Summer Buffalo Milk Produced in China: A Desirable Diet Enriched in Polyunsaturated Fatty Acids and Amino Acids
Abstract
1. Introduction
2. Materials and Methods
2.1. Animals
2.2. Sampling
2.3. Analysis Methods
2.3.1. Milk Chemical Parameters
2.3.2. Fatty Acids Profiles
2.3.3. Amino Acid Profiles
2.4. Statistical Analysis
3. Results and Discussion
3.1. Chemical Parameters of Crossbred Buffalo Milk
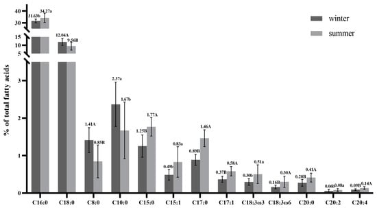
3.2. Fatty Acid Profiles and Lipid Quality Indices in Crossbred Buffalo Milk Fat
3.3. Amino Acid Profiles
4. Conclusions
Author Contributions
Funding
Institutional Review Board Statement
Informed Consent Statement
Data Availability Statement
Acknowledgments
Conflicts of Interest
References
- Ménard, O.; Ahmad, S.; Rousseau, F.; Briard-Bion, V.; Gaucheron, F.; Lopez, C. Buffalo vs. cow milk fat globules: Size distribution, zeta-potential, compositions in total fatty acids and in polar lipids from the milk fat globule membrane. Food Chem. 2010, 120, 544–551. [Google Scholar] [CrossRef]
- Ahmad, S. Composition and physico-chemical characteristics of buffalo milk with particular emphasis on lipids, proteins, minerals, enzymes and vitamins. J. Anim. Plant Sci. 2013, 23, 62–74. [Google Scholar]
- El-Salam, M.; El-Shibiny, S. A comprehensive review on the composition and properties of buffalo milk. Dairy Sci. Technol. 2011, 91, 663. [Google Scholar] [CrossRef]
- Stocco, G.; Cipolat-Gotet, C.; Bonfatti, V.; Schiavon, S.; Bittante, G.; Cecchinato, A. Short communication: Variations in major mineral contents of Mediterranean buffalo milk and application of Fourier-transform infrared spectroscopy for their prediction. J. Dairy Sci. 2016, 99, 8680–8686. [Google Scholar] [CrossRef]
- Gantner, V.; Mijić, P.; Baban, M.; Škrtić, Z.; Turalija, A. The overall and fat composition of milk of various species. Mljekarstvo 2015, 65, 223–231. [Google Scholar] [CrossRef]
- He, J.; Xiao, Y.; Orgoldol, K.; Ming, L.; Yi, L.; Ji, R. Effects of Geographic Region on the Composition of Bactrian Camel Milk in Mongolia. Animals 2019, 9, 890. [Google Scholar] [CrossRef]
- Rafiq, S.; Huma, N.; Pasha, I.; Sameen, A.; Mukhtar, O.; Khan, M.I. Chemical Composition, Nitrogen Fractions and Amino Acids Profile of Milk from Different Animal Species. Asian-Australas. J. Anim. Sci. 2016, 29, 1022–1028. [Google Scholar] [CrossRef]
- Mazhitova, A.T.; Kulmyrzaev, A.A. Determination of amino acid profile of mare milk produced in the highlands of the Kyrgyz Republic during the milking season. J. Dairy Sci. 2016, 99, 2480–2487. [Google Scholar] [CrossRef]
- Md Asif, A.H.; Sarker, M.A.H.; Deb, G.K.; Habib, M.R.; Arefin, S.; Bari, M.S.; Islam, M.Z.; Harun-Ur-Rashid, M.; Siddiki, M.S.R.; Shahjadee, U.F.; et al. Fatty acid and amino acid profiles of cheese, butter, and ghee made from buffalo milk. J. Adv. Vet. Anim. Res. 2022, 9, 144–154. [Google Scholar] [CrossRef]
- Landi, N.; Ragucci, S.; di Maro, A. Amino Acid Composition of Milk from Cow, Sheep and Goat Raised in Ailano and Valle Agricola, Two Localities of ‘Alto Casertano’ (Campania Region). Foods 2021, 10, 2431. [Google Scholar] [CrossRef]
- Basilicata, M.G.; Pepe, G.; Sommella, E.; Ostacolo, C.; Manfra, M.; Sosto, G.; Pagano, G.; Novellino, E.; Campiglia, P. Peptidome profiles and bioactivity elucidation of buffalo-milk dairy products after gastrointestinal digestion. Food Res. Int. 2018, 105, 1003–1010. [Google Scholar] [CrossRef] [PubMed]
