Effects of Cysteine and Inorganic Sulfur Applications at Different Growth Stages on Grain Protein and End-Use Quality in Wheat
Abstract
1. Introduction
2. Materials and Methods
2.1. Experimental Design and Sampling
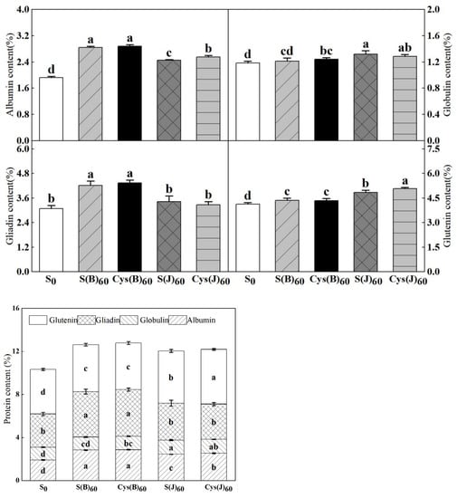
2.2. Contents of Protein and Protein Components
2.3. GMP Content
2.4. GMP Particle Size
2.5. Quantifications of HMW-GS and LMW-GS
2.6. Contents of Nitrogen and Sulfur
2.7. Gluten Quality
2.8. Bread Baking Quality
2.9. Data Analysis
3. Results
3.1. Yield and Its Components
3.2. Contents of Protein Components
3.3. Contents of HMW-GS and LMW-GS
3.4. Content of GMP and GMP Particle Size Distribution
3.5. Sulfur Content and Nitrogen/Sulfur (N/S) Ratio
3.6. Gluten Quality
3.7. Bread Baking Quality
4. Discussion
4.1. Effects of Cysteine and Inorganic Sulfur Application at Different Stages on Protein Quality of Wheat
4.2. Effects of Cysteine and Inorganic Sulfur Application at Different Stages on Wheat Processing Quality
5. Conclusions
Author Contributions
Funding
Data Availability Statement
Conflicts of Interest
References
- Tabak, M.; Lepiarczyk, A.; Filipek-Mazur, B.; Lisowska, A. Efficiency of Nitrogen Fertilization of Winter Wheat Depending on Sulfur Fertilization. Agronomy 2020, 10, 1304. [Google Scholar] [CrossRef]
- Li, X.X.; Tyl, C.E.; Kaiser, D.E.; Annor, G.A. Effect of sulfur fertilization rates on wheat (Triticum aestivum L.) functionality. J. Cereal Sci. 2019, 87, 292–300. [Google Scholar] [CrossRef]
- Rausch, T.; Wachter, A. Sulfur metabolism: A versatile platform for launching defence operations. Trends Plant Sci. 2005, 10, 503–509. [Google Scholar] [CrossRef] [PubMed]
- Saito, K. Sulfur Assimilatory Metabolism. The Long and Smelling Road. Plant Physiol. 2004, 136, 2443–2450. [Google Scholar] [CrossRef] [PubMed]
- Dai, Z.W.; Plessis, A.; Vincent, J.; Duchateau, N.; Besson, A.; Dardevet, M.; Prodhomme, D.; Gibon, Y.; Hilbert, G.; Pailloux, M. Transcriptional and metabolic alternations rebalance wheat grain storage protein accumulation under variable nitrogen and sulfur supply. Plant J. 2015, 83, 326–343. [Google Scholar] [CrossRef]
- Yu, Z.T.; She, M.Y.; Zheng, T.; Diepeveen, D.; Islam, S.; Zhao, Y.; Zhang, Y.Q.; Tang, G.X.; Zhang, Y.J.; Zhang, J.J. Impact and mechanism of sulphur-deficiency on modern wheat farming nitrogen-related sustainability and gliadin content. Commun. Biol. 2021, 4, 945. [Google Scholar] [CrossRef]
- Wu, J.S.; Lu, X.B.; Yu, Z.T.; Han, C.X.; Li, X.H.; Prodanovic, S.; Yan, Y.M. Effects of glu-1 and glu-3 allelic variations on wheat glutenin macropolymer (GMP) content as revealed by size-exclusion high performance liquid chromatography (SE-HPLC). Genetika 2017, 49, 677–691. [Google Scholar] [CrossRef]
- Yoshino, D.; Mccalla, A.G. The effects of sulfur content on the properties of wheat gluten. Can. J. Biochem. 1966, 44, 339–346. [Google Scholar] [CrossRef]
- Flaete, N.E.S.; Hollung, K.; Ruud, L.; Sogn, T.; Faergestad, E.M.; Skarpeid, H.J.; Magnus, E.M.; Uhlen, A.K. Combined nitrogen and sulphur fertilisation and its effect on wheat quality and protein composition measured by SE-FPLC and proteomics. J. Cereal Sci. 2005, 41, 357–369. [Google Scholar] [CrossRef]
- Győri, Z. Sulphur Content of Winter Wheat Grain in Long Term Field Experiments. Commun. Soil Sci. Plant Anal. 2005, 36, 373–382. [Google Scholar] [CrossRef]
- Zhao, F.J.; Salmon, S.E.; Withers, P.J.A.; Monaghan, J.M.; Evans, E.J.; Shewry, P.R.; McGrath, S.P. Responses of breadmaking quality to sulphur in three wheat varieties. J. Sci. Food Agric. 1999, 79, 1865–1874. [Google Scholar] [CrossRef]
