Conditions of the Stepwise Cooling Algorithm for Stable Supercooling Preservation and Freshness of Pork Loin
Abstract
1. Introduction
2. Materials and Methods
2.1. Sample Preparations
2.2. Temperature Control
2.2.1. Limit of Lowest Temperature
2.2.2. Effect of Slow Cooling on the Supercooled State
Supercooling Stability of Pork Loin by Different Cooling Rates
Cooling Rate Control Using a Stepwise Cooling Algorithm
Stepwise Cooling Algorithm for the Supercooling Storage of Pork Loin
2.2.3. Effect of Temperature Fluctuations on the Supercooled State
2.3. Characteristics of Food Freshness
2.3.1. Condition for Stepwise Cooling
2.3.2. Drip Loss
2.3.3. Cooking Loss
2.3.4. Texture profile analysis
2.3.5. Color
2.3.6. Total Volatile Basic Nitrogen
2.3.7. Microbial Analysis
2.3.8. Statistical Analysis
3. Results and Discussion
3.1. Limit of Lowest Temperature
3.2. Effect of Slow Cooling on the Supercooled State
3.2.1. Supercooling Stability of Pork Loin Stored at Different Cooling Rate
3.2.2. Cooling Rate Control Using a Stepwise Cooling Algorithm
3.2.3. Stepwise Cooling Algorithm for Supercooling Storage of Pork Loin
3.3. Effect of Temperature Fluctuations on the Supercooled State
3.4. Characteristics of Food Freshness
3.4.1. Time–Temperature Profiles
3.4.2. Drip Loss and Cooking Loss
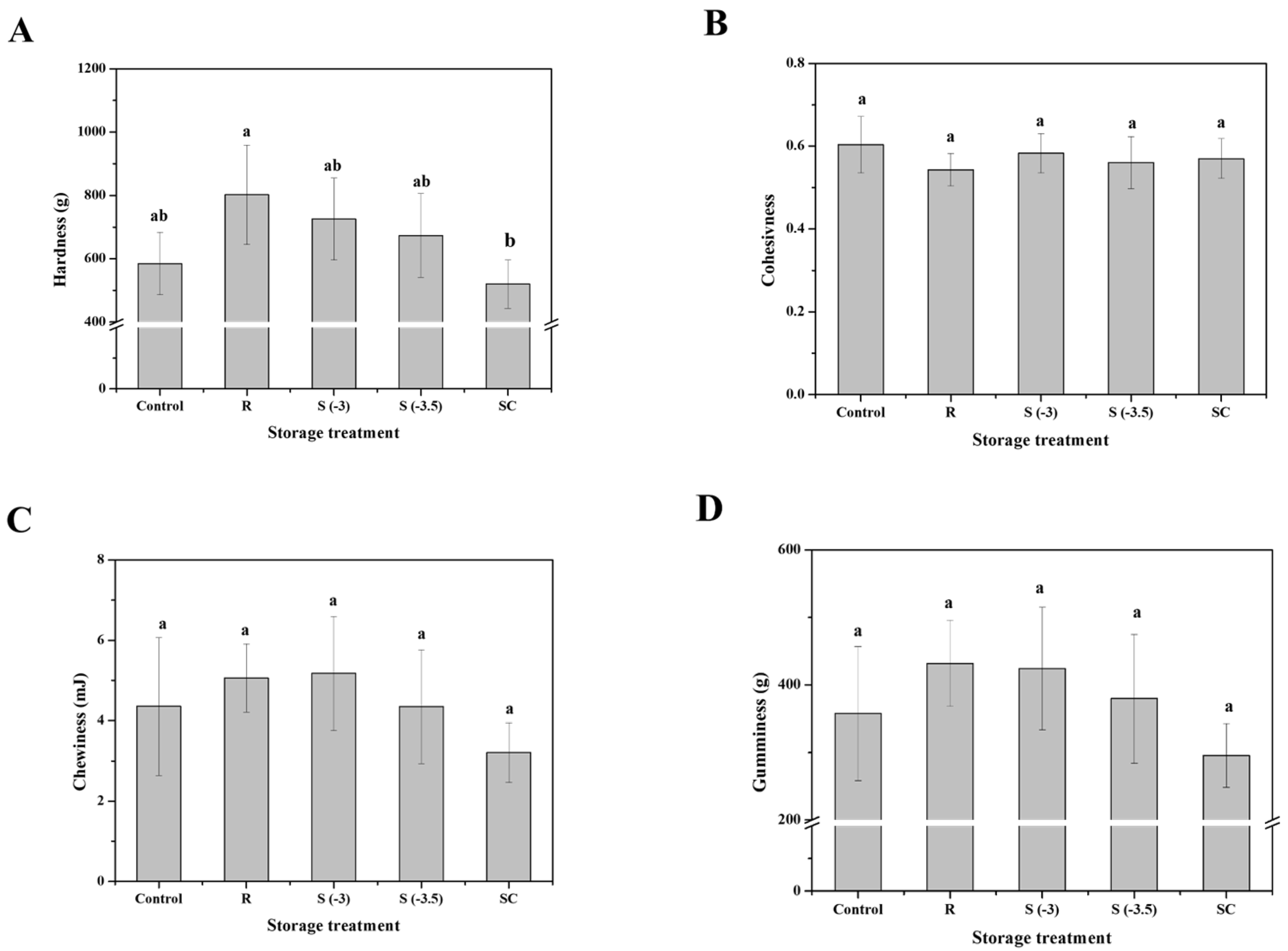
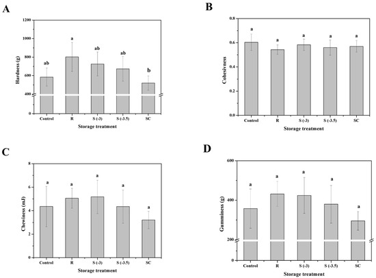
3.4.3. TPA
3.4.4. Color
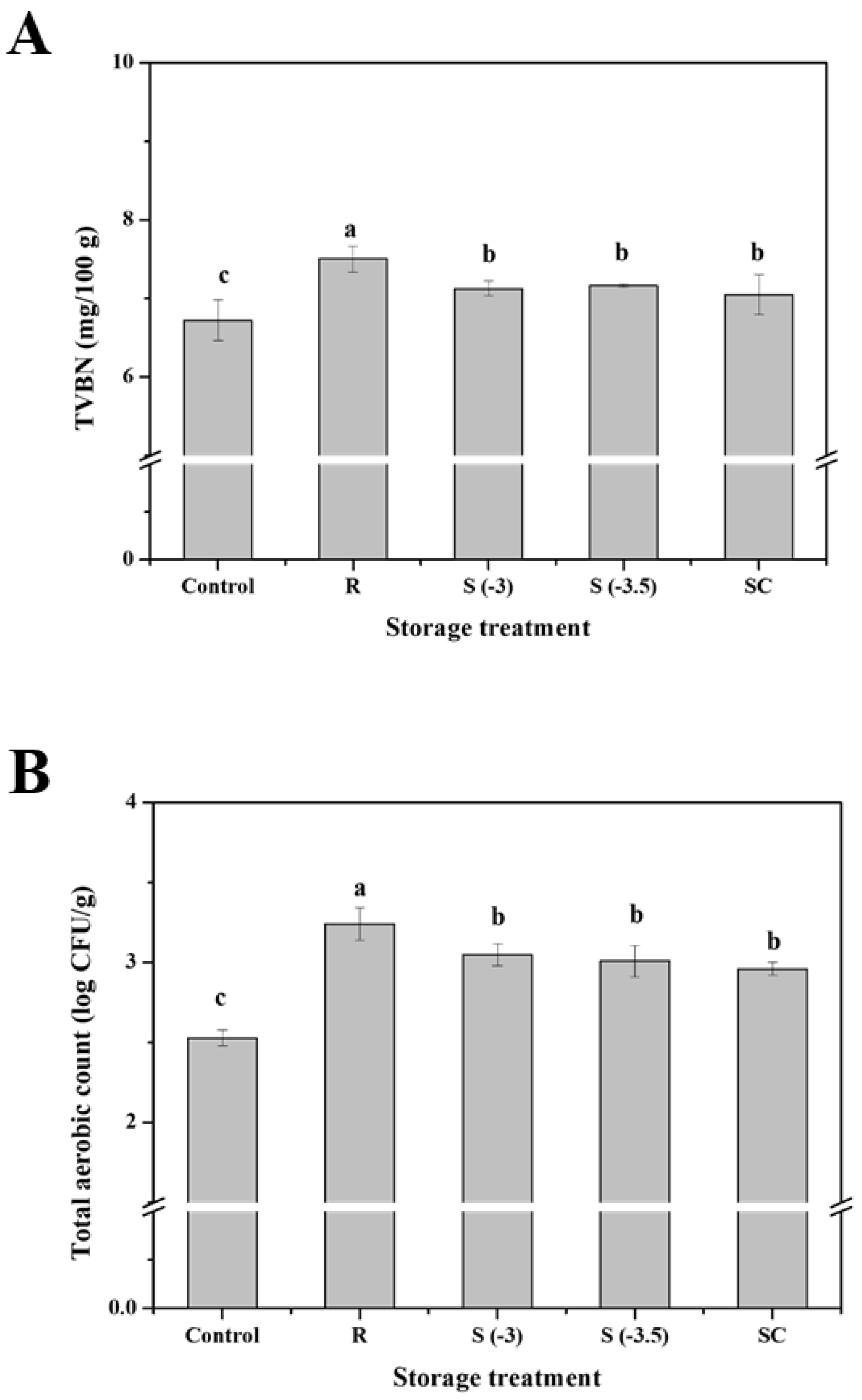
3.4.5. TVBN and Microbial Activity
4. Conclusions
Author Contributions
Funding
Institutional Review Board Statement
Informed Consent Statement
Data Availability Statement
Acknowledgments
Conflicts of Interest
Abbreviations
References
- Kang, T.; You, Y.; Jun, S. Supercooling preservation technology in food and biological samples: A review focused on electric and magnetic field application. Food Sci. Biotechnol. 2020, 29, 303–321. [Google Scholar] [CrossRef] [PubMed]
- Choi, M.-J.; Abduzkhurov, T.; Park, D.H.; Kim, E.J.; Hong, G.-P. Effects of deep freezing temperature for long-term storage on quality characteristics and freshness of lamb meat. Food Sci. Anim. Resour. 2018, 38, 959–969. [Google Scholar] [CrossRef] [PubMed]
