Phytochemical Analysis of the Fruit Pulp Extracts from Annona crassiflora Mart. and Evaluation of Their Antioxidant and Antiproliferative Activities
Abstract
:1. Introduction
2. Materials and Methods
2.1. Chemicals
2.2. Plant Material and Extractions
2.3. Chemical Characterization of A. crassiflora Extracts
2.4. Antioxidant Capacity of the Fruit Pulp of A. crassiflora
2.4.1. Determination of Total Phenolics Content
2.4.2. Determination of Total Flavonoids Content
2.4.3. DPPH Radical Scavenging Assay
2.4.4. ABTS Radical Cation Assay
2.5. Antiproliferative Assay
2.6. Statistical Analysis
3. Results and Discussion
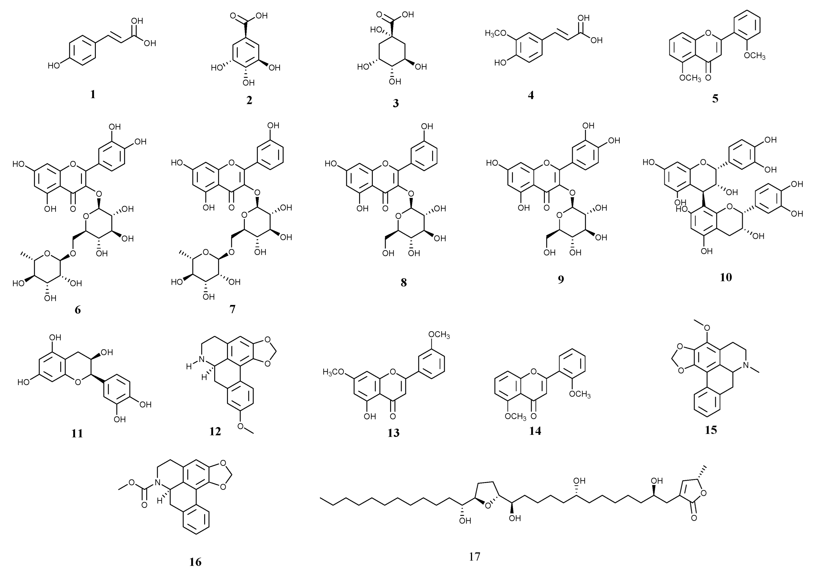
3.1. Composition of Fruit Pulp Extracts of A. crassiflora
3.2. Composition of Volatile Concentrate of Fruit Pulp of A. crassiflora
3.3. Antioxidant Capacity of Fruit Pulp of A. crassiflora
3.3.1. Total Phenolics Content
3.3.2. Total Flavonoids Content
3.3.3. Antioxidant Activity by the DPPH and TEAC/ABTS Assays
3.3.4. Antiproliferative Assay
4. Conclusions
Author Contributions
Funding
Acknowledgments
Conflicts of Interest
References
- Maas, P.J.M.; van de Kamer, H.M.; Junikka, L.; de Melo-Silva, R.; Rainer, H. Annonnaceae from Central-Eastern Brazil. Rodriguesia 2001, 52, 61–94. [Google Scholar] [CrossRef]
- Maas, P.J.M.; Westra, L.Y.T.; Rainer, H.; Lobão, A.Q.; Erkens, R.H.J. An updated index to genera, species, and infraspecific taxa of Neotropical Annonaceae. Nord. J. Bot. 2011, 29, 257–356. [Google Scholar] [CrossRef]
- Aziz, A.; Taha, H.; Ismail, N.H.; Yusof, F.Z.M.; Abu Bakar, M.Z. Therapeutic potential of plant species derived from some Annonaceae genus. Int. J. Agric. For. 2016, 6, 214–221. [Google Scholar] [CrossRef]
- Attiq, A.; Jalil, J.; Husain, K. Annonaceae breaking the wall of inflammation. Front. Pharmacol. 2017, 8, 752. [Google Scholar] [CrossRef] [PubMed]
- Yu, B.; Yao, Z.-J. A gram-scale laboratory synthesis of Annonaceae acetogenin mimic AA005. Chin. Chem. Lett. 2021, 32, 408–412. [Google Scholar] [CrossRef]
- Leboeuf, M.; Cavé, A.; Bhaumik, P.K.; Mukherjee, B.; Mukherjee, R. The phytochemistry of Annonaceae. Phytochemistry 1982, 21, 2783–2813. [Google Scholar] [CrossRef]
- Menezes, R.P.B.; Sessions, Z.; Muratov, E.; Scotti, L.; Scotti, M.T. Secondary metabolites extracted from Annonaceae and chemotaxonomy study of terpenoids. J. Braz. Chem. Soc. 2021, 32, 2061–2070. [Google Scholar] [CrossRef]
- Brazilian Government, SIBBR-Sistema de Informação Sobre a Biodiversidade Brasileira. Available online: https://ala-bie.sibbr.gov.br/ala-bie/species/370519#names (accessed on 10 November 2021).