- Salzano, A.; Neglia, G.; D’Onofrio, N.; Balestrieri, M.L.; Limone, A.; Cotticelli, A.; Marrone, R.; Anastasio, A.; D’Occhio, M.J.; Campanile, G. Green feed increases antioxidant and antineoplastic activity of buffalo milk: A globally significant livestock. Food Chem. 2021, 344, 128669. [Google Scholar] [CrossRef] [PubMed]
- Zicarelli, L. Buffalo milk: Its properties, dairy yield and mozzarella production. Vet. Res. Commun. 2004, 28 (Suppl. 1), 127–135. [Google Scholar] [CrossRef] [PubMed]
- Cipolat-Gotet, C.; Bittante, G.; Cecchinato, A. Phenotypic analysis of cheese yields and nutrient recoveries in the curd of buffalo milk, as measured with an individual model cheese-manufacturing process. J. Dairy Sci. 2015, 98, 633–645. [Google Scholar] [CrossRef]
- Sheehan, W.J.; Phipatanakul, W. Tolerance to water buffalo milk in a child with cow milk allergy. Ann Allergy Asthma Immunol. 2009, 102, 349. [Google Scholar] [CrossRef]
- Jensen, R.G. The composition of bovine milk lipids: January 1995 to December 2000. J. Dairy Sci. 2002, 85, 295–350. [Google Scholar] [CrossRef]
- Moltó-Puigmartí, C.; Castellote, A.I.; Carbonell-Estrany, X.; López-Sabater, M.C. Differences in fat content and fatty acid proportions among colostrum, transitional, and mature milk from women delivering very preterm, preterm, and term infants. Clin. Nutr. 2011, 30, 116–123. [Google Scholar] [CrossRef]
- Rubporn, K.; Rommanee, S.; Rungpetch, S.; Penphimon, P. Factors affecting lactose quantity in raw milk. Songklanakarin J. Sci. Technol. 2007, 29, 937–943. [Google Scholar]
- Månsson, H.L. Fatty acids in bovine milk fat. Food Nutr. Res. 2008, 52, 1821. [Google Scholar] [CrossRef]
- Corazzin, M.; Romanzin, A.; Sepulcri, A.; Pinosa, M.; Piasentier, E.; Bovolenta, S. Fatty Acid Profiles of Cow’s Milk and Cheese as Affected by Mountain Pasture Type and Concentrate Supplementation. Animals 2019, 9, 68. [Google Scholar] [CrossRef]
- Ivanova, A.; Hadzhinikolova, L. Evaluation of nutritional quality of common carp (Cyprinus carpio L.) lipids through fatty acid ratios and lipid indices. Bulg. J. Agric. Sci. 2015, 21, 180–185. [Google Scholar]
- Lordan, R.; Tsoupras, A.; Mitra, B.; Zabetakis, I. Dairy Fats and Cardiovascular Disease: Do We Really Need to be Concerned? Foods 2018, 7, 29. [Google Scholar] [CrossRef] [PubMed]
- Pilar, G.C.; Manuela, J.; Angel, D. Milk fatty acids and potential health benefits: An updated VISION. Trends Food Sci. Technol. 2018, 81, 1–9. [Google Scholar]
- Fernandez, M.L.; West, K.L. Mechanisms by which Dietary Fatty Acids Modulate Plasma Lipids. J. Nutr. 2005, 135, 2075–2078. [Google Scholar] [CrossRef] [PubMed]
- Da Silva, M.S.; Rudkowska, I. Dairy nutrients and their effect on inflammatory profile in molecular studies. Mol. Nutr. Food Res. 2015, 59, 1249–1263. [Google Scholar] [CrossRef]
- Kaur, N.; Chugh, V.; Gupta, A.K. Essential fatty acids as functional components of foods—A review. J. Food Sci. Technol. 2014, 51, 2289–2303. [Google Scholar] [CrossRef]
- De Lorgeril, M.; Renaud, S.; Mamelle, N.; Salen, P.; Martin, J.L.; Monjaud, I.; Guidollet, J.; Touboul, P.; Delaye, J. Mediterranean alpha-linolenic acid-rich diet in secondary prevention of coronary heart disease. Lancet 1994, 343, 1454–1459. [Google Scholar] [CrossRef]
