Biofilm Formation of Listeria monocytogenes and Pseudomonas aeruginosa in a Simulated Chicken Processing Environment
Abstract
:1. Introduction
2. Materials and Methods
2.1. Bacterial Strains and Medium
2.2. Preparation of Chicken Juice and Stainless Steel Coupons
2.3. Biofilm Formation
2.4. Enumeration of Planktonic Cells
2.5. Motility
2.6. Scanning Electron Microscopy (SEM)
2.7. Statistical Analysis
3. Results
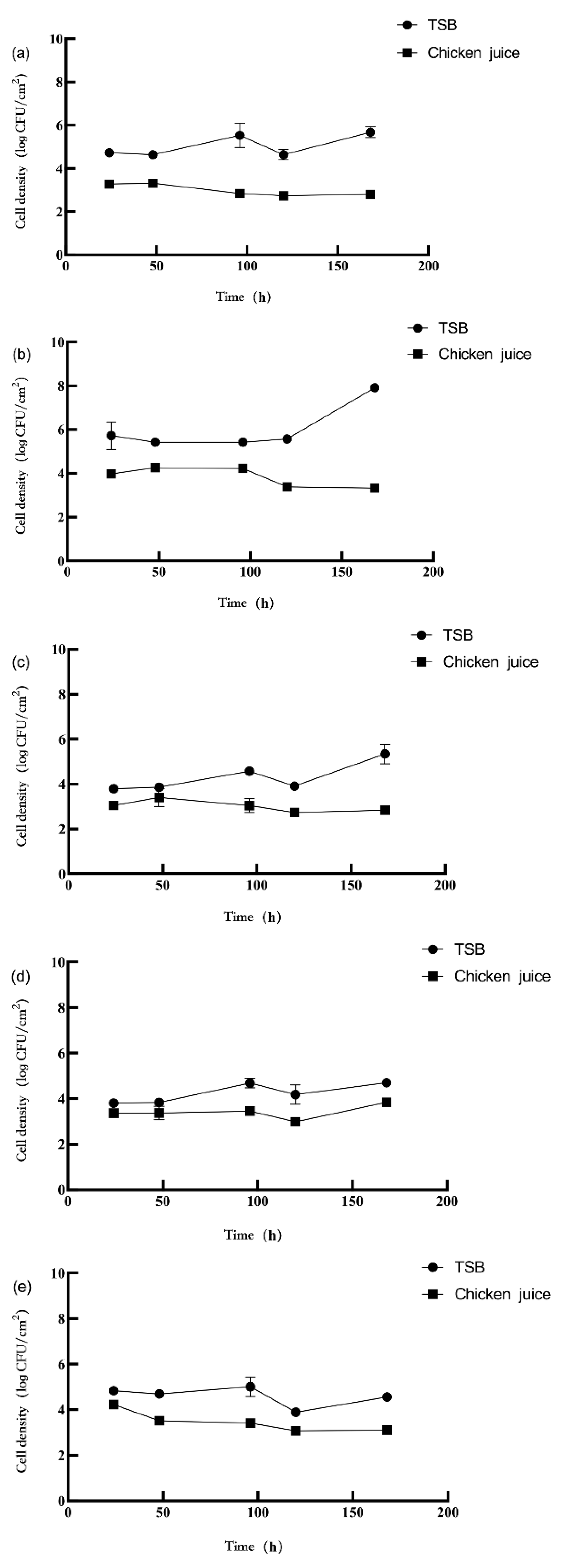
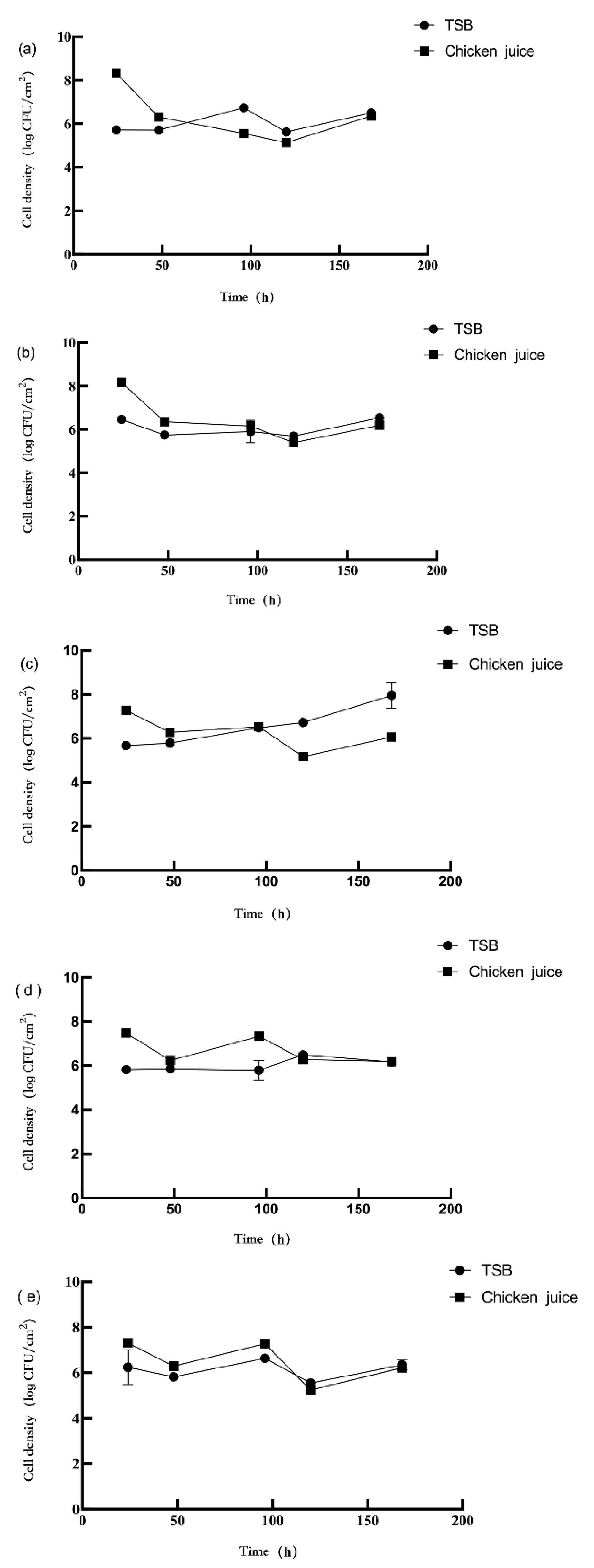
3.1. Formation of Mono and Dual-Species Biofilms
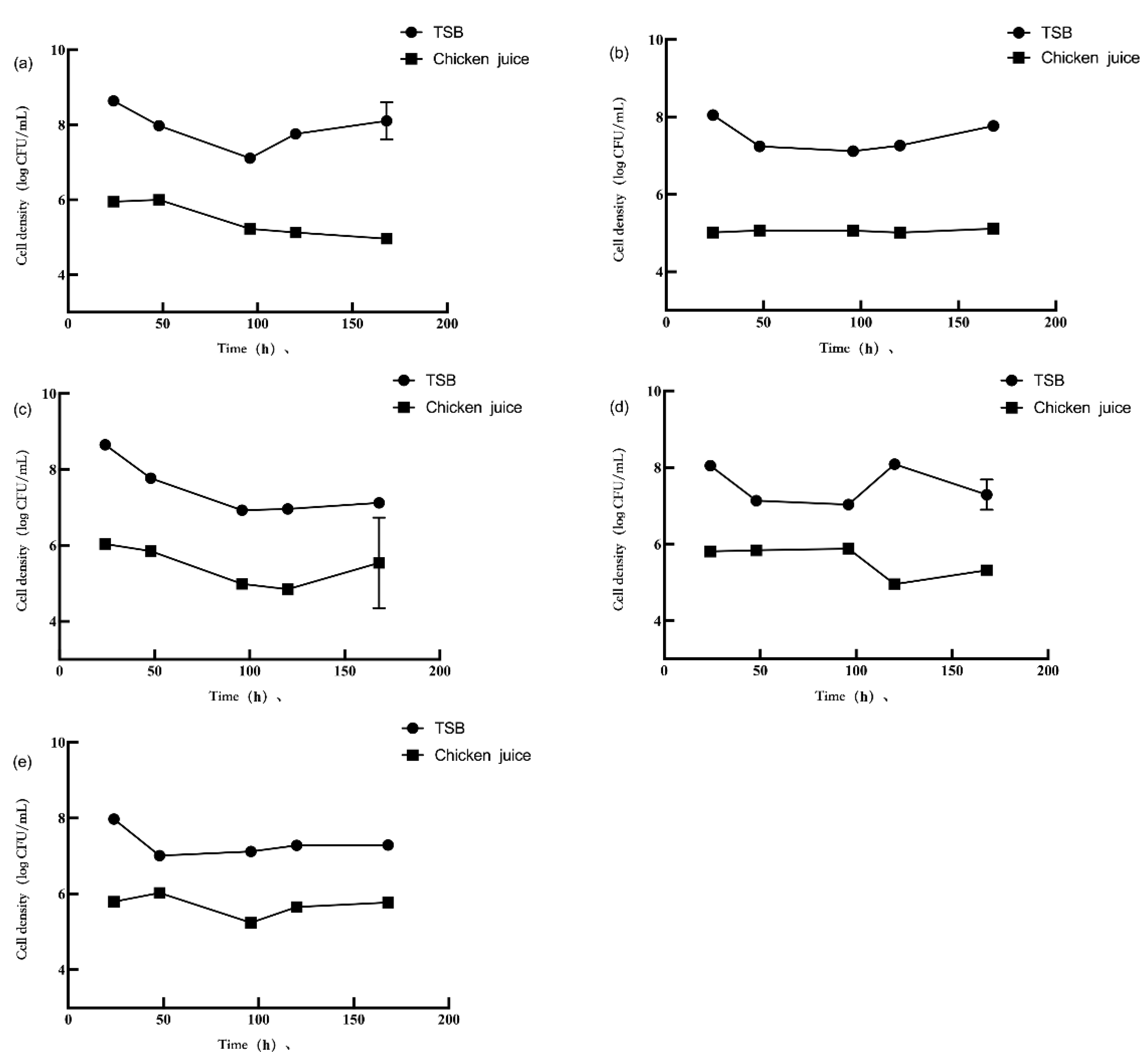
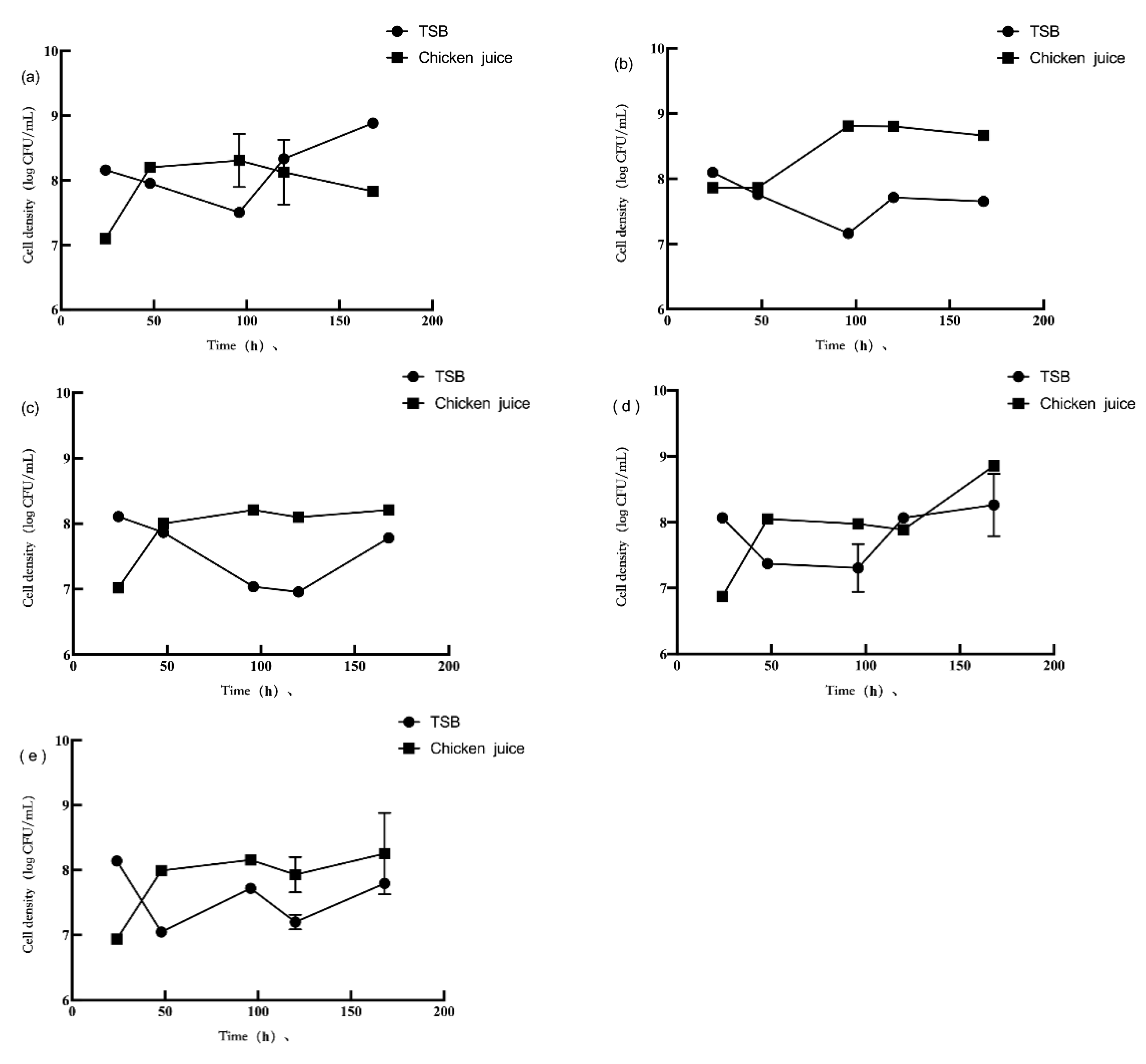
3.2. Competition in Planktonic Cells
3.3. Motility
3.4. Biofilm Structure Observation by SEM
4. Discussion
5. Conclusions
Author Contributions
Funding
Institutional Review Board Statement
Informed Consent Statement
Data Availability Statement
Conflicts of Interest
References