- Cardoso, L.M.; Oliveira, D.S.; Bedetti, S.F.; Martino, H.S.D.; Pinheiro-Sant’Ana, H.M. Araticum (Annona crassiflora Mart.) from the Brazilian Cerrado: Chemical composition and bioactive compounds. Fruits 2013, 68, 121–134. [Google Scholar] [CrossRef]
- Villela, P.; Batista, A.G.; Dessimoni-Pinto, N.A.V. Nutritional composition of Annona crassiflora pulp and acceptability of bakery products prepared with its flour. Food Sci. Technol. 2013, 33, 417–423. [Google Scholar] [CrossRef] [Green Version]
- Justino, A.B.; Pereira, M.N.; Vilela, D.D.; Peixoto, L.G.; Martins, M.M.; Teixeira, R.R.; Miranda, N.C.; da Silva, N.M.; de Souza, R.M.F.; de Oliveira, A.; et al. Peel of araticum fruit (Annona crassiflora Mart.) as a source of antioxidant compounds with α-amylase, α-glucosidase and glycation inhibitory activities. Bioorg. Chem. 2016, 69, 167–182. [Google Scholar] [CrossRef]
- Bezerra, T.S.; Pereira, C.G.; Prado, M.E.T.; Vilas Boas, E.V.B.; de Resende, J.V. Induction of crystallization influences the retention of volatile compounds in freeze-dried marolo pulp. Dry. Technol. 2018, 36, 1250–1262. [Google Scholar] [CrossRef]
- Dragano, N.R.V.; Venancio, V.P.; Paula, F.B.A.; Lucia, F.D.; Fonseca, M.J.O.; Azevedo, L. Influence of Marolo (Annona crassiflora Mart.) pulp intake on the modulation of mutagenic/antimutagenic processes and its action on oxidative stress in vivo. Plant Foods Hum. Nutr. 2010, 65, 319–325. [Google Scholar] [CrossRef] [PubMed]
- Vilar, J.B.; Ferri, P.H.; Chen-Chen, L. Genotoxicity investigation of araticum (Annona crassiflora Mart., 1841, Annonaceae) using SOS-Inductest and Ames test. Braz. J. Biol. 2011, 71, 197–202. [Google Scholar] [CrossRef] [PubMed]
- Machado, A.R.T.; Ferreira, S.R.; Medeiros, F.S.; Fujiwara, R.T.; de Souza Filho, J.D.; Pimenta, L.P.S. Nematicidal activity of Annona crassiflora leaf extract on Caenorhabditis elegans. Parasit. Vectors 2015, 8, 113. [Google Scholar] [CrossRef] [PubMed] [Green Version]
- Arruda, H.S.; Pastore, G.M. Araticum (Annona crassiflora Mart.) as a source of nutrients and bioactive compounds for food and non-food purposes: A comprehensive review. Food Res. Int. 2019, 123, 450–480. [Google Scholar] [CrossRef] [PubMed]
- Silva, E.P.; Abreu, W.C.; Gonçalves, O.T.; Damiani, C.; Vilas Boas, E.V.B. Characterization of chemical and mineral composition of marolo (Annona crassiflora Mart) during physiological development. Food Sci. Technol. 2017, 37, 13–18. [Google Scholar] [CrossRef] [Green Version]
- Silva, E.P.; Freitas, F.A.; Carvalho, E.E.N.; Cunha-Junior, L.C.; Freitas, M.S.L.; Calderaro, F.L.; Damiani, C.; Vilas Boas, E.V.B. Effect of storage temperature on the quality of marolo fruit (Annona crassiflora Mart) “in natura”. Res., Soc. Dev. 2021, 10, e4110615446. [Google Scholar] [CrossRef]
- Seixas, F.R.F.; Bassoli, B.K.; Virgolin, L.B.; Garcia, L.C.; Janzantti, N.S. Physicochemical properties and effects of fruit pulps from the Amazon biome on physiological parameters of rats. Nutrients 2021, 13, 1484. [Google Scholar] [CrossRef]