- Broughton, K.S.; Johnson, C.S.; Pace, B.K.; Liebman, M.; Kleppinger, K.M. Reduced asthma symptoms with n-3 fatty acid ingestion are related to 5-series leukotriene production. Am. J. Clin. Nutr. 1997, 65, 1011–1017. [Google Scholar] [CrossRef]
- Kuhnt, K.; Degen, C.; Jahreis, G. Evaluation of the Impact of Ruminant Trans Fatty Acids on Human Health: Important Aspects to Consider. Crit. Rev. Food Sci. Nutr. 2016, 56, 1964–1980. [Google Scholar] [CrossRef]
- Fuke, G.; Nornberg, J.L. Systematic evaluation on the effectiveness of conjugated linoleic acid in human health. Crit. Rev. Food Sci. Nutr. 2017, 57, 1–7. [Google Scholar] [CrossRef]
- Simopoulos, A.P. Omega-6/Omega-3 Essential Fatty Acid Ratio and Chronic Diseases. Food Rev. Int. 2004, 20, 77–90. [Google Scholar] [CrossRef]
- Zhang, H.; Elolimy, A.A.; Akbar, H.; Thanh, L.P.; Yang, Z.; Loor, J.J. Association of residual feed intake with peripartal ruminal microbiome and milk fatty acid composition during early lactation in Holstein dairy cows. J. Dairy Sci. 2022, 105, 4971–4986. [Google Scholar] [CrossRef] [PubMed]
- Samková, E.; Čítek, J.; Brzáková, M.; Hanuš, O.; Večerek, L.; Jozová, E.; Hoštičková, I.; Trávníček, J.; Hasoňová, L.; Rost, M.; et al. Associations among Farm, Breed, Lactation Stage and Parity, Gene Polymorphisms and the Fatty Acid Profile of Milk from Holstein, Simmental and Their Crosses. Animals 2021, 11, 3284. [Google Scholar] [CrossRef]
- Lindmark-Månsson, H.; Fondén, R.; Pettersson, H.E. Composition of Swedish dairy milk. Int. Dairy J. 2003, 13, 409–425. [Google Scholar] [CrossRef]
- Vargas-Bello-Pérez, E.; Cancino-Padilla, N.; Geldsetzer-Mendoza, C.; Vyhmeister, S.; Morales, M.S.; Leskinen, H.; Romero, J.; Garnsworthy, P.C.; Ibáñez, R.A. Effect of Feeding Cows with Unsaturated Fatty Acid Sources on Milk Production, Milk Composition, Milk Fatty Acid Profile, and Physicochemical and Sensory Characteristics of Ice Cream. Animals 2019, 9, 568. [Google Scholar] [CrossRef] [PubMed]
- Pegolo, S.; Stocco, G.; Mele, M.; Schiavon, S.; Bittante, G.; Cecchinato, A. Factors affecting variations in the detailed fatty acid profile of Mediterranean buffalo milk determined by 2-dimensional gas chromatography. J. Dairy Sci. 2017, 100, 2564–2576. [Google Scholar] [CrossRef]
- Wang, F.; Chen, M.; Luo, R.; Huang, G.; Wu, X.; Zheng, N.; Zhang, Y.; Wang, J. Fatty acid profiles of milk from Holstein cows, Jersey cows, buffalos, yaks, humans, goats, camels, and donkeys based on gas chromatography-mass spectrometry. J. Dairy Sci. 2022, 105, 1687–1700. [Google Scholar] [CrossRef] [PubMed]
- Stoop, W.M.; van Arendonk, J.A.; Heck, J.M.; van Valenberg, H.J.; Bovenhuis, H. Genetic parameters for major milk fatty acids and milk production traits of Dutch Holstein-Friesians. J. Dairy Sci. 2008, 91, 385–394. [Google Scholar] [CrossRef]
- Oliveira, M.X.S.; Palma, A.S.V.; Reis, B.R.; Franco, C.S.R.; Marconi, A.P.S.; Shiozaki, F.A.; Reis, L.G.; Salles, M.S.V.; Netto, A.S. Inclusion of soybean and linseed oils in the diet of lactating dairy cows makes the milk fatty acid profile nutritionally healthier for the human diet. PLoS ONE 2021, 16, e0246357. [Google Scholar] [CrossRef]