- Ganeshamurthy, A.N. An evaluation of sulfur efficiency parameters in soybean and wheat cropping systems in relation to fertiliser sulfur on a Typic Haplustert. Crop Pasture Sci. 1998, 49, 33–40. [Google Scholar] [CrossRef]
- Gao, X.; Liu, T.H.; Yu, J.; Li, L.Q.; Feng, Y.; Li, X.J. Influence of high-molecular-weight glutenin subunit composition at Glu-B1 locus on secondary and micro structures of gluten in wheat (Triticum aestivum L.). Food Chem. 2016, 197, 1184–1190. [Google Scholar] [CrossRef]
- Krueger, S.; Niehl, A.; Martin, M.C.; Steinhauser, D.; Donath, A.; Hildebrandt, T.; Romero, L.C.; Hoefgen, R.; Gotor, C.; Hesse, H. Analysis of cytosolic and plastidic serine acetyltransferase mutants and subcellular metabolite distributions suggests interplay of the cellular compartments for cysteine biosynthesis in Arabidopsis. Plant Cell Environ. 2009, 32, 349–367. [Google Scholar] [CrossRef]
- Kurmanbayeva, M.; Sekerova, T.; Tileubayeva, Z.; Kaiyrbekov, T.; Kusmangazinov, A.; Shapalov, S.; Madenova, A.; Burkitbayev, M.; Bachilova, N. Influence of new sulfur-containing fertilizers on performance of wheat yield. Saudi J. Biol. Sci. 2021, 28, 4644–4655. [Google Scholar] [CrossRef] [PubMed]
- Raffan, S.; Oddy, J.; Halford, N. The sulphur response in wheat and its implications for acrylamide formation and food safety. Int. J. Mol. Sci. 2020, 21, 3876. [Google Scholar] [CrossRef]
- Yildiz, F.H.; Davies, J.P.; Grossman, A.R. Characterization of Sulfate Transport in Chlamydomonas reinhardtii during Sulfur-Limited and Sulfur-Sufficient Growth. Plant Physiol. 1994, 104, 981–987. [Google Scholar] [CrossRef]
- AACC. Approved Methods of the AACC, 10th ed.; AACC: St. Paul, MN, USA, 2000. [Google Scholar]
- Zhu, J.; Khan, K. Characterization of Glutenin Protein Fractions from Sequential Extraction of Hard Red Spring Wheats of Different Breadmaking Quality. Cereal Chem. 2004, 81, 681–685. [Google Scholar] [CrossRef]
- Don, C.; Lichtendonk, W.; Plijter, J.; Hamer, R.J. Glutenin Macropolymer: A Gel Formed by Glutenin Particles. J. Cereal Sci. 2003, 37, 1–7. [Google Scholar] [CrossRef]
- Gornall, A.G.; Bardawill, C.J.; David, M.M. Determination of Serum Proteins by Means of the Biuret Reaction. J. Biol. Chem. 1949, 177, 751–766. [Google Scholar] [CrossRef]
- Weegels, P.L.; vandePijpekamp, A.M.; Graveland, A.; Hamer, R.J.; Schofield, J.D. Depolymerisation and Re-polymerisation of Wheat Glutenin during Dough Processing. I. Relationships between Glutenin Macropolymer Content and Quality Parameters. J. Cereal Sci. 1996, 23, 103–111. [Google Scholar] [CrossRef]
- Ji, J.; Liu, D.-C.; Wang, J.; Li, J.-M.; Zhang, A.-M. A method of extraction and separation of wheat gluten. Yi Chuan (In China) 2008, 30, 123–126. [Google Scholar]
- Tatham, A.S.; Gilbert, S.M.; Fido, R.J.; Shewry, P.R. Extraction, Separation, and Purification of Wheat Gluten Proteins and Related Proteins of Barley, Rye, and Oats. Methods Mol. Med. 2000, 41, 55–73. [Google Scholar] [PubMed]
- Stafilov, T.; Spiric, Z.; Glad, M.; Barandovski, L.; Andonovska, K.B.; Sajn, R.; Antonic, O. Study of nitrogen pollution in the Republic of North Macedonia by moss biomonitoring and Kjeldahl method. J. Environ. Sci. Health Part A 2020, 55, 759–764. [Google Scholar] [CrossRef] [PubMed]
- GB/T 5506.2-2008. Wheat and Wheat Flour Gluten Content; Standards Press of China: Beijing, China, 2008. [Google Scholar]
- GB/T 14611; Inspection of Grain and Oils-Bread-baking Test of Wheat Flour-straight Dough Method. Standards Press of China: Beijing, China, 2008.
