Antioxidant Potential of Cookies Formulated with Date Seed Powder
Abstract
1. Introduction
2. Materials and Methods
2.1. Chemicals
2.2. Date Seed Powder Production
2.3. Production of Formulated Cookies with 2.5%, 5%, and 7.5% Date Seed Powder
2.4. Sample Preparation and Extraction
2.4.1. Powder
2.4.2. Cookie
2.5. Determination of TPC and Flavonoids
2.6. Determination of Antioxidant Activity
2.7. Statistical Analysis
3. Results and Discussion
3.1. Analysis of Date Seed Powder
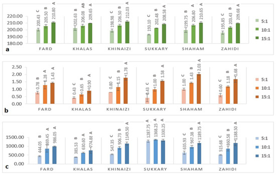
3.2. Total Phenolic Content (TPC) and Flavonoid Content of Composite Cookies
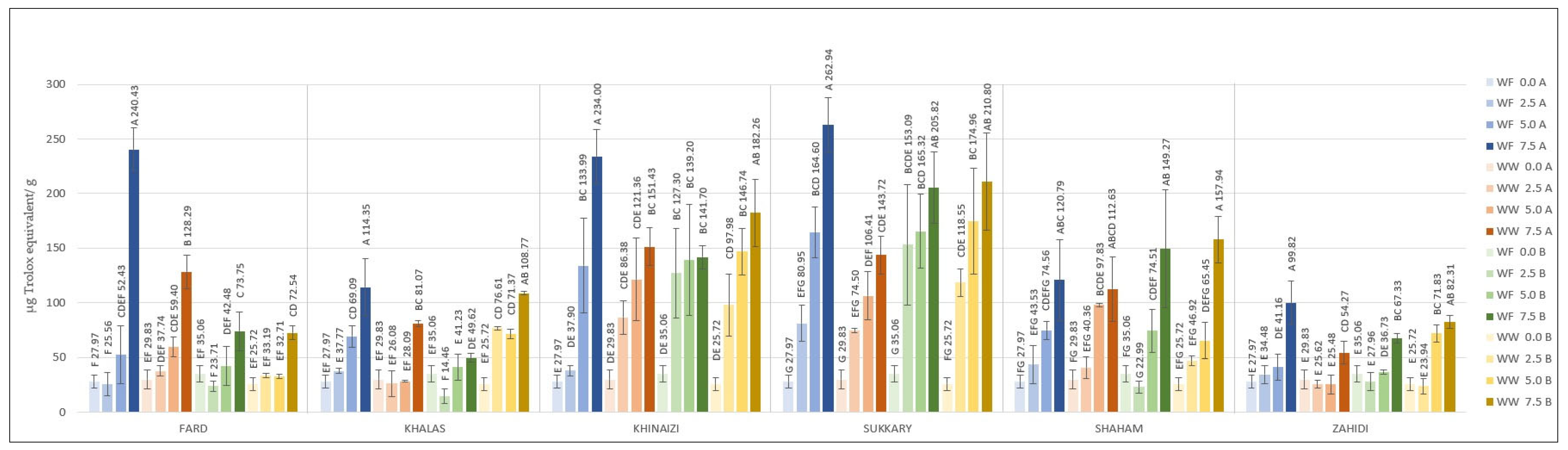
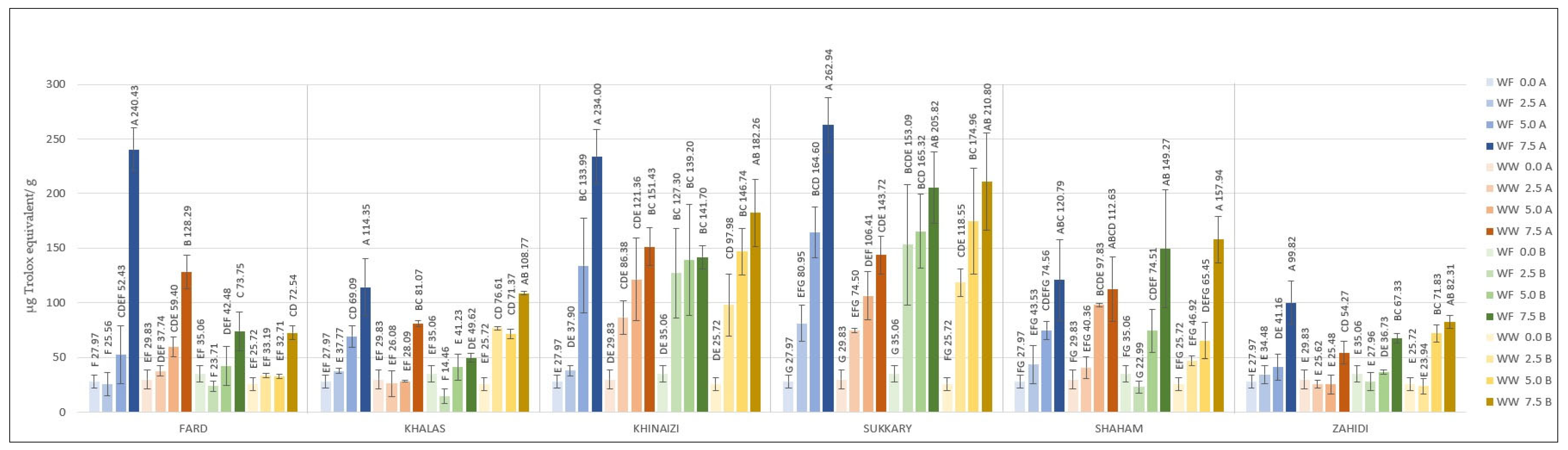
3.3. Antioxidant Activity
4. Conclusions
Author Contributions
Funding
Institutional Review Board Statement
Informed Consent Statement
Data Availability Statement
Acknowledgments
Conflicts of Interest
References
- Al-Farsi, M.A.; Lee, C.Y. Optimization of phenolics and dietary fibre extraction from date seeds. Food Chem. 2008, 108, 977–985. [Google Scholar] [CrossRef] [PubMed]
- Dowson, V.H.W. Date Production and Protection with Special Reference to North Africa and the Near East; No. 35, FAO Technical Bulletin; FAO: Rome, Italy, 1982. [Google Scholar]
- Zaid, A. Date Palm Cultivation; FAO No. 156; FAO: Rome, Italy, 1999. [Google Scholar]
- Ahmed, A.W.K.; Ahmed, A.I.; Robinson, R.K. Chemical composition of date varieties as influenced by the stage of ripening. Food Chem. 1995, 54, 305–309. [Google Scholar] [CrossRef]
- Al-Farsi, M.; Alasalvar, C.; Morris, A.; Baron, M.; Shahidi, F. Comparison of antioxidant activity, anthocyanins, carotenoids, and phenolics of three native fresh and sun-dried date (Phoenix dactylifera L.) varieties grown in Oman. J. Agric. Food Chem. 2005, 53, 7592–7599. [Google Scholar] [CrossRef] [PubMed]
- Habib, H.M.; Ibrahim, W.H. Nutritional quality evaluation of eighteen date pit varieties. Int. J. Food Sci. Nutr. 2009, 60, 99–111. [Google Scholar] [CrossRef]