- Mele, M.; Macciotta, N.P.P.; Cecchinato, A.; Conte, G.; Schiavon, S.; Bittante, G. Multivariate factor analysis of detailed milk fatty acid profile: Effects of dairy system, feeding, herd, parity, and stage of lactation. J. Dairy Sci. 2016, 99, 9820–9833. [Google Scholar] [CrossRef]
- Heck, J.M.; van Valenberg, H.J.; Dijkstra, J.; van Hooijdonk, A.C. Seasonal variation in the Dutch bovine raw milk composition. J. Dairy Sci. 2009, 92, 4745–4755. [Google Scholar] [CrossRef] [PubMed]
- Schaafsma, G. The protein digestibility-corrected amino acid score. J. Nutr. 2000, 130, 1865s–1867s. [Google Scholar] [CrossRef] [PubMed]
- Ha, E.; Zemel, M.B. Functional properties of whey, whey components, and essential amino acids: Mechanisms underlying health benefits for active people (review). J. Nutr. Biochem. 2003, 14, 251–258. [Google Scholar] [CrossRef]
- Almeida, C.C.; Baião, D.D.S.; Leandro, K.C.; Paschoalin, V.M.F.; Costa, M.P.D.; Conte-Junior, C.A. Protein Quality in Infant Formulas Marketed in Brazil: Assessments on Biodigestibility, Essential Amino Acid Content and Proteins of Biological Importance. Nutrients 2021, 13, 3933. [Google Scholar] [CrossRef]
- Müller, E.; Kölker, S. Reduction of lysine intake while avoiding malnutrition—Major goals and major problems in dietary treatment of glutaryl-CoA dehydrogenase deficiency. J. Inherit. Metab. Dis. 2004, 27, 903–910. [Google Scholar] [CrossRef]
- Master, P.B.Z.; Macedo, R.C.O. Effects of dietary supplementation in sport and exercise: A review of evidence on milk proteins and amino acids. Crit. Rev. Food Sci. Nutr. 2021, 61, 1225–1239. [Google Scholar] [CrossRef]
- Lei, J.; Feng, D.; Zhang, Y.; Zhao, F.Q.; Wu, Z.; San Gabriel, A.; Fujishima, Y.; Uneyama, H.; Wu, G. Nutritional and regulatory role of branched-chain amino acids in lactation. Front. Biosci. Landmark Ed. 2012, 17, 2725–2739. [Google Scholar] [CrossRef]
- Negro, M.; Giardina, S.; Marzani, B.; Marzatico, F. Branched-chain amino acid supplementation does not enhance athletic performance but affects muscle recovery and the immune system. J. Sports Med. Phys. Fit. 2008, 48, 347–351. [Google Scholar]
- Teodoro, G.F.; Vianna, D.; Torres-Leal, F.L.; Pantaleão, L.C.; Matos-Neto, E.M.; Donato, J., Jr.; Tirapegui, J. Leucine is essential for attenuating fetal growth restriction caused by a protein-restricted diet in rats. J. Nutr. 2012, 142, 924–930. [Google Scholar] [CrossRef]
- Li, P.; Knabe, D.A.; Kim, S.W.; Lynch, C.J.; Hutson, S.M.; Wu, G. Lactating porcine mammary tissue catabolizes branched-chain amino acids for glutamine and aspartate synthesis. J. Nutr. 2009, 139, 1502–1509. [Google Scholar] [CrossRef]
- Lei, J.; Feng, D.; Zhang, Y.; Dahanayaka, S.; Li, X.; Yao, K.; Wang, J.; Wu, Z.; Dai, Z.; Wu, G. Regulation of leucine catabolism by metabolic fuels in mammary epithelial cells. Amino Acids 2012, 43, 2179–2189. [Google Scholar] [CrossRef] [PubMed]
- AOAC. Official Method of Analysis, 18th ed.; Association of Officiating Analytical Chemists: Washington, DC, USA, 2005. [Google Scholar]
- AOAC. Official Method of Analysis, 15th ed.; Association of Officiating Analytical Chemists: Arlington, VA, USA, 1990. [Google Scholar]
- Ding, Y.; Mou, S. Development of analytical methods for amino acids and their applications. Se Pu Chin. J. Chromatogr. 2004, 22, 210–215. [Google Scholar]
