Optimized Dynamic Monitoring and Quality Management System for Post-Harvest Matsutake of Different Preservation Packaging in Cold Chain
Abstract
:1. Introduction
2. Materials and Methods
2.1. Logistics Process and Quality Change Mechanism Analysis
2.2. System Architecture
2.2.1. Hardware Architecture Design
2.2.2. Software Architecture Design
- Step 1: Initialization. The sensor device node was matched and judged whether the connection was successful. After that, the software started to accept the data sent by the sensor device.
- Step 2: Data collection and analysis. The received data were analyzed and displayed by the monitoring center module. At the same time, the data were judged whether they exceeded the threshold, and the trigger would alert when they did.
- Step 3: Data storage. The monitoring center was determined to be connected or not to the sensing device; if it was connected, it would continue to receive and store data; otherwise, it would stop.
2.3. Experiment Design
2.3.1. Micro-Environment Monitoring
2.3.2. Different Preservation Packaging Experiment
2.4. Statistical Analysis
3. Results
3.1. Matsutake Quality Indicators Changes at Different Packaging Methods
3.1.1. Sensory Indicators Changes
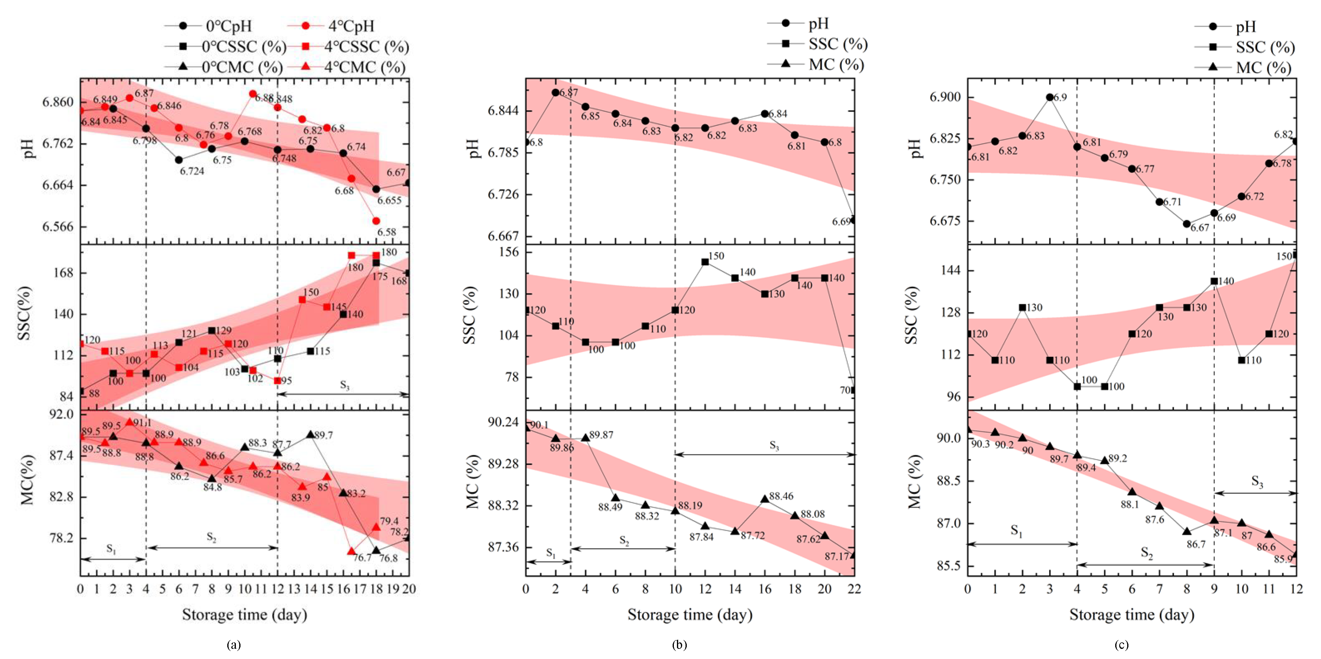
3.1.2. Physicochemical Indicator Changes
3.2. Changes in Matsutake Micro-Environmental Parameters
3.3. Data Analysis
3.4. System Evaluation
4. Conclusions
Author Contributions
Funding
Institutional Review Board Statement
Informed Consent Statement
Data Availability Statement
Conflicts of Interest
References
- Li, M.; Du, H.; Lin, S. Flavor Changes of Tricholoma Matsutake Singer under Different Processing Conditions by Using Hs-Gc-Ims. Foods 2021, 10, 531. [Google Scholar] [CrossRef] [PubMed]
- Narimatsu, M.; Koiwa, T.; Sakamoto, Y.; Natsume, S.; Kurokochi, H.; Lian, C.; Nakajima, Y.; Nakade, K.; Yoshida, K.; Tawaraya, K. Estimation of Novel Colony Establishment and Persistence of the Ectomycorrhizal Basidiomycete Tricholoma Matsutake in a Pinus Densiflora Forest. Fungal Ecol. 2016, 24, 35–43. [Google Scholar] [CrossRef]
- Wen, X.; Geng, F.; Xu, Y.; Li, X.; Liu, D.; Liu, Z.; Luo, Z.; Wang, J. Quantitative Transcriptomic and Metabolomic Analyses Reveal the Changes in Tricholoma Matsutake Fruiting Bodies during Cold Storage. Food Chem. 2022, 381, 132292. [Google Scholar] [CrossRef] [PubMed]
- Zhu, Z.; Ma, R.; Draganic, A.; Orovic, I.; Zhang, X.; Wang, X.; Wang, J. Postharvest Quality Monitoring and Cold Chain Management of Fresh Garlic Scapes Based on a Wireless Multi-Sensors System. J. Food Process Eng. 2022, 45, e13918. [Google Scholar] [CrossRef]
- Püschel, L.C.; Röglinger, M.; Brandt, R. Unblackboxing Smart Things—A Multilayer Smart Thing Characteristics. IEEE Trans. Eng. Manag. 2022, 69, 2129–2143. [Google Scholar] [CrossRef]