- Bonnot, T.; Martre, P.; Hatte, V.; Dardevet, M.; Leroy, P.; Benard, C.; Falagan, N.; Martin-Magniette, M.L.; Deborde, C.; Moing, A. Omics Data Reveal Putative Regulators of Einkorn Grain Protein Composition under Sulfur Deficiency1 [OPEN]. Plant Physiol. 2020, 183, 501–516. [Google Scholar] [CrossRef] [PubMed]
- Zhao, F.J.; Salmon, S.E.; Withers, P.J.A.; Monaghan, J.M.; Evans, E.J.; Shewry, P.R.; McGrath, S.P. Variation in the Breadmaking Quality and Rheological Properties of Wheat in Relation to Sulphur Nutrition under Field Conditions. J. Cereal Sci. 1999, 30, 19–31. [Google Scholar] [CrossRef]
- Liu, J.X.; Zhang, J.W.; Zhu, G.R.; Zhu, D.; Yan, Y.M. Effects of water deficit and high N fertilization on wheat storage protein synthesis, gluten secondary structure, and breadmaking quality. Crop J. 2022, 10, 216–223. [Google Scholar] [CrossRef]
- Assefa, S.; Haile, W.; Tena, W. Effects of phosphorus and sulfur on yield and nutrient uptake of wheat (Triticum aestivum L.) on Vertisols, North Central, Ethiopia. Heliyon 2021, 7, e06614. [Google Scholar] [CrossRef]
- DuPont, F.M.; Hurkman, W.J.; Vensel, W.H.; Chan, R.; Lopez, R.; Tanaka, C.K.; Altenbach, S.B. Differential accumulation of sulfur-rich and sulfur-poor wheat flour proteins is affected by temperature and mineral nutrition during grain development. J. Cereal Sci. 2006, 44, 101–112. [Google Scholar] [CrossRef]
- Tea, I.; Genter, T.; Naulet, N.; Boyer, V.; Lummerzheim, M.; Kleiber, D. Effect of Foliar Sulfur and Nitrogen Fertilization on Wheat Storage Protein Composition and Dough Mixing Properties. Cereal Chem. 2004, 81, 759–766. [Google Scholar] [CrossRef]
- Yan, S.; Dai, Z.; Chen, X.; Yang, B.; Xu, F.; Shao, Q.; Zhang, C.; Li, W. Effects of sulphur fertilizer on glutenin macropolymer content and particle size distribution in wheat grain. Plant Soil Environ. 2016, 62, 9–15. [Google Scholar] [CrossRef]
- Wieser, H.; Gutser, R.; von Tucher, S. Influence of sulphur fertilisation on quantities and proportions of gluten protein types in wheat flour. J. Cereal Sci. 2004, 40, 239–244. [Google Scholar] [CrossRef]
- Li, S.; Luo, J.Y.; Zhou, X.L.; Li, X.H.; Wang, F.X.; Liu, Y.L. Identification of characteristic proteins of wheat varieties used to commercially produce dried noodles by electrophoresis and proteomics analysis. J. Food Compos. Anal. 2021, 96, 103685. [Google Scholar] [CrossRef]
- Wilson, T.L.; Guttieri, M.J.; Nelson, N.O.; Fritz, A.; Tilley, M. Nitrogen and sulfur effects on hard winter wheat quality and asparagine concentration. J. Cereal Sci. 2020, 93, 102969. [Google Scholar] [CrossRef]
- Engelsen, S.B.; Jensen, M.K.; Pedersen, H.T.; Norgaard, L.; Munck, L. NMR-baking and Multivariate Prediction of Instrumental Texture Parameters in Bread. J. Cereal Sci. 2001, 33, 59–69. [Google Scholar] [CrossRef]
- Amigo, J.M.; delOlmo, A.; Engelsen, M.M.; Lundkvist, H.; Engelsen, S.B. Staling of white wheat bread crumb and effect of maltogenic α-amylases. Part 1: Spatial distribution and kinetic modling of hardness and resilience. Food Chem. 2016, 208, 318–325. [Google Scholar] [CrossRef]