- Ulbricht, T.L.; Southgate, D.A. Coronary heart disease: Seven dietary factors. Lancet 1991, 338, 985–992. [Google Scholar] [CrossRef]
- Ahmad, N.; Manzoor, M.F.; Shabbir, U.; Ahmed, S.; Ismail, T.; Saeed, F.; Nisa, M.; Anjum, F.M.; Hussain, S. Health lipid indices and physicochemical properties of dual fortified yogurt with extruded flaxseed omega fatty acids and fibers for hypercholesterolemic subjects. Food Sci. Nutr. 2020, 8, 273–280. [Google Scholar] [CrossRef] [PubMed]
- Enser, M.; Hallett, K.G.; Hewett, B.; Fursey, G.A.; Wood, J.D.; Harrington, G. Fatty acid content and composition of UK beef and lamb muscle in relation to production system and implications for human nutrition. Meat Sci. 1998, 49, 329–341. [Google Scholar] [CrossRef]
- Elgersma, A.; Ellen, G.; Horst, H.V.D.; Boer, H.; Dekker, P.R.; Tamminga, S. Quick changes in milk fat composition from cows after transition from fresh grass to a silage diet. Anim. Feed Sci. Technol. 2004, 117, 13–27. [Google Scholar] [CrossRef]
- Pasquini, M.; Osimani, A.; Tavoletti, S.; Moreno, I.; Clementi, F.; Trombetta, M.F. Trends in the quality and hygiene parameters of bulk Italian Mediterranean buffalo (Bubalus bubalis) milk: A three year study. Anim. Sci. J. Nihon Chikusan Gakkaiho 2018, 89, 176–185. [Google Scholar] [CrossRef]
- Sharif, A.; Ahmad, T.; Bilal, M.Q.; Yousaf, A.; Muhammad, G. Estimation of Milk Lactose and Somatic Cells for the Diagnosis of Sub-clinical Mastitis in Dairy Buffaloes. Ultrasonics 2007, 9, 267–270. [Google Scholar]
- Tripaldi, C.; Palocci, G.; Miarelli, M.; Catta, M.; Orlandini, S.; Amatiste, S.; di Bernardini, R.; Catillo, G. Effects of Mastitis on Buffalo Milk Quality. Asian-Australas. J. Anim. Sci. 2010, 23, 1319–1324. [Google Scholar] [CrossRef]
- Costa, A.; Neglia, G.; Campanile, G.; de Marchi, M. Milk somatic cell count and its relationship with milk yield and quality traits in Italian water buffaloes. J. Dairy Sci. 2020, 103, 5485–5494. [Google Scholar] [CrossRef]
- Antanaitis, R.; Juozaitienė, V.; Jonike, V.; Baumgartner, W.; Paulauskas, A. Milk Lactose as a Biomarker of Subclinical Mastitis in Dairy Cows. Animals 2021, 11, 1736. [Google Scholar] [CrossRef] [PubMed]
- Talpur, F.N.; Bhanger, M.I.; Khooharo, A.A.; Memon, G.Z. Seasonal variation in fatty acid composition of milk from ruminants reared under the traditional feeding system of Sindh, Pakistan. Livest. Sci. 2008, 118, 166–172. [Google Scholar] [CrossRef]
- Kumar, S.; Banakar, P.S.; Tyagi, A.K.; Sharma, H. Intra-species variation in fatty acid profile and nutritional indices of cattle (Bos indicus), buffalo (Bubalus bubalis) and goat (Capra hircus) ghee deciphered using GC-FID and FT-IR spectroscopy. Int. Dairy J. 2022, 129, 105342. [Google Scholar] [CrossRef]
- Reilly, N.A.; Lutgens, E.; Kuiper, J.; Heijmans, B.T.; Jukema, J.W. Effects of fatty acids on T cell function: Role in atherosclerosis. Nat. Rev. Cardiol. 2021, 18, 824–837. [Google Scholar] [CrossRef] [PubMed]
- Bard, J.; Drouet, L.; Lairon, D.; Cazaubiel, M.; Marmonier, C.; Ninio, E.; Bal Dit Sollier, C.; Martin, J.; Boyer, C.; Bobin-Dubigeon, C. Effect of milk fat on LDL cholesterol and other cardiovascular risk markers in healthy humans: The INNOVALAIT project. Eur. J. Clin. Nutr. 2020, 74, 285–296. [Google Scholar] [CrossRef]