- Tsai, C.W.; Lai, C.F.; Vasilakos, A.V. Future Internet of Things: Open Issues and Challenges. Wirel. Netw. 2014, 20, 2201–2217. [Google Scholar] [CrossRef]
- Bello, O.; Zeadally, S. Intelligent Device-to-Device Communication in the Internet of Things. IEEE Syst. J. 2016, 10, 1172–1182. [Google Scholar] [CrossRef]
- Grau, A. The Internet of Things The Internet of Things. Commun. Strateg. 2013, 27, 6. [Google Scholar]
- Kumar, R.; Rajasekaran, M.P. An IoT Based Patient Monitoring System Using Raspberry Pi. In Proceedings of the 2016 International Conference on Computing Technologies and Intelligent Data Engineering (ICCTIDE’16), Kovilpatti, India, 7–9 January 2016; pp. 3–6. [Google Scholar] [CrossRef]
- Cabra, J.; Castro, D.; Colorado, J.; Mendez, D.; Trujillo, L. An IoT Approach for Wireless Sensor Networks Applied to E-Health Environmental Monitoring. In Proceedings of 2017 IEEE International Conference on Internet of Things (iThings) and IEEE Green Computing and Communications (GreenCom) and IEEE Cyber, Physical and Social Computing (CPSCom) and IEEE Smart Data (SmartData), Exeter, UK, 21–23 June 2017; pp. 578–583. [Google Scholar] [CrossRef]
- Chen, Y.; Du, X.; Zhang, Y.; Liu, X.; Wang, X. Ultrasound Extraction Optimization, Structural Features, and Antioxidant Activity of Polysaccharides from Tricholoma Matsutake. J. Zhejiang Univ. Sci. B 2017, 18, 674–684. [Google Scholar] [CrossRef] [PubMed] [Green Version]
- Vivar-Quintana, A.M.; González-San José, M.L.; Collado-Fernández, M. Influence of Canning Process on Colour, Weight and Grade of Mushrooms. Food Chem. 1999, 66, 87–92. [Google Scholar] [CrossRef]
- Li, Y.; Ding, S.; Kitazawa, H.; Wang, Y. Storage Temperature Effect on Quality Related with Cell Wall Metabolism of Shiitake Mushrooms (Lentinula Edodes) and Its Modeling. Food Packag. Shelf Life 2022, 32, 100865. [Google Scholar] [CrossRef]
- Chen, Y.; Li, Y.; Qin, S.; Han, S.; Qi, H. Antimicrobial, UV Blocking, Water-Resistant and Degradable Coatings and Packaging Films Based on Wheat Gluten and Lignocellulose for Food Preservation. Compos. Part B Eng. 2022, 238, 109868. [Google Scholar] [CrossRef]
- Vilela, C.; Kurek, M.; Hayouka, Z.; Röcker, B.; Yildirim, S.; Antunes, M.D.C.; Nilsen-Nygaard, J.; Pettersen, M.K.; Freire, C.S.R. A Concise Guide to Active Agents for Active Food Packaging. Trends Food Sci. Technol. 2018, 80, 212–222. [Google Scholar] [CrossRef]
- Perumal, A.B.; Huang, L.; Nambiar, R.B.; He, Y.; Li, X.; Sellamuthu, P.S. Application of Essential Oils in Packaging Films for the Preservation of Fruits and Vegetables: A Review. Food Chem. 2022, 375, 131810. [Google Scholar] [CrossRef]
