Impact of Guar Gum and Locust Bean Gum Addition on the Pasting, Rheological Properties, and Freeze–Thaw Stability of Rice Starch Gel
Abstract
:1. Introduction
2. Materials and Methods
2.1. Materials
2.2. Pasting Properties
2.3. Rheological Properties
2.4. Thermodynamic Properties
2.5. Texture Properties
2.6. Freeze–Thaw Stability
2.7. Statistical Analysis
3. Results and Discussion
3.1. Pasting Properties
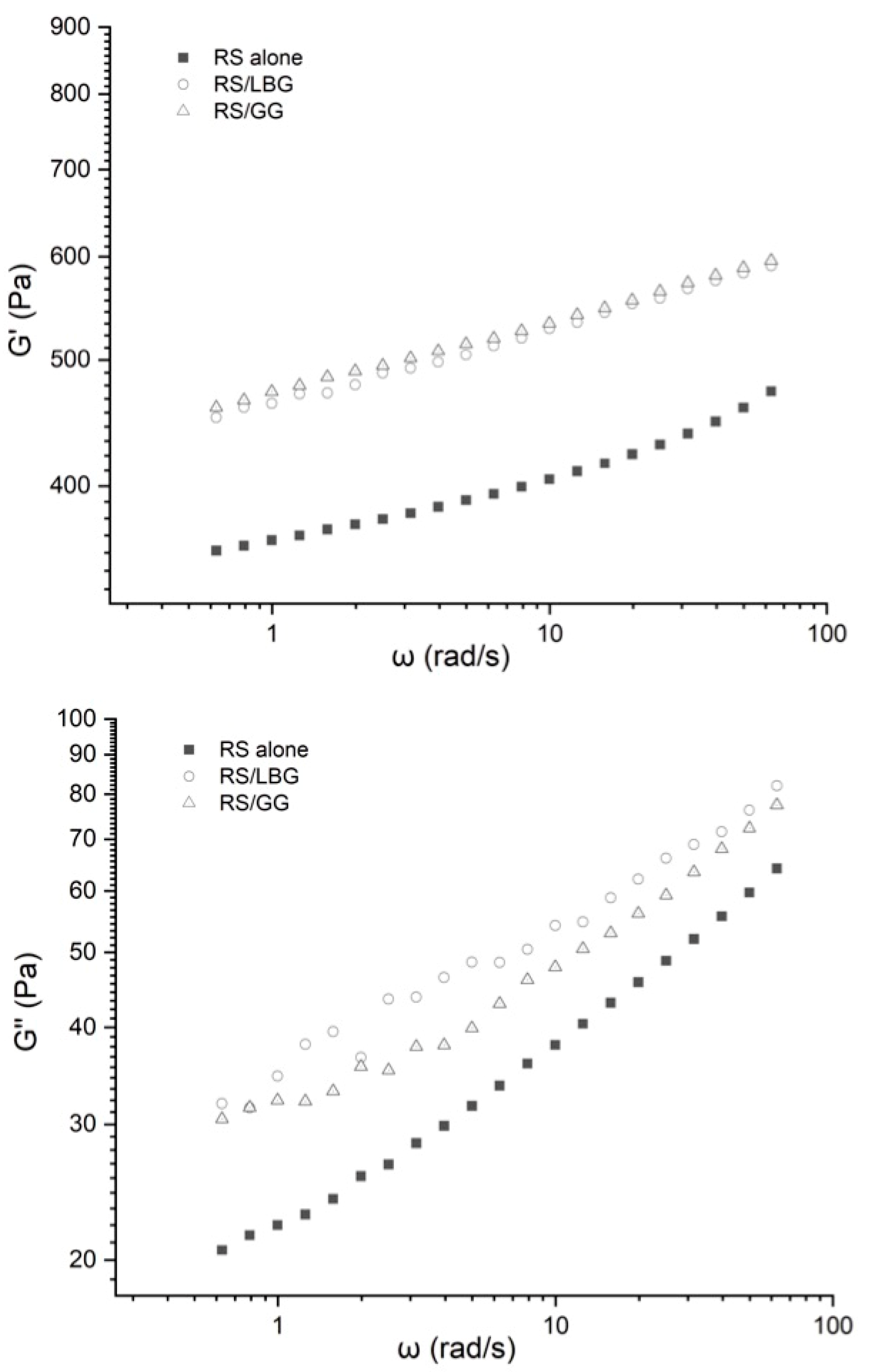
3.2. Dynamic Viscoelastic Properties
3.3. Steady Shear Properties
3.4. Thermodynamic Properties
3.5. Determination of Texture Properties
3.6. Freeze–Thaw Stability
4. Conclusions
Supplementary Materials
Author Contributions
Funding
Data Availability Statement
Conflicts of Interest
References
- Tarique, J.; Sapuan, S.M.; Khalina, A.; Ilyas, R.A.; Zainudin, E.S. Thermal, flammability, and antimicrobial properties of arrowroot (Maranta arundinacea) fiber reinforced arrowroot starch biopolymer composites for food packaging applications. Int. J. Biol. Macromol. 2022, 213, 1–10. [Google Scholar] [CrossRef] [PubMed]
- Gatade, A.A.; Sahoo, A.K. Effect of additives and steaming on quality of air dried noodles. J. Food Sci.Technol. 2015, 52, 8395–8402. [Google Scholar] [CrossRef] [PubMed]
- Benkadri, S.; Salvador, A.; Sanz, T.; Nasreddine Zidoune, M. Optimization of xanthan and locust bean gum in a gluten-free infant biscuit based on rice-chickpea flour using response surface methodology. Foods 2020, 10, 12. [Google Scholar] [CrossRef]
- Anil, M.; Durmus, Y.; Tarakci, Z. Effects of different concentrations of guar, xanthan and locust bean gums on physicochemical quality and rheological properties of corn flour tarhana. Nutr. Food Sci. 2020, 51, 137–150. [Google Scholar] [CrossRef]
- Pongjaruvat, W.; Methacanon, P.; Seetapan, N.; Fuongfuchat, A.; Gamonpilas, C. Influence of pregelatinised tapioca starch and transglutaminase on dough rheology and quality of gluten-free jasmine rice breads. Food Hydrocoll. 2014, 36, 143–150. [Google Scholar] [CrossRef]
- Kirchmajer, D.M.; Steinhoff, B.; Warren, H.; Clark, R.; In het Panhuis, M. Enhanced gelation properties of purified gellan gum. Carbohydr. Res. 2014, 388, 125–129. [Google Scholar] [CrossRef] [PubMed]
- Fang, S.; Zhao, X.; Liu, Y.; Liang, X.; Yang, Y. Fabricating multilayer emulsions by using OSA starch and chitosan suitable for spray drying: Application in the encapsulation of β-carotene. Food Hydrocoll. 2019, 93, 102–110. [Google Scholar] [CrossRef]