- Champy, P.; Guérineau, V.; Laprévote, O. MALDI-TOF MS profiling of annonaceous acetogenins in Annona muricata products for human consumption. Molecules 2009, 14, 5235–5346. [Google Scholar] [CrossRef] [Green Version]
- Levine, R.A.; Richards, K.M.; Tran, K.; Luo, R.; Thomas, A.L.; Smith, R.E. Determination of neurotoxic acetogenins in Pawpaw (Asimina triloba) fruit by LC-HRMS. J. Agric. Food Chem. 2015, 63, 1053–1056. [Google Scholar] [CrossRef]
- Dorsey, E.R.; Elbaz, A.; Nichols, E.; Abbasi, N.; Abd-Allah, F.; Abdelalim, A.; Adsuar, J.C.; Ansha, M.G.; Brayne, C.; Choi, J.Y.; et al. Global, regional, and national burden of Parkinson’s disease, 1990–2016: A systematic analysis for the Global Burden of Disease Study 2016. Lancet Neurol. 2018, 17, 939–953. [Google Scholar] [CrossRef] [Green Version]
- Tran, K.; Ryan, S.; McDonald, M.; Thomas, A.L.; Maia, J.G.S.; Smith, R.E. Annonacin and squamocin contents of Pawpaw (Asimina triloba) and Marolo (Annona crassiflora) fruits and atemoya (A. squamosa x A. cherimola) seeds. Biol. Trace Elem. Res. 2021, 199, 2320–2329. [Google Scholar] [CrossRef] [PubMed]
- Höllerhage, M.; Rösler, T.W.; Berjas, M.; Luo, R.; Tran, K.; Richards, K.M.; Sabaa-Srur, A.U.; Maia, J.G.S.; de Moraes, M.R.; Godoy, H.T.; et al. Neurotoxicity of dietary supplements from Annonaceae species. Int. J. Toxicol. 2015, 34, 543–550. [Google Scholar] [CrossRef] [PubMed] [Green Version]
- Likens, S.; Nickerson, G. Detection of certain hop oil constituents in brewing products. Am. Soc. Brew. Chem. Proc. 1964, 22, 5–13. [Google Scholar] [CrossRef]
- Adams, P. Identification of Essential Oil Components by Gas Chromatography/Mass Spectrometry, 4th ed.; Allured Publishing Corp.: Carol Stream, IL, USA, 2007. [Google Scholar]
- Mondello, L. FFNSC 2: Flavors and Fragrances of Natural and Synthetic Compounds, Mass Spectral Database; John Wiley & Sons Inc.: Hoboken, NJ, USA, 2011. [Google Scholar]
- van den Dool, H.; Kratz, P. A generalization of the retention index system including linear temperature programmed gas-liquid partition chromatography. J. Chromatogr. A 1963, 11, 463–471. [Google Scholar] [CrossRef]
- Singleton, V.L.; Rossi, J.A. Colorimetry of total phenolics with phosphomolybdic phosphotungstic acid reagents. Am. J. Enol. Vitic. 1965, 16, 144–158. [Google Scholar]
- da Silva, J.K.R.; Andrade, E.H.A.; Kato, M.J.; Carreira, L.M.M.; Guimarães, E.F.; Maia, J.G.S. Antioxidant capacity and larvicidal and antifungal activities of essential oils and extracts from Piper krukoffii. Nat. Prod. Commun. 2011, 6, 1361–1366. [Google Scholar] [CrossRef] [Green Version]
- Chang, C.-C.; Yang, M.-H.; Wen, H.-M.; Chern, J.-C. Estimation of total flavonoid content in propolis by two complementary colorimetric methods. J. Food Drug Anal. 2002, 10, 178–182. [Google Scholar] [CrossRef]
