Vibrio vulnificus and Vibrio parahaemolyticus in Oysters under Low Tidal Range Conditions: Is Seawater Analysis Useful for Risk Assessment?
Abstract
1. Introduction
2. Materials and methods
2.1. Study Sites
2.2. Sample Collection
2.3. Sample Processing
2.4. Data Analyses
3. Results
3.1. Environmental Parameters
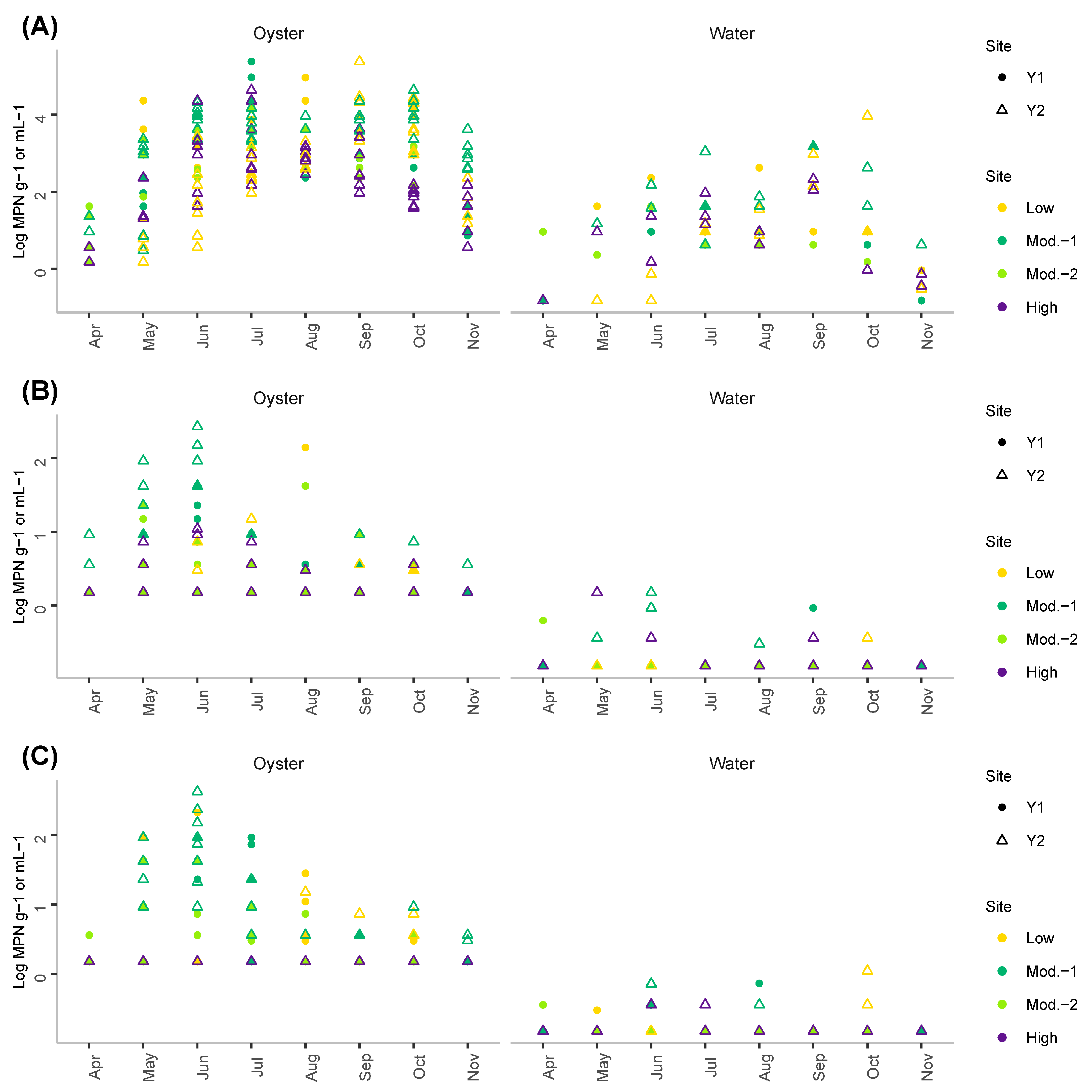
3.2. Dynamics of Total and Pathogenic Vibrio vulnificus
3.3. Dynamics of Total and Pathogenic Vibrio parahaemolyticus
3.4. Associations between Total and Pathogenic Strains
3.5. SEM Results
3.5.1. Total (vvha+) and pilF+ Vibrio vulnificus
3.5.2. Total (tlh+), tdh+, and trh+ Vibrio parahaemolyticus
4. Discussion
5. Conclusions
Supplementary Materials
Author Contributions
Funding
Institutional Review Board Statement
Informed Consent Statement
Data Availability Statement
Acknowledgments
Conflicts of Interest
References
- Center for Disease Control and Prevention. Vibrio Species Causing Vibriosis. Division of Foodborne, Waterborne, and Environmental Diseases. Available online: https://www.cdc.gov/vibrio/index.html (accessed on 1 January 2022).