- Hu, Q.H.; Wu, Y.L.; Zhong, L.; Ma, N.; Zhao, L.Y.; Ma, G.X.; Cheng, N.H.; Nakata, P.A.; Xu, J. In vitro digestion and cellular antioxidant activity of β-carotene-loaded emulsion stabilized by soy protein isolate-Pleurotus eryngii polysaccharide conjugates. Food Hydrocoll. 2021, 112, 106340. [Google Scholar] [CrossRef]
- Sun, J.; Zuo, X.B.; Fang, S.; Xu, H.N.; Chen, J.; Meng, Y.C.; Chen, T. Effects of cellulose derivative hydrocolloids on pasting, viscoelastic, and morphological characteristics of rice starch gel. J. Texture Stud. 2017, 48, 241–248. [Google Scholar] [CrossRef]
- Clemens, R.A.; Pressman, P. Food gums: An overview. Nutr. Today 2017, 52, 41–43. [Google Scholar] [CrossRef]
- Li, J.X.; Yadav, M.P.; Li, J.L. Effect of different hydrocolloids on gluten proteins, starch and dough microstructure. J. Cereal Sci. 2019, 87, 85–90. [Google Scholar] [CrossRef]
- Charoenrein, S.; Tatirat, O.; Rengsutthi, K.; Thongngam, M. Effect of konjac glucomannan on syneresis, textural properties and the microstructure of frozen rice starch gels. Carbohydr. Polym. 2011, 83, 291–296. [Google Scholar] [CrossRef]
- Busch, V.; Rozycki, V.; Buera, M.P. Galactomannans from different prosopis species: Extraction, characterization, and applications. In Prosopis as a Heat Tolerant Nitrogen Fixing Desert Food Legume; Academic Press: Cambridge, MA, USA, 2022; pp. 305–317. [Google Scholar]
- Das, A.; Kundu, S.; Gupta, M.; Mukherjee, A. Guar gum propionate-kojic acid films for Escherichia coli biofilm disruption and simultaneous inhibition of planktonic growth. Int. J. Biol. Macromol. 2022, 211, 57–73. [Google Scholar] [CrossRef] [PubMed]
- Sudhakar, V.; Singhal, R.S.; Kulkarni, P.R. Starch-galactomannan interactions: Functionality and rheological aspects. Food Chem. 1996, 55, 259–264. [Google Scholar] [CrossRef]
- Huang, C.C. Physicochemical, pasting and thermal properties of tuber starches as modified by guar gum and locust bean gum. Int. J. Food Sci. Technol. 2009, 44, 50–57. [Google Scholar] [CrossRef]
- Kim, W.W.; Yoo, B. Rheological and thermal effects of galactomannan addition to acorn starch paste. LWT Food Sci. Technol. 2011, 44, 759–764. [Google Scholar] [CrossRef]
- Bahnassey, Y.A.; Breene, W.M. Rapid visco-analyzer (RVA) pasting profiles of wheat, corn, waxy corn, tapioca and amaranth starches (A. hypochondriacus and A cruentus) in the presence of konjac flour, gellan, guar, xanthan and locust bean gums. Starch-Stärke 1994, 46, 134–141. [Google Scholar] [CrossRef]
- Prajapati, V.D.; Jani, G.K.; Moradiya, N.G.; Randeria, N.P.; Nagar, B.J.; Naikwadi, N.N.; Variya, B.C. Galactomannan: A versatile biodegradable seed polysaccharide. Int. J. Biol. Macromol. 2013, 60, 83–92. [Google Scholar] [CrossRef]