- Simopoulos, A.P. The importance of the omega-6/omega-3 fatty acid ratio in cardiovascular disease and other chronic diseases. Exp. Biol. Med. 2008, 233, 674–688. [Google Scholar] [CrossRef]
- Li, H.M.; Ma, Y.; Li, Q.M.; Wang, J.Q.; Cheng, J.J.; Xue, J.; Shi, J. The Chemical Composition and Nitrogen Distribution of Chinese Yak (Maiwa) Milk. Int. J. Mol. Sci. 2011, 12, 4885–4895. [Google Scholar] [CrossRef]
- Guo, H.Y.; Pang, K.; Zhang, X.Y.; Zhao, L.; Chen, S.W.; Dong, M.L.; Ren, F.Z. Composition, physiochemical properties, nitrogen fraction distribution, and amino acid profile of donkey milk. J. Dairy Sci. 2007, 90, 1635–1643. [Google Scholar] [CrossRef]
- Foldager, J.; Huber, J.T.; Bergen, W.G. Factors affecting amino acids in blood of dairy cow. J. Dairy Sci. 1980, 63, 396–404. [Google Scholar] [CrossRef]
- Anthony, J.C.; Anthony, T.G.; Kimball, S.R.; Jefferson, L.S. Signaling pathways involved in translational control of protein synthesis in skeletal muscle by leucine. J. Nutr. 2001, 131, 856s–860s. [Google Scholar] [CrossRef]
- Wei, M.; Deng, Z.; Liu, B.; Ye, W.; Fan, Y.; Liu, R.; Li, J. Investigation of amino acids and minerals in Chinese breast milk. J. Sci. Food Agric. 2020, 100, 3920–3931. [Google Scholar] [CrossRef] [PubMed]
- Shah, A.M.; Wang, Z.; Ma, J. Glutamine Metabolism and Its Role in Immunity, a Comprehensive Review. Animals 2020, 10, 326. [Google Scholar] [CrossRef] [PubMed]
- Fouillet, H.; Mariotti, F.; Gaudichon, C.; Bos, C.; Tomé, D. Peripheral and splanchnic metabolism of dietary nitrogen are differently affected by the protein source in humans as assessed by compartmental modeling. J. Nutr. 2002, 132, 125–133. [Google Scholar] [CrossRef] [PubMed]
- Bos, C.; Gaudichon, C.; Tomé, D. Nutritional and physiological criteria in the assessment of milk protein quality for humans. J. Am. Coll. Nutr. 2000, 19, 191s–205s. [Google Scholar] [CrossRef]
- Cummings, N.E.; Williams, E.M.; Kasza, I.; Konon, E.N.; Schaid, M.D.; Schmidt, B.A.; Poudel, C.; Sherman, D.S.; Yu, D.; Arriola Apelo, S.I.; et al. Restoration of metabolic health by decreased consumption of branched-chain amino acids. J. Physiol. 2018, 596, 623–645. [Google Scholar] [CrossRef]


| Item 1 | Buffalo | Cow | Goat | Sheep | Donkey | Camel | Mare |
|---|---|---|---|---|---|---|---|
| Fat, g/100 g | 5.3–15.0 | 3.5–6.4 | 3.0–7.2 | 4.0–9.0 | 0.3–1.8 | 5.0–6.2 | 0.4–7.2 |
| MUFA, g/100 g of FA | 24.0–29.2 | 2.0–30.0 | 19.0–36.0 | 23.0–36.0 | 14.0–30.0 | 26.1–34.1 | 18.0–36.0 |
| PUFA, g/100 g of FA | 2.3–3.9 | 2.4–6.3 | 2.6–5.6 | 2.6–7.3 | 14.0–30.0 | 2.7–4.42 | 13.0–51.0 |
| ω3, g/100 g of FA | 0.2–1.4 | 0.3–1.8 | 0.3–1.5 | 0.5–2.3 | 4.0–16.3 | 0.5–1.2 | 2.2–31.2 |
| Protein, g/100 g | 2.7–4.7 | 3.1–3.8 | 3.0–5.2 | 4.5–7.0 | 1.5–1.8 | 3.6–3.8 | 1.5–2.8 |
| EAA, g/100 g of AA | 1.7–2.0 | 1.8–2.0 | 2.1–2.7 | 2.5–3.0 | 0.6–0.7 | 1.7–2.0 | 1.0–1.5 |
| Items | Winter | Summer | ||||
|---|---|---|---|---|---|---|
| Mean ± SD | Min | Max | Mean ± SD | Min | Max | |
| SCC (104 cell/mL) | 21.35 ± 18.34 a | 5.30 | 76.60 | 25.51 ± 35.68 a | 1.20 | 120.36 |
| Fat (%) | 7.25 ± 1.74 a | 4.61 | 10.68 | 7.00 ± 1.54 a | 4.89 | 9.73 |
| Protein (%) | 4.72 ± 0.60 a | 3.74 | 5.44 | 5.13 ± 1.48 a | 3.56 | 7.79 |
| Lactose (%) | 4.98 ± 0.47 a | 4.12 | 5.52 | 4.30 ± 0.87 b | 2.98 | 5.35 |
| Total solids (%) | 17.90 ± 1.82 a | 14.58 | 20.94 | 17.88 ± 2.20 a | 13.52 | 20.71 |