- Jones, M.K.; Oliver, J.D. Vibrio vulnificus: Disease and pathogenesis. Infect. Immun. 2009, 77, 1723–1733. [Google Scholar] [CrossRef] [PubMed]
- Mead, P.S.; Slutsker, L.; Dietz, V.; McCaig, L.F.; Bresee, J.S.; Shapiro, C.; Griffin, P.M.; Tauxe, R.V. Food-related illness and death in the United States. Emerg. Infect. Dis. 1999, 5, 607–625. [Google Scholar] [CrossRef] [PubMed]
- Oliver, J.D. The Biology of Vibrio vulnificus. Microbiol. Spectr. 2015, 3, 3. [Google Scholar] [CrossRef]
- Scallan, E.; Hoekstra, R.M.; Angulo, F.J.; Tauxe, R.V.; Widdowson, M.A.; Roy, S.L.; Jones, J.L.; Griffin, P.M. Foodborne illness acquired in the United States—Major pathogens. Emerg. Infect. Dis. 2011, 17, 7–15. [Google Scholar] [CrossRef] [PubMed]
- Takemura, A.F.; Chien, D.M.; Polz, M.F. Associations and dynamics of Vibrionaceae in the environment, from the genus to the population level. Front. Microbiol. 2014, 5, 38. [Google Scholar] [CrossRef] [PubMed]
- Froelich, B.A.; Phippen, B.; Fowler, P.; Noble, R.T.; Oliver, J.D. Differences in abundances of total Vibrio spp., V. vulnificus, and V. parahaemolyticus in clams and oysters in North Carolina. Appl. Environ. Microbiol. 2017, 83, e02265-16. [Google Scholar] [CrossRef] [PubMed]
- Nilsson, W.B.; Paranjpye, R.N.; Hamel, O.S.; Hard, C.; Strom, M.S. Vibrio parahaemolyticus risk assessment in the Pacific Northwest: It’s not what’s in the water. FEMS Microbiol. Ecol. 2019, 95, fiz027. [Google Scholar] [CrossRef]
- Zimmerman, A.M.; DePaola, A.; Bowers, J.C.; Krantz, J.A.; Nordstrom, J.L.; Johnson, C.N.; Grimes, D.J. Variability of total and pathogenic Vibrio parahaemolyticus densities in northern Gulf of Mexico water and oysters. Appl. Environ. Microbiol. 2007, 73, 7589–7596. [Google Scholar] [CrossRef]
- Davis, B.J.K.; Jacobs, J.M.; Zaitchik, B.; DePaola, A.; Curriero, F.C. Vibrio parahaemolyticus in the Chesapeake Bay: Operational In Situ Prediction and Forecast Models Can Benefit from Inclusion of Lagged Water Quality Measurements. Appl. Environ. Microbiol. 2019, 85, e01007-19. [Google Scholar] [CrossRef]
- Jacobs, J.; Rhodes, M.; Brown, C.; Hood, R.; Leight, A.; Long, W.; Wood, R. Modeling and forecasting the distribution of Vibrio vulnificus in Chesapeake Bay. J. Appl. Microbiol. 2014, 117, 1312–1327. [Google Scholar] [CrossRef]
- Urquhart, E.A.; Zaitchik, B.F.; Guikema, S.D.; Haley, B.J.; Taviani, E.; Chen, A.; Brown, M.E.; Huq, A.; Colwell, R.R. Use of Environmental Parameters to Model Pathogenic Vibrios in Chesapeake Bay. J. Environ. Informatics 2015, 26, 1–13. [Google Scholar] [CrossRef]