- Steenackers, H.; Hermans, K.; Vanderleyden, J.; Keersmaecker, S. Salmonella biofilms: An overview on occurrence, structure, regulation and eradication. Food Res. Int. 2012, 45, 502–531. [Google Scholar] [CrossRef]
- Giaouris, E.; Heir, E.; Desvaux, M.; Hebraud, M.; Moretro, T.; Langsrud, S.; Doulgeraki, A.; Nychas, G.J.; Kacaniova, M.; Czaczyk, K.; et al. Intra- and inter-species interactions within biofilms of important foodborne bacterial pathogens. Front. Microbiol. 2015, 6, 841. [Google Scholar] [CrossRef] [PubMed]
- Wang, R. Biofilms and Meat Safety: A Mini-Review; International Association for Food Protection: Des Moines, IA, USA, 2019. [Google Scholar]
- Langsrud, S.; Moen, B.; Møretrø, T.; Løype, M.; Heir, E. Microbial dynamics in mixed culture biofilms of bacteria surviving sanitation of conveyor belts in salmon-processing plants. J. Appl. Microbiol. 2016, 120, 366–378. [Google Scholar] [PubMed] [Green Version]
- Wang, H.; Ding, S.; Dong, Y.; Keping, Y.E.; Xinglian, X.U.; Zhou, G. Biofilm formation of Salmonella serotypes in simulated meat processing environments and its relationship to cell characteristics. J. Food Prot. 2013, 76, 1784–1789. [Google Scholar] [CrossRef]
