Detection of Saffron’s Main Bioactive Compounds and Their Relationship with Commercial Quality
Abstract
1. Introduction
2. C. sativus
3. From C. sativus to Saffron
3.1. Harvesting
3.2. Post-Harvest
3.3. Drying
3.4. Storage
4. Saffron in the Food Industry
5. Saffron’s Chemical Composition
5.1. Saffron’s Important Apocarotenoids
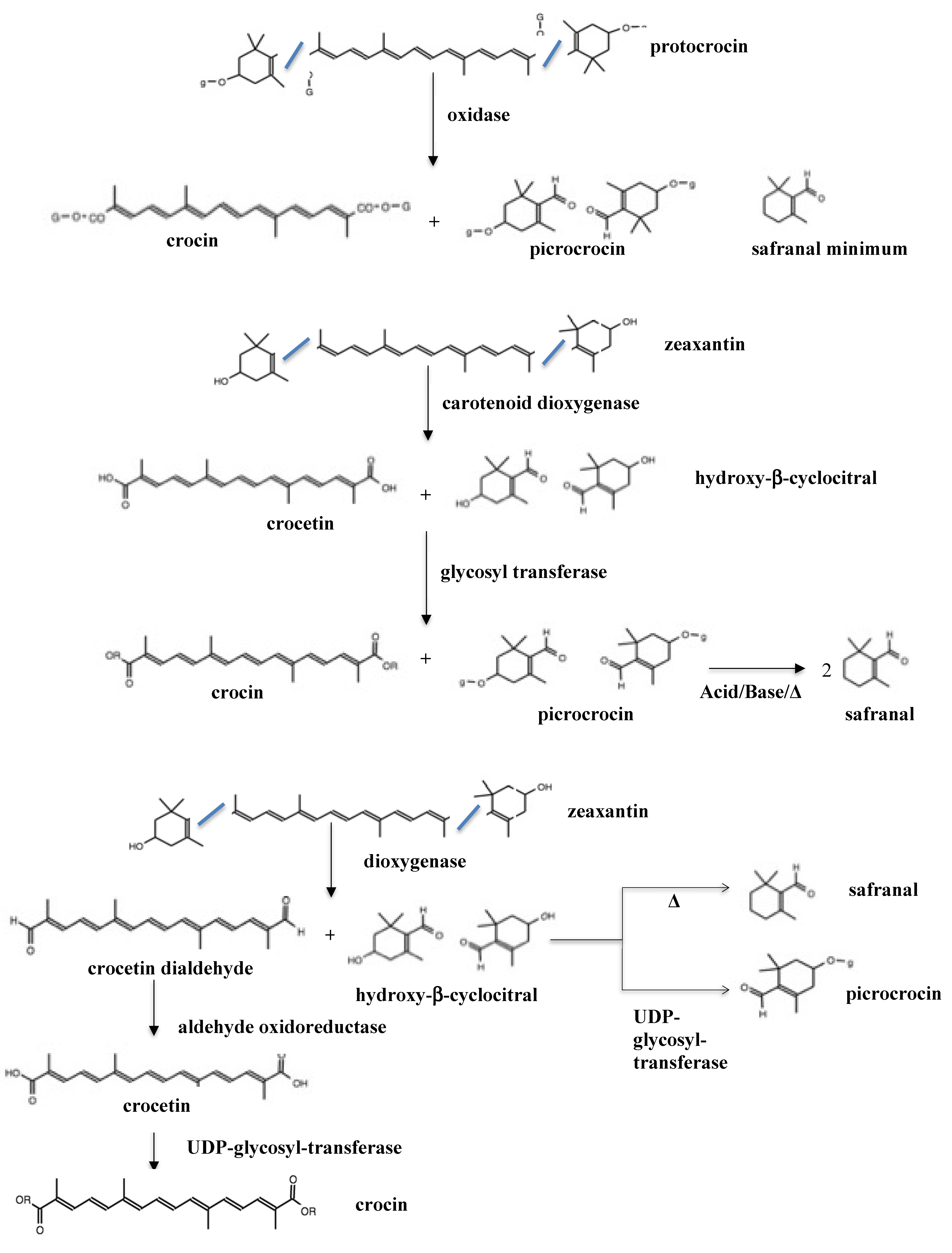
5.2. Hypotheses on the Method of Obtaining Apocarotenoids
6. Saffron Quality: Compounds Related to Color, Odor, and Flavor
6.1. Quality Standards and Apocarotenoid Quantification
6.2. Apocarotenoids and Their Quantification by Chromatography
7. Saffron Authentication
8. Saffron By-Products
9. Conclusions
Author Contributions
Funding
Conflicts of Interest
Abbreviations
References
- Teng, X.; Zhang, M.; Devahastin, S. New Developments on Ultrasound-Assisted Processing and Flavor Detection of Spices: A Review. Ultrason. Sonochem. 2019, 55, 297–307. [Google Scholar] [CrossRef] [PubMed]
- Mirani, A.; Goli, M. Production of the Eggplant-fiber Incorporated Cupcake and Evaluating Its Chemical, Textural and Colorimetric Properties over a Ten-day Storage Time. J. Food Process. Preserv. 2021, 45. [Google Scholar] [CrossRef]
- Cardone, L.; Castronuovo, D.; Perniola, M.; Cicco, N.; Candido, V. Saffron (Crocus sativus L.), the King of Spices: An Overview. Sci. Hortic. 2020, 272. [Google Scholar] [CrossRef]
- Farag, M.A.; Hegazi, N.; Dokhalahy, E.; Khattab, A.R. Chemometrics Based GC-MS Aroma Profiling for Revealing Freshness, Origin and Roasting Indices in Saffron Spice and Its Adulteration. Food Chem. 2020, 331, 127358. [Google Scholar] [CrossRef] [PubMed]
- Lee, F.Y.; Htar, T.T.; Akowuah, G.A. ATR-FTIR and Spectrometric Methods for the Assay of Crocin in Commercial Saffron Spices (Crocus savitus L.). Int. J. Food Prop. 2015, 18, 1773–1783. [Google Scholar] [CrossRef]
- Mykhailenko, O.; Desenko, V.; Ivanauskas, L.; Georgiyants, V. Standard Operating Procedure of Ukrainian Saffron Cultivation According with Good Agricultural and Collection Practices to Assure Quality and Traceability. Ind. Crops Prod. 2020, 151, 112376. [Google Scholar] [CrossRef]
- Heidarbeigi, K.; Mohtasebi, S.S.; Foroughirad, A.; Ghasemi-Varnamkhasti, M.; Rafiee, S.; Rezaei, K. Detection of Adulteration in Saffron Samples Using Electronic Nose. Int. J. Food Prop. 2015, 18, 1391–1401. [Google Scholar] [CrossRef]
- Hadavi, R.; Jafari, S.M.; Katouzian, I. Nanoliposomal Encapsulation of Saffron Bioactive Compounds; Characterization and Optimization. Int. J. Biol. Macromol. 2020, 164, 4046–4053. [Google Scholar] [CrossRef] [PubMed]
- Senizza, B.; Rocchetti, G.; Ghisoni, S.; Busconi, M.; De Los Mozos Pascual, M.; Fernandez, J.A.; Lucini, L.; Trevisan, M. Identification of Phenolic Markers for Saffron Authenticity and Origin: An Untargeted Metabolomics Approach. Food Res. Int. 2019, 126, 108584. [Google Scholar] [CrossRef] [PubMed]
- de Castro, M.D.; Quiles-Zafra, R. Appropriate Use of Analytical Terminology–Examples Drawn From Research on Saffron. Talanta Open 2020, 2, 100005. [Google Scholar] [CrossRef]
- Biancolillo, A.; Maggi, M.A.; De Martino, A.; Marini, F.; Ruggieri, F.; D’Archivio, A.A. Authentication of PDO Saffron of L’Aquila (Crocus sativus L.) by HPLC-DAD Coupled with a Discriminant Multi-Way Approach. Food Control 2020, 110, 107022. [Google Scholar] [CrossRef]
- Dias, C.; Mendes, L. Protected Designation of Origin (PDO), Protected Geographical Indication (PGI) and Traditional Speciality Guaranteed (TSG): A Bibiliometric Analysis. Food Res. Int. 2018, 103, 492–508. [Google Scholar] [CrossRef] [PubMed]
- Lu, X.; Xia, Z.; Qu, F.; Zhu, Z.; Li, S. Identification of Authenticity, Quality and Origin of Saffron Using Hyperspectral Imaging and Multivariate Spectral Analysis. Spectrosc. Lett. 2020, 53, 76–85. [Google Scholar] [CrossRef]
- Bakshi, R.A.; Sodhi, N.S.; Wani, I.A.; Khan, Z.S.; Dhillon, B.; Gani, A. Bioactive Constituents of Saffron Plant: Extraction, Encapsulation and Their Food and Pharmaceutical Applications. Appl. Food Res. 2022, 2, 100076. [Google Scholar] [CrossRef]
- Bosmali, I.; Ordoudi, S.A.; Tsimidou, M.Z.; Madesis, P. Greek PDO Saffron Authentication Studies Using Species Specific Molecular Markers. Food Res. Int. 2017, 100, 899–907. [Google Scholar] [CrossRef] [PubMed]
- Halvorson, S. Saflron Cultivation and Culture in Central Spain. Focus Geogr. 2008, 51, 17–24. [Google Scholar] [CrossRef]
- Ordoudi, S.A.; Tsimidou, M. Saffron Quality: Effect of Agricultural Practices, Processing and Storage. In Production Practices and Quality Assessment of Food Crops; Dris, R., Jain, S.M., Eds.; Kluwer Academic: Amsterdam, The Netherland, 2004; Volume 1, pp. 209–260. ISBN 1402025335. [Google Scholar]
- Winterhalter, P.; Straubinger, M. Saffron-Renewed Interest in an Ancient Spice. Food Rev. Int. 2000, 16, 39–59. [Google Scholar] [CrossRef]
- Bathaie, S.Z.; Farajzade, A.; Hoshyar, R. A Review of the Chemistry and Uses of Crocins and Crocetin, the Carotenoid Natural Dyes in Saffron, with Particular Emphasis on Applications as Colorants Including Their Use as Biological Stains. Biotech. Histochem. 2014, 89, 401–411. [Google Scholar] [CrossRef] [PubMed]
- Ghanbari, J.; Khajoei-Nejad, G.; van Ruth, S.M. Effect of Saffron (Crocus sativus L.) Corm Provenance on Its Agro-Morphological Traits and Bioactive Compounds. Sci. Hortic. (Amst.) 2019, 256, 108605. [Google Scholar] [CrossRef]
- Lage, M.; Cantrell, C.L. Quantification of Saffron (Crocus sativus L.) Metabolites Crocins, Picrocrocin and Safranal for Quality Determination of the Spice Grown under Different Environmental Moroccan Conditions. Sci. Hortic. (Amst.) 2009, 121, 366–373. [Google Scholar] [CrossRef]
- Ahrazem, O.; Rubio-Moraga, A.; Nebauer, S.G.; Molina, R.V.; Gómez-Gómez, L. Saffron: Its Phytochemistry, Developmental Processes, and Biotechnological Prospects. J. Agric. Food Chem. 2015, 63, 8751–8764. [Google Scholar] [CrossRef] [PubMed]
- Condurso, C.; Cincotta, F.; Tripodi, G.; Verzera, A. Bioactive Volatiles in Sicilian (South Italy) Saffron: Safranal and Its Related Compounds. J. Essent. Oil Res. 2017, 29, 221–227. [Google Scholar] [CrossRef]
- Douglas, M.H.; Smallfield, B.M.; Wallace, A.R.; McGimpsey, J.A. Saffron (Crocus sativus L.): The Effect of Mother Corm Size on Progeny Multiplication, Flower and Stigma Production. Sci. Hortic. (Amst.) 2014, 166, 50–58. [Google Scholar] [CrossRef]
- Mzabri, I.; Addi, M.; Berrichi, A. Traditional and Modern Uses of Saffron (Crocus sativus). Cosmetics 2019, 6, 2–11. [Google Scholar] [CrossRef]