- Borries-Medrano, E.V.; Jaime-Fonseca, M.R.; Aguilar-Méndez, M. Tapioca starch-galactomannan systems: Comparative studies of rheological and textural properties. Int. J. Biol. Macromol. 2018, 122, 1173–1183. [Google Scholar] [CrossRef]
- Richardson, P.H.; Willmer, J.; Foster, T.J. Dilute solution properties of guar and locust bean gum in sucrose solutions. Food Hydrocoll. 1998, 12, 339–348. [Google Scholar] [CrossRef]
- Salehi, F. Effect of common and new gums on the quality, physical, and textural properties of bakery products: A review. J. Texture Stud. 2020, 51, 361–370. [Google Scholar] [CrossRef] [PubMed]
- Tarique, J.; Zainudin, E.S.; Sapuan, S.M.; Ilyas, R.A.; Khalina, A. Physical, mechanical, and morphological performances of arrowroot (Maranta arundinacea) fiber reinforced arrowroot starch biopolymer composites. Polymers 2022, 14, 388. [Google Scholar] [CrossRef] [PubMed]
- Qiu, S.; Yadav, M.P.; Liu, Y.; Chen, H.; Tatsumi, E.; Yin, L. Effects of corn fiber gum with different molecular weights on the gelatinization behaviors of corn and wheat starch. Food Hydrocoll. 2016, 53, 180–186. [Google Scholar] [CrossRef]
- Nazrin, A.; Sapuan, S.M.; Zuhri, M.Y.M.; Tawakkal, I.S.M.A.; Ilyas, R.A. Flammability and physical stability of sugar palm crystalline nanocellulose reinforced thermoplastic sugar palm starch/poly(lactic acid) blend bionanocomposites. Nanotechnol. Rev. 2021, 11, 86–95. [Google Scholar] [CrossRef]
- Culetu, A.; Duta, D.E.; Papageorgiou, M.; Varzakas, T. The role of hydrocolloids in gluten-free bread and pasta; rheology, characteristics, staling and glycemic index. Foods 2021, 10, 3121. [Google Scholar] [CrossRef]
- Syafiq, R.M.O.; Sapuan, S.M.; Zuhri, M.Y.M.; Othman, S.H.; Ilyas, R.A. Effect of plasticizers on the properties of sugar palm nanocellulose/cinnamon essential oil reinforced starch bionanocomposite films. Nanotechnol. Rev. 2022, 11, 423–437. [Google Scholar] [CrossRef]
- Hamdani, A.M.; Wani, I.A. Guar and Locust bean gum: Composition, total phenolic content, antioxidant and antinutritional characterisation. Bioact. Carbohydr. Diet. Fibre 2017, 11, 53–59. [Google Scholar] [CrossRef]
- Schorsch, C.; Garnier, C.; Doublier, J.L. Viscoelastic properties of xanthangalactomannan mixtures: Comparison of guar gum with locust bean gum. Carbohydr. Polym 1997, 34, 165–175. [Google Scholar] [CrossRef]
- Maier, H.; Anderson, M.; Karl, C.; Magnuson, K.; Whistler, R.L. Guar, locust bean, Tara, and fenugreek gums: Industrial gums. In Industrial Gums; Academic Press: Cambridge, MA, USA, 1993; pp. 181–226. [Google Scholar]
