Effect of Ultra-High-Pressure Homogenization Processing on the Microbiological, Physicochemical, and Sensory Characteristics of Fish Broth
Abstract
1. Introduction
2. Materials and Methods
2.1. Raw Material Purchase and Fish Broth Making
2.2. UHPH Treatments
2.3. Microbiological Analyses
2.4. Sensorial Analyses
2.5. Physicochemical Composition of Fish Broths
2.6. Determination of Total Phenols and Antioxidant Capacity
2.7. Determination of Particle Size
2.8. Color
2.9. Statistical Analyses
3. Results and Discussion
3.1. Sensory Development of Fish Broth
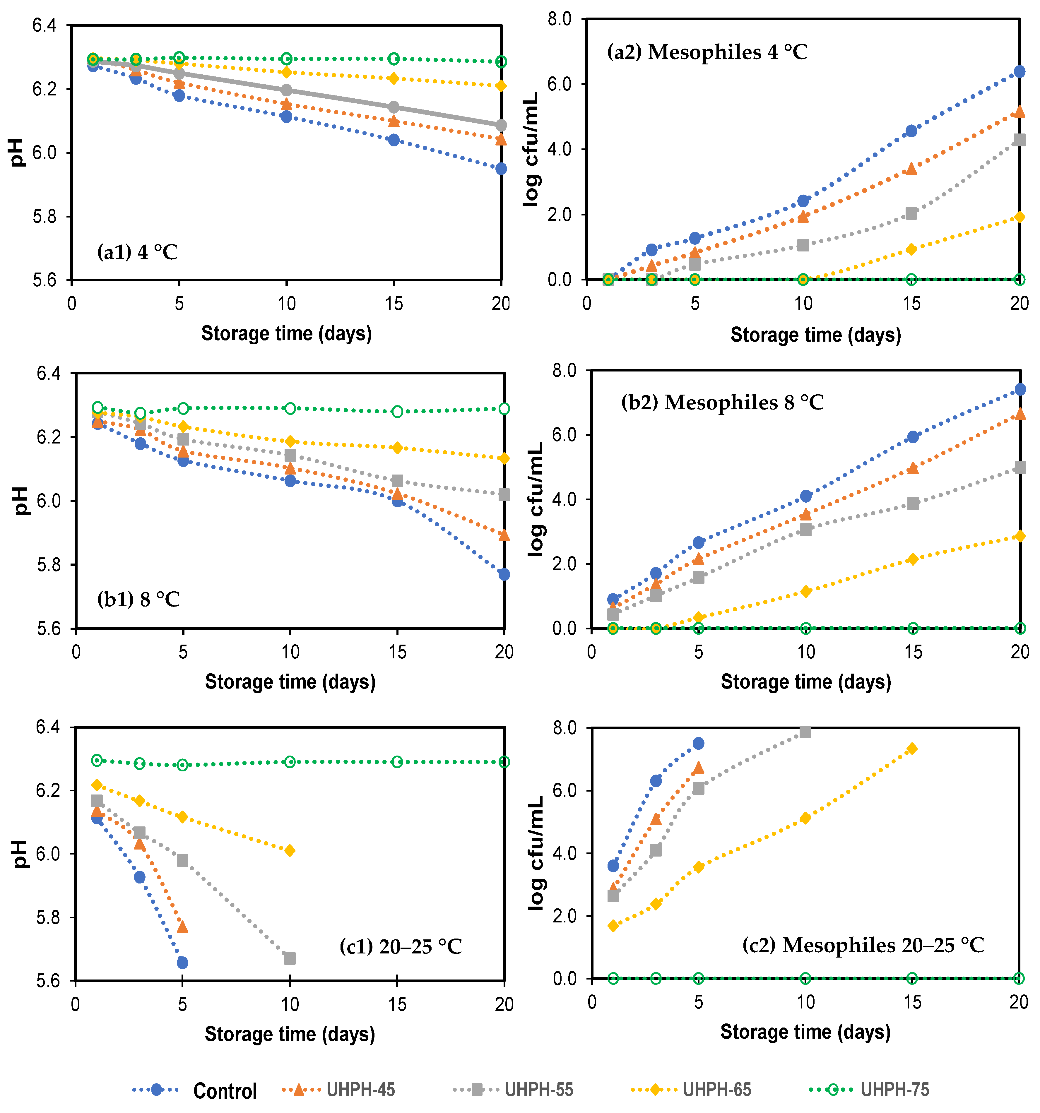
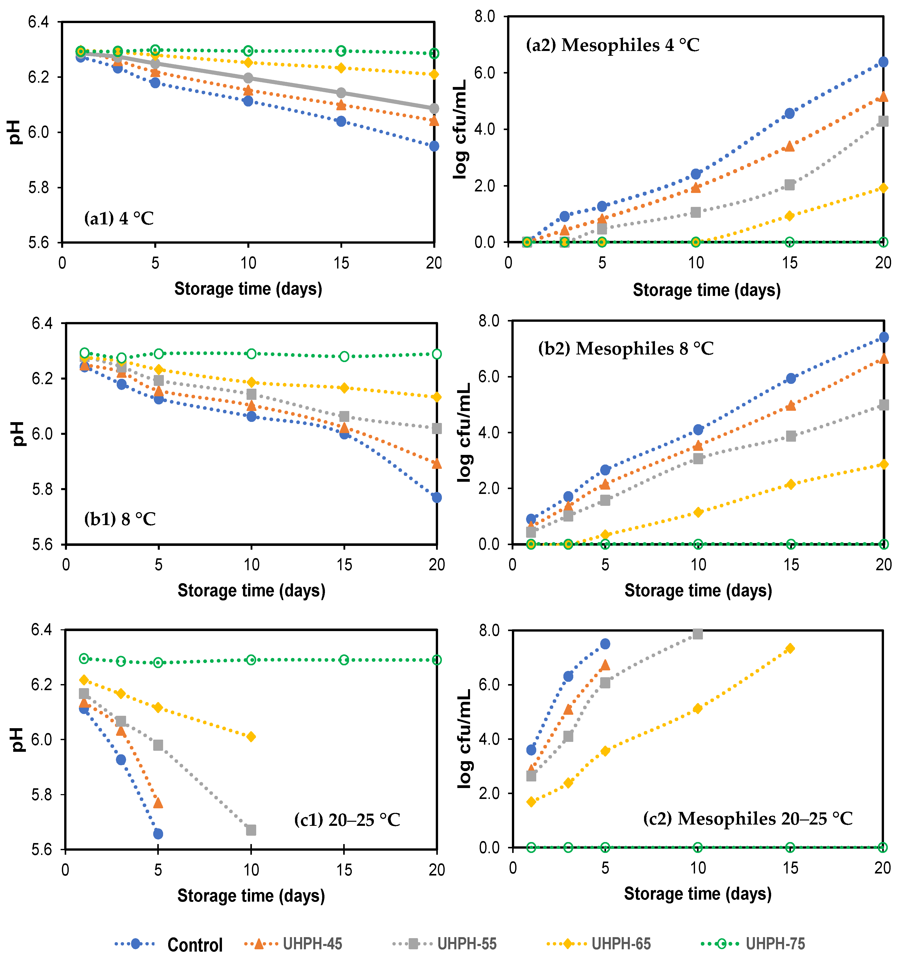
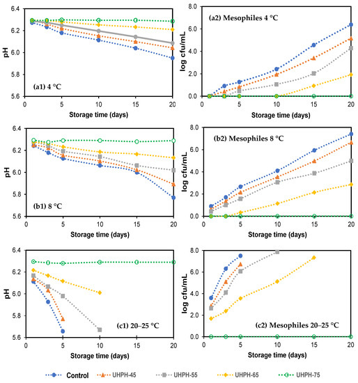
3.2. Effect of UHPH on Microbiological Quality
3.3. Effect of UHPH on the Particle Size
3.4. Effect of UHPH on the Color and Sensorial Characteristics
3.5. Composition and Antioxidant Properties of Untreated and UHPH-75 Fish Broths
4. Conclusions
Supplementary Materials
Author Contributions
Funding
Institutional Review Board Statement
Informed Consent Statement
Data Availability Statement
Conflicts of Interest
References
- Adrah, K.; Tahergorabi, R. Ready-to-Eat Products Elaborated with Mechanically Separated Fish Meat from Waste Processing. In Sustainable Fish Production and Processing; Elsevier: Amsterdam, The Netherlands, 2022; pp. 227–257. [Google Scholar]
- Bombardelli, R.; Syperreck, M.; Sanches, E. Situação atual e perspectivas para o consumo, processamento e agregação de valor ao pescado. Arq. Ciênc. Vet. Zool. UNIPAR 2005, 8, 181–195. [Google Scholar]
- Mol, S. Preparation and the shelf-life assessment of ready-to-eat fish soup. Eur. Food Res. Technol. 2005, 220, 305–308. [Google Scholar] [CrossRef]
- Ruxton, C.H.S. The benefits of fish consumption. Nutr. Bull. 2011, 36, 6–19. [Google Scholar] [CrossRef]
- Dumay, E.; Chevalier-Lucia, D.; Picart-Palmade, L.; Benzaria, A.; Gràcia-Julià, A.; Blayo, C. Technological aspects and potential applications of (ultra) high-pressure homogenisation. Trends Food Sci. Technol. 2013, 31, 13–26. [Google Scholar] [CrossRef]