- Park, D.H.; Lee, S.Y.; Byeon, Y.M.; Kim, E.J.; Choi, M.-J. Effect of supercooling storage applied with stepwise algorithm for fishes (salmon and olive flounder) and its freshness during extended storage. Food Biosci. 2022, 49, 101950. [Google Scholar] [CrossRef]
- Stonehouse, G.G.; Evans, J.A. The use of supercooling for fresh foods: A review. J. Food Eng. 2015, 148, 74–79. [Google Scholar] [CrossRef]
- Park, D.H.; Lee, S.Y.; Kim, E.J.; Ji, Y.R.; Wi, G.; Choi, M.-J. Freshness of deep frozen mackerel and croaker during long-term storage. Int. J. Food Prop. 2021, 24, 89–104. [Google Scholar] [CrossRef]
- Dunn, A.S.; Rustad, T. Quality of superchilled vacuum and packed Atlantic salmon (Salmo salar) fillets stored at −1.4 °C and −3.6 °C. Food Chem. 2008, 106, 122–131. [Google Scholar] [CrossRef]
- Kim, E.J. Development of Novel Low-Temperature Preservation Technology to Extend Freshness and Wholesomeness of Foods. Ph.D. Thesis, Konkuk University, Seoul, Republic of Korea, 2021. [Google Scholar]
- Hong, G.-P.; Choi, M.-J. Comparison of the quality characteristics of abalone processed by high-pressure sub-zero temperature and pressure-shift freezing. Innov. Food Sci. Emerg. Technol. 2016, 33, 19–25. [Google Scholar] [CrossRef]
- Mok, J.H.; Her, J.-Y.; Kang, T.; Hoptowit, R.; Jun, S. Effect of pulsed electric field (PEF) and oscillating magnetic field (OMF) combination technology on the extension of supercooling for chicken breasts. J. Food Eng. 2017, 196, 27–35. [Google Scholar] [CrossRef]
- Zheng, L.; Sun, D.W. Innovative application of power ultrasound during food freezing processes-A review. Trends Food Sci. Technol. 2006, 17, 16–23. [Google Scholar] [CrossRef]
- Dalvi-Isfahan, M.; Hamdami, N.; Xanthakis, E.; Le-Bail, A. Review on the control of ice nucleation by ultrasound waves, electric and magnetic fields. J. Food Eng. 2017, 195, 222–234. [Google Scholar] [CrossRef]
- Fukuma, Y.; Yamane, A.; Itoh, T.; Tsukamasa, Y.; Ando, M. Application of supercooling to long-term storage of fish meat. Fish. Sci. 2012, 78, 451–461. [Google Scholar] [CrossRef]
- Kim, Y.; Hong, G.-P. Effects of artificial supercooling followed by slow freezing on the microstructure and qualities of pork loin. Food Sci. Anim. Resour. 2016, 36, 650–655. [Google Scholar] [CrossRef] [PubMed]