- Nordstrom, J.L.; Vickery, M.C.; Blackstone, G.M.; Murray, S.L.; DePaola, A. Development of a multiplex real-time PCR assay with an internal amplification control for the detection of total and pathogenic Vibrio parahaemolyticus bacteria in oysters. Appl. Environ. Microbiol. 2007, 73, 5840–5847. [Google Scholar] [CrossRef] [PubMed]
- Dickerson, J.; Gooch-Moore, J.; Jacobs, J.M.; Mott, J.B. Characteristics of Vibrio vulnificus isolates from clinical and environmental sources. Mol. Cell. Probes 2021, 56, 101695. [Google Scholar] [CrossRef] [PubMed]
- Grace, J.B.; Anderson, T.M.; Olff, H.; Scheiner, S.M. On the specification of structural equation models for ecological systems. Ecol. Monog. 2010, 80, 67–87. [Google Scholar] [CrossRef]
- Byrnes, J.; Reed, D.C.; Cardinale, B.J.; Cavanaugh, K.C.; Holbrooks, S.J.; Schmitts, R.J. Climate-driven increases in storm frequency simplify kelp forest food webs. Glob. Change Bio. 2011, 17, 2513–2524. [Google Scholar] [CrossRef]
- Stewart, J.S.; Hazen, E.L.; Bograd, S.J.; Byrnes, J.E.K.; Foley, D.G.; Gilly, W.F.; Robison, B.H.; Field, J.C. Combined climate- and prey-mediated range expansion of Humboldt squid (Dosidicus gigas), a large marine predator in the California Current System. Glob. Change Bio. 2014, 20, 1832–1843. [Google Scholar] [CrossRef] [PubMed]
- Ganley, L.G.; Byrnes, J.; Pendleton, D.E.; Mayo, C.A.; Friedland, K.D.; Redfern, J.V.; Turner, J.T.; Brault, S. Effects of changing temperature phenology on the abundance of a critically endangered baleen whale. Glob. Ecol. Conserv. 2022, 38, e02193. [Google Scholar] [CrossRef]
- Hautier, Y.; Zhang, P.; Loreau, M.; Wilcox, K.R.; Seabloom, E.W.; Borer, E.T.; Byrnes, J.E.K.; Koerner, S.E.; Komatsu, K.J.; Lefcheck, J.S.; et al. General destabilizing effects of eutrophication on grassland productivitu at multiple spatial scales. Nature Com. 2020, 11, 5375. [Google Scholar] [CrossRef]
- NOAA National Estuarine Research Reserve System. Available online: http://cdmo.baruch.sc.edu/ (accessed on 1 January 2022).
- Arar, E.J.; Collins, G.B. Method 445.0 In Vitro Determination of Chlorophyll a and Pheophytin in Marine and Freshwater Algae by Fluorescence; U.S. Environmental Protection Agency: Washington, DC, USA, 1997. [Google Scholar]
- U.S. Environmental Protection Agency. Method 180.1: Determination of Turbidity by Nephelometry. Rev. 2.0. Environmental Systems Monitoring Laboratory, Office of Research and Development; EPA/600/R-93/100; Environmental Protection Agency: Cincinnati, OH, USA, 1993; 178p. [Google Scholar]
- U.S. Food and Drug Administration. Microbiological Methods and Bacteriological Analytical Manual. Appendix 2: Most-Probable Number From Serial Dilutions. 2010. Available online: http://www.fda.gov/Food/FoodScienceResearch/LaboratoryMethods/ucm109656 (accessed on 1 January 2022).
