Storage Time as an Index for Varietal Prediction of Mango Ripening: A Systemic Approach Validated on Five Senegalese Varieties
Abstract
1. Introduction
2. Materials and Methods
2.1. Plant Material
2.2. Sampling
2.2.1. Batch for Varietal Characterization and Model Calibration (Campaign 1, 2019 Season)
2.2.2. Batch for Model Validation (Campaign 2, 2020 Season)
2.3. Mango Caliber at Harvest
2.4. Ripening Storage
2.5. Monitoring of Physicochemical Parameters during Ripening
2.6. Monitoring of Weight Losses during Ripening Storage
2.7. Statistical Analyses
2.8. Concept of Ripening Prediction
2.8.1. Intra-Varietal Prediction
2.8.2. Multi-Varietal Prediction: Definition of Varietal Parameters as Varietal Variables
3. Results and Discussion
3.1. Caliber Parameters and Shape of Mangoes at Green-Mature Stage
3.2. Weight Losses during Mango Ripening Storage
3.3. Physicochemical Parameters of Mango Pulp at Harvest and Ripening Storage
3.3.1. Dry Matter Contents Indicated Physiological Maturity
3.3.2. Soluble Solids Content (SSC), Acidity (AT, pH) and Color (Hue) of Mango Pulp at Harvest (Mature-Green) Stage
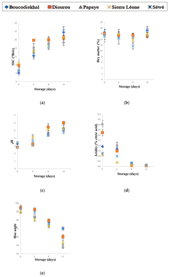
3.3.3. Soluble Solids Content (SSC), Acidity (AT, pH) and Color (Hue) of Mango Pulp during Ripening Storage
3.4. Ripening Prediction
3.4.1. Intra-Varietal Predictions of Mango Ripening
3.4.2. Multi-Varietal Prediction of Mango Ripening
4. Conclusions
Author Contributions
Funding
Institutional Review Board Statement
Informed Consent Statement
Data Availability Statement
Acknowledgments
Conflicts of Interest
References
- Sarron, J. Estimation Spétialisée des Rendements d’une Culture Pérenne en Afrique de l’Ouest: Le cas du Manguier au Sénégal; Université de Montpellier/Montpellier Supagro: Montpellier, France, 2019. [Google Scholar]
- Siddiq, M.; Brecht, J.K.; Sidhu, J.S. Handbook of Mango Fruit: Production, Postharvest Science, Processing Technology and Nutrition; John Wiley & Sons: Hoboken, NJ, USA, 2017; ISBN 978-1-119-01435-5. [Google Scholar]
- FAOSTAT. FOASTAT Data—Crops and Livestock Products—Production Quantity. Available online: https://www.fao.org/faostat/fr/#data/QCL (accessed on 12 November 2021).
- Cirad. Statistiques Mondiales Mangue 2019–2020. Fruitrop Online 2021, 274, 78–79. [Google Scholar]
- Ndiaye, O.; Diatta, U.; Nibaly, M.; Djiba, S.; Badji, K.; Ndiaye, S. Caractérisation des Vergers de Manguiers (Mangifera indica L.) en Basse Casamance, Sénégal. Eur. Sci. J. ESJ 2020, 16, 338. [Google Scholar] [CrossRef]
- Landry, J.P.; Flament, S.; Sané, P.O. Analyse Filière de la mangue en Casamance Naturelle Région de Ziguinchor. CARE SENEGAL, Projet Accompagnement Social et Communautaire (PASCO publishing) Ziguinchor, Senegal, janvier 2009. Available online: https://rivieresdusud.uasz.sn/xmlui/bitstream/handle/123456789/757/PPDC-ZIG_0053.pdf?sequence=1&isAllowed=y (accessed on 25 September 2021).