- Serrano-Díaz, J.; Sánchez, A.M.; Martínez-Tomé, M.; Winterhalter, P.; Alonso, G.L. A Contribution to Nutritional Studies on Crocus sativus Flowers and Their Value as Food. J. Food Compos. Anal. 2013, 31, 101–108. [Google Scholar] [CrossRef]
- Parizad, S.; Dizadji, A.; Habibi, M.K.; Winter, S.; Kalantari, S.; Movi, S.; Lorenzo Tendero, C.; Alonso, G.L.; Moratalla-Lopez, N. The Effects of Geographical Origin and Virus Infection on the Saffron (Crocus sativus L.) Quality. Food Chem. 2019, 295, 387–394. [Google Scholar] [CrossRef] [PubMed]
- Aghhavani, M.S.; Rezvani, P.M. Are the Apocarotenoids Content and Colorimetric Traits of Saffron (Crocus sativus L.) Affected by Some Post Harvesting Operations? J. Stored Prod. Res. 2022, 97, 101967. [Google Scholar] [CrossRef]
- Kumar, R.; Singh, V.; Devi, K.; Sharma, M.; Singh, M.K.; Ahuja, P.S. State of Art of Saffron (Crocus sativus L.) Agronomy: A Comprehensive Review. Food Rev. Int. 2009, 25, 44–85. [Google Scholar] [CrossRef]
- Gracia, L.; Perez-Vidal, C.; Gracia-López, C. Automated Cutting System to Obtain the Stigmas of the Saffron Flower. Biosyst. Eng. 2009, 104, 8–17. [Google Scholar] [CrossRef]
- Rubert, J.; Lacina, O.; Zachariasova, M.; Hajslova, J. Saffron Authentication Based on Liquid Chromatography High Resolution Tandem Mass Spectrometry and Multivariate Data Analysis. Food Chem. 2016, 204, 201–209. [Google Scholar] [CrossRef] [PubMed]
- Acar, B.; Sadikoglu, H.; Ozkaymak, M. Freeze Drying of Saffron (Crocus sativus L.). Dry. Technol. 2011, 29, 1622–1627. [Google Scholar] [CrossRef]
- Anastasaki, E.; Kanakis, C.; Pappas, C.; Maggi, L.; del Campo, C.P.; Carmona, M.; Alonso, G.L.; Polissiou, M.G. Geographical Differentiation of Saffron by GC-MS/FID and Chemometrics. Eur. Food Res. Technol. 2009, 229, 899–905. [Google Scholar] [CrossRef]
- Catinella, G.; Borgonovo, G.; Dallavalle, S.; Contente, M.L.; Pinto, A. From Saffron Residues to Natural Safranal: Valorization of Waste through a β-Glucosidase. Food Bioprod. Process. 2022, 131, 144–148. [Google Scholar] [CrossRef]
- Chen, D.; Xing, B.; Yi, H.; Li, Y.; Zheng, B.; Wang, Y.; Shao, Q. Effects of Different Drying Methods on Appearance, Microstructure, Bioactive Compounds and Aroma Compounds of Saffron (Crocus sativus L.). LWT Food Sci. Technol. 2020, 120, 108913. [Google Scholar] [CrossRef]
- Cid-Pérez, T.S.; Nevárez-Moorillón, G.V.; Ochoa-Velasco, C.E.; Navarro-Cruz, A.R.; Hernández-Carranza, P.; Avila-Sosa, R. The Relation between Drying Conditions and the Development of Volatile Compounds in Saffron (Crocus sativus). Molecules 2021, 26, 6954. [Google Scholar] [CrossRef]
- Eslami, M.; Bayat, M.; Mozaffari Nejad, A.S.; Sabokbar, A.; Anvar, A.A. Effect of Polymer/Nanosilver Composite Packaging on Long-Term Microbiological Status of Iranian Saffron (Crocus sativus L.). Saudi J. Biol. Sci. 2016, 23, 341–347. [Google Scholar] [CrossRef]
- Giaccio, M. Crocetin from Saffron: An Active Component of an Ancient Spice. Crit. Rev. Food Sci. Nutr. 2004, 44, 155–172. [Google Scholar] [CrossRef]
- Mykhailenko, O.; Ivanauskas, L.; Bezruk, I.; Marksa, M.; Borodina, O.; Georgiyants, V. Effective and Simple Approach for Colchicine Determination in Saffron Parts. Food Chem. 2022, 368, 130862. [Google Scholar] [CrossRef]
- Wang, D.; Cui, L.; Ren, H.; Wang, Y.; Long, D.; Niu, Y. Anti-Fungal Activity and Preliminary Active Components Separation from Ethanol Extracts in Saffron (Crocus sativus L.) Lateral Buds. Ind. Crops Prod. 2021, 173, 114081. [Google Scholar] [CrossRef]
- Hashemi Gahruie, H.; Parastouei, K.; Mokhtarian, M.; Rostami, H.; Niakousari, M.; Mohsenpour, Z. Application of Innovative Processing Methods for the Extraction of Bioactive Compounds from Saffron (Crocus sativus) Petals. J. Appl. Res. Med. Aromat. Plants 2020, 100264. [Google Scholar] [CrossRef]
- Ghanbari, J.; Khajoei-Nejad, G.; Erasmus, S.W.; van Ruth, S.M. Identification and Characterisation of Volatile Fingerprints of Saffron Stigmas and Petals Using PTR-TOF-MS: Influence of Nutritional Treatments and Corm Provenance. Ind. Crops Prod. 2019, 141, 111803. [Google Scholar] [CrossRef]
- Armellini, R.; Peinado, I.; Asensio-Grau, A.; Pittia, P.; Scampicchio, M.; Heredia, A.; Andres, A. In Vitro Starch Digestibility and Fate of Crocins in Pasta Enriched with Saffron Extract. Food Chem. 2019, 283, 155–163. [Google Scholar] [CrossRef]
- Gani, A.; Jan, R.; Ashwar, B.A.; Ashraf, Z.U.; Shah, A.; Gani, A. Encapsulation of Saffron and Sea Buckthorn Bioactives: Its Utilization for Development of Low Glycemic Baked Product for Growing Diabetic Population of the World. LWT 2021, 142, 111035. [Google Scholar] [CrossRef]
- Bhat, N.A.; Hamdani, A.M.; Masoodi, F.A. Development of Functional Cookies Using Saffron Extract. J. Food Sci. Technol. 2018, 55, 4918–4927. [Google Scholar] [CrossRef]
- Bhat, N.A.; Wani, I.A.; Hamdani, A.M.; Gani, A. Development of Functional Cakes Rich in Bioactive Compounds Extracted from Saffron and Tomatoes. J. Food Sci. Technol. 2022, 59, 2479–2491. [Google Scholar] [CrossRef] [PubMed]
- Armellini, R.; Peinado, I.; Pittia, P.; Scampicchio, M.; Heredia, A.; Andres, A. Effect of Saffron (Crocus sativus L.) Enrichment on Antioxidant and Sensorial Properties of Wheat Flour Pasta. Food Chem. 2018, 254, 55–63. [Google Scholar] [CrossRef] [PubMed]
- Sena-Moreno, E.; Alvarez-Ortí, M.; Serrano-Díaz, J.; Pardo, J.E.; Carmona, M.; Alonso, G.L. Olive Oil Aromatization with Saffron by Liquid–Liquid Extraction. J. Food Sci. Technol. 2018, 55, 1093–1103. [Google Scholar] [CrossRef] [PubMed]
- Almodóvar, P.; Prodanov, M.; Arruñada, O.; Inarejos-García, A.M. Affron® Eye, a Natural Extract of Saffron (Crocus sativus L.) with Colorant Properties as Novel Replacer of Saffron Stigmas in Culinary and Food Applications. Int. J. Gastron. Food Sci. 2018, 12, 1–5. [Google Scholar] [CrossRef]
- Dabbagh Moghaddam, A.; Garavand, F.; Razavi, S.H.; Dini Talatappe, H. Production of Saffron-Based Probiotic Beverage by Lactic Acid Bacteria. J. Food Meas. Charact. 2018, 12, 2708–2717. [Google Scholar] [CrossRef]
- Guijarro-Díez, M.; Castro-Puyana, M.; Crego, A.L.; Marina, M.L. A Novel Method for the Quality Control of Saffron through the Simultaneous Analysis of Authenticity and Adulteration Markers by Liquid Chromatography-(Quadrupole-Time of Flight)-Mass Spectrometry. Food Chem. 2017, 228, 403–410. [Google Scholar] [CrossRef] [PubMed]
- Garavand, F.; Rahaee, S.; Vahedikia, N.; Jafari, S.M. Different Techniques for Extraction and Micro/Nanoencapsulation of Saffron Bioactive Ingredients. Trends Food Sci. Technol. 2019, 89, 26–44. [Google Scholar] [CrossRef]
- Caballero-Ortega, H.; Pereda-Miranda, R.; Abdullaev, F.I. HPLC Quantification of Major Active Components from 11 Different Saffron (Crocus sativus L.) Sources. Food Chem. 2007, 100, 1126–1131. [Google Scholar] [CrossRef]
