Palatability and Bio-Functionality of Chalky Grains Generated by High-Temperature Ripening and Development of Formulae for Estimating the Degree of Damage Using a Rapid Visco Analyzer of Japonica Unpolished Rice
Abstract
1. Introduction
2. Materials and Methods
2.1. Materials
2.2. Ratios of Whole (Head) and Chalky Rice Grains
2.3. Preparation of Three Kinds of Brown Rice Flours
2.4. Measurement of the Moisture Content of Rice Flour
2.5. Preparation of Starch Granules
2.6. Pasting Properties
2.7. Iodine Absorption Spectrum
2.8. α-Amylase Activity
2.9. Polishing and Boiling of Rice Samples
2.10. Measurements of Textural Properties of Boiled Rice Grains
2.11. Measurement of d-Glucose, Maltose and Saccharose Contents
2.12. Measurement of l-Glutamic Acid
2.13. Measurement of l-Amino Acid
2.14. Analysis of Rice Protein Composition (SDS-PAGE)
2.15. Protease Activity
2.16. Statistical Analyses
3. Results and Discussion
3.1. Ratio of Whole Rice Grains in 54 Japonica Rice Samples in 2020
3.2. Pasting Properties
3.3. Iodine Absorption Spectrum
3.4. α-Amylase Activity
3.5. Correlation between Pasting Properties of Original Rice and Ratios of α-Amylase Activity of Chalky Grains to Those of Whole Rice Grains
3.6. Formula for Estimating the Ratios of α-Amylase Activities of Chalky Unpolished Grains to Those of Whole Ones Based on Only the Pasting Properties in Original Japonica Rice Using an RVA
- (A)
- Estimation formula: Estimation formula: The following formula for estimating the ratios of α-amylase activities of chalky unpolished grains to those of whole ones of 24 original Japonica rice except low-amylose rice. 1, Koshihikari (Niigata A); 2, Koshihikari (Saga); 3, Koshihikari (Fukushima); 4, Koshihikari (Yamagata); 5, Koshihikari (Kyoto); 6, Koshihikari (Niigata D); 7, Koshihikari (Niigata F); 8, Sasanishiki (Miyagi); 9, Kinumusume (Shimane); 10, Fufufu (Toyama); 11, Yumeshizuku (Saga); 12, Sagabiyori (Saga); 13, Tennotsubu (Fukushima); 14, Haenuki (Yamagata); 15, Yuudai 21 (Tochigi); 16, Nijinokirameki (Niigata); 17, Hitomebore (Miyagi); 18, Tsukiakari (Niigata); 19, Kaguyahime (Miyagi); 20, Satojiman (Kanagawa); 21,
- (B)
- Examination estimation formula with unknow samples: The formula for validation test using 24 unknown samples.1, Koshihikari (Niigata B); 2, Koshihikari (Shimane); 3, Koshihikari (Yamagata); 4, Koshihikari (Ibaragi); 5, Koshihikari (Toyama); 6, Koshihikari (Yamanashi); 7, Koshihikari (Niigata E); 8, Shinnosuke (Niigata); 9, Hitomebore (Miyagi); 10, Oidemai (Kagawa); 11, Tsuyahime (Simane); 12, Ichihomare (Fukui); 13, Seitennohekireki (Aomori); 14, Toyohashi 1 go (Aichi); 15, Hatsushimo (Gifu); 16, Harumi (Kanagawa); 17, Hoshizoramai (Tottori); 18, Akisakari (Fukui); 19, Kazesayaka (Nagano); 20, Nourin 48 go (Yamanashi); 21, Ginganoshizuku (Iwate); 22, Morinokumasan (Kumamoto); 23, Koshihikari (Niigata C); 24, Tsuyahime (Yamagata). The formula was developed to estimate the degree of damage by high-temperature ripening based on the pasting properties of original Japonica unpolished rice except low-amylose rice using RVA, of which the correlation coefficient was 0.74 for calibration and 0.68 for the validation test.