- Yun, Y.C.; Ramachandraiah, K.; Hong, G.-P. Effect of precooling conditions on the ice nucleation temperature and freezing characteristics of semisolid matrices. J. Food Eng. 2021, 291, 110232. [Google Scholar] [CrossRef]
- Lee, S.Y.; Kim, E.J.; Park, D.H.; Ji, Y.R.; Kang, G.; Choi, M.-J. Deep freezing to maintain the freshness of pork loin during long-term storage. Food Sci. Biotechnol. 2021, 30, 701–710. [Google Scholar] [CrossRef] [PubMed]
- Lee, S.Y. Feasible Strategies to Improve Freshness and Wholesomeness of Pork Loin during Extended Storage. Ph.D. Thesis, Konkuk University, Seoul, Republic of Korea, 2020. [Google Scholar]
- Cho, Y.; Lee, E.-J.; Lee, J.; Lee, S.Y.; Yun, Y.-C.; Hong, G.-P. Pressure induced structural changes of proteins affecting the ice nucleation temperature of pork loins. Food Sci. Anim. Resour. 2019, 39, 1008–1014. [Google Scholar] [CrossRef] [PubMed]
- Kaale, L.D.; Eikevik, T.M.; Rustad, T.; Kolsaker, K. Superchilling of food: A review. J. Food Eng. 2011, 107, 131–146. [Google Scholar] [CrossRef]
- Li, J.; Lee, T.-C. Bacterial extracellular ice nucleator effects on freezing of foods. J. Food Sci. 1998, 63, 375–381. [Google Scholar] [CrossRef]
- Kim, J.J.; Park, D.H.; Kim, E.J.; Choi, M.-J. Effect of supercooling controlled by step-cooling algorithm on freshness of hairtail (Trichiurus lepturus). Food Eng. Prog. 2021, 25, 255–263. [Google Scholar] [CrossRef]
- Benjakul, S.; Visessanguan, W. Impacts of freezing and frozen storage on quality changes of seafoods. In Physicochemical Aspects of Food Engineering and Processing; Devahastin, S., Ed.; CRC Press: Boca Raton, FL, USA, 2010; pp. 283–306. [Google Scholar]
- Lee, H.-O.; Lee, Y.-J.; Kim, J.-Y.; Kim, K.-H.; Kim, B.-S. Changes in the quality of frozen vegetables during storage. Korean J. Food Preserv. 2013, 20, 296–303. [Google Scholar] [CrossRef][Green Version]
- Huff-Lonergan, E.; Sosnicki, A. Water Holing Capacity of Fresh Meat, Fact Sheet No. 04669; National Pork Procedures Council: Des Moines, IA, USA, 2002. [Google Scholar]
- Duun, A.S.; Hemmingsen, A.K.T.; Haugland, A.; Rustad, T. Quality changes during superchilled storage of pork roast. LWT-Food Sci. Technol. 2008, 41, 2136–2143. [Google Scholar] [CrossRef]
- Aaslyng, M.D.; Bejerholma, C.; Ertbjergb, P.; Bertrame, H.C. Cooking loss and juiciness of pork in relation to raw meat quality and cooking procedure. Food Qual. Prefer. 2003, 14, 277–288. [Google Scholar] [CrossRef]