- Wronkowska, M.; Jadacka, M.; Soral-Smietana, M.; Zander, L.; Dajnowiec, F.; Banaszczyk, P.; Jelinski, T.; Szmatowicz, B. ACID whey concentrated by ultrafiltration a tool for modeling bread properties. LWT Food Sci. Technol. 2015, 61, 172–176. [Google Scholar] [CrossRef]
- Every, D.; Gerrard, J.A.; Gilpin, M.J.; Ross, M.; Newberry, M.P. Staling in Starch Bread: The Effect of Gluten Additions on Specific Loaf Volume and Firming Rate. Starch Stärke 1998, 50, 443–446. [Google Scholar] [CrossRef]
- Tao, Z.Q.; Chang, X.H.; Wang, D.M.; Wang, Y.J.; Ma, S.K.; Yang, Y.S.; Zhao, G.C. Effects of sulfur fertilization and short-term high temperature on wheat grain production and wheat flour proteins. Crop J. 2018, 6, 413–425. [Google Scholar] [CrossRef]
- De Ruiter, J.M.; Martin, R.J. Management of nitrogen and sulphur fertiliser for improved bread wheat (Triticum aestivum) quality. N. Z. J. Crop Hortic. Sci. 2001, 29, 287–299. [Google Scholar] [CrossRef]
- Unbehend, L.; Unbehend, G.; Lindhauer, M.G. Protein composition of some Croatian and German wheat varieties and their influence on the loaf volume. Food Nahr. 2003, 47, 145–148. [Google Scholar] [CrossRef] [PubMed]
- Hu, X.H.; Cheng, L.; Hong, Y.; Li, Z.F.; Li, C.M.; Gu, Z.B. Combined effects of wheat gluten and carboxymethylcellulose on dough rheological behaviours and gluten network of potato–wheat flour-based bread. Int. J. Food Sci. Technol. 2021, 56, 4149–4158. [Google Scholar] [CrossRef]
- Goesaert, H.; Brijs, K.; Veraverbeke, W.S.; Courtin, C.M.; Gebruers, K.; Delcour, J.A. Wheat flour constituents: How they impact bread quality, and how to impact their functionality. Trends Food Sci. Technol. 2005, 16, 12–30. [Google Scholar] [CrossRef]
- Leon, E.; Piston, F.; Aouni, R.; Shewry, P.R.; Rosell, C.M.; Martin, A.; Barro, F. Pasting properties of transgenic lines of a commercial bread wheat expressing combinations of HMW glutenin subunit genes. J. Cereal Sci. 2010, 51, 344–349. [Google Scholar] [CrossRef]
- Ortolan, F.; Steel, C.J. Protein Characteristics that Affect the Quality of Vital Wheat Gluten to be Used in Baking: A Review. Compr. Rev. Food Sci. Food Saf. 2017, 16, 369–381. [Google Scholar] [CrossRef]





| Treatment | Spike Numbers 1 × 104 ha−1 | Kernels per Spike | 1000-Kernels Weight (g) | Yield (kg ha−1) |
|---|---|---|---|---|
| S0 | 375 c | 53.80 a | 44.64 b | 7361 b |
| S(B)60 | 421 a | 48.58 b | 45.33 ab | 7811 a |
| Cys(B)60 | 392 b | 49.85 b | 44.15 b | 7304 b |
| S(J)60 | 422 a | 50.35 ab | 44.68 b | 7942 a |
| Cys(J)60 | 425 a | 51.57 ab | 46.13 a | 7944 a |
| Treatment | <10 | 10–100 | >100 | Mean Diameter | |||
|---|---|---|---|---|---|---|---|
| % | μm | % | μm | % | μm | ||
| S0 | 43.27 b | 4.61 ab | 53.28 b | 39.17 ab | 1.13 c | 108.3 b | 23.12 c |
| S(B)60 | 42.36 c | 4.55 b | 52.84 b | 40.55 b | 4.80 ab | 117.1 ab | 29.06 b |
| Cys(B)60 | 43.25 b | 4.66 ab | 54.07 b | 37.14 b | 2.70 b | 118.0 ab | 25.27 c |