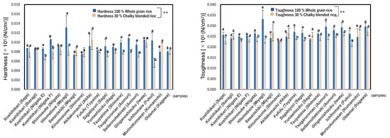
3.7. Textural Properties of Boiled Rice Grains
3.8. d-Glucose, Maltose, and Saccharose Contents in Boiled Rice Grains
3.9. Difference in l-Glutamic Acid
3.10. Difference in l-Amino Acids
3.11. SDS-PAGE of Rice Proteins
3.12. Protease Activity
4. Conclusions
Supplementary Materials
Author Contributions
Funding
Data Availability Statement
Conflicts of Interest
Abbreviations
References
- Morita, S.; Shiratsuch, I.H.; Takahashi, J.; Fujita, K. Effect of temperature on grain ripening in rice plants. Jpn. Crop Sci. 2004, 73, 77–83. [Google Scholar] [CrossRef]
- Nakata, M.; Fukamatsu, Y.; Miyashita, T.; Hakata, M.; Kimura, R.; Nakata, Y.; Kuroda, M.; Yamaguchi, T.; Yamakawa, H. High temperature-induced expression of rice α-amylase in developing endosperm produces chalky grains. Front. Plant Sci. 2017, 8, 2089. [Google Scholar] [CrossRef]
- Mitsui, T.; Shiraya, S.; Kaneko, K.; Wada, K. Proteomics of rice grain under high temperature stress. Plant Prod. Sci. 2016, 19, 36. [Google Scholar] [CrossRef]
- Liao, J.-L.; Zhou, H.-W.; Zhang, H.-Y.; Zhong, P.-A.; Huang, Y.-J. Comparative proteomic analysis of differentially expressed proteins in the early milky stage of rice grains during high temperature stress. J. Exp. Bot. 2014, 65, 655–671. [Google Scholar] [CrossRef]
- Nevam, A.Y.M.; Emon, R.M.; Malek, M.A.; Hasan, M.M.; Alam, M.A.; Muharam, M.; Aslani, F.; Rafii, M.Y.; Ismail, M.R. Relationship between high temperature and formation of chalkiness and their effects on quality of rice. Biomed. Res. Int. 2018, 2018, 1653721. [Google Scholar] [CrossRef]
- Mitsui, T.; Yamakawa, H.; Kobata, T. Molecular physiological aspects of chalking mechanism in rice grains under high-temperature stress. Plant Prod. Sci. 2016, 19, 22–29. [Google Scholar] [CrossRef]
- Asaoka, M.; Okuno, K.; Sugimoto, Y.; Kawakami, J.; Fuwa, H. Effect of environmental temperature during development of rice plants on some properties of endosperm starch. Starch-Stärke 1984, 31, 189–193. [Google Scholar] [CrossRef]
- Ahmed, N.; Tetlow, I.; Nawaz, S.; Iqbal, A.; Mubin, M.; Rehman, M.S.N.; Butt, A.; Lighfoot, D.A.; Maekawa, M. Effect of high temperature on grain filling period, yield, amylose content and activity of starch biosynthesis enzymes in endosperm of basmatic rice. J. Sci. Food Agric. 2014, 95, 2237–2243. [Google Scholar] [CrossRef] [PubMed]
- Bergman, C.J.; Bhattacharya, K.R.; Ohtsubo, K. Rice end-use quality analysis. In Rice-Chemistry and Technology, 3rd ed.; Champagne, E.T., Ed.; American Association Cereal Chemistry Int.: St. Paul, MN, USA, 2004; pp. 415–472. [Google Scholar]
- Blakeney, A.B.; Welsh, L.A.; Bannon, D.R. Rice quality analysis using a computer controlled RVA. In Cereals International; Martin, D.J., Wrigley, C.W., Eds.; Australian Chemical Institute: Melbourne, Australia, 1991; pp. 180–182. [Google Scholar]
- Champagne, E.T.; Bett, K.L.; Vinyard, B.T.; McClung, A.M.; Barton, F.E., II; Moldenhauer, K.; Linscombe, S.; Mckenzie, K. Correlation between cooked rice texture and rapid visco analyzer measurements. Cereal Chem. 1999, 76, 764–771. [Google Scholar] [CrossRef]
- Ohtsubo, K.; Nakamura, S. Evaluation of palatability of cooked rice. In Adovances in International Rice Research; Li, J., Ed.; INTECH: Zagreb, Croatia, 2017; pp. 91–110. [Google Scholar]
- Nakamura, S.; Satoh, A.; Aizawa, M.; Ohtsubo, K. Characteristics of physicochemical properties of chalky grains of Japonica rice generated by high temperature during ripening. Foods 2022, 11, 97. [Google Scholar] [CrossRef]
- Cereals and Grains Association. AACC Approved Methods of Analysis, 11th Ed., 44-15.02 Moisture—Air-Oven Methods. 2022. Available online: https://www.cerealsgrains.org/resources/Methods/Pages/44Moisture.aspx (accessed on 2 September 2022).