- Faye, W.C.; Diouf, B.N. Projet D’amélioration de la Compétitivité de la Mangue Sénégalaise: Réalisation de L’étude Baseline ou Situation de Référence (Rapport Final); Cadre Intégré Renforcé: Dakar, Senegal, 2017. [Google Scholar]
- Ternoy, J.; Poublanc, C.; Diop, M.; Nugawela, P. La Chaine de Valeurs Mangue au Senegal:analyse et Cadre Strategique D’initiatives Pour la Croissance de la Filière. 2006. Available online: http://www.value-chains.org/dyn/bds/docs/601/AnalyseMangueSenegal.pdf (accessed on 22 September 2021).
- Ndoye, S.F.; Fraisse, D.; Akendengué, B.; Dioum, M.D.; Gueye, R.S.; Sall, C.; Seck, I.; Felgines, C.; Seck, M.; Senejoux, F. Antioxidant and antiglycation properties of two mango (Mangifera indica L.) cultivars from Senegal. Asian Pac. J. Trop. Biomed. 2018, 8, 137. [Google Scholar]
- Ba, I.; Fofana, M.; Diouf, M.; Diop, M. Study of the Biochemical Composition of Senegalese Mango Varieties Intended for Export and Local Consumation. J. Biosci. Med. 2019, 7, 110–120. [Google Scholar] [CrossRef]
- Wang, Z.; Walsh, K.B.; Verma, B. On-Tree Mango Fruit Size Estimation Using RGB-D Images. Sensors 2017, 17, 2738. [Google Scholar] [CrossRef]
- Spreer, W.; Müller, J. Estimating the mass of mango fruit (Mangifera indica, cv. Chok Anan) from its geometric dimensions by optical measurement. Comput. Electron. Agric. 2011, 75, 125–131. [Google Scholar] [CrossRef]
- Esguerra, E.B.; Rolle, R. Post-Harvest Management of Mango for Quality and Safety Assurance. Guidance for Horticultural Supply Chain Stakeholders. Available online: https://cuisinedocbox.com/Vegan/81576085-Post-harvest-management-of-mango-for-quality-and-safety-assurance-guidance-for-horticultural-supply-chain-stakeholders.html (accessed on 3 December 2021).
- Matheyambath, A.C.; Subramanian, J.; Paliyath, G. Mangoes. In Encyclopedia of Food and Health; Caballero, B., Finglas, P.M., Toldrá, F., Eds.; Academic Press: Oxford, UK, 2016; pp. 641–645. ISBN 978-0-12-384953-3. [Google Scholar]
- Paul, V.; Pandey, R. Role of internal atmosphere on fruit ripening and storability—A review. J. Food Sci. Technol. 2014, 51, 1223–1250. [Google Scholar] [CrossRef]
- Díaz-Pérez, J.C.; Muy-Rangel, M.D.; Mascorro, A.G. Fruit size and stage of ripeness affect postharvest water loss in bell pepper fruit (Capsicum annuum L.). J. Sci. Food Agric. 2007, 87, 68–73. [Google Scholar] [CrossRef]
- Paul, V.; Pandey, R.; Malik, S.K. Varietal variations in rate of ripening and respiration of mango (Mangifera indica L.) fruits: Anatomical substantiation. Plant Physiol. Rep. 2019, 24, 340–350. [Google Scholar] [CrossRef]
- Mendoza, F.; Verboven, P.; Mebatsion, H.K.; Kerckhofs, G.; Wevers, M.; Nicolaï, B. Three-dimensional pore space quantification of apple tissue using X-ray computed microtomography. Planta 2007, 226, 559–570. [Google Scholar] [CrossRef]
- Díaz-Pérez, J.C. Chapter 8—Transpiration. In Postharvest Physiology and Biochemistry of Fruits and Vegetables; Yahia, E.M., Ed.; Woodhead Publishing: Cambridge, UK, 2019; pp. 157–173. ISBN 978-0-12-813278-4. [Google Scholar]