- Rufino, M.S.M.; Alves, R.E.; de Brito, E.S.; de Morais, S.M.; Sampaio, C.G.; Pérez-Giménez, J.; Saura-Calixto, F.D. Metodologia Científica: Determinação da Atividade Antioxidante Total em Frutas pela Captura do Radical Livre ABTS; Comunicado Técnico, 128; Embrapa Agroindustrial Tropical: Fortaleza, Brazil, 2007. [Google Scholar]
- Mosmann, T. Rapid colorimetric assay for cellular growth and survival: Application to proliferation and cytotoxicity assays. J. Immunol. Methods 1983, 65, 55–63. [Google Scholar]
- Saldanha, L.L.; Vilegas, W.; Dokkedal, A.L. Characterization of flavonoids and phenolic acids in Myrcia bella Cambess. Using FIA-ESI-IT-MSn and HPLC-PAD-ESI-IT-MS combined with NMR. Molecules 2013, 18, 8402–8416. [Google Scholar] [CrossRef] [Green Version]
- Masike, K.; Mhlong, M.I.; Mudau, S.P.; Nobela, O.; Ncube, E.N.; Tugizimana, S.; George, M.J.; Madala, N.E. Highlighting mass spectrometric fragmentation differences and similarities between hydroxycinnamoyl-quinic acids and hydroxycinnamoyl-isocitric acids. Chem. Cent. J. 2017, 11, 29. [Google Scholar] [CrossRef] [PubMed]
- dos Santos, C.; Galaverna, R.S.; Angolini, C.F.F.; Nunes, V.V.A.; de Almeida, L.F.R.; Ruiz, A.L.T.G.; de Carvalho, J.E.; Duarte, R.M.T.; Duarte, M.C.T.; Eberlin, M.N. Antioxidative, antiproliferative and antimicrobial activities of phenolic compounds from three Myrcia species. Molecules 2018, 23, 986. [Google Scholar] [CrossRef] [PubMed] [Green Version]
- Troalen, L.G.; Phillips, A.S.; Peggie, D.A.; Barran, P.E.; Hulme, A.N. Historical textile dyeing with Genista tinctoria L.: A comprehensive study by UPLC-MS/MS analysis. Anal. Methods 2014, 6, 8915–8923. [Google Scholar] [CrossRef] [Green Version]
- Mesquita, L.M.S.; Caria, C.R.P.; Santos, P.S.; Ruy, C.C.; Lima, N.S.; Moreira, D.K.T.; da Rocha, C.Q.; Murador, D.C.; de Rosso, V.V.; Gambero, A.; et al. Modulatory effect of polyphenolic compounds from the mangrove tree rhizophora mangle L. on non-alcoholic fatty liver disease and insulin resistance in high-fat diet obese mice. Molecules 2018, 23, 2114. [Google Scholar] [CrossRef] [PubMed] [Green Version]
- Yamagaki, T.; Watanabe, T.; Tanaka, M.; Sugahara, K. Laser-induced hydrogen radical removal in UV MALDI-MS allows for the differentiation of flavonoid monoglycoside isomers. J. Am. Soc. Mass Spectrom. 2014, 25, 88–94. [Google Scholar] [CrossRef] [Green Version]
- Truchado, P.; Vit, P.; Heard, T.A.; Tomás-Barberán, F.A.; Ferreres, F. Determination of interglycosidic linkages in O-glycosyl flavones by high-performance liquid chromatography/photodiode-array detection coupled to electrospray ionization ion trap mass spectrometry. Its application to Tetragonula carbonaria honey from Australia. Rapid Commun. Mass Spectrom. 2015, 29, 948–954. [Google Scholar]
- Xiao, X.; Xu, L.; Hu, H.; Yang, Y.; Zhang, X.; Peng, Y.; Xiao, P. DPPH radical scavenging and postprandial hyperglycemia inhibition activities and flavonoid composition analysis of hawk tea by UPLC-DAD and UPLC-Q/TOF MSE. Molecules 2017, 22, 1622. [Google Scholar] [CrossRef]