- Vieira, C.; Diaz, M.T.; Martinez, B.; García-Cachán, M.D. Effect of frozen storage conditions (temperature and length of storage) on microbiological and sensory quality of rustic crossbred beef at different states of ageing. Meat Sci. 2009, 83, 398–404. [Google Scholar] [CrossRef] [PubMed]
- Bentley, D.S.; Reagan, J.O.; Miller, M.F. Effects of gas atmosphere, storage temperature and storage time on the shelflife and sensory attributes of vacuum packaged ground beef patties. J. Food Sci. 1989, 54, 284–286. [Google Scholar] [CrossRef]
- Straadt, I.K.; Rasmunssen, M.; Andersen, H.J.; Bertram, H.C. Aging-induced changes in microstructure and water distribution in fresh and cooked pork in relation to water-holing capacity and cooking loss—A combined confocal laser scanning microscopy (CLSAM) and low-field nuclear magnetic resonance relaxation study. Meat Sci. 2007, 75, 687–695. [Google Scholar] [CrossRef] [PubMed]
- Martinez, O.; Salmerón, J.; Guillén, M.D.; Casas, C. Texture profile analysis of meat products treated with commercial liquid smoke flavourings. Food Control. 2004, 15, 457–461. [Google Scholar] [CrossRef]
- You, Y.; Her, J.-Y.; Shafel, T.; Kang, T.; Jun, S. Supercooling preservation on quality of beef steak. J. Food Eng. 2020, 274, 109840. [Google Scholar] [CrossRef]
- Ishaq, A.; Ebner, P.D.; Syed, Q.A.; Rahman, H.U. Employing list-shield bacteriophage as a bio-control intervention for Listeria monocytogenes from raw beef surface and maintain meat quality during refrigeration storage. LWT-Food Sci. Technol. 2020, 132, 109784. [Google Scholar] [CrossRef]
- Lin, H.; Zhao, S.; Han, X.; Guan, W.; Liu, B.; Chen, A.; Sun, Y.; Wang, J. Effect of static magnetic field extended supercooling preservation on beef quality. Food Chem. 2022, 370, 131264. [Google Scholar] [CrossRef]
- Ye, K.; Ding, D.; Zhu, X.; Wu, Z.; Hu, Q.; Li, R. Modified atmosphere packaging with a small change in gas ratio could maintain pork quality during −3 °C storage. Food Control. 2020, 109, 106943. [Google Scholar] [CrossRef]
- Tomasevic, I.; Djekic, I.; Font-i-Furnols, M.; Terjung, N.; Lorenzo, J.M. Recent advances in meat color research. Curr. Opin. Food Sci. 2021, 41, 81–87. [Google Scholar] [CrossRef]
