Octopus | 77 | ||||
| Mean ± SD | 82.2 ± 1.3 B | 14.6 ± 1.2 A | 5.7 ± 0.6 B | 7.03 ± 1.36 A | |
| Min | 79.7 | 11.0 | 4.7 | 4.72 | |
| Max | 85.8 | 17.0 | 7.8 | 12.22 | |
| Water-Added Octopus | 231 | ||||
| Mean ± SD | 86.3 ± 1.6 A | 11.7 ± 1.4 B | 7.6 ± 1.2 A | 4.67 ± 0.88 B | |
| Min | 82.5 | 7.7 | 5.4 | 2.45 | |
| Max | 90.6 | 15.3 | 11.8 | 7.60 |
| Immersion Time in Freshwater | Water Uptake (%) | Moisture (g/100 g) | Protein (g/100 g) | M/P Ratio | Electrical Conductivity (mS·cm−1) | |
|---|---|---|---|---|---|---|
| Control | 0 h | - | 81.6 ± 1.0 D | 14.9 ± 0.8 A | 5.5 ± 0.4 C | 5.99 ± 1.15 A |
| Water-added | 2 h | 7.5 ± 0.9 C | 84.5 ± 0.7 C | 12.3 ± 0.5 B | 6.9 ± 0.3 B | 4.74 ± 0.60 B |
| 16 h | 13.2 ± 2.9 B | 85.7 ± 0.9 B | 12.5 ± 1.2 B | 6.9 ± 0.7 B | 4.27 ± 0.49 B,C | |
| 32 h | 31.3 ± 4.5 A | 88.7 ± 0.6 A | 10.3 ± 0.9 C | 8.7 ± 0.8 A | 3.83 ± 0.56 C |
| Cluster Center (PC1, PC2) | Radii (rlong/rshort) | Angle (rad) | |
|---|---|---|---|
| Control octopus cluster | 3.3, −1.0 | 5.0/1.0 | 0.503 |
| Water-added octopus cluster | −1.8, 0.1 | 5.5/1.7 | 0.503 |
Publisher’s Note: MDPI stays neutral with regard to jurisdictional claims in published maps and institutional affiliations. |
© 2022 by the authors. Licensee MDPI, Basel, Switzerland. This article is an open access article distributed under the terms and conditions of the Creative Commons Attribution (CC BY) license (https://creativecommons.org/licenses/by/4.0/).
Share and Cite
Teixeira, B.; Vieira, H.; Martins, S.; Mendes, R. Quantitation of Water Addition in Octopus Using Time Domain Reflectometry (TDR): Development of a Rapid and Non-Destructive Food Analysis Method. Foods 2022, 11, 791. https://doi.org/10.3390/foods11060791
Teixeira B, Vieira H, Martins S, Mendes R. Quantitation of Water Addition in Octopus Using Time Domain Reflectometry (TDR): Development of a Rapid and Non-Destructive Food Analysis Method. Foods. 2022; 11(6):791. https://doi.org/10.3390/foods11060791
Chicago/Turabian StyleTeixeira, Bárbara, Helena Vieira, Sandra Martins, and Rogério Mendes. 2022. "Quantitation of Water Addition in Octopus Using Time Domain Reflectometry (TDR): Development of a Rapid and Non-Destructive Food Analysis Method" Foods 11, no. 6: 791. https://doi.org/10.3390/foods11060791
APA StyleTeixeira, B., Vieira, H., Martins, S., & Mendes, R. (2022). Quantitation of Water Addition in Octopus Using Time Domain Reflectometry (TDR): Development of a Rapid and Non-Destructive Food Analysis Method. Foods, 11(6), 791. https://doi.org/10.3390/foods11060791