- Hellström, J.; Sinkkonen, J.; Karonen, M.; Mattila, P. Isolation and structure elucidation of procyanidin oligomers from saskatoon berries (Amelanchier alnifolia). J. Agric. Food Chem. 2007, 55, 157–164. [Google Scholar] [CrossRef]
- Falleh, H.; Oueslati, S.; Guyot, S.; Dali, A.B.; Magné, C.; Abdelly, C.; Ksouri, R. LC/ESI-MS/MS characterisation of procyanidins and propelargonidins responsible for the strong antioxidant activity of the edible halophyte Mesembryanthemum edule L. Food Chem. 2011, 127, 1732–1738. [Google Scholar] [CrossRef]
- Mendoza-Wilson, A.M.; Castro-Arredondo, S.I.; Espinoso-Plascencia, A.; Robles-Burgeño, M.R.; Balandrán-Quintana, R.R.; Bermúdez-Almada, M.C. Chemical composition and antioxidant-prooxidant potential of a polyphenolic extract and a proanthocyanidin-rich fraction of apple skin. Heliyon 2016, 2, e00073. [Google Scholar] [CrossRef] [Green Version]
- Silva, F.M.A.; Koolen, H.H.F.; de Almeida, R.A.; de Souza, A.D.L.; Pinheiro, M.L.B. Desreplicação de alcalóides aporfínicos e oxoaporfínicos de Unonopsis guatterioides por ESI-IT/MS. Quim. Nova 2012, 35, 944–947. Available online: https://www.scielo.br/j/qn/a/wzkHRMCqxyGxBn7HDR6SDdr/?lang=pt&format=pdf (accessed on 10 November 2021). [CrossRef] [Green Version]
- Rabêlo, S.V.; Costa, M.V.; Barison, A.; Dutra, L.M.; Nunes, X.P.; Tomaz, J.C.; Oliveira, G.C.; Lopes, N.P.; Santos, M.F.C.; Almeida, J.R.G.S. Alkaloids isolated from the leaves of atemoya (Annona cherimola × Annona squamosa). Braz. J. Pharmacogn. 2015, 25, 419–421. [Google Scholar] [CrossRef] [Green Version]
- Sica, V.P.; El-Elimat, T.; Oberlies, N.H. In situ analysis of Asimina triloba (paw paw) plant tissues for acetogenins via the droplet-liquid microjunction-surface sampling probe coupled to UHPLC-PDA-HRMS/MS. Anal. Methods 2016, 8, 6143–6149. [Google Scholar] [CrossRef] [Green Version]
- Sun, S.; Liu, J.; Zhu, W.; Yang, F.; Felczak, L.; Dou, P.Q.; Zhou, K. Novel Annonaceous acetogenins from Graviola (Annona muricata) fruits with strong anti-proliferative activity. Tetrahedron Lett. 2017, 58, 1895–1899. [Google Scholar] [CrossRef]
- Lima, L.A.R.S.; Pimenta, L.P.S.; Boaventura, M.A.D. Acetogenins from Annona cornifolia and their antioxidant capacity. Food Chem. 2010, 122, 1129–1138. [Google Scholar] [CrossRef]
- Roesler, R.; Catharino, R.R.; Malta, L.G.; Eberlin, M.N.; Pastore, G.M. Antioxidant activity of Annona crassiflora: Characterization of major components by electrospray ionization mass spectrometry. Food Chem. 2007, 104, 1048–1054. [Google Scholar] [CrossRef]
- Arruda, H.S.; Pereira, G.A.; Pastore, G.M. Brazilian Cerrado fruit araticum (Annona crassiflora Mart.) as potential source of natural antioxidant compounds. Int. Food Res. J. 2018, 25, 2005–2012. Available online: https://www.researchgate.net/publication/328628337 (accessed on 10 November 2021).