- Habib, H.M.; Kamal, H.; Ibrahim, W.H.; Al Dhaheri, A.S. Carotenoids, fat soluble vitamins and fatty acid profiles of 18 varieties of date seed oil. Ind. Crop. Prod. 2013, 42, 567–572. [Google Scholar] [CrossRef]
- Abdel-Rahman, H.; El-Mougy, S.A. Protective effect of extracts from dates (Phoenix dactylifera L.) on carbon tetrachloride-induced hepatotoxicity in rats. J. Appl. Res. Vet. Med. 2004, 2, 176–180. [Google Scholar]
- Caleja, C.; Barros, L.; Antonio, A.L.; Oliveira, M.B.P.; Ferreira, I.C. A comparative study between natural and synthetic antioxidants: Evaluation of their performance after incorporation into biscuits. Food Chem. 2017, 216, 342–346. [Google Scholar] [CrossRef]
- Elhassaneen, Y.; Ragab, S.; Mashal, R. Improvement of bioactive compounds content AND Antioxidant properties in crackers with the incorporation of prickly pear and potato peels powder. Int. J. Nutr. Food Sci. 2016, 5, 53. [Google Scholar] [CrossRef][Green Version]
- Ifesan, B.O.; Femi-Ajayi, O.; Adeloye, J.B.; Ifesan, B.T. Quality assessment and consumer acceptability of cookies from blends of wheat flour and pumpkin (Cucurbita spp.) seed flour. Himal. J. Appl. Med. Sci. Res. 2020, 1, 1–7. [Google Scholar]
- Goyat, J.; Passi, S.J.; Suri, S.; Dutta, H. Development of chia (Salvia hispanica L.) and quinoa (Chenopodium quinoa L.) seed flour substituted cookies-physicochemical, nutritional and storage studies. Curr. Res. Nutr. Food Sci. 2018, 6, 757–769. [Google Scholar] [CrossRef]
- Acun, S.; Gül, H. Effects of grape pomace and grape seed flours on cookie quality. Qual. Assur. Saf. Crop. Foods 2014, 6, 81–88. [Google Scholar] [CrossRef]
- Heo, Y.; Kim, M.J.; Lee, J.W.; Moon, B. Muffins enriched with dietary fiber from kimchi by-product: Baking properties, physical–chemical properties, and consumer acceptance. Food Sci. Nutr. 2019, 7, 1778–1785. [Google Scholar] [CrossRef] [PubMed]
- Ndife, J.; Abbo, E. Functional foods: Prospects and challenges in Nigeria. J. Sci. Technol. 2009, 1, 1–6. [Google Scholar]