- Vásquez-Caicedo, A.L.; Sruamsiri, P.; Carle, R.; Neidhart, S. Accumulation of All-trans-β-carotene and Its 9-cis and 13-cis Stereoisomers during Postharvest Ripening of Nine Thai Mango Cultivars. J. Agric. Food Chem. 2005, 53, 4827–4835. [Google Scholar] [CrossRef] [PubMed]
- Kienzle, S.; Sruamsiri, P.; Carle, R.; Sirisakulwat, S.; Spreer, W.; Neidhart, S. Harvest maturity detection for ‘Nam Dokmai #4’ mango fruit (Mangifera indica L.) in consideration of long supply chains. Postharvest Biol. Technol. 2012, 72, 64–75. [Google Scholar]
- Blanes, C.; Cortés, V.; Ortiz, C.; Mellado, M.; Talens, P. Non-Destructive Assessment of Mango Firmness and Ripeness Using a Robotic Gripper. Food Bioprocess Technol. 2015, 8, 1914–1924. [Google Scholar] [CrossRef]
- Rungpichayapichet, P.; Mahayothee, B.; Nagle, M.; Khuwijitjaru, P.; Müller, J. Robust NIRS models for non-destructive prediction of postharvest fruit ripeness and quality in mango. Postharvest Biol. Technol. 2016, 111, 31–40. [Google Scholar] [CrossRef]
- Jha, S.N.; Chopra, S.; Kingsly, A.R.P. Modeling of color values for nondestructive evaluation of maturity of mango. J. Food Eng. 2007, 78, 22–26. [Google Scholar] [CrossRef]
- Joas, J.; Caro, Y.; Lechaudel, M. Comparison of postharvest changes in mango (cv Cogshall) using a Ripening class index (Rci) for different carbon supplies and harvest dates. Postharvest Biol. Technol. 2009, 54, 25–31. [Google Scholar] [CrossRef]
- Nambi, E.; Kulandasamy, T.; Manickavasagan, A.; Sultan, S. Comprehensive ripeness-index for prediction of ripening level in mangoes by multivariate modelling of ripening behaviour. Int. Agrophys. 2017, 31, 35–44. [Google Scholar] [CrossRef]
- Nambi, V.E.; Thangavel, K.; Jesudas, D.M. Scientific classification of ripening period and development of colour grade chart for Indian mangoes (Mangifera indica L.) using multivariate cluster analysis. Sci. Hortic. 2015, 193, 90–98. [Google Scholar] [CrossRef]
- Ndimanya, P.; Strebelle, J. Analyses et Propositions sur la Construction des Marché Locaux-Nationaux-Régionaux en Afrique—Analyse Complémentaire Bruxelle, Position des op dans la Filière Mangue en Afrique de L’ouest et au Senegal; Coopération Belge Publishing: Bruxelle, Belgium, 2013. [Google Scholar]
- Belmin, R. Le Système Sociotechnique Associé à la Mangue au Sénégal. 2017. Available online: https://agritrop.cirad.fr/592209/1/Pre%CC%81diagnostic%20Mangue%20Se%CC%81ne%CC%81gal%20V4.pdf (accessed on 15 October 2020).
- Tharanathan, R.N.; Yashoda, H.M.; Prabha, T.N. Mango (Mangifera indica L.), “The King of Fruits”—An Overview. Food Rev. Int. 2006, 22, 95–123. [Google Scholar] [CrossRef]
- Sun, D.-W. Comparison and Selection of EMC/ERH Isotherm Equations for Drying and Storage of Grain and Oilseed. Available online: https://www.google.com/search?q=Sun%2C+D.W.%2C+1999.+Comparison+and+selection+of+EMC%2FERH+isotherm+equations+for+rice.+J.+Stored+Prod.+Res.+35%2C+249%E2%80%93264.&rlz=1C1CHBD_frSN916SN916&oq=Sun%2C+D.W.%2C+1999.+Comparison+and+selection+of+EMC%2FERH+isotherm+equations+for+rice.+J.+Stored+Prod.+Res.+35%2C+249%E2%80%93264.&aqs=chrome..69i57.1425j0j15&sourceid=chrome&ie=UTF-8 (accessed on 8 January 2022).