- Amador Espejo, G.G.; Hernández-Herrero, M.M.; Juan, B.; Trujillo, A.J. Inactivation of Bacillus spores inoculated in milk by Ultra High Pressure Homogenization. Food Microbiol. 2014, 44, 204–210. [Google Scholar] [CrossRef]
- Georget, E.; Miller, B.; Aganovic, K.; Callanan, M.; Heinz, V.; Mathys, A. Bacterial spore inactivation by ultra-high pressure homogenization. Innov. Food Sci. Emerg. Technol. 2014, 26, 116–123. [Google Scholar] [CrossRef]
- Roig-Sagués, A.X.; Asto, E.; Engers, I.; Hernández-Herrero, M.M. Improving the efficiency of ultra-high pressure homogenization treatments to inactivate spores of Alicyclobacillus spp. in orange juice controlling the inlet temperature. LWT—Food Sci. Technol. 2015, 63, 866–871. [Google Scholar] [CrossRef]
- Codina-Torrella, I.; Guamis, B.; Ferragut, V.; Trujillo, A.J. Potential application of ultra-high pressure homogenization in the physico-chemical stabilization of tiger nuts’ milk beverage. Innov. Food Sci. Emerg. Technol. 2017, 40, 42–51. [Google Scholar] [CrossRef]
- Poliseli-Scopel, F.H.; Hernández-Herrero, M.; Guamis, B.; Ferragut, V. Comparison of ultra high pressure homogenization and conventional thermal treatments on the microbiological, physical and chemical quality of soymilk. LWT—Food Sci. Technol. 2012, 46, 42–48. [Google Scholar] [CrossRef]
- Valencia-Flores, D.C.; Hernández-Herrero, M.; Guamis, B.; Ferragut, V. Comparing the Effects of Ultra-High-Pressure Homogenization and Conventional Thermal Treatments on the Microbiological, Physical, and Chemical Quality of Almond Beverages. J. Food Sci. 2013, 78, E199–E205. [Google Scholar] [CrossRef]
- Suárez-Jacobo, Á.; Gervilla, R.; Guamis, B.; Roig-Sagués, A.X.; Saldo, J. Effect of UHPH on indigenous microbiota of apple juice. Int. J. Food Microbiol. 2010, 136, 261–267. [Google Scholar] [CrossRef]