- Liu, J.; Chen, N.; Yang, J.; Yang, B.; Ouyang, Z.; Wu, C.; Yuan, Y.; Wang, W.; Chen, M. An Integrated Approach Combining HPLC, GC/MS, NIRS, and Chemometrics for the Geographical Discrimination and Commercial Categorization of Saffron. Food Chem. 2018, 253, 284–292. [Google Scholar] [CrossRef] [PubMed]
- Ghanbari, J.; Khajoei-Nejad, G.; van Ruth, S.M.; Aghighi, S. The Possibility for Improvement of Flowering, Corm Properties, Bioactive Compounds, and Antioxidant Activity in Saffron (Crocus sativus L.) by Different Nutritional Regimes. Ind. Crops Prod. 2019, 135, 301–310. [Google Scholar] [CrossRef]
- Moratalla-López, N.; José Bagur, M.; Lorenzo, C.; Martínez-Navarro, M.E.; Mora-talla-López, N.; José Bagur, M. Alonso Bioactivity and Bioavailability of the Major Metabolites of Crocus sativus L. Flower. Molecules 2019, 24, 2827. [Google Scholar] [CrossRef] [PubMed]
- Verma, R.S.; Middha, D. Analysis of Saffron (Crocus sativus L. Stigma) Components by LC-MS-MS. Chromatographia 2010, 71, 117–123. [Google Scholar] [CrossRef]
- Sarfarazi, M.; Rajabzadeh, Q.; Tavakoli, R.; Ibrahim, S.A.; Jafari, S.M. Ultrasound-Assisted Extraction of Saffron Bioactive Compounds; Separation of Crocins, Picrocrocin, and Safranal Optimized by Artificial Bee Colony. Ultrason. Sonochem. 2022, 86, 105971. [Google Scholar] [CrossRef] [PubMed]
- Rajabi, H.; Jafari, S.M.; Feizi, J.; Ghorbani, M.; Mohajeri, S.A. Surface-Decorated Graphene Oxide Sheets with Nanoparticles of Chitosan-Arabic Gum for the Separation of Bioactive Compounds: A Case Study for Adsorption of Crocin from Saffron Extract. Int. J. Biol. Macromol. 2021, 186, 1–12. [Google Scholar] [CrossRef] [PubMed]
- Bagur, M.J.; Alonso Salinas, G.L.; Jiménez-Monreal, A.M.; Chaouqi, S.; Llorens, S.; Martínez-Tomé, M.; Alonso, G.L. Saffron: An Old Medicinal Plant and a Potential Novel Functional Food. Molecules 2017, 23, 30. [Google Scholar] [CrossRef]
- Azarabadi, N.; Özdemir, F. Determination of Crocin Content and Volatile Components in Different Qualities of Iranian Saffron. Gida J. Food 2018, 476–489. [Google Scholar] [CrossRef]
- Gismondi, A.; Serio, M.; Canuti, L.; Canini, A. Biochemical, Antioxidant and Antineoplastic Properties of Italian Saffron (Crocus sativus L.) . Am. J. Plant Sci. 2012, 03, 1573–1580. [Google Scholar] [CrossRef]
- Kosar, M.; Demirci, B.; Goger, F.; Kara, I.; Baser, K.H.C. Volatile Composition, Antioxidant Activity, and Antioxidant Components in Saffron Cultivated in Turkey. Int. J. Food Prop. 2017, 20, S746–S754. [Google Scholar] [CrossRef]
- Masi, E.; Taiti, C.; Heimler, D.; Vignolini, P.; Romani, A.; Mancuso, S. PTR-TOF-MS and HPLC Analysis in the Characterization of Saffron (Crocus sativus L.) from Italy and Iran. Food Chem. 2016, 192, 75–81. [Google Scholar] [CrossRef]
- Moratalla-López, N.; Sánchez, A.M.; Lorenzo, C.; López-Córcoles, H.; Alonso, G.L. Quality Determination of Crocus sativus L. Flower by High-Performance Liquid Chromatography. J. Food Compos. Anal. 2020, 93, 103613. [Google Scholar] [CrossRef]
- Rahaiee, S.; Moini, S.; Hashemi, M.; Shojaosadati, S.A. Evaluation of Antioxidant Activities of Bioactive Compounds and Various Extracts Obtained from Saffron (Crocus sativus L.): A Review. J. Food Sci. Technol. 2015, 52, 1881–1888. [Google Scholar] [CrossRef] [PubMed]
- Reddy, C.N.; Bharate, S.B.; Vishwakarma, R.A.; Bharate, S.S. Chemical Analysis of Saffron by HPLC Based Crocetin Estimation. J. Pharm. Biomed. Anal. 2020, 181, 113094. [Google Scholar] [CrossRef] [PubMed]
- Rocchi, R.; Mascini, M.; Sergi, M.; Compagnone, D.; Mastrocola, D.; Pittia, P. Crocins Pattern in Saffron Detected by UHPLC-MS/MS as Marker of Quality, Process and Traceability. Food Chem. 2018, 264, 241–249. [Google Scholar] [CrossRef] [PubMed]
- Shahi, T.; Assadpour, E.; Jafari, S.M. Main Chemical Compounds and Pharmacological Activities of Stigmas and Tepals of ‘Red Gold’; Saffron. Trends Food Sci. Technol. 2016, 58, 69–78. [Google Scholar] [CrossRef]
- Tabtabaei, S.; D’Archivio, A.A.; Maggi, M.A.; Brutus, M.; Bajracharya, D.H.; Konakbayeva, D.; Soleimani, A.; Brim, H.; Ashktorab, H. Geographical Classification of Iranian and Italian Saffron Sources Based on HPLC Analysis and UV–Vis Spectra of Aqueous Extracts. Eur. Food Res. Technol. 2019, 245, 2435–2446. [Google Scholar] [CrossRef]
- Urbani, E.; Blasi, F.; Simonetti, M.S.; Chiesi, C.; Cossignani, L. Investigation on Secondary Metabolite Content and Antioxidant Activity of Commercial Saffron Powder. Eur. Food Res. Technol. 2016, 242, 987–993. [Google Scholar] [CrossRef]
- Vahedi, M.; Kabiri, M.; Salami, S.A.; Rezadoost, H.; Mirzaie, M.; Kanani, M.R. Quantitative HPLC-Based Metabolomics of Some Iranian Saffron (Crocus sativus L.) Accessions. Ind. Crops Prod. 2018, 118, 26–29. [Google Scholar] [CrossRef]
- Bhat, Z.S.; Jaladi, N.; Khajuria, R.K.; Shah, Z.H.; Arumugam, N. Comparative Analysis of Bioactive N-Alkylamides Produced by Tissue Culture Raised versus Field Plantlets of Spilanthes Ciliata Using LC-Q-TOF (HRMS). J. Chromatogr. B Anal. Technol. Biomed. Life Sci. 2016, 1017–1018, 195–203. [Google Scholar] [CrossRef]
- Guclu, G.; Kelebek, H.; Selli, S. Saffron (Crocus sativus L.): Its Aroma and Key Odorants. In Saffron The Age-Old Panacea in a New Light; Sarwat, M., Sumaiya, S., Eds.; Academic Press: London, UK, 2020; pp. 69–82. [Google Scholar]
- Melnyk, J.P.; Wang, S.; Marcone, M.F. Chemical and Biological Properties of the World’s Most Expensive Spice: Saffron. Food Res. Int. 2010, 43, 1981–1989. [Google Scholar] [CrossRef]
- Hosseini, A.; Razavi, B.M.; Hosseinzadeh, H. Pharmacokinetic Properties of Saffron and Its Active Components. Eur. J. Drug Metab. Pharmacokinet. 2018, 43, 383–390. [Google Scholar] [CrossRef]
- Jalali-Heravi, M.; Parastar, H.; Ebrahimi-Najafabadi, H. Characterization of Volatile Components of Iranian Saffron Using Factorial-Based Response Surface Modeling of Ultrasonic Extraction Combined with Gas Chromatography-Mass Spectrometry Analysis. J. Chromatogr. A 2009, 1216, 6088–6097. [Google Scholar] [CrossRef]
- Ordoudi, S.A.; Cagliani, L.R.; Lalou, S.; Naziri, E.; Tsimidou, M.Z.; Consonni, R. 1H NMR-Based Metabolomics of Saffron Reveals Markers for Its Quality Deterioration. Food Res. Int. 2015, 70, 1–6. [Google Scholar] [CrossRef]
- García-Rodríguez, M.V.; Moratalla-López, N.; López-Córcoles, H.; Alonso, G.L. Saffron Quality Obtained under Different Forcing Conditions, Considering Various Vegetative Stages of Corms. Sci. Hortic. (Amst.) 2021, 277, 109811. [Google Scholar] [CrossRef]