- Leng, P.; Hu, H.W.; Cui, A.H.; Tang, H.J.; Liu, Y.G. HS-GC-IMS with PCA to Analyze Volatile Flavor Compounds of Honey Peach Packaged with Different Preservation Methods during Storage. LWT 2021, 149, 111963. [Google Scholar] [CrossRef]
- Wei, H.; Seidi, F.; Zhang, T.; Jin, Y.; Xiao, H. Ethylene Scavengers for the Preservation of Fruits and Vegetables: A Review. Food Chem. 2021, 337, 127750. [Google Scholar] [CrossRef]
- Li, X.; Yang, L.; Duan, Y.; Wu, Z.; Zhang, X. Developing a Real-Time Monitoring Traceability System for Cold Chain of Tricholoma matsutake. Electronics 2019, 8, 423. [Google Scholar] [CrossRef]
- Biji, K.B.; Ravishankar, C.N.; Mohan, C.O.; Srinivasa Gopal, T.K. Smart Packaging Systems for Food Applications: A Review. J. Food Sci. Technol. 2015, 52, 6125–6135. [Google Scholar] [CrossRef]
- Li, Y.; Ishikawa, Y.; Satake, T.; Kitazawa, H.; Qiu, X.; Rungchang, S. Effect of Active Modified Atmosphere Packaging with Different Initial Gas Compositions on Nutritional Compounds of Shiitake Mushrooms (Lentinus Edodes). Postharvest Biol. Technol. 2014, 92, 107–113. [Google Scholar] [CrossRef]
- Fang, Y.; Wakisaka, M. A Review on the Modified Atmosphere Preservation of Fruits and Vegetables with Cutting-Edge Technologies. Agriculture 2021, 11, 992. [Google Scholar] [CrossRef]
- Huan, C.; Li, H.; Jiang, Z.; Li, S.; Shen, S.; Zheng, X. Effect of Hypobaric Treatment on Off-Flavour Development and Energy Metabolism in ‘Bruno’ Kiwifruit. LWT 2021, 136, 110349. [Google Scholar] [CrossRef]
- Bisht, B.; Bhatnagar, P.; Gururani, P.; Kumar, V.; Tomar, M.S.; Sinhmar, R.; Rathi, N.; Kumar, S. Food Irradiation: Effect of Ionizing and Non-Ionizing Radiations on Preservation of Fruits and Vegetables– a Review. Trends Food Sci. Technol. 2021, 114, 372–385. [Google Scholar] [CrossRef]
- Yu, D.; Zhao, W.; Yang, F.; Jiang, Q.; Xu, Y.; Xia, W. A Strategy of Ultrasound-Assisted Processing to Improve the Performance of Bio-Based Coating Preservation for Refrigerated Carp Fillets (Ctenopharyngodon Idellus). Food Chem. 2021, 345, 128862. [Google Scholar] [CrossRef]
- Pols, S.; Du Plessis, A.; Le Roux, S.G.; Vries, F.A. Comparison and Quality Testing of Polymer Non-Woven Postharvest Preservation Sheets Using X-ray Tomography. Acta Hortic. 2018, 1201, 363–370. [Google Scholar] [CrossRef]
- Fu, Z.; Zhao, S.; Zhang, X.; Polovka, M.; Wang, X. Quality Characteristics Analysis and Remaining Shelf Life Prediction of Fresh Tibetan Tricholoma Matsutake under Modified Atmosphere Packaging in Cold Chain. Foods 2019, 8, 136. [Google Scholar] [CrossRef] [Green Version]











| Score | Color | Hardness | Odor |
|---|---|---|---|
| 4 | The cap is white, and the rod is milky white without browning | The cap is elastic and the rod is hard | Fresh smell |
| 3 | Normal in color with mild browning | The cap has better elasticity and the rod is stiffer | Normal |