- Suárez-Jacobo, Á.; Saldo, J.; Rüfer, C.E.; Guamis, B.; Roig-Sagués, A.X.; Gervilla, R. Aseptically packaged UHPH-treated apple juice: Safety and quality parameters during storage. J. Food Eng. 2012, 109, 291–300. [Google Scholar] [CrossRef]
- Pereda, J.; Ferragut, V.; Quevedo, J.M.; Guamis, B.; Trujillo, A.J. Effects of Ultra-High Pressure Homogenization on Microbial and Physicochemical Shelf Life of Milk. J. Dairy Sci. 2007, 90, 1081–1093. [Google Scholar] [CrossRef]
- Velázquez-Estrada, R.; Hernández-Herrero, M.; Guamis-López, B.; Roig-Saguès, A. Influence of ultra-high pressure homogenisation on physicochemical and sensorial properties of orange juice in comparison with conventional thermal processing. Int. J. Food Sci. Technol. 2019, 54, 1858–1864. [Google Scholar] [CrossRef]
- Velázquez-Estrada, R.M.; Hernández-Herrero, M.M.; Guamis-López, B.; Roig-Sagués, A.X. Impact of ultra high pressure homogenization on pectin methylesterase activity and microbial characteristics of orange juice: A comparative study against conventional heat pasteurization. Innov. Food Sci. Emerg. Technol. 2012, 13, 100–106. [Google Scholar] [CrossRef]
- Ferragut, V.; Hernández-Herrero, M.; Veciana-Nogués, M.T.; Borras-Suarez, M.; González-Linares, J.; Vidal-Carou, M.C.; Guamis, B. Ultra-high-pressure homogenization (UHPH) system for producing high-quality vegetable-based beverages: Physicochemical, microbiological, nutritional and toxicological characteristics. J. Sci. Food Agric. 2015, 95, 953–961. [Google Scholar] [CrossRef]
- Codina-Torrella, I.; Guamis, B.; Zamora, A.; Quevedo, J.M.; Trujillo, A.J. Microbiological stabilization of tiger nuts’ milk beverage using ultra-high pressure homogenization. A preliminary study on microbial shelf-life extension. Food Microbiol. 2018, 69, 143–150. [Google Scholar] [CrossRef]
- Institut Català de la Cuina. Corpus del Patrimoni Culinari Català; RBA-La Magrana: Barcelona, Spain, 2016; ISBN 9788482648156. [Google Scholar]