- Velmourougane, K.; Prasanna, R.; Saxena, A.K.; Singh, S.B.; Chawla, G.; Kaushik, R.; Ramakrishnan, B.; Nain, L. Modulation of growth media influences aggregation and biofilm formation between Azotobacter chroococcum and Trichoderma viride. Appl. Biochem. Microbiol. 2017, 53, 546–556. [Google Scholar] [CrossRef]
- Sasahara, K.C.; Zottola, E.A. Biofilm Formation by Listeria monocytogenes Utilizes a Primary Colonizing Microorganism in Flowing Systems. J. Food Prot. 1993, 56, 1022–1028. [Google Scholar] [CrossRef]
- Pang, X.Y.; Yuk, H.G. Effect of Pseudomonas aeruginosa on the sanitizer sensitivity of Salmonella enteritidis biofilm cells in chicken juice. Food Control 2017, 86, 59–65. [Google Scholar] [CrossRef]
- Zhu, J.; Yan, Y.; Wang, Y.; Qu, D. Competitive interaction on dual-species biofilm formation by spoilage bacteria, Shewanella baltica and Pseudomonas fluorescens. J. Appl. Microbiol. 2019, 126, 1175–1186. [Google Scholar] [CrossRef]
- Papaioannou, E.; Giaouris, E.D.; Berillis, P.; Boziaris, I.S. Dynamics of biofilm formation by Listeria monocytogenes on stainless steel under mono-species and mixed-culture simulated fish processing conditions and chemical disinfection challenges. Int. J. Food Microbiol. 2017, 267, 9–19. [Google Scholar] [CrossRef]
- Donovan, S. Listeriosis: A rare but deadly disease. Clin. Microbiol. Newsl. 2015, 37, 135–140. [Google Scholar] [CrossRef]
- EFSA; ECDC. European Food Safety Authority and European Centre for Disease Prevention and Control (EFSA and ECDC). EFSA J. 2019, 17, 5926. [Google Scholar]
- EFSA; ECDC. The European Union One Health 2020 zoonoses report. EFSA J. 2021, 19, 6971. [Google Scholar] [CrossRef]
- Centers for Disease Control and Prevention. Listeria Outbreak Linked to Fully Cooked Chicken [EB/OL], the United States. Available online: https://www.cdc.gov/listeria/outbreaks/precooked-chicken-07-21/index.html (accessed on 14 May 2022).