- da Silva, E.P.; Vilas Boas, E.V.B.; Xisto, A.L.P.R. Characterization and development of marolo (Annona crassiflora, Mart.). Food Sci. Technol. 2013, 33, 666–675. [Google Scholar] [CrossRef] [Green Version]
- Maia, J.G.S.; Andrade, E.H.A.; da Silva, M.H.L. Aroma volatiles of pequi fruit (Caryocar brasiliense Camb.). J. Food Comp. Anal. 2008, 21, 574–576. [Google Scholar] [CrossRef]
- Vasco, C.; Ruales, J.; Kamal-Eldin, A. Total phenolic compounds and antioxidant capacities of major fruits from Ecuador. Food Chem. 2008, 111, 816–823. [Google Scholar] [CrossRef]
- Roesler, R.; Malta, L.G.; Carrasco, L.C.; Pastore, G.M. Evaluation of the antioxidant properties of the Brazilian Cerrado fruit Annona crassiflora (Araticum). J. Food Sci. 2006, 71, C102–C107. [Google Scholar] [CrossRef]
- Siqueira, E.M.A.; Rosa, F.R.; Fustinoni, A.M.; de Sant’Ana, L.P.; Arruda, S.F. Brazilian savanna fruits contain higher bioactive compounds content and higher antioxidant activity relative to the conventional red delicious apple. PLoS ONE 2013, 8, e72826. [Google Scholar] [CrossRef] [PubMed] [Green Version]
- Damiani, C.; Vilas Boas, E.V.B.; Asquieri, E.R.; Lage, M.E.; de Oliveira, R.A.; da Silva, F.A.; Pinto, D.M.; Rodrigues, L.J.; da Silva, E.P.; de Paula, N.R.F. Characterization of fruits from the savanna: Araça (Psidium guinnensis Sw.) and Marolo (Annona crassiflora Mart.). Cienc. Tecnol. Alimen. 2011, 31, 723–729. [Google Scholar] [CrossRef] [Green Version]
- Arruda, H.S.; da Cruz, R.G.; de Almeida, M.E.F. Optimization of extraction parameters of total phenolics from Annona crassiflora Mart. (Araticum) fruits using response surface methodology. Food Anal. Methods 2017, 10, 100–110. [Google Scholar] [CrossRef]
- Lage, G.A.; Medeiros, F.S.; Furtado, W.L.; Takahashi, J.A.; Souza Filho, J.D.; Pimenta, L.P.S. The first report on flavonoid isolation from Annona crassiflora Mart. Nat. Prod. Res. 2014, 28, 808–811. [Google Scholar] [CrossRef]
- Ferraz, C.R.; Silva, D.B.; Prado, L.C.S.; Canabrava, H.A.N.; Bispo-da-Silva, L.B. Antidiarrhoeic effect and dereplication of the aqueous extract of Annona crassiflora (Annonaceae). Nat. Prod. Res. 2019, 33, 563–567. [Google Scholar] [CrossRef]
- Floegel, A.; Kim, D.-O.; Chung, S.-J.; Koo, S.I.; Chun, O.K. Comparison of ABTS/DPPH assays to measure antioxidant capacity in popular antioxidant-rich US foods. J. Food Comp. Anal. 2011, 24, 1043–1048. [Google Scholar] [CrossRef]
- Gregoris, E.; Lima, G.P.P.; Fabris, S.; Bertelle, M.; Sicari, M.; Stevanato, R. Antioxidant properties of Brazilian tropical fruits by correlation between different assays. BioMed Res. Int. 2013, 2013, 132759. [Google Scholar] [CrossRef] [Green Version]
- de Souza, V.R.; Pereira, P.A.P.; Queiroz, F.; Borges, S.V.; Carneiro, J.D.S. Determination of bioactive compounds, antioxidant activity and chemical composition of Cerrado Brazilian fruits. Food Chem. 2012, 134, 381–386. [Google Scholar] [CrossRef]