- Fallahi, H.-R.; Aghhavani-Shajari, M.; Sahabi, H.; Behdani, M.A.; Sayyari-Zohan, M.H.; Vatandoost, S. Influence of Some Pre and Post-Harvest Practices on Quality of Saffron Stigmata. Sci. Hortic. (Amst.) 2021, 278, 109846. [Google Scholar] [CrossRef]
- Sereshti, H.; Ataolahi, S.; Aliakbarzadeh, G.; Zarre, S.; Poursorkh, Z. Evaluation of Storage Time Effect on Saffron Chemical Profile Using Gas Chromatography and Spectrophotometry Techniques Coupled with Chemometrics. J. Food Sci. Technol. 2018, 55, 1350–1359. [Google Scholar] [CrossRef]
- Sarfarazi, M.; Jafari, S.M.; Rajabzadeh, G.; Feizi, J. Development of an Environmentally-Friendly Solvent-Free Extraction of Saffron Bioactives Using Subcritical Water. LWT Food Sci. Technol. 2019, 114, 108428. [Google Scholar] [CrossRef]
- Kiani, S.; Minaei, S.; Ghasemi-Varnamkhasti, M. Integration of Computer Vision and Electronic Nose as Non-Destructive Systems for Saffron Adulteration Detection. Comput. Electron. Agric. 2017, 141, 46–53. [Google Scholar] [CrossRef]
- Neri, L.; Giancaterino, M.; Rocchi, R.; Tylewicz, U.; Valbonetti, L.; Faieta, M.; Pittia, P. Pulsed Electric Fields (PEF) as Hot Air Drying Pre-Treatment: Effect on Quality and Functional Properties of Saffron (Crocus sativus L.). Innov. Food Sci. Emerg. Technol. 2021, 67, 102592. [Google Scholar] [CrossRef]
- Sabatino, L.; Scordino, M.; Gargano, M.; Belligno, A.; Traulo, P.; Gagliano, G. HPLC/PDA/ESI-MS Evaluation of Saffron (Crocus sativus L.) Adulteration. Nat. Prod. Commun. 2011, 6, 1873–1876. [Google Scholar] [CrossRef] [PubMed]
- Aiello, D.; Siciliano, C.; Mazzotti, F.; Di Donna, L.; Athanassopoulos, C.M.; Napoli, A. A Rapid MALDI MS/MS Based Method for Assessing Saffron (Crocus sativus L.) Adulteration. Food Chem. 2020, 307. [Google Scholar] [CrossRef]
- Chaouqi, S.; Moratalla-López, N.; Lage, M.; Lorenzo, C.; Alonso, G.L.; Guedira, T. Effect of Drying and Storage Process on Moroccan Saffron Quality. Food Biosci. 2018, 22, 146–153. [Google Scholar] [CrossRef]
- Cossignani, L.; Urbani, E.; Simonetti, M.S.; Maurizi, A.; Chiesi, C.; Blasi, F. Characterisation of Secondary Metabolites in Saffron from Central Italy (Cascia, Umbria). Food Chem. 2014, 143, 446–451. [Google Scholar] [CrossRef]
- Kiani, S.; Minaei, S.; Ghasemi-Varnamkhasti, M. Instrumental Approaches and Innovative Systems for Saffron Quality Assessment. J. Food Eng. 2018, 216, 1–10. [Google Scholar] [CrossRef]
- Kabiri, M.; Rezadoost, H.; Ghassempour, A. A Comparative Quality Study of Saffron Constituents through HPLC and HPTLC Methods Followed by Isolation of Crocins and Picrocrocin. LWT Food Sci. Technol. 2017, 84, 1–9. [Google Scholar] [CrossRef]
- Minaei, S.; Kiani, S.; Ayyari, M.; Ghasemi-Varnamkhasti, M. A Portable Computer-Vision-Based Expert System for Saffron Color Quality Characterization. J. Appl. Res. Med. Aromat. Plants 2017, 7, 124–130. [Google Scholar] [CrossRef]
- Pei, Y.; Li, Z.; Xu, W.; Song, C.; Li, J.; Song, F. Effects of Ultrasound Pretreatment Followed by Far-Infrared Drying on Physicochemical Properties, Antioxidant Activity and Aroma Compounds of Saffron (Crocus sativus L.). Food Biosci. 2021, 42, 101186. [Google Scholar] [CrossRef]
- Sánchez, A.M.; Winterhalter, P. Carotenoid Cleavage Products in Saffron (Crocus sativus L.). ACS Symp. Ser. 2013, 1134, 45–63. [Google Scholar] [CrossRef]
- del Campo, C.P.; Carmona, M.; Maggi, L.; Kanakis, C.D.; Anastasaki, E.G.; Tarantilis, P.A.; Polissiou, M.G.; Alonso, G.L. Effects of Mild Temperature Conditions during Dehydration Procedures on Saffron Quality Parameters. J. Sci. Food Agric. 2010, 90, 719–725. [Google Scholar] [CrossRef] [PubMed]
- Christodoulou, E.; Kadoglou, N.P.; Kostomitsopoulos, N.; Valsami, G. Saffron: A Natural Product with Potential Pharmaceutical Applications. J. Pharm. Pharmacol. 2015, 67, 1634–1649. [Google Scholar] [CrossRef]
- García-Rodríguez, M.V.; López-Córcoles, H.; Alonso, G.L.; Pappas, C.S.; Polissiou, M.G.; Tarantilis, P.A. Comparative Evaluation of an ISO 3632 Method and an HPLC-DAD Method for Safranal Quantity Determination in Saffron. Food Chem. 2017, 221, 838–843. [Google Scholar] [CrossRef] [PubMed]
- Urbani, E.; Blasi, F.; Chiesi, C.; Maurizi, A.; Cossignani, L. Characterization of Volatile Fraction of Saffron from Central Italy (Cascia, Umbria). Int. J. Food Prop. 2015, 18, 2223–2230. [Google Scholar] [CrossRef]
- Vignolini, P.; Heimler, D.; Pinelli, P.; Ieri, F.; Sciullo, A.; Romani, A. Characterization of By-Products of Saffron (Crocus sativus L.) Production. Nat. Prod. Commun. 2008, 3, 1934578X0800301. [Google Scholar] [CrossRef]
- Ordoudi, S.A.; De Los Mozos Pascual, M.; Tsimidou, M.Z. On the Quality Control of Traded Saffron by Means of Transmission Fourier-Transform Mid-Infrared (FT-MIR) Spectroscopy and Chemometrics. Food Chem. 2014, 150, 414–421. [Google Scholar] [CrossRef]
- Bononi, M.; Milella, P.; Tateo, F. Gas Chromatography of Safranal as Preferable Method for the Commercial Grading of Saffron (Crocus sativus L.). Food Chem. 2015, 176, 17–21. [Google Scholar] [CrossRef]
- Cagliani, L.R.; Culeddu, N.; Chessa, M.; Consonni, R. NMR Investigations for a Quality Assessment of Italian PDO Saffron (Crocus sativus L.). Food Control 2015, 50, 342–348. [Google Scholar] [CrossRef]
- Suchareau, M.; Bordes, A.; Lemée, L. Improved Quantification Method of Crocins in Saffron Extract Using HPLC-DAD after Qualification by HPLC-DAD-MS. Food Chem. 2021, 362, 130199. [Google Scholar] [CrossRef]
- D’Archivio, A.A.; Maggi, M.A. Geographical Identification of Saffron (Crocus sativus L.) by Linear Discriminant Analysis Applied to the UV–Visible Spectra of Aqueous Extracts. Food Chem. 2017, 219, 408–413. [Google Scholar] [CrossRef] [PubMed]
- Maggi, L.; Sánchez, A.M.; Carmona, M.; Kanakis, C.D.; Anastasaki, E.; Tarantilis, P.A.; Polissiou, M.G.; Alonso, G.L. Rapid Determination of Safranal in the Quality Control of Saffron Spice (Crocus sativus L.). Food Chem. 2011, 127, 369–373. [Google Scholar] [CrossRef]
- Carmona, M.; Zalacain, A.; Sánchez, A.M.; Novella, J.L.; Alonso, G.L. Crocetin Esters, Picrocrocin and Its Related Compounds Present in Crocus Sativus Stigmas and Gardenia Jasminoides Fruits. Tentative Identification of Seven New Compounds by LC-ESI-MS. J. Agric. Food Chem. 2006, 54, 973–979. [Google Scholar] [CrossRef] [PubMed]
- Moras, B.; Loffredo, L.; Rey, S. Quality Assessment of Saffron (Crocus sativus L.) Extracts via UHPLC-DAD-MS Analysis and Detection of Adulteration Using Gardenia Fruit Extract (Gardenia jasminoides Ellis). Food Chem. 2018, 257, 325–332. [Google Scholar] [CrossRef]
- Guijarro-Díez, M.; Nozal, L.; Marina, M.L.; Crego, A.L. Metabolomic Fingerprinting of Saffron by LC/MS: Novel Authenticity Markers. Anal. Bioanal. Chem. 2015, 407, 7197–7213. [Google Scholar] [CrossRef] [PubMed]