- Yamamoto, K.; Sawada, S.; Onogaki, I. Effects of quality and quantity of alkali solution on the properties of rice starch. Denpun Kagaku 1981, 28, 241–244. (In Japanese) [Google Scholar]
- Toyoshima, H.; Okadome, H.; Ohtsubo, K.; Suto, M.; Horisue, N.; Inatsu, O.; Narizuka, A.; Aizaki, M.; Inouchi, N.; Fuwa, H. Cooperative test on the small-scale rapid method for the gelatinization properties test of rice flours with a rapid visco analyser (in Japanese). Nippon. Shokuhin Kogakukaishi 1997, 44, 579–584. [Google Scholar] [CrossRef]
- Nakamura, S.; Katsura, J.; Kato, K.; Ohtsubo, K. Development of formulae for estimating amylose content and resistant starch content based on the pasting properties measured by RVA of Japonica polished rice and starch. Biosci. Biotechnol. Biochem. 2016, 80, 329–340. [Google Scholar] [CrossRef]
- Juliano, B.O. A simplified assay for milled-rice amylose. Cereal Sci. Today 1971, 12, 334–360. [Google Scholar]
- Nakamura, S.; Satoh, H.; Ohtsubo, K. Development of formulae for estimating amylose content, amylopectin chain length distribution, and resistant starch content based on the iodine absorption curve of rice starch. Biosci. Biotechnol. Biochem. 2015, 79, 443–455. [Google Scholar] [CrossRef] [PubMed]
- Nakamura, S.; Yamaguchi, H.; Benitani, Y.; Ohtsubo, K. Development of a novel formula for estimating the amylose content of starch using Japonica milled rice flours based on the iodine absorption curve. Biosci. Biotechnol. Biochem. 2020, 84, 2347–2359. [Google Scholar] [CrossRef] [PubMed]
- Odahara, M.; Sokooshi, H.; Takahashi, T.; Okadome, H.; Ohtsubo, K. The effect of sushi vinegar on texture of sushi rice before and after storage under low temperature. Nippon Shokuhin Kagaku Kogaku Kaishi 2004, 51, 620–625. [Google Scholar] [CrossRef]
- Juliano, B.O. Criteria and tests for rice grain qualities. In Rice-Chemistry and Technology, 2nd ed.; Juliano, B.O., Ed.; American Association Cereal Chemistry Int.: St. Paul, MN, USA, 1985; pp. 443–524. [Google Scholar]
- Hizukuri, S.; Takeda, Y.; Maruta, N.; Juliano, B.O. Molecular structure of rice starch. Carbohydr. Res. 1989, 189, 227–235. [Google Scholar] [CrossRef]
- Li, H.; Yu, L.; Yu, W.; Li, H.; Gilbert, R. Autoclaved rice: The textural property and its relation to starch leaching and the molecular structure of leached starch. Food Chem. 2019, 283, 199–205. [Google Scholar] [CrossRef]
- Nakamura, S.; Katsura, J.; Maruyama, Y.; Ohtsubo, K. Relationship between fatty acid composition and starch properties of 30 japonica rice cultivars. Cereal Chem. 2019, 96, 228–242. [Google Scholar] [CrossRef]
- Nakamura, S.; Katsura, J.; Maruyama, Y.; Ohtsubo, K. Relationship between fatty acid composition, pasting properties and iodine analysis of japonica rice cultivars. In Proceedings of the 2018 Annual Meeting of Japan Society for Bioscience Biotechnology, and Agrochemistry, Nagoya, Japan, 5 March 2018; Volume 2018, p. 2B08a10. Available online: https://www.jsbba.or.jp/2018/english/index.html (accessed on 2 September 2022).