- Addinsoft. Modèles Mixtes. Available online: https://www.xlstat.com/fr/solutions/fonctionnalites/modeles-mixtes (accessed on 9 January 2022).
- Addinsoft. XLSTAT|Statistical and Data Analysis Solution. 2019. Available online: https://www.xlstat.com/fr/ (accessed on 1 December 2019).
- Kabutey, A.; Hrabě, P.; Mizera, Č.; Herák, D. 3D Image Analysis of the Shapes and Dimensions of Several Tropical Fruits. Agron. Res. 2018, 16, 1383–1387. [Google Scholar] [CrossRef]
- Wang, Y.; Chen, Y. Fruit Morphological Measurement Based on Three-Dimensional Reconstruction. Agronomy 2020, 10, 455. [Google Scholar] [CrossRef]
- Rathore, H.A.; Masud, T.; Sammi, S.; Soomro, A.H. Effect of Storage on Physico-Chemical Composition and Sensory Properties of Mango (Mangifera indica L.) Variety Dosehari. Pak. J. Nutr. 2007, 6, 143–148. [Google Scholar]
- Doreyappa Gowda, I.N.; Huddar, A.G. Studies on ripening changes in Mango (Mangifera indica L.) fruits. Stud. Ripening Chang. Mango Mangifera Indica Fruits 2001, 38, 135–137. [Google Scholar]
- Shirazi, A.; Cameron, A.C. Measuring Transpiration Rates of Tomato and Other Detached Fruit. HortScience 1993, 28, 1035–1038. [Google Scholar] [CrossRef]
- Burton, W.G. Post-Harvest Physiology of Food Crops; Longman Group Ltd.: London, UK, 1982; pp. 270–310. [Google Scholar]
- An, J.-F.; Paull, R.E. Storage Temperature and Ethylene Influence on Ripening of Papaya Fruit. J. Am. Soc. Hortic. Sci. 1990, 115, 949–953. [Google Scholar] [CrossRef]
- Okoth, E.M.; Sila, D.N.; Onyango, C.A.; Owino, W.O.; Musembi, S.M.; Mathooko, F.M. Evaluation of Physical and Sensory Quality Attributes of Three Mango Varieties at Three Stages of Ripeness, Grown in Lower Eastern Province of Kenya-Part 1; Journal of Animal &Plant Sciences. Publishing: Nairobi, Kenya, 2014; Volume 17, pp. 2608–2618. [Google Scholar]
- Illeperuma, C.K.; Jayasuriya, P. Prolonged storage of ‘Karuthacolomban’ mango by modified atmosphere packaging at low temperature. J. Hortic. Sci. Biotechnol. 2002, 77, 153–157. [Google Scholar] [CrossRef]
- Nunes, C.N.; Emond, J.-P. Relationship between weight loss and visual quality of fruits and vegetables. Florida State Horticultural Society Publishing: Gainesville, GA, USA, 2007; Volume 120, pp. 235–245. [Google Scholar]
- Perez, K.; Mercado, J.; Soto-Valdez, H. Note. Effect of storage temperature on the shelf life of Hass avocado (Persea americana). Food Sci. Technol. Int. 2004, 10, 73–77. [Google Scholar] [CrossRef]
- Thomson, N.; Evert, R.F.; Kelman, A. Wound healing in whole potato tubers: A cytochemical, fluorescence, and ultrastructural analysis of cut and bruise wounds. Can. J. Bot. J. Can. Bot. 1995, 73, 1436–1450, Erratum in 1995, 73, 2028–2029. [Google Scholar] [CrossRef]
- Léchaudel, M.; Lopez-Lauri, F.; Vidal, V.; Sallanon, H.; Joas, J. Response of the physiological parameters of mango fruit (transpiration, water relations and antioxidant system) to its light and temperature environment. J. Plant Physiol. 2013, 170, 567–576. [Google Scholar] [CrossRef]
- Maguire, K.M.; Banks, N.H.; Opara, L.U. Factors affecting weight loss of apples. Hortic. Rev. 2001, 25, 197–234. [Google Scholar]
- Gianguzzi, G.; Farina, V.; Inglese, P.; Rodrigo, M.G.L. Effect of Harvest Date on Mango (Mangifera indica L. Cultivar Osteen) Fruit’s Qualitative Development, Shelf Life and Consumer Acceptance. Agronomy 2021, 11, 811. [Google Scholar] [CrossRef]
- Owens, G.; Moore, C. Mango Dry Matter Instructions. Infromation Sheet, Northen territory government Publishing, Darwin, Australia; 2013; pp. 1–2. Available online: https://nt.gov.au/__data/assets/pdf_file/0004/267709/mango-dry-matter-instructions-information-sheet.pdf (accessed on 22 September 2021).