- Amanpour, A.; Kelebek, H.; Selli, S. GLC/HPLC Methods for Saffron (Crocus sativus L.); Springer: Cham, Switzerland, 2018; pp. 1–49. [Google Scholar]
- Moratalla-López, N.; Parizad, S.; Habibi, M.K.; Winter, S.; Kalantari, S.; Bera, S.; Lorenzo, C.; García-Rodríguez, M.V.; Dizadji, A.; Alonso, G.L. Impact of Two Different Dehydration Methods on Saffron Quality, Concerning the Prevalence of Saffron Latent Virus (SaLV) in Iran. Food Chem. 2021, 337, 127786. [Google Scholar] [CrossRef]
- Rahaiee, S.; Hashemi, M.; Moini, S.; Shojaosadati, S.A.; Razavi, S.H. Comparison of Phytochemical Constituents and Antioxidant Activities of Aqueous and Alcoholic Extracts of Saffron. Qual. Assur. Saf. Crop. Foods 2015, 7, 521–529. [Google Scholar] [CrossRef]
- Yousuf, B.; Qadri, O.S.; Srivastava, A.K. Recent Developments in Shelf-Life Extension of Fresh-Cut Fruits and Vegetables by Application of Different Edible Coatings: A Review. LWT Food Sci. Technol. 2018, 89, 198–209. [Google Scholar] [CrossRef]
- Kyriakoudi, A.; Chrysanthou, A.; Mantzouridou, F.; Tsimidou, M.Z. Revisiting Extraction of Bioactive Apocarotenoids from Crocus sativus L. Dry Stigmas (Saffron). Anal. Chim. Acta 2012, 755, 77–85. [Google Scholar] [CrossRef]
- Zhang, H.; Zeng, Y.; Yan, F.; Chen, F.; Zhang, X.; Liu, M.; Liu, W. Semi-Preparative Isolation of Crocins from Saffron (Crocus sativus L.). Chromatographia 2004, 59. [Google Scholar] [CrossRef]
- Carmona, M.; Zalacain, A.; Salinas, M.R.; Alonso, G.L. A New Approach to Saffron Aroma. Crit. Rev. Food Sci. Nutr. 2007, 47, 145–159. [Google Scholar] [CrossRef] [PubMed]
- Torelli, A.; Marieschi, M.; Bruni, R. Authentication of Saffron (Crocus sativus L.) in Different Processed, Retail Products by Means of SCAR Markers. Food Control 2014, 36, 126–131. [Google Scholar] [CrossRef]
- Khilare, V.; Tiknaik, A.; Prakash, B.; Ughade, B.; Korhale, G.; Nalage, D.; Ahmed, N.; Khedkar, C.; Khedkar, G. Multiple Tests on Saffron Find New Adulterant Materials and Reveal That Ist Grade Saffron Is Rare in the Market. Food Chem. 2019, 272, 635–642. [Google Scholar] [CrossRef] [PubMed]
- Amirvaresi, A.; Nikounezhad, N.; Amirahmadi, M.; Daraei, B.; Parastar, H. Comparison of Near-Infrared (NIR) and Mid-Infrared (MIR) Spectroscopy Based on Chemometrics for Saffron Authentication and Adulteration Detection. Food Chem. 2021, 344, 128647. [Google Scholar] [CrossRef] [PubMed]
- Masoum, S.; Gholami, A.; Hemmesi, M.; Abbasi, S. Quality Assessment of the Saffron Samples Using Second-Order Spectrophotometric Data Assisted by Three-Way Chemometric Methods via Quantitative Analysis of Synthetic Colorants in Adulterated Saffron. Spectrochim. Acta Part A Mol. Biomol. Spectrosc. 2015, 148, 389–395. [Google Scholar] [CrossRef]
- Guijarro-Díez, M.; Castro-Puyana, M.; Crego, A.L.; Marina, M.L. Detection of Saffron Adulteration with Gardenia Extracts through the Determination of Geniposide by Liquid Chromatography–Mass Spectrometry. J. Food Compos. Anal. 2017, 55, 30–37. [Google Scholar] [CrossRef]
- Nenadis, N.; Heenan, S.; Tsimidou, M.Z.; Van Ruth, S. Applicability of PTR-MS in the Quality Control of Saffron. Food Chem. 2016, 196, 961–967. [Google Scholar] [CrossRef]
- Paul, A.; de Boves Harrington, P. Chemometric Applications in Metabolomic Studies Using Chromatography-Mass Spectrometry. TrAC Trends Anal. Chem. 2021, 135, 116165. [Google Scholar] [CrossRef]
- Medina, S.; Perestrelo, R.; Silva, P.; Pereira, J.A.M.; Câmara, J.S. Current Trends and Recent Advances on Food Authenticity Technologies and Chemometric Approaches. Trends Food Sci. Technol. 2019, 85, 163–176. [Google Scholar] [CrossRef]
- Petrakis, E.A.; Polissiou, M.G. Assessing Saffron (Crocus sativus L.) Adulteration with Plant-Derived Adulterants by Diffuse Reflectance Infrared Fourier Transform Spectroscopy Coupled with Chemometrics. Talanta 2017, 162, 558–566. [Google Scholar] [CrossRef] [PubMed]
- Babaei, S.; Talebi, M.; Bahar, M. Developing an SCAR and ITS Reliable Multiplex PCR-Based Assay Forsafflower Adulterant Detection in Saffron Samples. Food Control 2014, 35, 323–328. [Google Scholar] [CrossRef]
- Petrakis, E.A.; Cagliani, L.R.; Polissiou, M.G.; Consonni, R. Evaluation of Saffron (Crocus sativus L.) Adulteration with Plant Adulterants by 1H NMR Metabolite Fingerprinting. Food Chem. 2015, 173, 890–896. [Google Scholar] [CrossRef] [PubMed]
- Li, Y.; Shen, Y.; Yao, C.; Guo, D. Quality Assessment of Herbal Medicines Based on Chemical Fingerprints Combined with Chemometrics Approach: A Review. J. Pharm. Biomed. Anal. 2020, 185, 113215. [Google Scholar] [CrossRef] [PubMed]
- Campmajó, G.; Saez-Vigo, R.; Saurina, J.; Núñez, O. High-Performance Liquid Chromatography with Fluorescence Detection Fingerprinting Combined with Chemometrics for Nut Classification and the Detection and Quantitation of Almond-Based Product Adulterations. Food Control 2020, 114, 107265. [Google Scholar] [CrossRef]
- Kalogiouri, N.P.; Aalizadeh, R.; Dasenaki, M.E.; Thomaidis, N.S. Application of High Resolution Mass Spectrometric Methods Coupled with Chemometric Techniques in Olive Oil Authenticity Studies—A Review. Anal. Chim. Acta 2020, 1134, 150–173. [Google Scholar] [CrossRef] [PubMed]
- Monago-Maraña, O.; Durán-Merás, I.; Muñoz de la Peña, A.; Galeano-Díaz, T. Analytical Techniques and Chemometrics Approaches in Authenticating and Identifying Adulteration of Paprika Powder Using Fingerprints: A Review. Microchem. J. 2022, 178, 107382. [Google Scholar] [CrossRef]
- Shawky, E.; Abu El-Khair, R.A.; Selim, D.A. NIR Spectroscopy-Multivariate Analysis for Rapid Authentication, Detection and Quantification of Common Plant Adulterants in Saffron (Crocus sativus L.) Stigmas. Lwt 2020, 122, 109032. [Google Scholar] [CrossRef]
- Rocchi, R.; Mascini, M.; Faberi, A.; Sergi, M.; Compagnone, D.; Di Martino, V.; Carradori, S.; Pittia, P. Comparison of IRMS, GC-MS and E-Nose Data for the Discrimination of Saffron Samples with Different Origin, Process and Age. Food Control 2019, 106, 106736. [Google Scholar] [CrossRef]
- Zhao, M.; Wang, B.; Xiang, L.; Xiong, C.; Shi, Y.; Wu, L.; Meng, X.; Dong, G.; Xie, Y.; Sun, W. A Novel Onsite and Visual Molecular Technique to Authenticate Saffron (Crocus sativus) and Its Adulterants Based on Recombinase Polymerase Amplification. Food Control 2019, 100, 117–121. [Google Scholar] [CrossRef]
- Karabagias, I.K.; Koutsoumpou, M.; Liakou, V.; Kontakos, S.; Kontominas, M.G. Characterization and Geographical Discrimination of Saffron from Greece, Spain, Iran, and Morocco Based on Volatile and Bioactivity Markers, Using Chemometrics. Eur. Food Res. Technol. 2017, 243, 1577–1591. [Google Scholar] [CrossRef]