- AENOR UNE 87017:1992; Método para Establecer el Perfil Olfato-gustativo. Análisis Sensorial. AENOR (Asociación Española de Normalización y Certificación): Madrid, Spain, 2010; pp. 91–98, ISBN 978-84-8143-705-8.
- AENOR UNE-ISO 8587:2010; Metodología de Ordenación. Análisis Sensorial. AENOR (Asociación Española de Normalización y Certificación): Madrid, Spain, 2010; pp. 239–263, ISBN 978-84-8143-705-8.
- AENOR UNE-EN ISO 4120:2008; Prueba Triangular. Análisis Sensorial. AENOR (Asociación Española de Normalización y Certificación): Madrid, Spain, 2010; pp. 121–141.
- Horwitz, W.; Latimer, G.W., Jr. Official Methods of Analysis of AOAC International; AOAC International: Gaithersburg, MD, USA, 2010; Volume 18, ISBN 0-935584-80-3. [Google Scholar]
- Ozgen, M.; Reese, R.N.; Tulio, A.Z.; Scheerens, J.C.; Miller, A.R. Modified 2,2-Azino-bis-3-ethylbenzothiazoline-6-sulfonic Acid (ABTS) Method to Measure Antioxidant Capacity of Selected Small Fruits and Comparison to Ferric Reducing Antioxidant Power (FRAP) and 2,2‘-Diphenyl-1-picrylhydrazyl (DPPH) Methods. J. Agric. Food Chem. 2006, 54, 1151–1157. [Google Scholar] [CrossRef]
- Velioglu, Y.S.; Mazza, G.; Gao, L.; Oomah, B.D. Antioxidant Activity and Total Phenolics in Selected Fruits, Vegetables, and Grain Products. J. Agric. Food Chem. 1998, 46, 4113–4117. [Google Scholar] [CrossRef]
- Van den Berg, R. The predictive value of the antioxidant capacity of structurally related flavonoids using the Trolox equivalent antioxidant capacity (TEAC) assay. Food Chem. 2000, 70, 391–395. [Google Scholar] [CrossRef]
- Benzie, I.F.F.; Strain, J.J. The Ferric Reducing Ability of Plasma (FRAP) as a Measure of “Antioxidant Power”: The FRAP Assay. Anal. Biochem. 1996, 239, 70–76. [Google Scholar] [CrossRef] [PubMed]
- Velázquez-Estrada, R.M.; Hernández-Herrero, M.M.; Rüfer, C.E.; Guamis-López, B.; Roig-Sagués, A.X. Influence of ultra high pressure homogenization processing on bioactive compounds and antioxidant activity of orange juice. Innov. Food Sci. Emerg. Technol. 2013, 18, 89–94. [Google Scholar] [CrossRef]