- Prado, L.G.; Arruda, H.S.; Araújo, N.M.P.; Braga, L.E.O.; Banzato, T.P.; Pereira, G.A.; Figueiredo, M.C.; Ruiz, A.L.T.G.; Eberlin, M.N.; de Carvalho, J.E.; et al. Antioxidant, antiproliferative and healing properties of araticum (Annona crassiflora Mart.) peel and seed. Food Res. Int. 2020, 133, 109168. [Google Scholar] [CrossRef]
- Fraczkowska, K.; Bacia, M.; Przybylo, M.; Drabik, D.; Kaczorowska, A.; Rybka, J.; Stefanko, E.; Drobczyski, S.; Masajada, J.; Podbielska, H.; et al. Alterations of biomechanics in cancer and normal cells induced by doxorubicin. Biomed. Pharmacother. 2018, 97, 1195–1203. [Google Scholar] [CrossRef] [PubMed]
- Vilar, J.B.; Ferreira, F.L.; Ferri, P.H.; Guillo, L.A.; Chen-Chen, L. Assessment of the mutagenic, antimutagenic and cytotoxic activities of ethanolic extract of araticum (Annona crassiflora Mart. 1841) by micronucleus test in mice. Braz. J. Biol. 2008, 68, 141–147. [Google Scholar] [CrossRef] [PubMed] [Green Version]
- Formagio, A.S.N.; Vieira, M.C.; Volobuff, C.R.F.; Silva, M.S.; Matos, A.I.; Cardoso, C.A.L.; Floglio, M.A.; Carvalho, J.E. In vitro biological screening of the anticholinesterase and antiproliferative activities of medicinal plants belonging to Annonaceae. Braz. J. Med. Biol. Res. 2015, 48, 308–315. [Google Scholar] [CrossRef] [PubMed] [Green Version]



| LFP-E and LFP-A Extracts | Compounds | RT (min) | [M-H]- (m/z) | MSn Fragments (m/z) c |
|---|---|---|---|---|
| 1 | p-Coumaric acid a | 2.1 | 163 | 119(45), 93(100) |
| 2 | Gallic acid a | 2.1 | 169 | 125(25) |
| 3 | Quinic acid a,b | 2.3 | 191 | 173(40), 85(100) |
| 4 | Ferulic acid b | 2.4 | 193 | 178(35), 149(100), 134(25) |
| 5 | Apigenin b | 7.2 | 269 | 151(100), 117(35) |
| 6 | Rutin a | 12.3 | 609 | 463(25), 301(100) |
| 7 | Kaempferol 3-O-β-D-glucoside a,b | 12.9 | 447 | 285(100), 152(25) |
| 8 | Kaempferol-3-O-rutinoside a | 13.1 | 593 | 285(100), 255(45) |
| 9 | Quercetin-3-O-β-D-glucoside a | 14.2 | 463 | 301(100) |
| 10 | Procyanidin B2 a | 16.1 | 577 | 541(35), 425(35), 407(25), 289(100) |
| 11 | (-)-Epicatechin a | 18.3 | 289 | 271(100), 163(50) |
| 12 | Xylopine a,b | 18.6 | 294 | 264(100), 249(35), 219(45), 191(25) |
| 13 | 3′,7-Dimethoxy-3-hydroxyflavone a,b | 19.6 | 297 | 265(100), 249(15), 183(18) |
| 14 | 2′,5-Dimethoxyflavone a | 19.7 | 281 | 151(100) |
| 15 | Stephalagine a | 19.7 | 308 | 278(100) |
| 16 | Romucosine a | 19.9 | 322 | 267(100), 252(35) |
| 17 | Annonacin a | 21.2 | 595 | 471(100), 379(35), 361(28), 343(25) |
| Constituents | RIC | RIL | Concentrate (%) | Constituents | RIC | RIL | Concentrate (%) |
|---|---|---|---|---|---|---|---|
| n-Octane | 799 | 800 a | 0.1 | Ethyl octanoate | 1195 | 1196 a | 34.8 |
| n-Hexanol | 861 | 863 a | 0.2 | Ethyl (2E)-octenoate | 1245 | 1245 a | 0.3 |
| 2-Heptanone | 888 | 889 a | 0.1 | Isopentyl hexanoate | 1249 | 1252 b | 0.8 |