- Saranwong, S.; Sornsrivichai, J.; Kawano, S. Prediction of ripe-stage eating quality of mango fruit from its harvest quality measured nondestructively by near infrared spectroscopy. Postharvest Biol. Technol. 2004, 31, 137–145. [Google Scholar] [CrossRef]
- Léchaudel, M.; Joas, J. Quality and maturation of mango fruits of cv. Cogshall in relation to harvest date and carbon supply. Aust. J. Agric. Res. 2006, 57, 419–426. [Google Scholar] [CrossRef]
- Scott, T. Using Dry Matter as a Measure of Maturity & Quality in Mangos. 2019. Available online: https://felixinstruments.com/blog/using-dry-matter-as-a-measure-of-maturity-quality-in-mangos/ (accessed on 22 September 2021).
- Vallarino, J.G.; Osorio, S. Chapter 10—Organic Acids. In Postharvest Physiology and Biochemistry of Fruits and Vegetables; Yahia, E.M., Ed.; Woodhead Publishing: Cambridge, UK, 2019; pp. 207–224. ISBN 978-0-12-813278-4. [Google Scholar]
- Agravante, J.U.; Matsui, T.; Kitagawa, H. Starch breakdown and changes in amylase activity during ripening of ethylene- and ethanol-treated bananas. Acta Hortic. 1990, 269, 133–140. [Google Scholar] [CrossRef]
- Chang, W.H.; Hwang, Y.J. Effect of ethylene treatment on the ripening, polyphenoloxidase activity and water-soluble tannin content of taiwan northern banana at different maturity stages and the stability of banana polyphenoloxidase. Acta Hortic. 1990, 275, 603–610. [Google Scholar] [CrossRef]
- Vélez-Rivera, N.; Blasco, J.; Chanona-Pérez, J.; Calderón-Domínguez, G.; de Jesús Perea-Flores, M.; Arzate-Vázquez, I.; Cubero, S.; Farrera-Rebollo, R. Computer Vision System Applied to Classification of “Manila” Mangoes During Ripening Process. Food Bioprocess Technol. 2014, 7, 1183–1194. [Google Scholar] [CrossRef]
- Maldonado-Celis, M.E.; Yahia, E.M.; Bedoya, R.; Landázuri, P.; Loango, N.; Aguillón, J.; Restrepo, B.; Guerrero Ospina, J.C. Chemical Composition of Mango (Mangifera indica L.) Fruit: Nutritional and Phytochemical Compounds. Front. Plant Sci. 2019, 10, 1073. [Google Scholar] [CrossRef]
- Wiley, R.C. Preservation Methods for Minimally Processed Refrigerated Fruits and Vegetables. In Minimally Processed Refrigerated Fruits & Vegetables; Wiley, R.C., Ed.; Springer: Boston, MA, USA, 1994; pp. 66–134. ISBN 978-1-4615-2393-2. [Google Scholar]
- Vásquez-Caicedo, A.L.; Neidhart, S.; Carle, R. Postharvest ripening behavior of nine thai mango cultivars and their suitability for industrial applications. Acta Hortic. 2004, 645, 617–625. [Google Scholar] [CrossRef]
- Noiwan, D.; Suppakul, P.; Joomwong, A.; Uthaibutra, J.; Rachtanapun, P. Kinetics of mango fruits (Mangifera indica cv.‘Nam Dok Mai Si Thong’) quality changes during storage at various temperatures. J. Agric. Sci. 2017, 9, 199–212. [Google Scholar] [CrossRef][Green Version]