- Coombs, C.E.O.; Holman, B.W.B.; Friend, M.A.; Hopkins, D.L. Long-term red meat preservation using chilled and frozen storage combinations: A review. Meat Sci. 2017, 125, 84–94. [Google Scholar] [CrossRef]
- Jeremiah, L.E.; Gibson, L.L. The influence of storage temperature and storage time on color stability, retail properties and case-life of retail-ready beef. Food Res. Int. 2001, 34, 815–826. [Google Scholar] [CrossRef]
- Choe, J.-H.; Stuart, A.; Kim, Y.H.B. Effect of different aging temperatures prior to freezing on meat quality attributes of frozen/thawed lamb loins. Meat Sci. 2016, 116, 158–164. [Google Scholar] [CrossRef] [PubMed]
- Ding, D.; Zhou, C.; Ge, X.; Ye, K.; Wang, P.; Bai, Y.; Zhou, G. The effect of different degrees of superchilling on shelf life and quality of pork during storage. J. Food Process Preserv. 2020, 44, e14394. [Google Scholar] [CrossRef]
- Park, D.H. Development of Food Compositions Based Stepwise Cooling Algorithm for Novel Supercooling Preservation. Ph.D. Thesis, Konkuk University, Seoul, Republic of Korea, 2022. [Google Scholar]
- He, X.; Liu, R.; Nirasawa, S.; Zheng, D.; Liu, H. Effect of high voltage electronics field treatment on thawing characteristics and post-thawing quality of frozen pork tenderloin meat. J. Food Eng. 2013, 115, 245–250. [Google Scholar] [CrossRef]
- Durate, A.M.; Silva, F.; Pinto, F.R.; Barroso, R.; Manel Gil, M. Quality assessment of chilled and frozen fish-Mini review. Foods 2020, 9, 1739. [Google Scholar] [CrossRef]
- Liu, D.; Linag, L.; Xia, W.; Regenstein, J.M.; Zhou, P. Biochemical and physical changes of grass carp (Ctenopharyngodonn idella) fillets stored at −3 and 0 °C. Food Chem. 2013, 140, 105–114. [Google Scholar] [CrossRef]
- Lu, X.; Zhang, Y.; Zhu, L.; Luo, X.; Hopkins, D.L. Effect of superchilled storage on the shelf life and quality characteristics of M. longissimus lumborum from Chinese yellow cattle. Meat Sci. 2019, 149, 79–84. [Google Scholar] [CrossRef]
- Reid, R.; Fanning, S.; Whyte, P.; Joe, K.; Lindqvist, R.; Yu, Z.; Bolton, C. The microbiology of beef carcasses and primals during chilling and commercial storage. Food Microbiol. 2017, 61, 50–57. [Google Scholar] [CrossRef]