- Jones, J.L.; Noe, K.E.; Byars, R.; DePaola, A. Evaluation of DNA colony hybridization and real-time PCR for detection of Vibrio parahaemolyticus and Vibrio vulnificus in postharvest-processed oysters. J. Food Prot. 2009, 72, 2106–2109. [Google Scholar] [CrossRef]
- Campbell, M.S.; Wright, A.C. Real-time PCR analysis of Vibrio vulnificus from oysters. Appl. Environ. Microbiol. 2003, 69, 7137–7144. [Google Scholar] [CrossRef]
- Audemard, C.; Kator, H.I.; Rhodes, M.W.; Gallivan, T.; Erskine, A.J.; Leggett, A.T.; Reece, K.S. High salinity relay as a postharvest processing strategy to reduce Vibrio vulnificus levels in Chesapeake Bay oysters (Crassostrea virginica). J. Food Prot. 2011, 74, 1902–1907. [Google Scholar] [CrossRef]
- Baker-Austin, C.; Lemm, E.; Hartnell, R.; Lowther, J.; Onley, R.; Amaro, C.; Oliver, J.D.; Lees, D. pilF polymorphism-based real-time PCR to distinguish Vibrio vulnificus strains of human health relevance. Food Microbiol. 2012, 30, 17–23. [Google Scholar] [CrossRef]
- Roig, F.J.; Sanjuán, E.; Llorens, A.; Amaro, C. pilF Polymorphism-based PCR to distinguish Vibrio vulnificus strains potentially dangerous to public health. Appl. Environ. Microbiol. 2009, 76, 1328–1333. [Google Scholar] [CrossRef]
- Aznar, R.; Ludwig, W.; Amann, R.I.; Schleifer, K.H. Sequence determination of rRNA genes of pathogenic Vibrio species and whole-cell identification of Vibrio vulnificus with rRNA-targeted oligonucleotide probes. Int. J. Syst. Bacteriol. 1994, 44, 330–337. [Google Scholar] [CrossRef]
- Nilsson, W.B.; Paranjype, R.N.; DePaola, A.; Strom, M.S. Sequence polymorphism of the 16S rRNA gene of Vibrio vulnificus is a possible indicator of strain virulence. J. Clin. Microbiol. 2003, 41, 442–446. [Google Scholar] [CrossRef]
- Vickery, M.C.; Nilsson, W.B.; Strom, M.S.; Nordstrom, J.L.; DePaola, A. A real-time PCR assay for the rapid determination of 16S rRNA genotype in Vibrio vulnificus. J. Microbiol. Methods 2007, 68, 376–384. [Google Scholar] [CrossRef]
- Baker-Austin, C.; Gore, A.; Oliver, J.D.; Rangdale, R.; McArthur, J.V.; Lees, D.N. Rapid in situ detection of virulent Vibrio vulnificus strains in raw oyster matrices using real-time PCR. Environ. Microbiol. Reports 2010, 2, 76–80. [Google Scholar] [CrossRef]
- Rosche, T.M.; Yano, Y.; Oliver, J.D. A rapid and simple PCR analysis indicates there are two subgroups of Vibrio vulnificus which correlate with clinical or environmental isolation. Microbiol. Immunol. 2005, 49, 381–389. [Google Scholar] [CrossRef]
- Warner, E.; Oliver, J.D. Population structures of two genotypes of Vibrio vulnificus in oysters (Crassostrea virginica) and seawater. Appl. Environ. Microbiol. 2008, 74, 80–85. [Google Scholar] [CrossRef]
- Nishibuchi, M.; Kaper, J.B. Thermostable direct hemolysin gene of Vibrio parahaemolyticus: A virulence gene acquired by a marine bacterium. Infect. Immun. 1995, 63, 2093–2099. [Google Scholar] [CrossRef]
- Wang, R.; Zhong, Y.; Gu, X.; Yuan, J.; Saeed, A.F.; Wang, S. The pathogenesis, detection, and prevention of Vibrio parahaemolyticus. Front. Microbiol. 2015, 6, 144. [Google Scholar] [CrossRef]
- Honda, T.; Iida, T. The pathogenicity of Vibrio parahaemolyticus and the role of the thermostable direct haemolysin and related hemolysins. Rev. Med. Microbiol. 1993, 4, 106–113. [Google Scholar] [CrossRef]
- Shimohata, T.; Takahashi, A. Diarrhea induced by infection of Vibrio parahaemolyticus. J. Med. Investig. 2010, 57, 179–182. [Google Scholar] [CrossRef]
- R Core Team. R: A Language and Environment for Statistical Computing; R Foundation for Statistical Computing: Vienna, Austria, 2022; Available online: https://www.R-project.org (accessed on 1 June 2022).