- Baba, M.D.; Manga, T.A.; Daniel, C.; Danrangi, J. Sensory evaluation of toasted bread fortified with banana flour: A preliminary study. Am. J. Food Sci. Nutr. 2015, 2, 9–12. [Google Scholar]
- Dewettinck, K.; Van Bockstaele, F.; Kühne, B.; Van de Walle, D.; Courtens, T.M.; Gellynck, X. Nutritional value of bread: Influence of processing, food interaction and consumer perception. J. Cereal Sci. 2008, 48, 243–257. [Google Scholar] [CrossRef]
- Fardet, A. New hypotheses for the health-protective mechanisms of wholegrain cereals: What is beyond fiber? Nutr. Res. Rev. 2010, 23, 65–134. [Google Scholar] [CrossRef]
- Sozer, N.; Cicerelli, L.; Heiniö, R.L.; Poutanen, K. Effect of wheat bran addition on in vitro starch digestibility, physico-mechanical and sensory properties of biscuits. J. Cereal Sci. 2014, 60, 105–113. [Google Scholar] [CrossRef]
- Bajaj, S.; Urooj, A.; Prabhasankar, P. Effect of incorporation of mint on texture, colour and sensory parameters of biscuits. Int. J. Food Prop. 2006, 9, 691–700. [Google Scholar] [CrossRef]
- Carocho, M.; Morales, P.; Ferreira, I.C.F.R. Natural food additives: Quo vadis? Trends Food Sci. Technol. 2015, 45, 284–295. [Google Scholar] [CrossRef]
- Carocho, M.; Barreiro, M.F.; Morales, P.; Ferreira, I.C.F.R. Adding molecules to food, pros and cons: A review of synthetic and natural food additives. Comp. Rev. Food Sci. Food Saf. 2014, 13, 377–399. [Google Scholar] [CrossRef]
- Branen, A.L. Toxicology and biochemistry of butylated hydroxyl anisole and butylated hydroxytoluene. J. Am. Oil Chem. Soc. 1975, 52, 59–63. [Google Scholar] [CrossRef] [PubMed]
- Ito, N.; Fukushima, S.; Haqlwara, A.; Shibata, M.; Ogiso, T. Carcinogenicity of butylated hydroxyanisole in F344 rats. J. Natl. Cancer Inst. 1983, 70, 343–347. [Google Scholar] [CrossRef] [PubMed]
- Reddy, V.; Urooj, A.; Kumar, A. Evaluation of antioxidant activity of some plant extracts and their application in biscuits. Food Chem. 2005, 90, 317–321. [Google Scholar] [CrossRef]