- Li, W.; Bai, L.; Ma, X.; Zhang, X.; Li, X.; Yang, X.; Huang, J.Y.; Fanning, S.; Guo, Y. Sentinel listeriosis surveillance in selected hospitals, China, 2013–2017. Emerg. Infect. Dis. 2019, 25, 2274–2277. [Google Scholar] [CrossRef] [PubMed]
- Puga, C.H.; Belen, O.; Carmen, S.J. Listeria monocytogenes impact on mature or old pseudomonas fluorescens biofilms during growth at 4 and 20 °C. Front. Microbiol. 2016, 7, 134. [Google Scholar] [CrossRef] [PubMed] [Green Version]
- Mann, E.E.; Wozniak, D.J. Pseudomonas biofilm matrix composition and niche biology. FEMS Microbiol. Rev. 2012, 36, 893–916. [Google Scholar] [CrossRef] [PubMed] [Green Version]
- Puga, C.H.; Dahdouh, E.; SanJose, C.; Orgaz, B. Listeria monocytogenes colonizes biofilms and induces matrix over-production. Front Microbiol. 2018, 9, 1706. [Google Scholar] [CrossRef]
- Giaouris, E.; Chorianopoulos, N.; Doulgeraki, A.; Nychas, G.J. Co-Culture with Listeria monocytogenes within a Dual-Species Biofilm Community Strongly Increases Resistance of Pseudomonas putida to Benzalkonium Chloride. PLoS ONE 2013, 8, e77276. [Google Scholar] [CrossRef] [Green Version]
- Ripolles-Avila, C.; Guitan-Santamaria, M.; Pizarro-Giménez, K.; Mazaheri, T.; Rodríguez-Jerez, J.J. Dual-species biofilms formation between dominant microbiota isolated from a meat processing industry with Listeria monocytogenes and Salmonella entetrica: Unravelling their ecological interactions. Food Microbiol. 2022, 105, 104026. [Google Scholar] [CrossRef]
- Cong, Y.; Wang, J.; Chen, Z.; Xiong, K.; Hu, F. Characterization of swarming motility in Citrobacter freundii. FEMS Microbiol. Lett. 2011, 317, 160–171. [Google Scholar] [CrossRef] [Green Version]
- Hidalgo, G.; Chan, M.; Tufenkji, N. Inhibition of Escherichia coli cft073 flic expression and motility by cranberry materials. Appl. Environ. Microbiol. 2011, 77, 6852–6857. [Google Scholar] [CrossRef] [Green Version]
- Kostaki, M.; Chorianopoulos, N.; Braxou, E.; Nychas, G.J.; Giaouris, E. Differential biofilm formation and chemical disinfection resistance of sessile cells of Listeria monocytogenes strains under mono-species and dual-species (with Salmonella enterica) conditions. Appl. Environ. Microbiol. 2012, 78, 2586–2595. [Google Scholar] [CrossRef] [PubMed] [Green Version]
- Iñiguez-Moreno, M.; Gutiérrez-Lomelí, M.; Guerrero-Medina, P.J.; Avila-Novoa, M.G. Biofilm formation by Staphylococcus aureus and Salmonella spp. under mono and dual-species conditions and their sensitivity to Cetrimonium bromide, peracetic acid and sodium hypochlorite. Braz. J. Microbiol. 2018, 49, 310–319. [Google Scholar] [CrossRef] [PubMed]
- Pang, X.Y.; Yang, Y.S.; Yuk, H.G. Biofilm formation and disinfectant resistance of Salmonella spp. in mono- and dual-species with Pseudomonas aeruginosa. J. Appl. Microbiol. 2017, 123, 651–660. [Google Scholar] [CrossRef] [PubMed]