- Zhang, J.; Yao, Y.; Ye, X.; Fang, Z.; Chen, J.; Wu, D.; Liu, D.; Hu, Y. Effect of cooking temperatures on protein hydrolysates and sensory quality in crucian carp (Carassius auratus) soup. J. Food Sci. Technol. 2013, 50, 542–548. [Google Scholar] [CrossRef] [PubMed]
- Shah, A.K.M.A.; Ishihara, T.; Ogasawara, M.; Kurihara, H.; Baba, N.; Takahashi, K. Mechanism Involved in the Formation of Characteristic Taste and Flavor during the Production of Dried Herring (Clupea pallasii) Fillet. Food Sci. Technol. Res. 2010, 16, 201–208. [Google Scholar] [CrossRef]
- Ministerio de la Presidencia Real Decreto 3484/2000, de 29 de diciembre, por el que se establecen las normas de higiene para la elaboración, distribución y comercio de comidas preparadas. BOE 2001, 11, 1435–1441. Available online: https://www.boe.es/buscar/act.php?id=BOE-A-2001-809 (accessed on 1 November 2022).
- Gram, L. Compendium of the Microbiological Spoilage of Foods and Beverages; Sperber, W.H., Doyle, M.P., Eds.; Springer: New York, NY, USA, 2009; ISBN 978-1-4419-0825-4. [Google Scholar]
- Cruz, N.; Capellas, M.; Hernández, M.; Trujillo, A.J.; Guamis, B.; Ferragut, V. Ultra high pressure homogenization of soymilk: Microbiological, physicochemical and microstructural characteristics. Food Res. Int. 2007, 40, 725–732. [Google Scholar] [CrossRef]
- Amador-Espejo, G.G.; Suàrez-Berencia, A.; Juan, B.; Bárcenas, M.E.; Trujillo, A.J. Effect of moderate inlet temperatures in ultra-high-pressure homogenization treatments on physicochemical and sensory characteristics of milk. J. Dairy Sci. 2014, 97, 659–671. [Google Scholar] [CrossRef]
- Francis, F.J.; Clydesdale, F.M. Food Colorimetry. Theory and Applications; The Avi Publishing Company, Inc.: Westport, CT, USA, 1975. [Google Scholar]
- USDA FoodData Central: Fish Broth, Standard Reference Legacy Release (171606) NDB Number 6963. Available online: https://fdc.nal.usda.gov/ (accessed on 26 October 2022).