| Items 1 | Winter | Summer | ||||
|---|---|---|---|---|---|---|
| Mean ± SD | Min | Max | Mean ± SD | Min | Max | |
| C4:0 | 4.09 ± 0.82 a | 3.01 | 5.41 | 3.86 ± 0.63 a | 2.58 | 4.58 |
| C6:0 | 2.81 ± 0.59 a | 2.09 | 4.04 | 2.53 ± 0.64 a | 1.41 | 3.80 |
| C8:0 | 1.41 ± 0.33 A | 0.99 | 2.14 | 0.85 ± 0.44 B | 0.45 | 1.91 |
| C10:0 | 2.37 ± 0.59 a | 1.49 | 3.43 | 1.67 ± 0.76 b | 0.95 | 3.34 |
| C12:0 | 2.69 ± 0.56 a | 1.77 | 3.53 | 2.16 ± 0.79 a | 1.30 | 3.73 |
| C14:0 | 11.48 ± 1.41 a | 8.81 | 13.96 | 10.22 ± 2.12 a | 7.23 | 14.24 |
| C14:1 | 1.05 ± 0.26 a | 0.80 | 1.49 | 1.12 ± 0.23 a | 0.54 | 1.37 |
| C15:0 | 1.25 ± 0.30 B | 0.84 | 1.80 | 1.77 ± 0.25 A | 1.34 | 2.16 |
| C15:1 | 0.49 ± 0.14 b | 0.32 | 0.73 | 0.83 ± 0.41 a | 0.38 | 1.45 |
| C16:0 | 31.63 ± 1.52 b | 28.56 | 33.59 | 34.27 ± 3.87 a | 28.50 | 40.06 |
| C16:1 | 1.6 ± 0.56 a | 1.06 | 2.85 | 1.92 ± 0.41 a | 1.00 | 2.47 |
| C17:0 | 0.89 ± 0.15 B | 0.66 | 1.12 | 1.46 ± 0.22 A | 1.05 | 1.78 |
| C17:1 | 0.37 ± 0.08 B | 0.23 | 0.49 | 0.58 ± 0.12 A | 0.35 | 0.78 |
| C18:0 | 12.04 ± 2.04 a | 9.81 | 15.01 | 9.56 ± 2.4 b | 7.16 | 16.33 |
| C18:1 | 22.96 ± 2.94 a | 18.95 | 30.09 | 23.88 ± 3.64 a | 18.32 | 29.19 |
| C18:2 (LA) | 1.37 ± 0.50 a | 0.77 | 2.20 | 1.2 ± 0.45 a | 0.70 | 1.97 |
| C18:3 (ALA) | 0.30 ± 0.09 b | 0.18 | 0.46 | 0.51 ± 0.25 a | 0.26 | 0.98 |
| C18:3 (GLA) | 0.16 ± 0.05 B | 0.08 | 0.27 | 0.30 ± 0.15 A | 0.08 | 0.68 |
| C20:0 | 0.28 ± 0.09 B | 0.13 | 0.45 | 0.41 ± 0.12 A | 0.25 | 0.61 |
| C20:1 | 0.18 ± 0.05 a | 0.09 | 0.25 | 0.22 ± 0.08 a | 0.11 | 0.41 |
| C20:2 | 0.06 ± 0.04 b | 0.03 | 0.19 | 0.08 ± 0.04 a | 0.03 | 0.14 |
| C20:3 | 0.07 ± 0.02 a | 0.04 | 0.09 | 0.09 ± 0.04 a | 0.03 | 0.18 |
| C20:4 | 0.09 ± 0.02 B | 0.07 | 0.14 | 0.14 ± 0.04 A | 0.07 | 0.20 |
| C20:5 (EPA) | 0.12 ± 0.04 a | 0.06 | 0.18 | 0.16 ± 0.07 a | 0.05 | 0.25 |
| Items 1 | Winter | Summer | ||||
|---|---|---|---|---|---|---|
| Mean ± SD | Min | Max | Mean ± SD | Min | Max | |
| SFA | 70.93 ± 3.30 a | 63.43 | 76.15 | 68.78 ± 4.17 a | 61.62 | 74.09 |
| UFA | 28.81 ± 3.31 a | 23.66 | 36.39 | 31.02 ± 4.17 a | 25.91 | 38.38 |
| MUFA | 26.65 ± 3.04 a | 21.51 | 33.18 | 28.55 ± 3.88 a | 23.22 | 34.71 |
| PUFA | 2.17 ± 0.55 a | 1.58 | 3.21 | 2.48 ± 0.74 a | 1.63 | 3.77 |
| SCFA | 10.67 ± 1.94 a | 8.25 | 15.02 | 8.90 ± 1.71 b | 6.39 | 12.21 |
| MCFA | 50.19 ± 3.39 a | 42.80 | 54.28 | 52.51 ± 5.35 a | 40.83 | 57.77 |
| LCFA | 38.86 ± 3.85 a | 34.81 | 46.40 | 38.39 ± 5.89 a | 30.02 | 50.32 |
| OCSFA | 2.14 ± 0.39 B | 1.60 | 2.75 | 3.23 ± 0.42 A | 2.44 | 3.94 |
| ECSFA | 68.79 ± 3.37 a | 61.36 | 74.56 | 65.75 ± 4.50 a | 57.68 | 71.36 |
| ω3 | 0.41 ± 0.11 b | 0.27 | 0.58 | 0.66 ± 0.22 a | 0.46 | 1.12 |
| ω6 | 1.68 ± 0.53 a | 1.08 | 2.65 | 1.73 ± 0.52 a | 1.04 | 2.59 |
| C14 index | 8.43 ± 1.93 a | 5.88 | 11.68 | 9.79 ± 1.77 a | 6.93 | 13.00 |
| C16 index | 4.78 ± 1.47 a | 3.48 | 8.20 | 5.31 ± 1.10 a | 3.39 | 7.01 |
| C18 index | 65.59 ± 4.90 b | 56.44 | 74.42 | 71.55 ± 3.50 a | 63.71 | 77.68 |
| IA | 2.84 ± 0.48 a | 1.92 | 3.42 | 2.61 ± 0.67 a | 1.72 | 3.66 |
| IT | 3.58 ± 0.51 a | 2.56 | 4.40 | 3.18 ± 0.62 a | 2.16 | 3.83 |
| DFA | 40.84 ± 3.44 a | 37.00 | 47.53 | 40.58 ± 5.61 a | 33.07 | 50.49 |
| OFA | 58.9 ± 3.44 a | 52.19 | 62.67 | 59.42 ± 5.61 a | 49.51 | 66.93 |
| H/H | 0.70 ± 0.10 a | 0.59 | 0.91 | 0.71 ± 0.17 a | 0.49 | 1.02 |