- Ge, H.; Wu, Y.; Woshnak, L.L.; Mitmesser, S.H. Effects of hydrocolloids, acids and nutrients on gelatin network in gummies. Food Hydrocoll. 2021, 113, 106549. [Google Scholar] [CrossRef]
- Xu, X.; Fang, S.; Li, Y.; Zhang, F.; Shao, Z.; Zeng, Y.; Chen, J.; Meng, Y. Effects of low acyl and high acyl gellan gum on the thermal stability of purple sweet potato anthocyanins in the presence of ascorbic acid. Food Hydrocol. 2018, 86, 116–123. [Google Scholar] [CrossRef]
- Fang, S.; Wang, J.; Xu, X.J.; Zuo, X.B. Influence of Low Acyl and High Acyl Gellan Gums on Pasting and Rheological Properties of Rice Starch Gel. Food Biophys. 2018, 13, 116–123. [Google Scholar] [CrossRef]
- Kim, C.; Yoo, B. Rheological properties of rice starch–xanthan gum mixtures. J. Food Eng. 2006, 75, 120–128. [Google Scholar] [CrossRef]
- Meng, Y.C.; Sun, M.H.; Fang, S.; Chen, J.; Li, Y.H. Effect of sucrose fatty acid esters on pasting, rheological properties and freeze–thaw stability of rice flour. Food Hydrocoll. 2014, 40, 64–70. [Google Scholar] [CrossRef]
- Wang, B.; Wang, L.J.; Li, D.; Özkan, N.; Li, S.J.; Mao, Z.H. Rheological properties of waxy maize starch and xanthan gum mixtures in the presence of sucrose. Carbohydr. Polym. 2009, 77, 472–481. [Google Scholar] [CrossRef]
- Kamaruddin, Z.H.; Jumaidin, R.; Ilyas, R.A.; Selamat, M.Z.; Alamjuri, R.H.; Yusof, F.A.M. Biocomposite of cassava starch-cymbopogan citratus fibre: Mechanical, thermal and biodegradation properties. Polymers 2022, 14, 514. [Google Scholar] [CrossRef] [PubMed]
- Zhang, D.; Lin, Z.; Lei, W.; Zhong, G. Synergistic effects of acetylated distarch adipate and sesbania gum on gelatinization and retrogradation of wheat starch. Int. J. Biol. Macromol. 2020, 156, 171–179. [Google Scholar] [CrossRef]
- Zhai, Y.H.; Xing, J.L.; Luo, X.H.; Zhang, H.; Yang, K.; Shao, X.F.; Li, Y.N. Effects of pectin on the physicochemical properties and freeze–thaw stability of waxy rice starch. Foods 2021, 10, 2419. [Google Scholar] [CrossRef]
- Sasaki, T.; Yasui, T.; Matsuki, J. Influence of non-starch polysaccharides isolated from wheat flour on the gelatinization and gelation of wheat starches. Food Hydrocoll. 2000, 14, 295–303. [Google Scholar] [CrossRef]
- Brennan, C.S.; Suter, M.; Luethi, T.; Matia-Merino, L.; Qvortrup, J. The relationship between wheat flour and starch pasting properties and starch hydrolysis: Effect of non-starch polysaccharides in a starch gel system. Starch Strke 2008, 60, 23–33. [Google Scholar] [CrossRef]