- Soriguer, F.; Serna, S.; Valverde, E.; Hernando, J.; Martín-Reyes, A.; Soriguer, M.; Pareja, A.; Tinahones, F.; Esteva, I. Lipid, protein, and calorie content of different atlantic and mediterranean fish, shellfish, and molluscs commonly eaten in the south of Spain. Eur. J. Epidemiol. 1997, 13, 451–461. [Google Scholar] [CrossRef]
- Kocatepe, D.; Turan, H. Proximate and Fatty Acid Composition of Some Commercially Important Fish Species from the Sinop Region of the Black Sea. Lipids 2012, 47, 635–641. [Google Scholar] [CrossRef]
- Ismail, A.; Marjan, Z.; Foong, C. Total antioxidant activity and phenolic content in selected vegetables. Food Chem. 2004, 87, 581–586. [Google Scholar] [CrossRef]
- Fu, L.; Xu, B.-T.; Xu, X.-R.; Gan, R.-Y.; Zhang, Y.; Xia, E.-Q.; Li, H.-B. Antioxidant capacities and total phenolic contents of 62 fruits. Food Chem. 2011, 129, 345–350. [Google Scholar] [CrossRef]
- Jooyandeh, H.; Aberoumand, A. A Review on Natural Antioxidants in Fish: Stabilizing Effect on Sensitive Nutrients. Middle East J. Sci. Res. 2011, 7, 170–174. [Google Scholar] [CrossRef]
- Kalegeropoulus, N.; Chiou, A. Antioxidants. In Handbook of Seafood Quality, Safety, and Health Applications; Alasalvar, C., Miyashita, K., Shahidi, F., Wanasundara, U., Eds.; Blackwell Pub: Ames, IA, USA, 2010; pp. 310–326. ISBN 9781405180702. [Google Scholar]
- Petillo, D.; Hultin, H.O.; Krzynowek, J.; Autio, W.R. Kinetics of Antioxidant Loss in Mackerel Light and Dark Muscle. J. Agric. Food Chem. 1998, 46, 4128–4137. [Google Scholar] [CrossRef]
- Venugopal, V.; Gopakumar, K. Shellfish: Nutritive Value, Health Benefits, and Consumer Safety. Compr. Rev. Food Sci. Food Saf. 2017, 16, 1219–1242. [Google Scholar] [CrossRef]
- Yanar, Y.; Yanar, M.; Buyukcapar, H.M. Seasonal Changes in Total Carotenoid Contents of Some Fish and Crustaceans Inhabiting the Eastern Mediterranean Sea. J. Anim. Vet. Adv. 2012, 11, 4501–4505. [Google Scholar] [CrossRef]
- Makris, D.P.; Rossiter, J.T. Domestic Processing of Onion Bulbs (Allium cepa) and Asparagus Spears (Asparagus officinalis): Effect on Flavonol Content and Antioxidant Status. J. Agric. Food Chem. 2001, 49, 3216–3222. [Google Scholar] [CrossRef]
- Turkmen, N.; Sari, F.; Velioglu, Y. The effect of cooking methods on total phenolics and antioxidant activity of selected green vegetables. Food Chem. 2005, 93, 713–718. [Google Scholar] [CrossRef]
- Bilge Ertekin, F.; Nazli, K.; Nilgun, H.B.; Atif, C.S.; Zeynep, B.; Guzel, S. Antioxidant activity and phenolic acid content of selected vegetable broths. Czech J. Food Sci. 2017, 35, 469–475. [Google Scholar] [CrossRef]
- Redondo-Cuevas, L.; Castellano, G.; Raikos, V. Natural antioxidants from herbs and spices improve the oxidative stability and frying performance of vegetable oils. Int. J. Food Sci. Technol. 2017, 52, 2422–2428. [Google Scholar] [CrossRef]