| ω6/ω3 | 4.36 ± 1.52 a | 2.15 | 6.67 | 2.66 ± 0.58 b | 1.74 | 3.74 |
| PUFA/SFA | 0.03 ± 0.01 a | 0.02 | 0.05 | 0.04 ± 0.01 a | 0.02 | 0.06 |
| Items 1 | Winter | Summer | ||||
|---|---|---|---|---|---|---|
| Mean ± SD | Min | Max | Mean ± SD | Min | Max | |
| HIS | 0.14 ± 0.02 a | 0.10 | 0.17 | 0.16 ± 0.05 a | 0.11 | 0.27 |
| ILE | 0.23 ± 0.03 a | 0.17 | 0.28 | 0.25 ± 0.08 a | 0.17 | 0.44 |
| LEU | 0.43 ± 0.05 a | 0.32 | 0.52 | 0.45 ± 0.13 a | 0.30 | 0.78 |
| LYS | 0.36 ± 0.05 a | 0.28 | 0.45 | 0.40 ± 0.13 a | 0.25 | 0.65 |
| MET | 0.13 ± 0.01 a | 0.10 | 0.15 | 0.30 ± 0.54 a | 0.10 | 2.00 |
| PHE | 0.23 ± 0.03 a | 0.17 | 0.28 | 0.25 ± 0.10 a | 0.16 | 0.52 |
| THR | 0.21 ± 0.03 a | 0.17 | 0.26 | 0.24 ± 0.08 a | 0.14 | 0.45 |
| VAL | 0.24 ± 0.03 a | 0.19 | 0.30 | 0.28 ± 0.09 a | 0.19 | 0.51 |
| ALA | 0.14 ± 0.02 a | 0.10 | 0.17 | 0.16 ± 0.06 a | 0.10 | 0.30 |
| ARG | 0.12 ± 0.02 a | 0.09 | 0.15 | 0.13 ± 0.03 a | 0.01 | 0.21 |
| ASP | 0.34 ± 0.04 a | 0.25 | 0.41 | 0.41 ± 0.12 a | 0.08 | 0.21 |
| GLU | 0.96 ± 0.12 a | 0.76 | 1.21 | 1.04 ± 0.30 a | 0.68 | 1.71 |
| GLY | 0.08 ± 0.01 a | 0.06 | 0.10 | 0.10 ± 0.03 a | 0.06 | 0.18 |
| TYR | 0.19 ± 0.02 a | 0.15 | 0.23 | 0.21 ± 0.08 a | 0.13 | 0.43 |
| PRO | 0.37 ± 0.12 a | 0.11 | 0.64 | 0.46 ± 0.12 a | 0.31 | 0.76 |
| SER | 0.24 ± 0.03 a | 0.19 | 0.29 | 0.28 ± 0.09 a | 0.18 | 0.50 |
| CYS | 0.05 ± 0.01 b | 0.04 | 0.06 | 0.07 ± 0.03 a | 0.04 | 0.16 |
| BCAA | 0.90 ± 0.11 a | 0.68 | 1.10 | 0.98 ± 0.30 a | 0.66 | 1.73 |
| EAA | 1.97 ± 0.24 a | 1.50 | 2.41 | 2.33 ± 0.85 a | 1.44 | 4.03 |
| NEAA | 2.50 ± 0.34 a | 1.91 | 3.06 | 2.85 ± 0.83 a | 1.90 | 4.95 |
| Total | 4.47 ± 0.56 a | 3.41 | 5.47 | 5.19 ± 1.61 a | 3.34 | 8.85 |
| EAA/NEAA | 0.80 ± 0.04 B | 0.71 | 0.90 | 0.81 ± 0.16 A | 0.75 | 1.31 |
| EAA/Total | 0.44 ± 0.01 b | 0.10 | 0.17 | 0.45 ± 0.04 a | 0.43 | 0.57 |
Publisher’s Note: MDPI stays neutral with regard to jurisdictional claims in published maps and institutional affiliations. |
© 2022 by the authors. Licensee MDPI, Basel, Switzerland. This article is an open access article distributed under the terms and conditions of the Creative Commons Attribution (CC BY) license (https://creativecommons.org/licenses/by/4.0/).
Share and Cite
Nie, P.; Pan, B.; Ahmad, M.J.; Zhang, X.; Chen, C.; Yao, Z.; Lv, H.; Wei, K.; Yang, L. Summer Buffalo Milk Produced in China: A Desirable Diet Enriched in Polyunsaturated Fatty Acids and Amino Acids. Foods 2022, 11, 3475. https://doi.org/10.3390/foods11213475
Nie P, Pan B, Ahmad MJ, Zhang X, Chen C, Yao Z, Lv H, Wei K, Yang L. Summer Buffalo Milk Produced in China: A Desirable Diet Enriched in Polyunsaturated Fatty Acids and Amino Acids. Foods. 2022; 11(21):3475. https://doi.org/10.3390/foods11213475
Chicago/Turabian StyleNie, Pei, Bin Pan, Muhammd Jamil Ahmad, Xinxin Zhang, Chao Chen, Zhiqiu Yao, Haimiao Lv, Ke Wei, and Liguo Yang. 2022. "Summer Buffalo Milk Produced in China: A Desirable Diet Enriched in Polyunsaturated Fatty Acids and Amino Acids" Foods 11, no. 21: 3475. https://doi.org/10.3390/foods11213475
APA StyleNie, P., Pan, B., Ahmad, M. J., Zhang, X., Chen, C., Yao, Z., Lv, H., Wei, K., & Yang, L. (2022). Summer Buffalo Milk Produced in China: A Desirable Diet Enriched in Polyunsaturated Fatty Acids and Amino Acids. Foods, 11(21), 3475. https://doi.org/10.3390/foods11213475