- Pasqualone, A.; Bianco, A.M.; Paradiso, V.M.; Summo, C.; Gambacorta, G.; Caponio, F.; Blanco, A. Production and characterization of functional biscuits obtained from purple wheat. Food Chem. 2015, 180, 64–70. [Google Scholar] [CrossRef] [PubMed]
- Rasooli, I. Food preservation—A biopreservative approach. Food 2007, 1, 111–136. [Google Scholar]
- Ye, H.; Shen, S.; Xu, J.; Lin, S.; Yuan, Y.; Jones, G.S. Synergistic interaction of cinnemaldehyde in combination with carvacrol against food-borne bacterial. Food Contr. 2013, 34, 619–623. [Google Scholar] [CrossRef]
- Caleja, C.; Barros, L.; Antonio, A.L.; Ciric, A.; Barreira, J.C.; Sokovic, M.; Oliveira, M.B.P.; Santos-Buelga, C.; Ferreira, I.C. Development of a functional dairy food: Exploring bioactive and preservation effects of chamomile (Matricaria recutita L.). J. Funct. Foods 2015, 16, 114–124. [Google Scholar] [CrossRef]
- Caleja, C.; Barros, L.; Antonio, A.L.; Ciric, A.; Soković, M.; Oliveira, M.B.P.P.; Santos-Buelga, C.; Ferreira, I.C.F.R. Foeniculum vulgare Mill. as natural conservation enhancer and health promoter by incorporation in cottage cheese. J. Funct. Foods 2015, 12, 428–438. [Google Scholar] [CrossRef]
- Shah, M.A.; Bosco, S.J.D.; Mir, S.A. Plant extracts as natural antioxidants in meat and meat products. Meat Sci. 2014, 98, 21–33. [Google Scholar] [CrossRef]
- Antonic, B.; Dordevic, D.; Jancikova, S.; Holeckova, D.; Tremlova, B.; Kulawik, P. Effect of grape seed flour on the antioxidant profile, textural and sensory properties of waffles. Processes 2021, 9, 131. [Google Scholar] [CrossRef]
- Helkar, P.B.; Sahoo, A. Review: Food industry by-products used as a functional food ingredients. Int. J. Waste Resour. 2016, 6, 1000248. [Google Scholar] [CrossRef]
- Approved Methods of Analysis. AACC. Method 10-54.01. Baking Quality of Cookie Flour-Micro Wire-Cut Formulation; 11th ed.; Cereals & Grains Association: St. Paul, MN, USA. Available online: https://methods.aaccnet.org/methods/10-54.pdf (accessed on 21 November 2020).