- Muhling, B.A.; Jacobs, J.; Stock, C.A.; Gaitan, C.F.; Saba, V.S. Projections of the future occurrence, distribution, and seasonality of three Vibrio species in the Chesapeake Bay under a high-emission climate change scenario. Geohealth 2017, 1, 278–296. [Google Scholar] [CrossRef]
- Rosseel, Y. Lavaan: An R package for structural equation modeling. J. Stat. Software 2012, 48, 1–36. [Google Scholar] [CrossRef]
- Akaike, H. Information Theory and an Extension of the Maximum Likelihood Principle. In International Symposium on Information Theory; Springer Series in Statistics; Petrov, B.N., Csaki, F., Eds.; Springer: New York, NY, USA, 1973; pp. 267–281. [Google Scholar]
- Ben-Horin, T.; Audemard, C.; Calvo, L.; Reece, K.S.; Bushek, D. Pathogenic Vibrio parahaemolyticus increase in intertidal-farmed oysters in the Mid-Atlantic region, but only at low tide. North Am. J. Aquac. 2022, 84, 95–104. [Google Scholar] [CrossRef]
- Jones, J.L.; Kinsey, T.P.; Johnson, L.W.; Porso, R.; Friedman, B.; Curtis, M.; Wesighan, P.; Schuster, R.; Bowers, J.C. Effects of Intertidal Harvest Practices on Levels of Vibrio parahaemolyticus and Vibrio vulnificus Bacteria in Oysters. Appl. Environ. Microbiol. 2016, 82, 4517–4522. [Google Scholar] [CrossRef][Green Version]
- Nordstrom, J.L.; Kaysner, C.A.; Blackstone, G.M.; Vickery, M.C.; Bowers, J.C.; DePaola, A. Effect of intertidal exposure on Vibrio parahaemolyticus levels in Pacific Northwest oysters. J. Food Prot. 2004, 67, 2178–2182. [Google Scholar] [CrossRef]
- Audemard, C.; Kator, H.I.; Reece, K.S. High salinity relay as a post-harvest processing method for reducing Vibrio vulnificus levels in oysters (Crassostrea virginica). Int. J. Food Microbiol. 2018, 20, 70–79. [Google Scholar] [CrossRef]
- Kaspar, C.W.; Tamplin, M.L. Effects of temperature and salinity on the survival of Vibrio vulnificus in seawater and shellfish. Appl. Environ. Microbiol. 1993, 59, 2425–2429. [Google Scholar] [CrossRef]
- Motes, M.L.; DePaola, A. Offshore suspension relaying to reduce levels of Vibrio vulnificus in oysters (Crassostrea virginica). Appl. Environ. Microbiol. 1996, 62, 3875–3877. [Google Scholar] [CrossRef] [PubMed]
- Parveen, S.; Hettiarachchi, K.A.; Bowers, J.C.; Jones, J.L.; Tamplin, M.L.; McKay, R.; Beatty, W.; Brohawn, K.; Dasilva, L.V.; DePaola, A. Seasonal distribution of total and pathogenic Vibrio parahaemolyticus in Chesapeake Bay oysters and waters. Int. J. Food Microbiol. 2008, 128, 354–361. [Google Scholar] [CrossRef]
- Gonzalez, D.J.; Gonzalez, R.A.; Froelich, B.A.; Oliver, J.D.; Noble, R.T.; McGlathery, K.J. Non-native macroalga may increase concentrations of Vibrio bacteria on intertidal mudflats. Mar. Ecol. Prog. Ser. 2014, 505, 29–36. [Google Scholar] [CrossRef]
- Williams, T.C.; Froelich, B.A.; Phippen, B.; Fowler, P.; Noble, R.T.; Oliver, J.D. Different abundance and correlational patterns exist between total and presumed pathogenic Vibrio vulnificus and V. parahaemolyticus in shellfish and waters along the North Carolina coast. FEMS Microbiol. Ecol. 2017, 93, fix071. [Google Scholar] [CrossRef]
- Yokochi, N.; Tanaka, S.; Matsumoto, K.; Oishi, H.; Tashiro, Y.; Yoshikane, Y.; Nakashima, M.; Kanda, K.; Kobayashi, G. Distribution of virulence markers among Vibrio vulnificus isolates of clinical and environmental origin and regional characteristics in Japan. PLoS ONE 2013, 8, e55219. [Google Scholar] [CrossRef] [PubMed]
- Phillips, K.E.; Satchell, K.J. Vibrio vulnificus: From Oyster Colonist to Human Pathogen. PLoS Pathog. 2017, 13, e1006053. [Google Scholar] [CrossRef]
- Bienlien, L.M.; Audemard, C.; Reece, K.S.; Carnegie, R.B. Impact of parasitism on levels of human-pathogenic Vibrio species in eastern oysters. J. Appl. Microbiol. 2022, 132, 760–771. [Google Scholar] [CrossRef]
- Audemard, C.; Reece, K.S.; Latour, R.J.; Bienlien, L.M.; Carnegie, R.B. Influence of oyster genetic background on levels of human-pathogenic Vibrio spp. Aquaculture 2023, 562, 562738763. [Google Scholar] [CrossRef]
- DePaola, A.; Nordstrom, J.L.; Bowers, J.C.; Wells, J.G.; Cook, D.W. Seasonal abundance of total and pathogenic Vibrio parahaemolyticus in Alabama oysters. Appl. Environ. Microbiol. 2003, 69, 1521–1526. [Google Scholar] [CrossRef]
- Flynn, A.; Davis, B.J.K.; Atherly, E.; Olson, G.; Bowers, J.C.; DePaola, A.; Curriero, F.C. Associations of Environmental Conditions and Vibrio parahaemolyticus Genetic Markers in Washington State Pacific Oysters. Front. Microbiol. 2019, 4, 2797. [Google Scholar] [CrossRef]
- Matz, C.; Nouri, B.; McCarter, L.; Martinez-Urtaza, J. Acquired type III secretion system determines environmental fitness of epidemic Vibrio parahaemolyticus in the interaction with bacterivorous protists. PLoS ONE 2011, 6, e20275. [Google Scholar] [CrossRef] [PubMed]
- Salomon, D.; Gonzalez, H.; Updegraff, B.L.; Orth, K. Vibrio parahaemolyticus type VI secretion system 1 is activated in marine conditions to target bacteria, and is differentially regulated from system 2. PLoS ONE 2013, 8, e61086. [Google Scholar] [CrossRef] [PubMed]
- Food and Agriculture Organization of the United Nations; World Health Organization. Risk assessment tools for Vibrio parahaemolyticus and Vibrio vulnificus Associated with Seafood. Available online: https://apps.who.int/iris/handle/10665/330867 (accessed on 1 January 2022).