- Chorianopoulos, N.G.; Giaouris, E.D.; Skandamis, P.N.; Haroutounian, S.A.; Nychas, G.E. Disinfectant test against monoculture and mixed-culture biofilms composed of technological, spoilage and pathogenic bacteria: Bactericidal effect of essential oil and hydrosol of satureja thymbra and comparison with standard acid-base sanitizers. J. Appl. Microbiol. 2010, 104, 1586–1596. [Google Scholar] [CrossRef] [PubMed]
- Govaert, M.; Smet, C.; Vergauwen, L.; Ećimović, B.; Walsh, J.L.; Baka, M.; Van Impe, J. Influence of plasma characteristics on the efficacy of cold atmospheric plasma (cap) for inactivation of Listeria monocytogenes and Salmonella typhimurium biofilms. Innov. Food Sci. Emerg. Technol. 2019, 52, 376–386. [Google Scholar] [CrossRef]
- Li, J.; Feng, J.; Ma, L.; Núñez, C.d.l.F.; Gölz, G.; Lu, X. Effects of meat juice on biofilm formation of Campylobacter and Salmonella. Int. J. Food Microbiol. 2017, 253, 20–28. [Google Scholar] [CrossRef] [Green Version]
- Liu, A.; Shi, C. Pork juice promotes biofilm formation in Listeria monocytogenes. J. Food Saf. 2018, 38, e12439. [Google Scholar] [CrossRef]
- Pang, X.Y.; Yuk, H.G. Effects of the colonization sequence of Listeria monocytogenes and Pseudomonas fluorescens on survival of biofilm cells under food-related stresses and transfer to salmon. Food Microbiol. 2019, 82, 142–150. [Google Scholar] [CrossRef]
- Kocot, A.M.; Olszewska, M.A. Interaction of Pseudomonas aeruginosa and Staphylococcus aureus with Listeria innocua in dual species biofilms and inactivation following disinfectant treatments. LWT 2020, 118, 108736. [Google Scholar] [CrossRef]
- Iiguez-Moreno, M.; Gutiérrez-Lomeli, M.; Avila-Novoa, M.G. Kinetics of biofilm formation by pathogenic and spoilage microorganisms under conditions that mimic the poultry, meat, and egg processing industries. Int. J. Food Microbiol. 2019, 303, 32–41. [Google Scholar] [CrossRef]
- Hunt, S.M.; Werner, E.M.; Huang, B.; Hamilton, M.A.; Stewart, P.S. Hypothesis for the role of nutrient starvation in biofilm detachment. Appl. Environ. Microbiol. 2004, 70, 7418–7425. [Google Scholar] [CrossRef] [PubMed] [Green Version]
- Lianou, A.; Koutsoumanis, K.P. Strain variability of the biofilm-forming ability of Salmonella enterica under various environmental conditions. Int. J. Food Microbiol. 2012, 160, 171–178. [Google Scholar] [CrossRef] [PubMed]
- Di Bonaventura, G.; Piccolomini, R.; Paludi, D.; D’orio, V.; Vergara, A.; Conter, M.; Ianieri, A. Influence of temperature on biofilm formation by Listeria monocytogenes on various food-contact surfaces: Relationship with motility and cell surface hydrophobicity. J. Appl. Microbiol. 2010, 104, 1552–1561. [Google Scholar] [CrossRef]
- Lemon, K.P.; Higgins, D.E.; Kolter, R. Flagellar motility is critical for Listeria monocytogenes biofilm formation. J. Bacteriol. 2007, 189, 4418–4424. [Google Scholar] [CrossRef] [PubMed] [Green Version]
- Nilsson, R.E.; Ross, T.; Bowman, J.P. Variability in biofilm production by Listeria monocytogenes correlated to strain origin and growth conditions. Int. J. Food Microbiol. 2011, 150, 14–24. [Google Scholar] [CrossRef]