- Penchaiya, P.; Tijskens, L.M.M.; Uthairatanakij, A.; Srilaong, V.; Tansakul, A.; Kanlayanarat, S. Modelling quality and maturity of ‘Namdokmai Sithong’ mango and their variation during storage. Postharvest Biol. Technol. 2020, 159, 111000. [Google Scholar] [CrossRef]
- Medlicott, A.P.; Sigrist, J.M.M.; Reynolds, S.B.; Thompson, A.K. Effects of ethylene and acetylene on mango fruit ripening. Ann. Appl. Biol. 1987, 111, 439–444. [Google Scholar] [CrossRef]
- Lizada, C. Mango. In Biochemistry of Fruit Ripening; Seymour, G.B., Taylor, J.E., Tucker, G.A., Eds.; Springer: Dordrecht, The Netherlands, 1993; pp. 255–271. ISBN 978-94-011-1584-1. [Google Scholar]
- Baloch, M.K.; Bibi, F. Effect of harvesting and storage conditions on the post harvest quality and shelf life of mango (Mangifera indica L.) fruit. South Afr. J. Bot. 2012, 83, 109–116. [Google Scholar] [CrossRef]
- Rosalie, R.; Léchaudel, M.; Chillet, M.; Dufossé, L.; Joas, J. Could the reliability of classical descriptors of fruit quality be influenced by irrigation and cold storage? The case of mango, a climacteric fruit. J. Sci. Food Agric. 2019, 99, 3792–3802. [Google Scholar] [CrossRef] [PubMed]
- Diatta, P.; Rey, J.-Y.; Vayssieres, J.-F.; Diarra, K.; Coly, E.V.; Lechaudel, M.; Grechi, I.; Ndiaye, S.; Ndiaye, O. Fruit phenology of citruses, mangoes and papayas influences egg-laying preferences of Bactrocera invadens (Diptera: Tephritidae). Fruits 2013, 68, 507–516. [Google Scholar] [CrossRef]
- Vásquez-Caicedo, A.; Neidhart, S.; Pathomrungsiyounggul, P.; Wiriyacharee, P.; Chattrakul, A.; Sruamsiri, P.; Manochai, P.; Bangerth, F.; Carle, R. Physical, Chemical and Sensory Properties of 9 Thai Mango Culitvars and Evaluation of Their Technological and Nutritional Potential; International Symposium, Sustaining Food Security and Managing Natural Ressource in Southeast Asia Publishing: Chiang Mai, Thailand, 2002; 13p. [Google Scholar]
- Reis, R.; Viana, E.; Fonseca, N.; Almeida, J.; Filho, J.; Guedes, I. Physical, chemical and sensory attributes of fruits of ten mango varieties grown under organic production system. Rev. Caatinga 2021, 34, 452–459. [Google Scholar] [CrossRef]
- Diop, A.; Méot, J.-M.; Léchaudel, M.; Chiroleu, F.; Ndiaye, N.D.; Mertz, C.; Cissé, M.; Chillet, M. Impact of Preharvest and Postharvest on Color Changes during Convective Drying of Mangoes. Foods 2021, 10, 490. [Google Scholar] [CrossRef]
- Rosa María, S.-H.; Gustavo, A.G.-A.; Martin Ernesto, T.-H. Utilization of physicochemical variables developed from changes in sensory attributes and consumer acceptability to predict the shelf life of fresh-cut mango fruit. J. Food Sci. Technol. 2015, 52, 63–77. Available online: https://www.proquest.com/openview/b61cdc27ef940e73ffa566571baaf05f/1?pq-origsite=gscholar&cbl=326253 (accessed on 12 December 2021).