| S(J)60 | 30.94 d | 4.71 a | 62.44 a | 48.46 a | 6.17 a | 119.4 a | 39.66 a |
| Cys(J)60 | 44.25 a | 4.67 ab | 53.43 b | 36.65 b | 2.24 b | 115.3 ab | 24.27 c |
| Treatment | Wet Gluten (%) | Dry Gluten (%) | Gluten Index | Sedimentation Volume(mL) |
|---|---|---|---|---|
| S0 | 33.46 c | 13.65 c | 79.7 a | 43.20 c |
| S(B)60 | 39.21 bc | 14.58 b | 72.2 b | 62.30 b |
| Cys(B)60 | 39.58 bc | 14.43 b | 70.7 b | 64.60 b |
| S(J)60 | 43.09 b | 15.23 a | 74.0 ab | 67.27 ab |
| Cys(J)60 | 46.47 a | 15.25 a | 74.1 ab | 69.33 a |
| Treatment | Hardness (g) | Chewiness (N) | Cohesiveness | Springiness | Resilience | Specific Volume (cm 3 g −1) |
|---|---|---|---|---|---|---|
| S0 | 3476 a | 2167 a | 0.70 a | 0.89 a | 0.31 a | 1.23 c |
| S(B)60 | 1862 b | 1130 b | 0.68 a | 0.90 a | 0.29 a | 2.08 b |
| Cys(B)60 | 1402 c | 878 c | 0.68 a | 0.92 a | 0.29 a | 2.31 ab |
| S(J)60 | 1421 c | 876 c | 0.67 a | 0.92 a | 0.29 a | 2.45 a |
| Cys(J)60 | 1054 d | 669 d | 0.68 a | 0.91 a | 0.29 a | 2.58 a |
| Treatment | Appearance Color | Surface Texture | Inside Color | Smoothness | Structure | Flexibility |
|---|---|---|---|---|---|---|
| S0 | 4.0 ab | 4.0 b | 4.6 a | 8.0 b | 22.3 ab | 8.5 b |
| S(B)60 | 3.8 b | 4.0 b | 4.6 a | 8.0 b | 22.8 ab | 8.0 c |
| Cys(B)60 | 4.0 ab | 4.3 a | 4.5 ab | 8.3 a | 23.3 a | 9.2 ab |
| S(J)60 | 4.4 a | 4.2 ab | 4.5 ab | 7.6 c | 22.0 b | 10.0 a |
| Cys(J)60 | 4.4 a | 4.0 b | 4.3 b | 8.4 a | 23.0 a | 10.0 a |
Publisher’s Note: MDPI stays neutral with regard to jurisdictional claims in published maps and institutional affiliations. |
© 2022 by the authors. Licensee MDPI, Basel, Switzerland. This article is an open access article distributed under the terms and conditions of the Creative Commons Attribution (CC BY) license (https://creativecommons.org/licenses/by/4.0/).
Share and Cite
Cai, J.; Zang, F.; Xin, L.; Zhou, Q.; Wang, X.; Zhong, Y.; Huang, M.; Dai, T.; Jiang, D. Effects of Cysteine and Inorganic Sulfur Applications at Different Growth Stages on Grain Protein and End-Use Quality in Wheat. Foods 2022, 11, 3252. https://doi.org/10.3390/foods11203252
Cai J, Zang F, Xin L, Zhou Q, Wang X, Zhong Y, Huang M, Dai T, Jiang D. Effects of Cysteine and Inorganic Sulfur Applications at Different Growth Stages on Grain Protein and End-Use Quality in Wheat. Foods. 2022; 11(20):3252. https://doi.org/10.3390/foods11203252
Chicago/Turabian StyleCai, Jian, Fujuan Zang, Liang Xin, Qin Zhou, Xiao Wang, Yingxin Zhong, Mei Huang, Tingbo Dai, and Dong Jiang. 2022. "Effects of Cysteine and Inorganic Sulfur Applications at Different Growth Stages on Grain Protein and End-Use Quality in Wheat" Foods 11, no. 20: 3252. https://doi.org/10.3390/foods11203252
APA StyleCai, J., Zang, F., Xin, L., Zhou, Q., Wang, X., Zhong, Y., Huang, M., Dai, T., & Jiang, D. (2022). Effects of Cysteine and Inorganic Sulfur Applications at Different Growth Stages on Grain Protein and End-Use Quality in Wheat. Foods, 11(20), 3252. https://doi.org/10.3390/foods11203252