- Simopoulos, A.P. The important of the ratio of omega-6/omega-3 essential fatty acids. Biomed. Pharmacother. 2002, 56, 365–379. [Google Scholar] [CrossRef]
- Taira, H.; Nakagahra, M.; Nagamine, T. Fatty acid composition of Indica, Sinica, Javanica, and Japonica groups of nonglutinous brown rice. J. Agric. Food Chem. 1988, 36, 45–47. [Google Scholar] [CrossRef]
- Raphaelides, S.; Karkalas, J. Thermal dissociation of amylose-fatty acid complexes. Carbohydr. Res. 1988, 172, 65–82. [Google Scholar] [CrossRef]
- Goderis, B.; Putseys, J.A.; Gommes, C.J. The structure and thermal stability of amylose-lipid complexes. A Case Study Amylose-Glycerol. Monostearate Cryst. Growth Des. 2014, 14, 3221–3233. [Google Scholar]
- Umemoto, T.; Terashima, K.; Nakamura, Y.; Satoh, H. Differences in amylopectin structure between two rice varieties in relation to the effects of temperature during grain-filling. Starch-Stärke 1999, 51, 58–62. [Google Scholar] [CrossRef]
- Asaoka, M.; Okuno, K. Effect of environmental temperature at the milky stage on amylose content and fine structure of amylopectin of waxy and nonwaxy endosperm starches of rice. Agric. Biol. Chem. 1985, 49, 373–379. [Google Scholar]
- Takami, K.; Koriyama, T.; Ohtsubo, K. Staling characteristics of cooked low-amylose rice and a proposal of evaluation method. Nippon Shokuhin Kagaku Kogaku Kaishi 1998, 45, 469–477. [Google Scholar] [CrossRef]
- Umemoto, T.; Horibata, T.; Aoki, N.; Hiratsuka, M.; Yano, M.; Inouchi, N. Effects of variations in starch synthase on starch properties and eating quality of rice. Plant Prod. Sci. 2008, 11, 472–480. [Google Scholar] [CrossRef]
- Gallant, D.J.; Bouchet, B.; Baldwin, P.M. Microscopy of starch evidence of a new level of granule organization. Carbohydr. Polym. 1997, 32, 177–191. [Google Scholar] [CrossRef]
- Inouchi, N.; Ando, H.; Asaoka, M.; Okuno, K.; Fuwa, H. The effect of environmental temperature on distribution of unit chains of rice amylopectin. Starch/Strake 2000, 52, 8–12. [Google Scholar] [CrossRef]
- Igarashi, T.; Yanagihara, T.; Kanda, H.; Kawamoto, K.; Masaki, K. Development of new eating quality evaluation method based on iodine adsorption multispectral analysis of rice flour. J. Crop Sci. 2009, 78, 66–73. [Google Scholar] [CrossRef]
- Yano, M.; Okuno, K.; Satoh, H.; Omura, T. Chromosomal location of genes conditioning low amylose content of endosperm starches in rice, Oryza sativa L. Theor. Appl. Genet. 1988, 76, 183–189. [Google Scholar] [CrossRef] [PubMed]
- Tateyama, M.; Sakai, M.; Suto, M. Varietal differences in the response of the amylose content of the endosperm of low-amylose rice (Oryza sativa L.) Lines to temperature during the ripening period. Breed. Res. 2005, 7, 1–7. [Google Scholar] [CrossRef]