| Variety | Weight (g) | Lmax (cm) | lmax (cm) | emax (cm) | Cf | Mango Form |
|---|---|---|---|---|---|---|
| Boukodiekhal | 469.7 b (44.5) | 12.6 a (0.9) | 10.2 b (0.3) | 7.6 b (0.5) | 16.8 f (1.2) | elliptic to oblong |
| Diourou | 442.2 bc (51.2) | 11.2 c (0.6) | 10.8 a (0.7) | 8.2 a (0.7) | 12.9 c (1.8) | elliptic |
| Papaye | 423.3 c (50.7) | 12.5 ab (0.9) | 8.4 c (0.4) | 7.2 b (0.3) | 15.9 e (1.2) | oblong-reniform |
| Sierra Léone | 214.4 d (31.5) | 8.3 d (0.6) | 8.4 c (0.5) | 6.2 c (1.0) | 11.1 b (0.8) | elliptic-reniform |
| Sewe | 102.5 e (23.4) | 5.1 e (0.5) | 6.7 d (0.5) | 5.2 d (0.4) | 6.7 a (0.8) | oblong |
| Kent * | 600.6 a (69.2) | 12.0 b (0.9) | 10.0 b (0.7) | 8.5 a (0.6) | 13.8 d (1.6) | oblong-roundish |
| Variety | Weight Loss (%) at Ripe Stage (12 Days Storage) | 1 Loss Rate (% Per Day) | R² | |||
|---|---|---|---|---|---|---|
| CA | CC | CA | 2 CC(Ctr) | CA | CC | |
| Boukodiekhal | 27.25 a (2.05) | 12.19 a(1.41) | 2.35 | 1.05 | 0.96 | 0.98 |
| Diourou | 16.72 b (1.24) | 9.88 ab (1.53) | 1.35 | 0.76 | 0.97 | 0.99 |
| Papaye | 13.20 bc (1.72) | 6.70 cd (0.99) | 1.07 | 0.52 | 0.98 | 0.98 |
| Sierra Léone | 25.52 a (2.12) | 8.73 bc (0.75) | 2.22 | 0.75 | 0.98 | 0.98 |
| Sewe | 22.99 a (2.91) | 9.70 abc (2.19) | 1.93 | 0.85 | 0.98 | 0.98 |
| Kent * | 10.56 c (1.15) | 4.71 d (0.42) | 0.93 | 0.41 | 0.94 | 0.98 |
| Variety | 1 Variable Form | Coefficients of Variables | R2 | RMSE | MRD | ||||||
|---|---|---|---|---|---|---|---|---|---|---|---|
| Intercept | pH | Hue | SSC | Calibration | Validation | Calibration | Validation | Calibration | Validation | ||
| Boukodiekhal | X | 5.148 | 1.346 * | −0.133 * | 0.554 ** | 0.975 | 0.838 | 0.798 | 4.701 | 0.097 | 0.847 |
| α | 5.148 | 4.393 ** | −13.377 * | 3.916 ** | 0.975 | 0.853 | 0.798 | 2.427 | 0.097 | 0.385 | |
| Diourou | X | 9.729 | 0.79 ** | −0.168 *** | 0.548 *** | 0.994 | 0.891 | 0.402 | 2.036 | 0.056 | 0.223 |
| α | 9.729 | 2.221 ** | −16.810 *** | 4.890 *** | 0.994 | 0.891 | 0.402 | 2.040 | 0.056 | 0.226 | |
| Papaye | X | 1.277 | 1.75 ** | −0.109 *** | 0.523 *** | 0.988 | 0.814 | 0.559 | 3.771 | 0.097 | 0.533 |
| α | 1.277 | 5.031 ** | −10.273 *** | 4.108 *** | 0.988 | 0.817 | 0.559 | 2.911 | 0.097 | 0.276 | |
| Sierra Léone | X | 1.442 | 0.998 ns | −0.13 ** | 0.821 ** | 0.965 | 0.964 | 0.941 | 1.680 | 0.133 | 0.147 |
| α | 1.442 | 3.368 ns | −12.375 ** | 7.673 ** | 0.965 | 0.964 | 0.941 | 2.031 | 0.133 | 0.192 | |
| Swe | X | 4.285 | 1.367 ns | −0.14 ** | 0.679 *** | 0.988 | 0.881 | 0.555 | 3.452 | 0.079 | 0.524 |
| α | 4.285 | 4.665 ns | −13.857 ** | 5.166 *** | 0.988 | 0.888 | 0.555 | 2.013 | 0.079 | 0.235 | |