- Khanavi, M.; Saghari, Z.; Mohammadirad, A.; Khademi, R.; Hadjiakhoondi, A.; Abdollahi, M. Comparison of antioxidant activity and total phenols of some date varieties. Daru J. Pharm. Sci. 2009, 17, 104–107. [Google Scholar]
- Singleton, V.L.; Rossi, J.A. Colorimetry of total phenolics with phosphomolybdic phosphotungstic acid reagents. Am. J. Enol. Viticul. 1965, 16, 144–158. [Google Scholar]
- Zhishen, J.; Mengcheng, T.; Jianming, W. The determination of flavonoid contents in mulberry and their scavenging effect on superoxide radicals. Food Chem. 1999, 64, 555–559. [Google Scholar] [CrossRef]
- Blois, M.S. Antioxidant determinations by the use of a stable free radical. Nature 1958, 181, 1199–1200. [Google Scholar] [CrossRef]
- Re, R.; Pellegrini, N.; Proteggente, A.; Pannala, A.; Yang, M.; Rice-Evans, C. Antioxidant activity applying an improved ABTS radical cation decolonization assay. Free Radic. Biol. Med. 1999, 26, 1231–1237. [Google Scholar] [CrossRef]
- Benzie, I.F.F.; Strain, J.J. The ferric reducing ability of plasma (FRAP) as a measure of “antioxidant power”: The FRAP assay. Anal. Biochem. 1996, 239, 70–76. [Google Scholar] [CrossRef]
- Habib, H.M.; Platat, C.; Meudec, E.; Cheynier, V.; Ibrahim, W.H. Polyphenolic compounds in date fruit seed (Phoenix dactylifera): Characterisation and quantification by using UPLC-DAD-ESI-MS. J. Sci. Food Agric. 2014, 94, 1084–1089. [Google Scholar] [CrossRef]
- Ardekani, M.R.S.; Khanavi, M.; Hajimahmoodi, M.; Jahangiri, M.; Hadjiakhoondi, A. Comparison of antioxidant activity and total phenol contents of some date seed varieties from Iran. Iran. J. Pharm. Res. IJPR 2010, 9, 141–146. [Google Scholar]
- Al Juhaimi, F.; Ghafoor, K.; Ozcan, M.M. Physical and chemical properties, antioxidant activity, total phenol and mineral profile of seeds of seven different date fruit (Phoenix dactylifera L.) varieties. Int. J. Food Sci. Nutr. 2012, 63, 84–89. [Google Scholar] [CrossRef]
- Mistrello, J.; Sirisena, S.D.; Ghavami, A.; Marshall, R.J.; Krishnamoorthy, S. Determination of the antioxidant capacity, total phenolic and flavonoid contents of seeds from three commercial varieties of culinary dates. Int. J. Food Stud. 2014, 3, 34–44. [Google Scholar] [CrossRef]
- Al-Farsi, M.; Alasalvar, C.; Al-Abid, M.; Al-Shoaily, K.; Al-Amry, M.; Al-Rawahy, F. Compositional and functional characteristics of dates, syrups, and their by-products. Food Chem. 2007, 104, 943–947. [Google Scholar] [CrossRef]
- Ahfaiter, H.; Zeitoun, A.; Abdallah, A.E. Physicochemical properties and nutritional value of Egyptian date seeds and its applications in some bakery products. J. Adv. Agric. Res. 2018, 23, 260–279. [Google Scholar]
- Suresh, S.; Guizani, N.; Al-Ruzeiki, M.; Al-Hadhrami, A.; Al-Dohani, H.; Al-Kindi, I.; Rahman, M.S. Thermal characteristics, chemical composition and polyphenol contents of date-pits powder. J. Food Eng. 2013, 119, 668–679. [Google Scholar] [CrossRef]
- Parry, J.W.; Cheng, Z.; Moore, J.; Yu, L.L. Fatty acid composition, antioxidant properties, and antiproliferative capacity of selected cold-pressed seed flours. J. Am. Oil Chem. Soc. 2008, 85, 457–464. [Google Scholar] [CrossRef]