- Torres, M.D.; Moreira, R.; Chenlo, F.; Morel, M.H. Effect of water and guar gum content on thermal properties of chestnut flour and its starch. Food Hydrocoll. 2013, 33, 192–198. [Google Scholar] [CrossRef]
- Lee, M.H.; Baek, M.H.; Cha, D.S.; Park, H.J.; Lim, S.T. Freeze–thaw stabilization of sweet potato starch gel by polysaccharide gums. Food Hydrocoll. 2002, 16, 345–352. [Google Scholar] [CrossRef]
- Ptaszek, P.; Grzesik, M. Viscoelastic properties of maize starch and guar gum gels. J. Food Eng. 2007, 82, 227–237. [Google Scholar] [CrossRef]
- Alloncle, M.; Doublier, J.L. Viscoelastic properties of maize starch/hydrocolloid pastes and gels. Food Hydrocoll. 1991, 5, 455–467. [Google Scholar] [CrossRef]
- Gao, J.; Mao, Y.; Xiang, C.; Cao, M.; Ren, G.; Wang, K.; Ma, X.; Wu, D.; Xie, H. Preparation of β-lactoglobulin/gum arabic complex nanoparticles for encapsulation and controlled release of EGCG in simulated gastrointestinal digestion model. Food Chem. 2021, 354, 129516. [Google Scholar] [CrossRef] [PubMed]
- Wu, X.; Hu, Q.; Liang, X.; Fang, S. Fabrication of colloidal stable gliadin-casein nanoparticles for the encapsulation of natamycin: Molecular interactions and antifungal application on cherry tomato. Food Chem. 2022, 391, 133288. [Google Scholar] [CrossRef] [PubMed]
- Gao, J.; Liu, C.; Shi, J.; Ni, F.; Shen, Q.; Xie, H.; Wang, K.; Lei, Q.; Fang, W.; Ren, G. The regulation of sodium alginate on the stability of ovalbumin-pectin complexes for vd3 encapsulation and in vitro simulated gastrointestinal digestion study. Food Res. Int. 2021, 140, 110011. [Google Scholar] [CrossRef] [PubMed]
- Ptaszek, A.; Berski, W.; Ptaszek, P.; Witczak, T.; Repelewicz, U.; Grzesik, M. Viscoelastic properties of waxy maize starch and selected non-starch hydrocolloids gels. Carbohydr. Polym. 2009, 76, 567–577. [Google Scholar] [CrossRef]
- Zhang, F.; Fu, S.L.; Jin, T. Rheological properties of maize starch pastes. Transactions of the CSAE 2008, 24, 294–297. [Google Scholar]
- Hussain, S.; Mohamed, A.A.; Alamri, M.S.; Ibraheem, M.A.; Qasem, A.A.A.; Shahzad, S.A.; Ababtain, I.A. Use of gum cordia (cordia myxa) as a natural starch modifier; effect on pasting, thermal, textural, and rheological properties of corn starch. Foods 2020, 9, 909. [Google Scholar] [CrossRef]
- Banchathanakij, R.; Suphantharika, M. Effect of different β-glucans on the gelatinisation and retrogradation of rice starch. Food Chem. 2009, 114, 5–14. [Google Scholar] [CrossRef]
- Achayuthakan, P.; Suphantharika, M. Pasting and rheological properties of waxy corn starch as affected by guar gum and xanthan gum. Carbohydr. Polym. 2008, 71, 9–17. [Google Scholar] [CrossRef]