| Methyl hexanoate | 920 | 921 a | 2.4 | (2E)-Decenal | 1260 | 1260 a | 2.0 |
| Hexanoic acid | 965 | 967 a | 0.1 | (2E,4Z)-Decadienal | 1290 | 1292 a | 0.5 |
| Ethyl hexanoate | 996 | 997 a | 29.4 | Methyl decanoate | 1321 | 1323 a | 0.1 |
| n-Octanol | 1061 | 1063 a | 0.1 | Hexenyl (3Z)-hexanoate | 1381 | 1382 b | 0.2 |
| Propyl hexanoate | 1094 | 1096 b | 0.1 | Hexyl hexanoate | 1386 | 1390 b | 0.1 |
| n-Nonanal | 1100 | 1100 a | 0.1 | Ethyl decanoate | 1395 | 1395 a | 0.7 |
| Methyl octanoate | 1122 | 1123 a | 18.3 | Ethyl dodecanoate | 1596 | 1598 b | 0.5 |
| Isobutyl hexanoate | 1149 | 1149 a | 0.1 | Ethyl tetradecanoate | 1794 | 1795 a | 1.8 |
| Octanoic acid | 1164 | 1167 a | 1.1 | Ethyl hexadecanoate | 1991 | 1992 a | 0.1 |
| Butyl hexanoate | 1185 | 1186 a | 0.2 | ||||
| Total (%) | 94.2 | ||||||
| Extract/Standard | Cell Lines (GI50 µg/mL) | ||||||
|---|---|---|---|---|---|---|---|
| U251 | MCF-7 | PC-3 | OVCAR-3 | HT29 | HaCaT | HEPG2 | |
| LFP-E | 21.34 | >100 | >100 | >100 | >100 | >100 | >100 |
| Doxorubicin | 11.68 | 3.09 | 24.46 | 53.92 | 26.16 | 4.79 | 27.53 |
Publisher’s Note: MDPI stays neutral with regard to jurisdictional claims in published maps and institutional affiliations. |
© 2022 by the authors. Licensee MDPI, Basel, Switzerland. This article is an open access article distributed under the terms and conditions of the Creative Commons Attribution (CC BY) license (https://creativecommons.org/licenses/by/4.0/).
Share and Cite
Carvalho, N.C.C.; Monteiro, O.S.; da Rocha, C.Q.; Longato, G.B.; Smith, R.E.; da Silva, J.K.R.; Maia, J.G.S. Phytochemical Analysis of the Fruit Pulp Extracts from Annona crassiflora Mart. and Evaluation of Their Antioxidant and Antiproliferative Activities. Foods 2022, 11, 2079. https://doi.org/10.3390/foods11142079
Carvalho NCC, Monteiro OS, da Rocha CQ, Longato GB, Smith RE, da Silva JKR, Maia JGS. Phytochemical Analysis of the Fruit Pulp Extracts from Annona crassiflora Mart. and Evaluation of Their Antioxidant and Antiproliferative Activities. Foods. 2022; 11(14):2079. https://doi.org/10.3390/foods11142079
Chicago/Turabian StyleCarvalho, Natale Cristine C., Odair S. Monteiro, Claudia Q. da Rocha, Giovanna B. Longato, Robert E. Smith, Joyce Kelly R. da Silva, and José Guilherme S. Maia. 2022. "Phytochemical Analysis of the Fruit Pulp Extracts from Annona crassiflora Mart. and Evaluation of Their Antioxidant and Antiproliferative Activities" Foods 11, no. 14: 2079. https://doi.org/10.3390/foods11142079
APA StyleCarvalho, N. C. C., Monteiro, O. S., da Rocha, C. Q., Longato, G. B., Smith, R. E., da Silva, J. K. R., & Maia, J. G. S. (2022). Phytochemical Analysis of the Fruit Pulp Extracts from Annona crassiflora Mart. and Evaluation of Their Antioxidant and Antiproliferative Activities. Foods, 11(14), 2079. https://doi.org/10.3390/foods11142079