- Ashoush, I.S.; Gadallah, M.G. Utilization of mango peels and seed kernels powders as sources of phytochemicals in biscuit. World J. Dairy Food Sci. 2011, 6, 35–42. [Google Scholar]
- Song, Z.; Li, Y.; Gao, B.; Lee, J.; Wu, Y.; Sun, J.; Whent, M.; Chen, P.; Lee, S.-H.; Yu, L. The chemical composition, antioxidant activity, and antiproliferative activity of selected seed flours. J. Food Bioact. 2020, 10, 77–85. [Google Scholar] [CrossRef]
- Ben Othman, S.; Katsuno, N.; Kanamaru, Y.; Yabe, T. Water-soluble extracts from defatted sesame seed flour show antioxidant activity in vitro. Food Chem. 2014, 175, 306–314. [Google Scholar] [CrossRef]
- Biswas, R.; Bains, A.; Chawla, P. Antioxidant potential of Cucumis melo and Citrullus vulgaris seed flours. Int. J. Res. Analyt. Rev. 2018, 5, 1171–1179. [Google Scholar]
- Jonsson, L. Thermal degradation of carotenes and influence on their physiological functions. Nutr. Toxicol. Conseq. Food Process. 1991, 289, 75–82. [Google Scholar] [CrossRef]
- Surh, Y.-J. Anti-tumor promoting potential of selected spice ingredients with antioxidative and anti-inflammatory activities: A short review. Food Chem. Toxicol. 2002, 40, 1091–1097. [Google Scholar] [CrossRef]
- Willcox, J.K.; Ash, S.L.; Catignani, G.L. Antioxidants and prevention of chronic disease. Crit. Rev. Food Sci. Nutr. 2004, 44, 275–295. [Google Scholar] [CrossRef] [PubMed]
- Frankel, E. Chemistry of free radical and singlet oxidation of lipids. Prog. Lipid Res. 1984, 23, 197–221. [Google Scholar] [CrossRef]
- Agrawal, A.D. Pharmacological activities of flavonoids: A review. Int. J. Pharm. Sci. Nanotechnol. 2011, 4, 1394–1398. [Google Scholar] [CrossRef]
- Kumar, S.; Pandey, A.K. Chemistry and biological activities of flavonoids: An overview. Sci. World J. 2013, 2013, 162750. [Google Scholar] [CrossRef]
- Thaipong, K.; Boonprakob, U.; Crosby, K.; Cisneros-Zevallos, L.; Byrne, D.H. Comparison of ABTS, DPPH, FRAP, and ORAC assays for estimating antioxidant activity from guava fruit extracts. J. Food Compos. Anal. 2006, 19, 669–675. [Google Scholar] [CrossRef]
- Sharma, P.; Gujral, H.S. Effect of sand roasting and microwave cooking on antioxidant activity of barley. Food Res. Int. 2011, 44, 235–240. [Google Scholar] [CrossRef]
- Platat, C.; Habib, H.; Hashim, I.B.; Kamal, H.; AlMaqbali, F.; Souka, U.; Ibrahim, W.H. Production of functional pita bread using date seed powder. J. Food Sci. Technol. 2015, 52, 6375–6384. [Google Scholar] [CrossRef]
- Ambigaipalan, P.; Shahidi, F. Date seed flour and hydrolysates affect physicochemical properties of muffin. Food Biosci. 2015, 12, 54–60. [Google Scholar] [CrossRef]
- Almana, H.; Mahmoud, R. Palm date seeds as an alternative source of dietary fiber in Saudi bread. Ecol. Food Nutr. 1994, 32, 261–270. [Google Scholar] [CrossRef]
- Bouaziz, F.; Ben Abdeddayem, A.; Koubaa, M.; Ghorbel, R.E.; Chaabouni, S.E. Date Seeds as a Natural Source of Dietary Fibers to Improve Texture and Sensory Properties of Wheat Bread. Foods 2020, 9, 737. [Google Scholar] [CrossRef] [PubMed]
- Mrabet, A.; Hammadi, H.; Rodríguez-Gutiérrez, G.; Jimenez-Araujo, A.; Sindic, M. Date Palm Fruits as a Potential Source of Functional Dietary Fiber: A Review. Food Sci. Technol. Res. 2019, 25, 1–10. [Google Scholar] [CrossRef]