- Wakefield, J.; McComb, K.; Ehtesham, E.; Van Hale, R.; Barr, D.; Hoogewerff, J.; Frew, R. Chemical Profiling of Saffron for Authentication of Origin. Food Control 2019, 106. [Google Scholar] [CrossRef]
- Wang, P.; Yu, Z. Species Authentication and Geographical Origin Discrimination of Herbal Medicines by near Infrared Spectroscopy: A Review. J. Pharm. Anal. 2015, 5, 277–284. [Google Scholar] [CrossRef] [PubMed]
- Castro, R.C.; Ribeiro, D.S.M.; Santos, J.L.M.; Páscoa, R.N.M.J. Near Infrared Spectroscopy Coupled to MCR-ALS for the Identification and Quantification of Saffron Adulterants: Application to Complex Mixtures. Food Control 2021, 123, 107776. [Google Scholar] [CrossRef]
- Ordoudi, S.A.; Staikidou, C.; Kyriakoudi, A.; Tsimidou, M.Z. A Stepwise Approach for the Detection of Carminic Acid in Saffron with Regard to Religious Food Certification. Food Chem. 2018, 267, 410–419. [Google Scholar] [CrossRef]
- Bhooma, V.; Nagasathiya, K.; Vairamani, M.; Parani, M. Identification of Synthetic Dyes Magenta III (New Fuchsin) and Rhodamine B as Common Adulterants in Commercial Saffron. Food Chem. 2020, 309, 125793. [Google Scholar] [CrossRef]
- Petrakis, E.A.; Cagliani, L.R.; Tarantilis, P.A.; Polissiou, M.G.; Consonni, R. Sudan Dyes in Adulterated Saffron (Crocus sativus L.): Identification and Quantification by 1H NMR. Food Chem. 2017, 217, 418–424. [Google Scholar] [CrossRef]
- Lahmass, I.; Lamkami, T.; Delporte, C.; Sikdar, S.; Van Antwerpen, P.; Saalaoui, E.; Megalizzi, V. The Waste of Saffron Crop, a Cheap Source of Bioactive Compounds. J. Funct. Foods 2017, 35, 341–351. [Google Scholar] [CrossRef]
- Li, J.; Wu, G.; Qin, C.; Chen, W.; Chen, G.; Wen, L. Structure Characterization and Otoprotective Effects of a New Endophytic Exopolysaccharide from Saffron. Molecules 2019, 24, 749. [Google Scholar] [CrossRef] [PubMed]
- Righi, V.; Parenti, F.; Tugnoli, V.; Schenetti, L.; Mucci, A. Crocus sativus Petals: Waste or Valuable Resource? The Answer of High-Resolution and High-Resolution Magic Angle Spinning Nuclear Magnetic Resonance. J. Agric. Food Chem. 2015, 63, 8439–8444. [Google Scholar] [CrossRef]
- Tirillini, B.; Pagiotti, R.; Menghini, L.; Miniati, E. The Volatile Organic Compounds from Tepals and Anthers of Saffron Flowers (Crocus sativus L.). J. Essent. Oil Res. 2006, 18, 298–300. [Google Scholar] [CrossRef]
- Serrano-Díaz, J.; Sánchez, A.M.; Martínez-Tomé, M.; Winterhalter, P.; Alonso, G.L. Flavonoid Determination in the Quality Control of Floral Bioresidues from Crocus sativus L. J. Agric. Food Chem. 2014, 62, 3125–3133. [Google Scholar] [CrossRef]
- Mottaghipisheh, J.; Mahmoodi Sourestani, M.; Kiss, T.; Horváth, A.; Tóth, B.; Ayanmanesh, M.; Khamushi, A.; Csupor, D. Comprehensive Chemotaxonomic Analysis of Saffron Crocus Tepal and Stamen Samples, as Raw Materials with Potential Antidepressant Activity. J. Pharm. Biomed. Anal. 2020, 184. [Google Scholar] [CrossRef]
- Jadouali, S.M.; Atifi, H.; Mamouni, R.; Majourhat, K.; Bouzoubaâ, Z.; Laknifli, A.; Faouzi, A. Chemical Characterization and Antioxidant Compounds of Flower Parts of Moroccan Crocus sativus L. J. Saudi Soc. Agric. Sci. 2019, 18, 476–480. [Google Scholar] [CrossRef]
- Tuberoso, C.I.G.; Rosa, A.; Montoro, P.; Fenu, M.A.; Pizza, C. Antioxidant Activity, Cytotoxic Activity and Metabolic Profiling of Juices Obtained from Saffron (Crocus sativus L.) Floral by-Products. Food Chem. 2016, 199, 18–27. [Google Scholar] [CrossRef]
- Lotfi, L.; Kalbasi-Ashtari, A.; Hamedi, M.; Ghorbani, F. Effects of Enzymatic Extraction on Anthocyanins Yield of Saffron Tepals (Crocus sativus) along with Its Color Properties and Structural Stability. J. Food Drug Anal. 2015, 23, 210–218. [Google Scholar] [CrossRef]
- Menghini, L.; Leporini, L.; Vecchiotti, G.; Locatelli, M.; Carradori, S.; Ferrante, C.; Zengin, G.; Recinella, L.; Chiavaroli, A.; Leone, S.; et al. Crocus sativus L. Stigmas and Byproducts: Qualitative Fingerprint, Antioxidant Potentials and Enzyme Inhibitory Activities. Food Res. Int. 2018, 109, 91–98. [Google Scholar] [CrossRef]

| Geographical Origin | Type of Extract | Compound | Concentration | Technique | Ref. | |
|---|---|---|---|---|---|---|
| Azerbaijan | Methanol–water (50:50, v/v) | Trans-4-GG | 39.08 | mg/g | HPLC-PDA | [53] |
| Trans-3-Gg | 27.25 | |||||
| Cis-4-GG | 7.49 | |||||
| Σ crocins | 77.16 | |||||
| Picrocrocin | 3.34 | |||||
| Safranal | 0.98 | |||||
| China | Methanol–water (50:50, v/v) | Trans-4-GG | 6.29 | mg/g | HPLC-PDA | [53] |
| Trans-3Gg | 2.44 | |||||
| Σ crocins | 8.73 | |||||
| Picrocrocin | 0.53 | |||||
| Safranal | 0.22 | |||||
| Poitou, France | Methanol–water (50:50, v/v) | Trans-4-GG | 38.43 | mg/g | HPLC-PDA | [53] |
| Trans-3-Gg | 27.74 | |||||
| Cis-4-GG | 5.89 | |||||
| Σ crocins | 75.07 | |||||
| Picrocrocin | 5.97 | |||||
| Safranal | 0.81 | |||||
| Greece | Methanol–water (50:50, v/v) | Trans-4-GG | 40.77 | mg/g | HPLC-PDA | [53] |
| Trans-3-Gg | 30.36 | |||||
| Cis-4-GG | 10.14 | |||||
| Σ crocins | 86.51 | |||||
| Picrocrocin | 5.95 | |||||
| Safranal | 1.29 | |||||
| India | Methanol–water (50:50, v/v) | Trans-4-GG | 37.54 | mg/g | HPLC-PDA | [53] |
| Trans-3-Gg | 22.13 | |||||
| Cis-4-GG | 9.12 | |||||
| Σ crocins | 75.68 | |||||
| Picrocrocin | 7.87 | |||||
| Safranal | 0.47 | |||||
| Fars, Iran | Aqueous extracts | Trans-4-GG | 56.16 | mg/g | HPLC-DAD | [27] |
| Trans-3-Gg | 48.72 | |||||
| Cis-4-GG | 12.53 | |||||
| Trans-2-gg | 12.49 | |||||
| Σ crocins | 153.81 | |||||
| Picrocrocin | 77.29 | |||||
| Ghaen, Iran | Ethanol (70%) | Trans-4-GG | 197.84 | mg/g | HPLC-DAD-MS | [64] |
| Trans-3-Gg | 71.56 | |||||
| Cis-4-GG | 26.88 | |||||
| Trans-2-G | 24.86 | |||||
| Σ crocins | 338.87 | |||||
| Picrocrocin | 43.82 | |||||
| Safranal | 1.35 | |||||
| Gonabad, Iran | Ethanol (70%) | Trans-4-GG | 168.91 | mg/g | HPLC-DAD-MS | [64] |
| Trans-3-Gg | 61.25 | |||||
| Cis-4-GG | 30.42 | |||||
| Trans-2-G | 26 | |||||
| Σ crocins | 302.51 | |||||
| Picrocrocin | 36.97 | |||||
| Safranal | 1.26 | |||||
| Isfahan, Iran | Aqueous extracts | Picrocrocin | 150.64 | mg/g | HPLC-DAD | [27] |
| Trans-4-GG | 46.86 | |||||
| Trans-3-Gg | 43.51 | |||||
| Trans-2-G | 14.53 | |||||
| Trans-2-gg | 10.56 | |||||
| Σ crocins | 137.05 | |||||
| Safranal | 1.04 | |||||
| Kerman, Iran | Aqueous extracts | Trans-4-GG | 77.89 | mg/g | HPLC-DAD | [27] |
| Trans-3-Gg | 46.69 | |||||
| Trans-2-G | 12.79 | |||||
| Σ crocins | 159.86 | |||||
| Picrocrocin | 63.95 | |||||
| Safranal | 1.31 | |||||
| Razavi Khorasan, Iran | Aqueous extracts | Trans-4-GG | 54.73 | mg/g | HPLC-DAD | [27] |