| Models | Coefficients of Variables | AIC | R² | RMSE | MRD | |||||||||
|---|---|---|---|---|---|---|---|---|---|---|---|---|---|---|
| Intercept | pH | Hue | SSC | Ctr | Cf | Cc | Calibration | Validation | Calibration | Validation | Calibration | Validation | ||
| 1 (Control) | 4.440 | 0.996 *** | −0.132 *** | 0.665 *** | −9.6 | 0.958 | 0.748 | 0.935 | 3.093 | 0.143 | 0.446 | |||
| 2 | 17.817 | 1.060 *** | −0.134 *** | 0.662 *** | −0.731 ns | −0.100 ** | −21.614 *** | −52.9 | 0.974 | 0.704 | 0.730 | 3.366 | 0.102 | 0.478 |
| 3 | 16.335 | 0.989 *** | −0.139 *** | 0.660 *** | −0.090 ** | −18.698 *** | −53.8 | 0.974 | 0.705 | 0.734 | 3.344 | 0.102 | 0.476 | |
| 4 | 12.038 | 1.090 *** | −0.131 *** | 0.657 *** | −14.836 *** | −40.5 | 0.970 | 0.704 | 0.793 | 3.357 | 0.117 | 0.477 | ||
| 5 | 5.000 | 0.966 *** | −0.134 *** | 0.666 *** | −0.022 ns | −8.3 | 0.958 | 0.751 | 0.931 | 3.072 | 0.141 | 0.443 | ||
| 6 | 5.302 | 0.781 *** | −0.152 *** | 0.655 *** | 2.386 *** | −26.1 | 0.965 | 0.728 | 0.852 | 3.161 | 0.125 | 0.453 | ||
Publisher’s Note: MDPI stays neutral with regard to jurisdictional claims in published maps and institutional affiliations. |
© 2022 by the authors. Licensee MDPI, Basel, Switzerland. This article is an open access article distributed under the terms and conditions of the Creative Commons Attribution (CC BY) license (https://creativecommons.org/licenses/by/4.0/).
Share and Cite
Dieye, M.; Ndiaye, N.D.; Bassama, J.; Mertz, C.; Bugaud, C.; Diatta, P.; Cissé, M. Storage Time as an Index for Varietal Prediction of Mango Ripening: A Systemic Approach Validated on Five Senegalese Varieties. Foods 2022, 11, 3759. https://doi.org/10.3390/foods11233759
Dieye M, Ndiaye ND, Bassama J, Mertz C, Bugaud C, Diatta P, Cissé M. Storage Time as an Index for Varietal Prediction of Mango Ripening: A Systemic Approach Validated on Five Senegalese Varieties. Foods. 2022; 11(23):3759. https://doi.org/10.3390/foods11233759
Chicago/Turabian StyleDieye, Mor, Nafissatou Diop Ndiaye, Joseph Bassama, Christian Mertz, Christophe Bugaud, Paterne Diatta, and Mady Cissé. 2022. "Storage Time as an Index for Varietal Prediction of Mango Ripening: A Systemic Approach Validated on Five Senegalese Varieties" Foods 11, no. 23: 3759. https://doi.org/10.3390/foods11233759
APA StyleDieye, M., Ndiaye, N. D., Bassama, J., Mertz, C., Bugaud, C., Diatta, P., & Cissé, M. (2022). Storage Time as an Index for Varietal Prediction of Mango Ripening: A Systemic Approach Validated on Five Senegalese Varieties. Foods, 11(23), 3759. https://doi.org/10.3390/foods11233759