- Sato, H.; Suzuki, Y.; Sakai, M.; Imbe, T. Molecular characterization of Wx-mq, a novel mutant gene for low-amylose content in endosperm of rice (Oryza sativa L.). Breed. Res. 2002, 52, 131–135. [Google Scholar] [CrossRef]
- Yamakawa, H.; Hakata, M. Atlas of rice grain filling-related metabolism under high temperature joint analysis of metabolome and transcriptome demonstrated inhibition of starch accumulation and induction of amino acid accumulation. Plant Cell Physiol. 2010, 51, 796–809. [Google Scholar] [CrossRef] [PubMed]
- Yamakawa, H.; Hirai-Kimura, R.; Nakata, Y.; Nakata, M.; Kuroda, M.; Yamaguchi, T. An activity-staining method on filtration paper enables high-throughput screening of temperature-sensitive and inactive mutations of rice α-amylase for improvement of rice grain quality. Plant Cell Physiol. 2017, 58, 658–667. [Google Scholar] [CrossRef]
- Patindol, J.; Wang, Y.-J. Fine structures and physicochemical properties of starches from chalky and translucent kernels. J. Agric. Food Chem. 2003, 51, 2777–2784. [Google Scholar] [CrossRef]
- IPCC 6th Assessment Report. Available online: https://www.ipcc.ch/report/ar6/wg1/downloads/report/IPCC_AR6_WGI_SPM_final.pdf (accessed on 10 April 2022).
- Hakata, M.; Kuroda, M.; Miyashita, T.; Yamaguchi, T.; Kojima, M.; Sakakibara, H.; Mitsui, T.; Yamakawa, H. Suppression of α- amylase genes improve quality of rice grain ripened under high temperature. Plant Biotechnol. J. 2012, 10, 1110–1117. [Google Scholar] [CrossRef]
- Iwata, H.; Iwase, S.; Takahama, K.; Matuura, H.; Itani, T.; Aramaki, I. Relation between α-glucosidase activity and physical and chemical properties of rice. Nippon Shokuhin Kagaku Kogaku Kaishi 2001, 48, 482–490. [Google Scholar] [CrossRef][Green Version]
- Nakamura, S.; Katsura, J.; Maruyama, Y.; Ohtsubo, K. Evaluation of hardness and retrogradation of cooked rice based on its pasting properties using a novel RVA testing. Foods 2021, 10, 987. [Google Scholar] [CrossRef]
- Okadome, H.; Toyoshima, H.; Ohtsubo, K. Multiple measurements of physical properties of individual cooked rice grains with a single apparatus. Cereal Chem. 1999, 76, 855–860. [Google Scholar] [CrossRef]
- Awazuhara, M.; Nakagawa, A.; Yamaguch, J.; Fujiwara, T.; Hayashi, H.; Hatae, K.; Chino, M.; Shimada, A. Distribution and characterization of enzymes responsible for starch degradation in rice. (Oryza sativa Cv. Koshihikari). J. Agric. Food Chem. 2000, 48, 245–252. [Google Scholar] [CrossRef] [PubMed]
- Kasai, M.; Ishiguro, K.; Kyoda, H.; Hamazono, T.; Hatae, K.; Shimada, A. Change in the amounts of reducing sugars and free amino acids in rice during the cooking processes. JSHE 2000, 51, 579–585. [Google Scholar]