| Trans-3-Gg | 34.51 | |||||
| Trans-2-G | 9.35 | |||||
| Σ crocins | 123.61 | |||||
| Picrocrocin | 120.62 | |||||
| Safranal | 2.13 | |||||
| Tehran, Iran | Aqueous extracts | Trans-4-GG | 59.7 | mg/g | HPLC-DAD | [27] |
| Trans-3-Gg | 44.43 | |||||
| Cis-4-GG | 12.39 | |||||
| Trans-2-gg | 9.34 | |||||
| Σ crocins | 146.66 | |||||
| Picrocrocin | 131.61 | |||||
| Safranal | 0.57 | |||||
| Tehran, Iran | Aqueous extracts (1%) Freeze-Dried | Picrocrocin | 33.88 | mmol/100g | HPLC-DAD | [109] |
| HTCC | 20.2 | |||||
| Trans-3-Gg | 3.81 | |||||
| Trans-4-GG | 3.53 | |||||
| Trans-2-gg | 1.17 | |||||
| Σ crocins | 9.91 | |||||
| Safranal | 0.84 | |||||
| Tehran, Iran | Aqueous extracts (1%) Dark-Dried | HTCC | 16.82 | mmol/100g | HPLC-DAD | [109] |
| Picrocrocin | 15.14 | |||||
| Trans-4-GG | 4.59 | |||||
| Trans-3-Gg | 3.71 | |||||
| Σ crocins | 11.95 | |||||
| Safranal | 0.41 | |||||
| Torbat, Iran | Ethanol (70%) | Trans-4-GG | 238.02 | mg/g | HPLC-DAD-MS | [64] |
| Trans-3-Gg | 85.36 | |||||
| Trans-2-G | 24.3 | |||||
| Cis-4-GG | 19.38 | |||||
| Σ crocins | 388.23 | |||||
| Picrocrocin | 67.95 | |||||
| Safranal | 1.79 | |||||
| Iran | Aqueous extracts | Trans-4-GG | 42.24 | % | HPLC | [70] |
| Trans-3-Gg | 24.76 | |||||
| Cis-4-GG | 5.09 | |||||
| Trans-2-G | 3.53 | |||||
| Trans-2-gg | 3.18 | |||||
| Σ crocins | 83.06 | |||||
| Picrocrocin | 16.72 | |||||
| Safranal | 0.22 | |||||
| Iran | Methanol–water (50:50, v/v) | Trans-4-GG | 38.41 | mg/g | HPLC-PDA | [53] |
| Trans-3-Gg | 23.58 | |||||
| Cis-4-GG | 4.73 | |||||
| Σ crocins | 69.32 | |||||
| Picrocrocin | 3.69 | |||||
| Safranal | 0.65 | |||||
| Iran | Ethanol 80% | Crocin | 26.81 | mg/0.1g | HPLC | [90] |
| Picrocrocin | 12.92 | |||||
| Safranal | 0.042 | |||||
| Cascia, Italy | Ethanol (70%) | Trans-4-GG | 343.97 | mg/g | HPLC-DAD-MS | [64] |
| Trans-3-Gg | 111.94 | |||||
| Trans-2-G | 13.59 | |||||
| Σ crocins | 494.42 | |||||
| Picrocrocin | 127.83 | |||||
| Safranal | 3.01 | |||||
| Città della Pieve, Italy | Ethanol (70%) | Trans-4-GG | 302.65 | mg/g | HPLC-DAD-MS | [64] |
| Trans-3-Gg | 109.17 | |||||
| Trans-2-G | 16.12 | |||||
| Σ crocins | 450.73 | |||||
| Picrocrocin | 101.92 | |||||
| Safranal | 2.41 | |||||
| Fiesole, Italy | Ethanol (70%) | Trans-4-GG | 372.49 | mg/g | HPLC-DAD-MS | [64] |
| Trans-3-Gg | 123.15 | |||||
| Trans-2-G | 21.24 | |||||
| Cis-4-GG | 12.55 | |||||
| Σ crocins | 548.84 | |||||
| Picrocrocin | 130.35 | |||||
| Safranal | 2.01 | |||||
| Fiesole, Italy | Ethanol (70%)—formic acid | Trans-4-GG | 238.91 | mg/g | HPLC-DAD-MS | [98] |
| Trans-3-Gg | 65.64 | |||||
| Trans-2-G | 16.96 | |||||
| Cis-4-GG | 4.95 | |||||
| Σ crocins | 342.02 | |||||
| Picrocrocin | 111.14 | |||||
| Safranal | 2.27 | |||||
| Navelli, Italy | Methanol–water (50:50, v/v) | Trans-4-GG | 38.25 | mg/g | HPLC-PDA | [53] |
| Trans-3-Gg | 28.28 | |||||
| Σ crocins | 72.02 | |||||
| Picrocrocin | 5.8 | |||||
| Safranal | 0.53 | |||||
| Perugia, Italy | Ethanol 70%—formic acid | Trans-4-GG | 148.5 | mg/g | HPLC-DAD-MS | [98] |
| Trans-3-Gg | 46.2 | |||||
| Trans-2-G | 14.8 | |||||
| Cis-4-GG | 14.1 | |||||
| Σ crocins | 231.1 | |||||
| Picrocrocin | 68.9 | |||||
| Safranal | 2.6 | |||||
| Italy | Aqueous extracts | Trans-4-GG | 43.57 | % | HPLC | [70] |
| Trans-3-Gg | 23.09 | |||||
| Cis-4-GG | 5.29 | |||||
| Trans-2-gg | 2.12 | |||||
| Σ crocins | 78.45 | |||||
| Picrocrocin | 21.26 | |||||
| Safranal | 0.28 | |||||
| Larache, Marruecos | Degassed methanol | Σ crocins | 17.9 | % | HPLC-DAD | [21] |
| Picrocrocin | 11.92 | |||||
| Safranal | 0.21 | |||||
| Safranier d’Ourika, Marruecos | Degassed methanol | Σ crocins | 37.23 | % | HPLC-DAD | [21] |
| Picrocrocin | 28.78 | |||||
| Safranal | 0.24 | |||||
| Rangiora, New Zealand | Methanol–water (50:50, v/v) | Trans-4-GG | 41.21 | mg/g | HPLC-PDA | [53] |
| Trans-3-Gg | 31.26 | |||||
| Σ crocins | 74.61 | |||||
| Picrocrocin | 7.94 | |||||
| Safranal | 0.47 | |||||
| La Mancha, Spain | Methanol–water (50:50, v/v) | Trans-4-GG | 38.41 | mg/g | HPLC-PDA | [53] |
| Trans-3-Gg | 24.43 | |||||
| Cis-4-GG | 5.76 | |||||
| Σ crocins | 73.85 | |||||
| Picrocrocin | 8.14 | |||||
| Safranal | 0.88 | |||||
| Turkey | Methanol–water (50:50, v/v) | Trans-4-GG | 36.35 | mg/g | HPLC-PDA | [53] |
| Trans-3-Gg | 25.32 | |||||
| Cis-4-GG | 5.21 | |||||
| Σ crocins | 69.73 | |||||
| Picrocrocin | 5.67 | |||||
| Safranal | 0.84 | |||||
| Type | Adulterant | Adulterant Concentration | Adulterant Minimal Detection | Adulterants Indicators or Markers | Technique | Ref. | ||
|---|---|---|---|---|---|---|---|---|
| 1. A | Calendula flower Curcuma rhizome Hibiscus flower Paprika fruit Pomegranate fruit Safflower | 10–400 mg/g | 10 | mg/g | 6000–5800 5400–5000 4600–4200 | cm−1 | FT-NIR/PCA: SIMCA PLS-DA | [130] |
| 1. A | Gardenia | 0–100% w/w | 5 | % w/w | Geniposide Deacetyl-asperuloside acid methyl ester Gardenoside Genipin-1-β-D-gentibioside 6”-O-trans-coumaroylgenipin gentibioside Scandoside methyl ester Absence of picrocrocin derivatives | UHPLC-DAD-MS | [106] | |
| 1. A | Gardenia extract | ND | 41.7 | g/g | Geniposide | LC–MS | [119] | |
| 1. A | Gardenia extract | 0–100% | 0.8 0.2 1.8 2.5 2.2 | % | Kaempferol 3,7,40-O-triglucoside Kaempferol 3-O-sophoroside 7-O-glucoside Kaempferol 3,7-O-diglucoside Kaempferol 3-O-sophoroside Kaempferol 3-O-glucoside | LC-MS | [51] | |
| 1. A | Curcuma rhizome | 0.5–20% w/w | 0.5 | % w/w | ND | DNA isolation/ | [15] | |
| Bar-HRM | ||||||||
| 1. A | Calendula Rubia Safflower | 5–35% w/w | 5 | % w/w | 4200 4750 5170 6000–5400 7100–6000 8300 cm | cm−1 | NIR/PLS-DA | [117] |
| 1. A | Turmeric, Onion peels Pomegranate peels Calendula petals | 0–30% w/w | 3.7 6.2 3.6 3.5 | % w/w | 4961–4016 6388–5389 9975–7472 | cm−1 | FT-NIR/MCR-ALS | [136] |
| 1. A | Tumeric Safflower G. jasminoides fruit extract | 20% w/w | 20 | % w/w | 7.541, 6.751, 6.059, 7.318, 7.147, 6.819 5.205, 5.138, 5.066 7.569, 7.466, 5.679, 5.121 | 1 H ppm | 1 NMR/OPLS-DA/O2PLS-DA | [125] |
| 1. A | Buddleja Officinalis flower Calendula petals Gardenia fruit extract Safflower Turmeric | 0–20% w/w | 1.1–1.6 1.9–2.6 1.1–1.5 2.1–2.8 1–1.6 | % w/w | 1624–1456 and 941–771 1508–1396 and 1167–1055 1794–1626 and 1113–943 1539–1456 and 858–773 1624–1286 and 941–771 | cm−1 | DRIFTS/PCA PLS-DA | [123] |
| 1. B | Saffron style | 5–35% w/w | 5 | % w/w | 4200 4750 5170 6000–5400 7100–6000 8300 | cm−1 | NIR and MIR/PLS-DA | [117] |
| 1. B | Saffron stamens | 20% w/w | 20 | % w/w | 5.181 | 1 H ppm | 1 NMR/OPLSDA/O2PLS-DA | [125] |
| 1. B | Saffron stamens | 0–20% w/w | 2.2–3.1 | % w/w | 4000–600 1963–1626 and 941–771 | cm−1 | DRIFTS/PCA PLS-DA | [123] |