- Slade, L.; Levine, H. Recent advances in starch retrogradation. In Idustrial polysaccharides-The impact of biotechnology and advanced methodologies; Stivala, S.S., Crescenzi, V., Dea, I.C.M., Eds.; Gordon and Breach Science Publishers: New York, NY, USA, 1987; pp. 387–430. [Google Scholar]
- Lee, S.; Yoo, B. Effect of sucrose addition on rheological and thermal properties of rice starch-gum mixtures. Int. J. Food Eng. 2014, 10, 849–856. [Google Scholar] [CrossRef]
- Babić, J.; Šubarić, D.; Ackar, D.; Kovačević, D.; Piližota, V.; Kopjar, M. Preparation and characterization of acetylated tapioca starches. Dtsch. Lebensm. -Rundsch. 2007, 103, 580–585. [Google Scholar]
- Šubarić, D.; Babić, J.; Ačkar, Đ.; Piližota, V.; Kopjar, M.; Ljubas, I.; Ivanovska, S. Effect of galactomannan hydrocolloids on gelatinization and retrogradation of tapioca and corn starch. Croatian J. Food Sci. Technol. 2011, 3, 26–31. [Google Scholar]
- Luo, Y.M.; Niu, L.Y.; Li, D.M.; Xiao, J.H. Synergistic effects of plant protein hydrolysates and xanthan gum on the short- and long-term retrogradation of rice starch. Int. J. Biol. Macromol. 2019, 144, 967–977. [Google Scholar] [CrossRef]
- Baker, L.A.; Rayas-Duarte, P. Retrogradation of amaranth starch at different storage temperatures and the effects of salt and sugars. Cereal Chem. 1998, 75, 308–314. [Google Scholar] [CrossRef]
- Wu, Y.; Chen, Z.X.; Li, X.X.; Mei, L. Effect of tea polyphenols on the retrogradation of rice starch. Food Res. Int. 2009, 42, 221–225. [Google Scholar] [CrossRef]
- Chen, L.; Ren, F.; Zhang, Z.P.; Tong, Q.Y.; Rashed, M.M.A. Effect of pullulan on the short-term and long-term retrogradation of rice starch. Carbohydr. Polym. 2015, 115, 415–421. [Google Scholar] [CrossRef]
- Chen, L.; Tian, Y.Q.; Tong, Q.Y.; Zhang, Z.P.; Jin, Z.Y. Effect of pullulan on the water distribution, microstructure and textural properties of rice starch gels during cold storage. Food Chem. 2016, 214, 702–709. [Google Scholar] [CrossRef]
- Tian, Y.Q.; Xu, X.M.; Li, Y.; Jin, Z.Y.; Chen, H.Q.; Wang, H. Effect of β-cyclodextrin on the long-term retrogradation of rice starch. Eur. Food Res. Technol. 2009, 228, 743–748. [Google Scholar] [CrossRef]
- Yuan, R.C.; Thompson, D.B. Freeze–thaw stability of three waxy maize starch pastes measured by centrifugation and calorimetry. Cereal Chem. 1998, 75, 571–573. [Google Scholar] [CrossRef]
- Wang, Y.J.; Jane, J. Correlation between glass transition temperature and starch retrogradation in the presence of sugars and maltodextrins. Cereal Chem. 1994, 71, 527–531. [Google Scholar]