- Abe, K.; Kondo, H.; Arai, S. Purification and properties of a cysteine proteinase from germinating rice seeds. Agric. Biol. Chem. 1987, 51, 1509–1514. [Google Scholar]
- Doi, E.; Komori, N.; Matoba, T.; Morita, Y. Some properties of carboxypeptidases in germinating rice seeds and rice leaves. Agric. Biol. Chem. 1980, 44, 77–83. [Google Scholar]
- Doi, E.; Komori, N.; Matoba, T.; Morita, Y. Carboxypeptidase like metal enzyme in rice seedlings. Agric. Biol. Chem. 1980, 44, 921–922. [Google Scholar]
- Tashiro, M.; Kurata, A.; Maki, Z. Occurrence of cysteine proteinase inhibitors in cereals. Sci. Rep. Kyoto Prefect. Univ. 1990, 41, 1–8. [Google Scholar]
- Tamura, S.; Kenmochi, K. Studies on amino acid content of rice (part III). Biosci. Biotechnol. Biochem. 1963, 37, 753–756. [Google Scholar]
- Matsuzaki, A.; Takano, T.; Sakamoto, S.; Kuboyama, T. Relation between eating quality and chemical components in milled rice and amino acid contents in cooked rice. J. Crop Sci. 1992, 61, 561–567. [Google Scholar] [CrossRef]
- Masumura, T.; Shigemitu, T.; Goto, F.; Saito, Y.; Ishimaru, T.; Kondo, M. The influence that a high temperature stress gives to the structure of seed storage protein and the taste of cooked rice. J. Crop Sci. 2013, 82, 464–465. [Google Scholar]
- Yamakawa, H.; Hirose, T.; Kuroda, M.; Yamaguchi, T. Comprehensive expression profiling of rice grain filling-related genes under high temperature using DNA microarray. Plant Physiol. 2007, 144, 258–277. [Google Scholar] [CrossRef] [PubMed]
- Juliano, B.O. Biochemical properties of rice. In Rice-Chemistry and Technology, 2nd ed.; Juliano, B.O., Ed.; American Association Cereal Chemistry Int.: St. Paul, MN, USA, 1985; pp. 175–205. [Google Scholar]
- Ikeda, A.; Ueguchi-Tanaka, M.; Sonoda, H.; Kitano, M.; Koshioka, Y.; Futsuhara, M.; Matsuoka, M.; Yamaguchi, I. slender rice, a constitutive gibberellin response mutant, is caused by a null mutation of the SLR1, an ortholog of the height-regulating gene GAI/RGA/D8. Plant Cell 2001, 13, 999–1010. [Google Scholar] [CrossRef] [PubMed]
- Ueguchi-Tanaka, M.; Ashikari, M.; Nakajima, M.; Itoh, H.; Katoh, E.; Kobayashi, M.; Chow, T.Y.; Hsing, Y.C.; Kitano, H.; Yamaguchi, I.; et al. GIBBERELLIN INSENSITIVE DWARF1 encodes a soluble receptor for gibberellin. Nature 2005, 437, 693–698. [Google Scholar] [CrossRef] [PubMed]










| Max. vis | Mini. vis | BD | Fin. vis | SB | Pt | Cons | Set/Cons | Max/Min | Max/Fin | |
|---|---|---|---|---|---|---|---|---|---|---|
| (RVU) | (RVU) | (RVU) | (RVU) | (RVU) | (°C) | (RVU) | ||||
| Premium japonica rice (W) | 302.5 ± 7.5a | 116.8 ± 4.3a | 185.7 ± 8.5a | 219.9 ± 6.6a | −82.5 ± 9.9a | 69.8 ± 0.4a | 103.1 ± 2.9a | −0.80 ± 0.11a | 2.59 ± 0.11a | 1.38 ± 0.05a |