| 2 | Moderate browning with dark caps | The cap and rod begin to soften | A slight odor |
| 1 | Severe browning with mildew | Severe softening, water seepage | A strong odor |
| System | Parameters | Type | Resolution | Range | Accuracy | Response Time | Packaging Method | Group | Shelf Life | Applicability | Other |
|---|---|---|---|---|---|---|---|---|---|---|---|
| Previous system | Temperature | SHT11 | 0.1 | −40 °C~120 °C | ±0.4 °C | - | - | - | - | Easy, simple | - |
| Humidity | SHT11 | 0.1 | 0~100% RH | ±3% RH | - | - | - | - | |||
| The cold chain real-time monitoring and tracing system | Temperature | SHT11 | 0.1 | −40 °C~80 °C | ±0.3 °C | - | Refrigeration preservation packaging at different temperature | 1 | 12.0 d | Comprehensive, real-time, online and simple | Add real-time alerts |
| Humidity | SHT11 | 0.1 | 0~100% RH | ±2% RH | - | 2 | 10.5 d | ||||
| O2 | AJD-4M-O2 | 0.1 | 0~30% vol | ±1% FC | <25 s | Modified atmosphere packaging (4 °C, 90% RH) | 3 | 18.0 d | |||
| CO2 | AJD/L/4CO2 | 0.1 | 0~5% vol | ±2% FC | <25 s | Preservative preservation packaging (4 °C, 90% RH) | 4 | 9.0 d | |||
| C2H4 | A15-75D | 0.1 | 0 ppm~100 ppm | ±1 ppm | <25 s | - | - | - | |||
| Advantage | Increased monitoring parameters, the monitoring and traceability of CO2, O2 and ethylene, better accuracy and traceability of temperature and humidity, improving the management of the cold chain | ||||||||||
Publisher’s Note: MDPI stays neutral with regard to jurisdictional claims in published maps and institutional affiliations. |
© 2022 by the authors. Licensee MDPI, Basel, Switzerland. This article is an open access article distributed under the terms and conditions of the Creative Commons Attribution (CC BY) license (https://creativecommons.org/licenses/by/4.0/).
Share and Cite
Yang, Z.; Xu, J.; Yang, L.; Zhang, X. Optimized Dynamic Monitoring and Quality Management System for Post-Harvest Matsutake of Different Preservation Packaging in Cold Chain. Foods 2022, 11, 2646. https://doi.org/10.3390/foods11172646
Yang Z, Xu J, Yang L, Zhang X. Optimized Dynamic Monitoring and Quality Management System for Post-Harvest Matsutake of Different Preservation Packaging in Cold Chain. Foods. 2022; 11(17):2646. https://doi.org/10.3390/foods11172646
Chicago/Turabian StyleYang, Zihan, Jinchao Xu, Lin Yang, and Xiaoshuan Zhang. 2022. "Optimized Dynamic Monitoring and Quality Management System for Post-Harvest Matsutake of Different Preservation Packaging in Cold Chain" Foods 11, no. 17: 2646. https://doi.org/10.3390/foods11172646
APA StyleYang, Z., Xu, J., Yang, L., & Zhang, X. (2022). Optimized Dynamic Monitoring and Quality Management System for Post-Harvest Matsutake of Different Preservation Packaging in Cold Chain. Foods, 11(17), 2646. https://doi.org/10.3390/foods11172646