- Teng, L.Y.; Chin, N.L.; Yusof, Y.A. Rheological and textural studies of fresh and freeze–thawed native sago starch-sugar gels. II. Comparisons with other starch sources and reheating effects. Food Hydrocoll. 2013, 31, 156–165. [Google Scholar] [CrossRef]
- Arunyanart, T.; Charoenrein, S. (Eds.) Effects of sucrose, xylitol and konjac glucomannan on stability of frozen rice starch gels. In Proceedings of the 34th Congress on Science and Technology of Thailand, Bangkok, Thailand, 31 October–2 November 2008. [Google Scholar]
- Sprenger, M. New stabilising systems using galactomannans. Dairy Ind. Int. 1990, 55, 19–20. [Google Scholar]
- Choi, H.M.; Yoo, B. Rheology of Mixed Systems of Sweet Potato Starch and Galactomannans. Starch Stärke. 2008, 60, 263–269. [Google Scholar] [CrossRef]




| Sample | PV (cP) | TV (cP) | BV (cP) | FV (cP) | SBV (cP) | PT (°C) |
|---|---|---|---|---|---|---|
| RS alone | 3679.67 ± 17.47 c | 2790.67 ± 8.33 b | 889.00 ± 19.29 b | 5287.33 ± 25.89 a | 2496.67 ± 26.50 a | 82.43 ± 0.42 b |
| RS/LBG | 3940.33 ± 4.04 b | 3062.00 ± 23.90 a | 878.33 ± 21.03 b | 5291.67 ± 7.23 a | 2229.67 ± 24.17 b | 82.42 ± 0.49 b |
| RS/GG | 4210.00 ± 36.29 a | 3072.67 ± 43.68 a | 1137.33 ± 22.81 a | 5308.67 ± 10.69 a | 2236.00 ± 39.00 b | 83.25 ± 0.43 a |
| Sample | G′ (Pa) | G″ (Pa) | tan(δ) |
|---|---|---|---|
| RS alone | 394.47 ± 21.27 b | 33.65 ± 1.35 c | 0.085 ± 0.003 b |
| RS/LBG | 512.77 ± 27.98 a | 48.51 ± 0.41a | 0.095 ± 0.006 a |
| RS/GG | 519.60 ± 30.47 a | 42.95 ± 1.63 b | 0.083 ± 0.005 b |
| Sample | Storage Modulus G′ | Loss Modulus G″ | ||||
|---|---|---|---|---|---|---|
| k′(pa·sn) | n″ | R2 | k″ (pa·sn) | n″ | R2 | |
| RS alone | 358.76 ± 20.01 b | 0.06 ± 0.00 a | 0.970 | 21.25 ± 0.66 c | 0.26 ± 0.01 a | 0.996 |
| RS/LBG | 461.77 ± 28.63 a | 0.06 ± 0.00 a | 0.997 | 34.29 ± 0.42 a | 0.20 ± 0.00 b | 0.988 |
| RS/GG | 470.98 ± 33.50 a | 0.06 ± 0.01 a | 0.998 | 29.69 ± 1.40 b | 0.22 ± 0.01 c | 0.974 |
| Sample | Hla (Pa·s) | Upward Curve | Downward Curve | ||||||
|---|---|---|---|---|---|---|---|---|---|
| K (Pa·sn) | n | ηa,300 (Pa·s) | R2 | K (Pa·sn) | n | ηa,300 (Pa·s) | R2 | ||
| RS alone | 53,245 | 236.57 ± 2.41 a | 0.187 ± 0.004 ab | 2.15 ± 0.05 a | 0.909 | 81.84 ± 1.6 c | 0.334 ± 0.002 a | 2.02 ± 0.03 a | 0.976 |
| RS/LBG | 40,385 | 236.51 ± 32.32 a | 0.152 ± 0.056 b | 2.23 ± 0.03 a | 0.915 | 86.64 ± 6.6 b | 0.328 ± 0.004 b | 2.15 ± 0.02 a | 0.987 |
| RS/GG | 33,150 | 237.62 ± 16.60 a | 0.180 ± 0.033 ab | 2.02 ± 0.56 a | 0.951 | 101.9 ± 12.6 a | 0.312 ± 0.002 c | 1.96 ± 0.54 a | 0.997 |