| Premium japonica rice (C) | 287.0 ± 11.2b | 110.1 ± 3.9a | 177.0 ± 11.4b | 207.6 ± 6.4b | −79.5 ± 12.4a | 70.4 ± 0.7a | 97.5 ± 3.5b | −0.82 ± 0.14a | 2.61 ± 0.14a | 1.38 ± 0.07a |
| Premium japonica rice (O) | 313.6 ± 9.5a | 121.2 ± 5.7a | 192.4 ± 8.2a | 229.0 ±8.1a | −84.6 ± 9.4a | 69.3 ± 1.3a | 107.8 ±3.1a | −0.79 ± 0.10a | 2.59 ± 0.11a | 1.37 ± 0.05a |
| Ordinary japonica rice (W) | 292.8 ± 25.7a | 121.9 ± 10.5a | 170.9 ± 23.4a | 232.5 ± 14.5a | −60.4 ± 29.7a | 69.1 ± 1.6a | 110.6 ± 8.2a | −0.57 ± 0.32a | 2.41 ± 0.24a | 1.27 ± 0.14a |
| Ordinary japonica rice (C) | 278.1 ± 35.0b | 114.7 ± 14.7a | 163.4 ± 27.5a | 220.7 ± 23.4b | −57.4 ± 30.7a | 69.2± 1.8a | 105.6 ± 11.4b | −0.56 ± 0.33a | 2.44 ± 0.25a | 1.27 ± 0.15a |
| Ordinary japonica rice (O) | 294.5 ± 28.5a | 122.6 ± 11.1a | 171.9 ± 24.5a | 235.0 ± 15.8a | −59.5 ± 29.1a | 69.0± 1.6a | 112.4 ± 8.8a | −0.55 ± 0.31a | 2.41 ± 0.23a | 1.26 ± 0.14a |
| Low-amylose japonica rice (W) | 313.4 ± 20.7a | 98.7 ± 12.9a | 214.7 ± 29.1a | 184.0 ± 24.9a | −129.4 ± 41.4a | 67.4 ± 0.7a | 85.3 ± 12.6a | −1.59 ± 0.63a | 3.22 ± 0.49a | 1.33 ± 0.05a |
| Low-amylose japonica rice (C) | 282.8 ± 19.7b | 88.2 ± 10.8b | 194.6 ± 29.5b | 168.9 ± 21.9b | −113.9 ± 40.9b | 66.8 ± 2.3a | 80.7 ± 11.4b | −1.48 ± 0.63b | 3.25 ± 0.54a | 1.70 ± 0.30b |
| Low-amylose japonica rice (O) | 305.6 ± 31.5a | 96.3 ± 13.2a | 209.2 ±34.6a | 181.6 ± 25.1a | −124.0 ± 46.2a | 66.9 ± 1.1a | 85.2 ± 13.0a | −1.53 ± 0.67a | 3.21 ± 0.51a | 1.71 ± 0.30b |
| AAC (%) | λmax (nm) | Aλmax | λmax/AAC | λmax/Aλmax | Fb3 (%) | |
|---|---|---|---|---|---|---|
| Premium japonica rice (W) | 15.6 ± 0.6a | 557.4 ± 6.2a | 0.280 ± 0.011a | 35.9 ± 1.5a | 1994.3 ± 68.8a | 11.7 ± 0.5a |
| Premium japonica rice (C) | 14.7 ± 1.3a | 564.9 ± 3.5a | 0.257 ± 0.012b | 38.7± 3.5a | 2202.5 ± 101.1b | 10.7 ± 0.5a |
| Ordinary japonica rice (W) | 15.3 ± 1.6a | 558.4 ± 7.7a | 0.282 ± 0.017a | 37.0 ± 3.8a | 1985.8 ± 111.0a | 11.8 ± 0.8a |
| Ordinary japonica rice (C) | 14.7 ± 1.9a | 555.9 ± 8.7a | 0.276 ± 0.020a | 38.5 ± 4.5a | 2022.2 ± 132.1a | 11.6 ± 0.9a |
| Low-amylose rice (W) | 12.1 ± 1.3a | 542.4 ± 6.9a | 0.248 ± 0.012a | 45.3 ± 4.1a | 2194.2 ± 79.1a | 10.3 ± 0.5a |
| Low-amylose rice (C) | 10.7 ± 1.2b | 533.6 ± 6.4b | 0.230 ± 0.008b | 51.3 ± 5.8a | 2325.8 ± 57.7a | 9.5 ± 0.4a |
| Max. vis | Mini. vis | BD | Fin. vis | SB | Pt | Cons | Set/Cons | Max/Mini | Max/Fin | Ratios | ||||||||||
|---|---|---|---|---|---|---|---|---|---|---|---|---|---|---|---|---|---|---|---|---|
| α-Amylase (C/W) | ||||||||||||||||||||
| Max. vis | 1.00 | - | ||||||||||||||||||
| Mini. vis | 0.47 | ** | 1.00 | - | ||||||||||||||||
| BD | 0.93 | ** | 0.11 | 1.00 | - | |||||||||||||||