- Faller, A.L.K.; Fialho, E. The antioxidant capacity and polyphenol content of organic and conventional retail vegetables after domestic cooking. Food Res. Int. 2009, 42, 210–215. [Google Scholar] [CrossRef]
- Pérez-Jiménez, J.; Neveu, V.; Vos, F.; Scalbert, A. Systematic Analysis of the Content of 502 Polyphenols in 452 Foods and Beverages: An Application of the Phenol-Explorer Database. J. Agric. Food Chem. 2010, 58, 4959–4969. [Google Scholar] [CrossRef] [PubMed]


| Ingredients | Quantity (g/L) of Ingredients | ||||||||||||
|---|---|---|---|---|---|---|---|---|---|---|---|---|---|
| 1 | 2 | 3 | 4 | 5 | 6 | 7 | 8 | 9 | 10 | 11 | 12 | 13 | |
| Salt | 10 | 5.3 | 5.3 | 5.3 | 5.3 | 5.3 | 5.3 | 5.3 | 5.3 | 5.3 | 5.3 | 5.3 | 5.3 |
| Sunflower oil | 24 | 12 | 12 | 12 | 12 | 12 | 12 | 12 | 12 | 12 | 12 | 12 | 12 |
| Monkfish heads | 750 | 750 | 750 | 750 | 750 | 750 | 750 | 750 | 375 | 375 | 250 | 300 | 225 |
| Rock fish | 0 | 0 | 0 | 0 | 0 | 0 | 0 | 0 | 0 | 375 | 250 | 300 | 225 |
| Hake | 0 | 0 | 0 | 0 | 0 | 0 | 0 | 0 | 375 | 0 | 250 | 0 | 0 |
| Onion | 30 | 40 | 55 | 80.3 | 30 | 30 | 30 | 55 | 55 | 55 | 55 | 55 | 55 |
| Carrot | 25 | 49 | 60 | 64.5 | 25 | 25 | 25 | 60 | 60 | 60 | 60 | 60 | 60 |
| Leek | 15 | 13 | 15.8 | 15.5 | 15 | 15 | 15 | 15.8 | 15.8 | 15.8 | 15.8 | 15.8 | 15.8 |
| Lemon | 10 | 8 | 9 | 8.1 | 10 | 10 | 10 | 9 | 9 | 9 | 9 | 9 | 9 |
| Celery | 7 | 7 | 10 | 7 | 7 | 7 | 7 | 10 | 10 | 10 | 10 | 10 | 10 |
| Parsley | 5 | 5 | 6.2 | 5 | 5 | 5 | 5 | 6.2 | 6.2 | 6.2 | 6.2 | 6.2 | 6.2 |
| Oregano | 0.3 | 0.3 | 0.3 | 0.3 | 0.4 | 0.5 | 0.6 | 0.5 | 0.5 | 0.5 | 0.5 | 0.5 | 0.5 |
| Peppercorns | 2 | 2 | 2 | 2 | 0.9 | 1.3 | 1.4 | 1.3 | 1.3 | 1.3 | 1.3 | 1.3 | 1.3 |
| Treatments | d4,3 | d3,2 | D50 | D90 |
|---|---|---|---|---|
| Control | 5.85 ± 0.17 d | 1.17 ± 0.20 b | 3.67 ± 0.11 b | 14.85 ± 1.53 b |
| UHPH-45 | 1.89 ± 0.13 b | 0.65 ± 0.08 a | 1.35 ± 0.24 a | 3.70 a ± 0.82 a |
| UHPH-55 | 1.62 ± 0.07 a | 0.53 ± 0.06 a | 1.04 ± 0.37 a | 3.10 ± 0.62 a |
| UHPH-65 | 1.96 ± 0.04 bc | 1.23 ± 0.01 b | 1.45 ± 0.12 a | 3.59 ± 0.51 a |
| UHPH-75 | 2.10 ± 0.08 c | 1.17 ± 0.03 b | 1.35 ± 0.14 a | 3.49 ± 0.20 a |
| Treatments | L | a* | b* | ∆E* 1 |
|---|---|---|---|---|
| Control | 48.43 ± 0.27 a | 1.28 ± 0.23 b | 15.25 ± 0.23 d | - |
| UHPH-45 | 48.86 ± 0.57 a | −0.40 ± 0.03 a | 14.89 ± 0.11 cd | 1.76 ± 0.17 a |
| UHPH-55 | 49.44 ± 0.54 ab | −0.23 ± 0.05 a | 14.47 ± 0.10 bc | 1.93 ± 0.28 ba |
| UHPH-65 | 50.20 ± 0.56 bc | −0.24 ± 0.03 a | 14.27 ± 0.12 b | 2.48 ± 0.39 b |
| UHPH-75 | 51.09 ± 0.15 c | −0.16 a ± 0.05 a | 13.43 ± 0.12 a | 3.45 0.11 c |
| Fish Broth 1 | pH | Protein (g/100 mL) | Lípids (g/100 mL) | Ash (g/100 mL) | Dry Matter (g/100 mL) | FRAP 2 (mM) | TEAC 3 (mM) | Phenolic Compounds (mg EAG/L) 4 |