| Samples | First Run | Second Run (3 d at 4 °C) | Third Run (5 d at 4 °C) | Fourth Run (12 d at 4 °C) | |||
|---|---|---|---|---|---|---|---|
| ΔH1 | ΔH2 | ΔH2/ΔH1 | ΔH3 | ΔH3/ΔH1 | ΔH4 | ΔH4/ΔH1 | |
| RS alone | 2.66 | 0.30 | 0.11 | 1.48 | 0.56 | 2.32 | 0.87 |
| RS/LBG | 2.76 | 0.40 | 0.14 | 1.38 | 0.50 | 1.43 | 0.52 |
| RS/GG | 2.74 | 0.33 | 0.12 | 1.11 | 0.41 | 1.47 | 0.54 |
| Sample | Days | Hardness | Springiness | Adhesiveness | Cohesiveness | Gumminess | Chewiness |
|---|---|---|---|---|---|---|---|
| RS alone | 3 | 1134.16 ± 58.91 a | 0.37 ± 0.02 a | 77.64 ± 4.16 b | 0.24 ± 0.02 a | 269.40 ± 38.87 a | 99.06 ± 20.13 a |
| 5 | 907.52 ± 6.93 a | 0.26 ± 0.01 a | 17.63 ± 3.21 a | 0.1 ± 0.01 a | 94.42 ± 5.81 a | 24.80 ± 2.97 a | |
| RS/LBG | 3 | 931.82 ± 14.62 b | 0.36 ± 0.05 a | 123.20 ± 14.03 a | 0.25 ± 0.02 a | 233.56 ± 24.78 a | 84.93 ± 20.51a |
| 5 | 861.36 ± 71.83 a | 0.32 ± 0.05 a | 11.90 ± 2.06 a | 0.10 ± 0.01 a | 84.02 ± 1.88 a | 26.73 ± 3.90 a | |
| RS/GG | 3 | 861.02 ± 66.74 b | 0.32 ± 0.01 a | 54.32 ± 5.98 c | 0.24 ± 0.04 a | 202.81 ± 19.53 b | 64.49 ± 4.68 a |
| 5 | 762.69 ± 0.54 b | 0.28 ± 0.04 a | 18.66 ± 4.97 a | 0.10± 0.02 a | 79.81 ± 13.04 a | 21.81 ± 0.23 a |
Publisher’s Note: MDPI stays neutral with regard to jurisdictional claims in published maps and institutional affiliations. |
© 2022 by the authors. Licensee MDPI, Basel, Switzerland. This article is an open access article distributed under the terms and conditions of the Creative Commons Attribution (CC BY) license (https://creativecommons.org/licenses/by/4.0/).
Share and Cite
Xu, X.; Ye, S.; Zuo, X.; Fang, S. Impact of Guar Gum and Locust Bean Gum Addition on the Pasting, Rheological Properties, and Freeze–Thaw Stability of Rice Starch Gel. Foods 2022, 11, 2508. https://doi.org/10.3390/foods11162508
Xu X, Ye S, Zuo X, Fang S. Impact of Guar Gum and Locust Bean Gum Addition on the Pasting, Rheological Properties, and Freeze–Thaw Stability of Rice Starch Gel. Foods. 2022; 11(16):2508. https://doi.org/10.3390/foods11162508
Chicago/Turabian StyleXu, Xuejiao, Shuhui Ye, Xiaobo Zuo, and Sheng Fang. 2022. "Impact of Guar Gum and Locust Bean Gum Addition on the Pasting, Rheological Properties, and Freeze–Thaw Stability of Rice Starch Gel" Foods 11, no. 16: 2508. https://doi.org/10.3390/foods11162508
APA StyleXu, X., Ye, S., Zuo, X., & Fang, S. (2022). Impact of Guar Gum and Locust Bean Gum Addition on the Pasting, Rheological Properties, and Freeze–Thaw Stability of Rice Starch Gel. Foods, 11(16), 2508. https://doi.org/10.3390/foods11162508