| Fin. vis | 0.16 | 0.85 | ** | −0.18 | 1.00 | - | ||||||||||||||
| SB | −0.86 | ** | −0.01 | −0.97 | ** | 0.36 | ** | 1.00 | - | |||||||||||
| Pt | 0.48 | ** | 0.14 | 0.47 | ** | −0.02 | −0.46 | ** | 1.00 | - | ||||||||||
| Cons | −0.29 | * | 0.29 | * | −0.45 | ** | 0.75 | ** | 0.66 | ** | −0.21 | 1.00 | - | |||||||
| Set/Cons | −0.81 | ** | 0.05 | −0.93 | ** | 0.44 | ** | 0.99 | ** | −0.43 | ** | 0.73 | ** | 1.00 | - | |||||
| Max/Mini | 0.60 | ** | −0.42 | ** | 0.85 | ** | −0.60 | ** | −0.87 | ** | 0.35 | * | −0.56 | ** | −0.87 | ** | 1.00 | - | ||
| Max/Fin | 0.79 | ** | −0.11 | 0.94 | ** | −0.47 | ** | −0.99 | ** | 0.42 | ** | −0.71 | ** | −1.00 | ** | 0.91 | ** | 1.00 | ||
| ratios of α-amylase (C/W) | −0.11 | −0.51 | ** | 0.09 | −0.60 | ** | −0.20 | 0.15 | −0.45 | ** | −0.25 | 0.35 | * | 0.27 | 1.00 |
Publisher’s Note: MDPI stays neutral with regard to jurisdictional claims in published maps and institutional affiliations. |
© 2022 by the authors. Licensee MDPI, Basel, Switzerland. This article is an open access article distributed under the terms and conditions of the Creative Commons Attribution (CC BY) license (https://creativecommons.org/licenses/by/4.0/).
Share and Cite
Nakamura, S.; Hasegawa, M.; Kobayashi, Y.; Komata, C.; Katsura, J.; Maruyama, Y.; Ohtsubo, K. Palatability and Bio-Functionality of Chalky Grains Generated by High-Temperature Ripening and Development of Formulae for Estimating the Degree of Damage Using a Rapid Visco Analyzer of Japonica Unpolished Rice. Foods 2022, 11, 3422. https://doi.org/10.3390/foods11213422
Nakamura S, Hasegawa M, Kobayashi Y, Komata C, Katsura J, Maruyama Y, Ohtsubo K. Palatability and Bio-Functionality of Chalky Grains Generated by High-Temperature Ripening and Development of Formulae for Estimating the Degree of Damage Using a Rapid Visco Analyzer of Japonica Unpolished Rice. Foods. 2022; 11(21):3422. https://doi.org/10.3390/foods11213422
Chicago/Turabian StyleNakamura, Sumiko, Moeka Hasegawa, Yuta Kobayashi, Chikashi Komata, Junji Katsura, Yasuhiro Maruyama, and Ken’ichi Ohtsubo. 2022. "Palatability and Bio-Functionality of Chalky Grains Generated by High-Temperature Ripening and Development of Formulae for Estimating the Degree of Damage Using a Rapid Visco Analyzer of Japonica Unpolished Rice" Foods 11, no. 21: 3422. https://doi.org/10.3390/foods11213422
APA StyleNakamura, S., Hasegawa, M., Kobayashi, Y., Komata, C., Katsura, J., Maruyama, Y., & Ohtsubo, K. (2022). Palatability and Bio-Functionality of Chalky Grains Generated by High-Temperature Ripening and Development of Formulae for Estimating the Degree of Damage Using a Rapid Visco Analyzer of Japonica Unpolished Rice. Foods, 11(21), 3422. https://doi.org/10.3390/foods11213422