- Vaher, M.; Matso, K.; Levandi, T.; Helmja, K.; Kaljurand, M. Phenolic compounds and the antioxidant activity of the bran, flour and whole grain of different wheat varieties. Procedia Chem. 2010, 2, 76–82. [Google Scholar] [CrossRef]
- Kaur, M.; Singh, V.; Kaur, R. Effect of partial replacement of wheat flour with varying levels of flaxseed flour on physicochemical, antioxidant and sensory characteristics of cookies. Bioact. Carbohydr. Diet. Fibre 2017, 9, 14–20. [Google Scholar] [CrossRef]
- Grasso, S.; Omoarukhe, E.; Wen, X.; Papoutsis, K.; Methven, L. The use of upcycled defatted sunflower seed flour as a functional ingredient in biscuits. Foods 2019, 8, 305. [Google Scholar] [CrossRef] [PubMed]
- Bölek, S. Effects of waste fig seed powder on quality as an innovative ingredient in biscuit formulation. J. Food Sci. 2020, 86, 55–60. [Google Scholar] [CrossRef] [PubMed]
- Grasso, S.; Pintado, T.; Pérez-Jiménez, J.; Ruiz-Capillas, C.; Herrero, A.M. Characterisation of muffins with upcycled sunflower flour. Foods 2021, 10, 426. [Google Scholar] [CrossRef] [PubMed]
- Soto, M.U.R.; Brown, K.; Ross, C.F. Antioxidant activity and consumer acceptance of grape seed flour-containing food products. Int. J. Food Sci. Technol. 2011, 47, 592–602. [Google Scholar] [CrossRef]
- Aksoylu, Z.; Çağındı, Ö.; Köse, E. Effects of blueberry, grape seed powder and poppy seed incorporation on physicochemical and sensory properties of biscuit. J. Food Qual. 2015, 38, 164–174. [Google Scholar] [CrossRef]
- Nascimento, K.D.O.D.; Paes, S.D.N.D.; Augusta, I.M. A review ‘clean labeling’: Applications of natural ingredients in bakery products. J. Food Nutr. Res. 2018, 6, 285–294. [Google Scholar] [CrossRef]
- Gbenga-Fabusiwa, F.J.; Oladele, E.P.; Oboh, G.; Adefegha, S.A.; Oshodi, A.A. Polyphenol contents and antioxidants activities of biscuits produced from ginger-enriched pigeon pea-wheat composite flour blends. J. Food Biochem. 2018, 42, e12526. [Google Scholar] [CrossRef]







Publisher’s Note: MDPI stays neutral with regard to jurisdictional claims in published maps and institutional affiliations. |
© 2022 by the authors. Licensee MDPI, Basel, Switzerland. This article is an open access article distributed under the terms and conditions of the Creative Commons Attribution (CC BY) license (https://creativecommons.org/licenses/by/4.0/).
Share and Cite
Najjar, Z.; Kizhakkayil, J.; Shakoor, H.; Platat, C.; Stathopoulos, C.; Ranasinghe, M. Antioxidant Potential of Cookies Formulated with Date Seed Powder. Foods 2022, 11, 448. https://doi.org/10.3390/foods11030448
Najjar Z, Kizhakkayil J, Shakoor H, Platat C, Stathopoulos C, Ranasinghe M. Antioxidant Potential of Cookies Formulated with Date Seed Powder. Foods. 2022; 11(3):448. https://doi.org/10.3390/foods11030448
Chicago/Turabian StyleNajjar, Zein, Jaleel Kizhakkayil, Hira Shakoor, Carine Platat, Constantinos Stathopoulos, and Meththa Ranasinghe. 2022. "Antioxidant Potential of Cookies Formulated with Date Seed Powder" Foods 11, no. 3: 448. https://doi.org/10.3390/foods11030448
APA StyleNajjar, Z., Kizhakkayil, J., Shakoor, H., Platat, C., Stathopoulos, C., & Ranasinghe, M. (2022). Antioxidant Potential of Cookies Formulated with Date Seed Powder. Foods, 11(3), 448. https://doi.org/10.3390/foods11030448