|---|---|---|---|---|---|---|---|---|
| MH (750 g) | 6.20 ± 0.02 a | 1.08 ± 0.06 ab | 0.86 ± 0.09 a | 0.92 ± 0.23 a | 3.19 ± 0.59 b | 1.33 ± 0.06 ab | 2.52 ± 0.18 bc | 630.06 ± 16.48 b |
| MH-HP (750 g) | 6.26 ± 0.01 c | 2.14 ± 0.52 de | 1.06 ± 0.10 a | 1.71 ± 0.21 d | 5.61 ± 0.14 f | 1.09 ± 0.03 a | 1.96 ± 0.10 a | 384.34 ± 32.15 a |
| MH-HP-RF (750 g) | 6.25 ± 0.01 bc | 1.78 ± 0.52 d | 1.63 ± 0.84 b | 1.45 ± 0.11 c | 5.34 ± 0.10 e | 1.30 ± 0.23 ab | 2.20 ± 0.07 ab | 589.52 ± 24.23 b |
| MH-RF (750 g) | 6.22 ± 0.00 ab | 1.57 ± 0.36 c | 2.19 ± 0.83 d | 1.31 ± 0.04 bc | 5.12 ± 0.45 e | 1.62 ± 0.1 b | 2.84 ± 0.11 c | 817.93 ± 09.31 d |
| MH-RF (600 g) | 6.25 ± 0.01 bc | 1.29 ± 0.26 b | 1.97 ± 0.44 cd | 1.26 ± 0.12 bc | 4.75 ± 0.56 d | 1.34 ± 0.25 ab | 2.83 ± 0.16 c | 755.52 ± 10.38 c |
| MM-RF (450 g) | 6.23 ± 0.02 bc | 1.02 ± 0.16 bb | 1.11± 0.23 a | 1.05 ± 0.06 a | 2.89 a ± 0.44 ab | 1.28 ± 0.09 ab | 2.75 ± 0.26 c | 635.35 ± 21.35 b |
| UHPH-75 fish broths | 6.13 ± 0.12 abc | 0.97 ± 0.18 ab | 1.04 ± 0.24 a | 0.93 ± 0.04 a | 2.75 ± 0.38 ab | 0.83 ±0.35 a | 3.06 ±0.22 c | 602.50 5 ± 97.3 b |
Publisher’s Note: MDPI stays neutral with regard to jurisdictional claims in published maps and institutional affiliations. |
© 2022 by the authors. Licensee MDPI, Basel, Switzerland. This article is an open access article distributed under the terms and conditions of the Creative Commons Attribution (CC BY) license (https://creativecommons.org/licenses/by/4.0/).
Share and Cite
Moisés, S.G.; Guamis, B.; Roig-Sagués, A.X.; Codina-Torrella, I.; Hernández-Herrero, M.M. Effect of Ultra-High-Pressure Homogenization Processing on the Microbiological, Physicochemical, and Sensory Characteristics of Fish Broth. Foods 2022, 11, 3969. https://doi.org/10.3390/foods11243969
Moisés SG, Guamis B, Roig-Sagués AX, Codina-Torrella I, Hernández-Herrero MM. Effect of Ultra-High-Pressure Homogenization Processing on the Microbiological, Physicochemical, and Sensory Characteristics of Fish Broth. Foods. 2022; 11(24):3969. https://doi.org/10.3390/foods11243969
Chicago/Turabian StyleMoisés, Sonia Genuina, Buenaventura Guamis, Artur Xavier Roig-Sagués, Idoia Codina-Torrella, and Maria Manuela Hernández-Herrero. 2022. "Effect of Ultra-High-Pressure Homogenization Processing on the Microbiological, Physicochemical, and Sensory Characteristics of Fish Broth" Foods 11, no. 24: 3969. https://doi.org/10.3390/foods11243969
APA StyleMoisés, S. G., Guamis, B., Roig-Sagués, A. X., Codina-Torrella, I., & Hernández-Herrero, M. M. (2022). Effect of Ultra-High-Pressure Homogenization Processing on the Microbiological, Physicochemical, and Sensory Characteristics of Fish Broth. Foods, 11(24), 3969. https://doi.org/10.3390/foods11243969