- Sujiwo, J.; Kim, D.; Jang, A. Relation among quality traits of chicken breast meat during cold storage: Correlations between freshness traits and torrymeter values. Poult. Sci. 2018, 97, 2887–2894. [Google Scholar] [CrossRef]
- Pellissery, A.J.; Vinayamohan, P.G.; Amalaradjou, M.A.R.; Venkitanarayanan, K. Meat quality analysis. In Spoilage Bacteria and Meat Quality; Biswas, A.K., Mandal, P.K., Eds.; Academic Press: Cambridge, MA, USA, 2020. [Google Scholar]
- Park, D.H.; Lee, S.Y.; Kim, E.J.; Jo, Y.-J.; Choi, M.J. Development of a stepwise algorithm for supercooling storage of pork belly and chicken breast and its effect on freshness. Foods 2022, 11, 380. [Google Scholar] [CrossRef] [PubMed]














| Treatment | Initial Temperature (°C) | Precooling Time (h) | Time Interval (h) | Limit lower Temperature (°C) |
|---|---|---|---|---|
| A | −0.5 | 18 | 4 | −3 |
| B | −1 | 18 | 8 | −3 |
| C | −1 | 18 | 4 | −3.5 |
| D | −0.5 | 18 | 8 | −3.5 |
| E | −1 | 18 | 4 | −4 |
| F | −1 | 18 | 8 | −4 |
Publisher’s Note: MDPI stays neutral with regard to jurisdictional claims in published maps and institutional affiliations. |
© 2022 by the authors. Licensee MDPI, Basel, Switzerland. This article is an open access article distributed under the terms and conditions of the Creative Commons Attribution (CC BY) license (https://creativecommons.org/licenses/by/4.0/).
Share and Cite
Park, D.H.; Kim, E.J.; Kim, H.; Hong, G.-P.; Choi, M.-J. Conditions of the Stepwise Cooling Algorithm for Stable Supercooling Preservation and Freshness of Pork Loin. Foods 2022, 11, 4021. https://doi.org/10.3390/foods11244021
Park DH, Kim EJ, Kim H, Hong G-P, Choi M-J. Conditions of the Stepwise Cooling Algorithm for Stable Supercooling Preservation and Freshness of Pork Loin. Foods. 2022; 11(24):4021. https://doi.org/10.3390/foods11244021
Chicago/Turabian StylePark, Dong Hyeon, Eun Jeong Kim, Honggyun Kim, Geun-Pyo Hong, and Mi-Jung Choi. 2022. "Conditions of the Stepwise Cooling Algorithm for Stable Supercooling Preservation and Freshness of Pork Loin" Foods 11, no. 24: 4021. https://doi.org/10.3390/foods11244021
APA StylePark, D. H., Kim, E. J., Kim, H., Hong, G.-P., & Choi, M.-J. (2022). Conditions of the Stepwise Cooling Algorithm for Stable Supercooling Preservation and Freshness of Pork Loin. Foods, 11(24), 4021. https://doi.org/10.3390/foods11244021