| 1. B | Saffron stamens | 10–400 mg/g | 10 | mg/g | 6000–5800 5400–5000 4600–4200 | cm−1 | FT-NIR/PLS-DA | [130] |
| 3 | Carminic acid | 0.5–20% w/w | 10 | % w/w | 1564–1576 1445–1456 1211–1231 810–816 | cm−1 | FT-IR/PCA/PLS-DA | [137] |
| 3 | Carminic acid | 0.2–2% w/w | 0.2 | % w/w | Carminic acid at 4.7 min, 495 nm | min, nm | RT-HPLC-DAD | [137] |
| 3 | Synthetic dyes | ND | Magenta III Rhodamine B | 330.1964 (HRMS) 300.14 (EI-MS) 223.11 (EI-MS) 2.5 (HPLC) 443.2320 (HRMS) 399.17 (EI-MS) 316.21 (EI-MS) 3.4 (HPLC) | m/z min | TLC/EI-MS/HRMS HPLC | [138] | |
| 3 | Sudan III Sudan I Sudan II Sudan IV | 0.14–7.1 g/Kg | 0.14 | g/Kg | 8.014 6.87 8.618 8.181 | 1 H ppm | 1 H NMR | [139] |
| 4 | Exhausted saffron | 10–400 mg/g | 10 | mg/g | 6000–5800 | cm−1 | FT-NIR/SIMCA | [130] |
| 5400–5000 | PLS-DA | |||||||
| 4600–4200 | ||||||||
| By-Product (Origin and Type of Extract) | Major Components | Concentration | Application | Ref. | |
|---|---|---|---|---|---|
| Sepals (Fiesole, Italy; ethanolic) | Trans-4-GG Trans-3-Gg Cis-2-G Kaempferol-3-sophoroside Quercetin diglucoside Kaempferol glucoside Kaempferol sinapoyl glucoside | 3.1 0.8 0.2 6.4 0.4 0.4 0.3 | mg/g | Phytochemicals | [98] |
| Stamens (Fiesole, Italy; ethanolic) | Trans-4-GG Trans-3-Gg Cis-4-GG Trans-2-G Kaempferol-3-sophoroside Quercetin diglucoside Methyl quercetin derivative Methyl quercetin diglucoside Kaempferol-3-sophoroside-7-glucoside | 112.2 33.4 22.0 20.7 1.7 1.0 0.7 0.6 0.5 | mg/g | Phytochemicals | [98] |
| Sepals (Perugia, Italy; ethanolic) | Traces of crocin Kaempferol-3-sophoroside Quercetin diglucoside Kaempferol glucoside Kaempferol sinapoyl glucoside | nd 8.3 0.7 0.4 0.3 | mg/g | Phytochemicals | [98] |
| Stamens. (Perugia, Italy; ethanolic) | Trans-4-GG | 4 | mg/g | Phytochemicals | [98] |
| Trans-2-G | 1.3 | ||||
| Methyl quercetin diglucoside | 2.1 | ||||
| Quercetin diglucoside | 1.2 | ||||
| Methyl quercetin derivative | 1.2 | ||||
| Kaempferol-3-sophoroside-7-glucoside | 0.9 | ||||
| Kaempferol diglucoside | 0.8 | ||||
| Petals (Srinagar, Jammu & Kashmir, India; aqueous) | Not detected | Kashmir dye green and yellow tones | [66] | ||
| Petals (Kerman, Iran; aqueous) | Methanol | 355 | ppb | Volatile compounds in the pharmaceutical industry | [42] |
| Biogenix aldehyde fragment | 303 | ||||
| Acetic acid | 492 | ||||
| Isobutanal | 694 | ||||
| Furanone | 6397 | ||||
| 2,3-butanedione | 524 | ||||
| Petals (Sardinia, Italy; aqueous) | Kaempferol-3-O-sophoroside | 2790 | mg/L | Antioxidant and colon anticancer activities. | [147] |
| Phenylalanine | 1072 | ||||
| Delphinidin 3,5-di-O-glucose | 822 | ||||
| Tyrosine | 619 | ||||
| Kaempferol-3,7-di-O-glucoside | 368 | ||||
| Isorhamnetin-3-O-rutinoside | 268 | ||||
| Quercetin 3-O-sophoroside | 207 | ||||
| Petals (Northeast, Iran; ethanolic and aqueous) | Pelargonidin 3,5-glycosides | 56.1 | % | Antioxidant and colorant activities. | [148] |
| 3,5 cyanidin-diglycosides | 20.9 | ||||
| Petunidin | 15.5 | ||||
| Delphinidin 3-glycosides | 4.1 | ||||
| Pelargonidin 3-glycosides | 3.4 | ||||
| Petals and anthers (Navelli, Italy; ethanolic, oil, and aqueous) | Crocin | 0.6 | % | Antioxidant and anti-inflammatory (in vivo; in vitro). | [149] |
| Catechin | 0.2 | ||||
| Rutin | 0.1 | ||||
| Epicatechin | 0.08 | ||||
| p-OH benzoic acid | 0.04 | ||||
| Safranal | 0.02 | ||||
| Vanillic acid | 0.02 | ||||
| Galic acid | 0.09 | ||||
| Safranal | 0.05 | ||||
| Quercetin | 0.01 | ||||
| Petals (Torbat Heydariyeh region, Iran; ohmic extraction) | Crocin | 81.2 | % | Source of natural flavoring, coloring, and antioxidants. | [41] |
| Safranal | 5.5 | ||||
| Catechin | 1.4 | ||||
| Epicatechin | 1.2 | ||||
| Delphinidin 3,5-di-O-glucose | 74.2 | ||||
| Petunidin 3-O-glucoside | 10.3 | ||||
| Petunidin 2,5-di-O-glucoside | 8.6 | ||||
| Quercetin 3-O-glucoside | 59.5 | ||||
| Kaempferol-3-O-sophoroside | 8.2 | ||||
| Kaempferol-3-O-glucoside | 6.1 | ||||
| Quercetin 3-O-sophoroside | 5.5 | ||||
| Kaempferol | 5.4 | ||||
| Petals. (Torbat Heydariyeh region, Iran; ultrasound extraction) | Crocin | 79.02 | % | Source of natural flavoring, coloring, and antioxidants. | [41] |
| Safranal | 4.03 | ||||
| Delphinidin 3,5-di-O-glucose | 67.88 | ||||
| Petunidin 3-O-glucoside | 10.74 | ||||
| Petunidin 3,5-di-O-glucoside | 7.39 | ||||
| Quercetin 3-O-glucoside | 54.32 | ||||
| Kaempferol-3-O-sophoroside | 8.16 | ||||
| Kaempferol-3-O-glucoside | 5.27 | ||||
| Quercetin 3-O-sophoroside | 5.12 | ||||
| Petals. (Torbat Heydariyeh region, Iran; microwave extraction) | Crocin | 77.42 | % | Source of natural flavoring, coloring, and antioxidants. | [41] |
| Safranal | 5.03 | ||||
| Epicatechin | 1.02 | ||||
| Vanillic acid | 1.03 | ||||
| Delphinidin 3,5-di-O-glucose | 56.36 | ||||
| Petunidin 3-O-glucoside | 11.44 | ||||
| Malvidin O-glucoside | 7.94 | ||||
| Quercetin 3-O-glucoside | 59.49 | ||||
| Kaempferol-3-O-sophoroside | 8.16 | ||||
| Kaempferol-3-O-glucoside | 6.13 | ||||
| Quercetin 3-O-sophoroside | 5.51 | ||||
| Kaempferol | 5.42 | ||||
Publisher’s Note: MDPI stays neutral with regard to jurisdictional claims in published maps and institutional affiliations. |
© 2022 by the authors. Licensee MDPI, Basel, Switzerland. This article is an open access article distributed under the terms and conditions of the Creative Commons Attribution (CC BY) license (https://creativecommons.org/licenses/by/4.0/).
Share and Cite
Avila-Sosa, R.; Nevárez-Moorillón, G.V.; Ochoa-Velasco, C.E.; Navarro-Cruz, A.R.; Hernández-Carranza, P.; Cid-Pérez, T.S. Detection of Saffron’s Main Bioactive Compounds and Their Relationship with Commercial Quality. Foods 2022, 11, 3245. https://doi.org/10.3390/foods11203245
Avila-Sosa R, Nevárez-Moorillón GV, Ochoa-Velasco CE, Navarro-Cruz AR, Hernández-Carranza P, Cid-Pérez TS. Detection of Saffron’s Main Bioactive Compounds and Their Relationship with Commercial Quality. Foods. 2022; 11(20):3245. https://doi.org/10.3390/foods11203245
Chicago/Turabian StyleAvila-Sosa, Raul, Guadalupe Virginia Nevárez-Moorillón, Carlos Enrique Ochoa-Velasco, Addí Rhode Navarro-Cruz, Paola Hernández-Carranza, and Teresa Soledad Cid-Pérez. 2022. "Detection of Saffron’s Main Bioactive Compounds and Their Relationship with Commercial Quality" Foods 11, no. 20: 3245. https://doi.org/10.3390/foods11203245
APA StyleAvila-Sosa, R., Nevárez-Moorillón, G. V., Ochoa-Velasco, C. E., Navarro-Cruz, A. R., Hernández-Carranza, P., & Cid-Pérez, T. S. (2022). Detection of Saffron’s Main Bioactive Compounds and Their Relationship with Commercial Quality. Foods, 11(20), 3245. https://doi.org/10.3390/foods11203245