- Kaufman, G.E.; Bej, A.K.; Bowers, J.; DePaola, A. Oyster-to-oyster variability in levels of Vibrio parahaemolyticus. J. Food Prot. 2003, 66, 125–129. [Google Scholar] [CrossRef]
- Klein, S.L.; Lovell, C.R. The hot oyster: Levels of virulent Vibrio parahaemolyticus strains in individual oysters. FEMS Microbiol. Ecol. 2017, 93, fiw232. [Google Scholar] [CrossRef]
- Marcinkiewicz, A.L.; Schuster, B.M.; Jones, S.H.; Cooper, V.S.; Whistler, C.A. Bacterial community profiles and Vibrio parahaemolyticus abundance in individual oysters and their association with estuarine ecology. New Hamps. Agric. Exp. Station. 2017, 333, 156851. [Google Scholar]
- Johnson, C.N.; Bowers, J.C.; Griffitt, K.J.; Molina, V.; Clostio, R.W.; Pei, S.; Laws, E.; Paranjpye, R.N.; Strom, M.S.; Chen, A.; et al. Ecology of Vibrio parahaemolyticus and Vibrio vulnificus in the coastal and estuarine waters of Louisiana, Maryland, Mississippi, and Washington (United States). Appl. Environ. Microbiol. 2012, 78, 7249–7257. [Google Scholar] [CrossRef] [PubMed]






Publisher’s Note: MDPI stays neutral with regard to jurisdictional claims in published maps and institutional affiliations. |
© 2022 by the authors. Licensee MDPI, Basel, Switzerland. This article is an open access article distributed under the terms and conditions of the Creative Commons Attribution (CC BY) license (https://creativecommons.org/licenses/by/4.0/).
Share and Cite
Audemard, C.; Ben-Horin, T.; Kator, H.I.; Reece, K.S. Vibrio vulnificus and Vibrio parahaemolyticus in Oysters under Low Tidal Range Conditions: Is Seawater Analysis Useful for Risk Assessment? Foods 2022, 11, 4065. https://doi.org/10.3390/foods11244065
Audemard C, Ben-Horin T, Kator HI, Reece KS. Vibrio vulnificus and Vibrio parahaemolyticus in Oysters under Low Tidal Range Conditions: Is Seawater Analysis Useful for Risk Assessment? Foods. 2022; 11(24):4065. https://doi.org/10.3390/foods11244065
Chicago/Turabian StyleAudemard, Corinne, Tal Ben-Horin, Howard I. Kator, and Kimberly S. Reece. 2022. "Vibrio vulnificus and Vibrio parahaemolyticus in Oysters under Low Tidal Range Conditions: Is Seawater Analysis Useful for Risk Assessment?" Foods 11, no. 24: 4065. https://doi.org/10.3390/foods11244065
APA StyleAudemard, C., Ben-Horin, T., Kator, H. I., & Reece, K. S. (2022). Vibrio vulnificus and Vibrio parahaemolyticus in Oysters under Low Tidal Range Conditions: Is Seawater Analysis Useful for Risk Assessment? Foods, 11(24), 4065. https://doi.org/10.3390/foods11244065