- Renier, S.; Hébraud, M.; Desvaux, M. Molecular biology of surface colonization by Listeria monocytogenes: An additional facet of an opportunistic gram-positive foodborne pathogen. Environ. Microbiol. 2011, 13, 835–850. [Google Scholar] [CrossRef]
- Ma, L.; Conover, M.; Lu, H.; Parsek, M.R.; Bayles, K.; Wozniak, D.J. Assembly and development of the Pseudomonas aeruginosa biofilm matrix. PLoS Pathogens 2009, 5, e1000354. [Google Scholar] [CrossRef] [Green Version]






| Culture Medium | TSB | Chicken Juice | ||||||||
|---|---|---|---|---|---|---|---|---|---|---|
| Ratios Motility | 3 | 4 | 1:1 | 1:10 | 10:1 | 3 | 4 | 1:1 | 1:10 | 10:1 |
| P. aeruginosa | ||||||||||
| Swarming-3 | 0.315 | 0.103 | 0.934 * | 0.803 | −0.122 | −0.564 | −0.677 | −0.745 | −0.615 | −0.655 |
| Swimming-3 | 0.568 | −0.038 | 0.901 * | 0.634 | 0.096 | −0.731 | −0.770 | −0.693 | −0.442 | −0.479 |
| Swarming-4 | 0.380 | 0.019 | 0.925 * | 0.778 | −0.086 | −0.653 | −0.744 | −0.767 | −0.586 | −0.635 |
| Swimming-4 | 0.616 | 0.075 | 0.950 * | 0.580 | 0.163 | −0.656 | −0.711 | −0.629 | −0.464 | −0.432 |
| L. monocytogenes | ||||||||||
| Swarming-3 | −0.134 | 0.620 | 0.769 | 0.842 | −0.445 | −0.934 * | −0.729 | −0.726 | 0.279 | −0.881 * |
| Swimming-3 | −0.031 | 0.458 | 0.689 | 0.811 | −0.429 | −0.885 * | −0.565 | −0.549 | 0.198 | −0.964 ** |
| Swarming-4 | −0.160 | 0.566 | 0.696 | 0.788 | −0.536 | −0.942 * | −0.756 | −0.747 | 0.179 | −0.906 * |
| Swimming-4 | −0.484 | 0.817 | 0.801 | 0.664 | −0.429 | −0.685 | −0.755 | −0.524 | 0.470 | −0.832 |
Publisher’s Note: MDPI stays neutral with regard to jurisdictional claims in published maps and institutional affiliations. |
© 2022 by the authors. Licensee MDPI, Basel, Switzerland. This article is an open access article distributed under the terms and conditions of the Creative Commons Attribution (CC BY) license (https://creativecommons.org/licenses/by/4.0/).
Share and Cite
Dong, Q.; Sun, L.; Fang, T.; Wang, Y.; Li, Z.; Wang, X.; Wu, M.; Zhang, H. Biofilm Formation of Listeria monocytogenes and Pseudomonas aeruginosa in a Simulated Chicken Processing Environment. Foods 2022, 11, 1917. https://doi.org/10.3390/foods11131917
Dong Q, Sun L, Fang T, Wang Y, Li Z, Wang X, Wu M, Zhang H. Biofilm Formation of Listeria monocytogenes and Pseudomonas aeruginosa in a Simulated Chicken Processing Environment. Foods. 2022; 11(13):1917. https://doi.org/10.3390/foods11131917
Chicago/Turabian StyleDong, Qingli, Linjun Sun, Taisong Fang, Yuan Wang, Zhuosi Li, Xiang Wang, Mengjie Wu, and Hongzhi Zhang. 2022. "Biofilm Formation of Listeria monocytogenes and Pseudomonas aeruginosa in a Simulated Chicken Processing Environment" Foods 11, no. 13: 1917. https://doi.org/10.3390/foods11131917
APA StyleDong, Q., Sun, L., Fang, T., Wang, Y., Li, Z., Wang, X., Wu, M., & Zhang, H. (2022). Biofilm Formation of Listeria monocytogenes and Pseudomonas aeruginosa in a Simulated Chicken Processing Environment. Foods, 11(13), 1917. https://doi.org/10.3390/foods11131917

