The Comprehensive Utilization of Bean Dregs in High-Fiber Tofu
Abstract
1. Introduction
2. Materials and Methods
2.1. Materials
2.2. Determination of Nutrients in Bean Dregs
2.3. Analysis of Water-Holding Capacity
2.4. Extraction of Bean Dreg Cellulose
2.5. Preparation of High-Fiber Tofu
2.6. Texture Profile Analysis
2.7. Chroma Analysis
2.8. Microstructure of Tofu
2.9. Volatile Compounds Determination
2.10. GC-IMS Method
2.11. Analysis and Detection of the Magnetic Resonance Imaging System
2.12. Data Analysis
3. Results and Discussion
3.1. Analysis of the Content of Nutrients in Bean Dregs
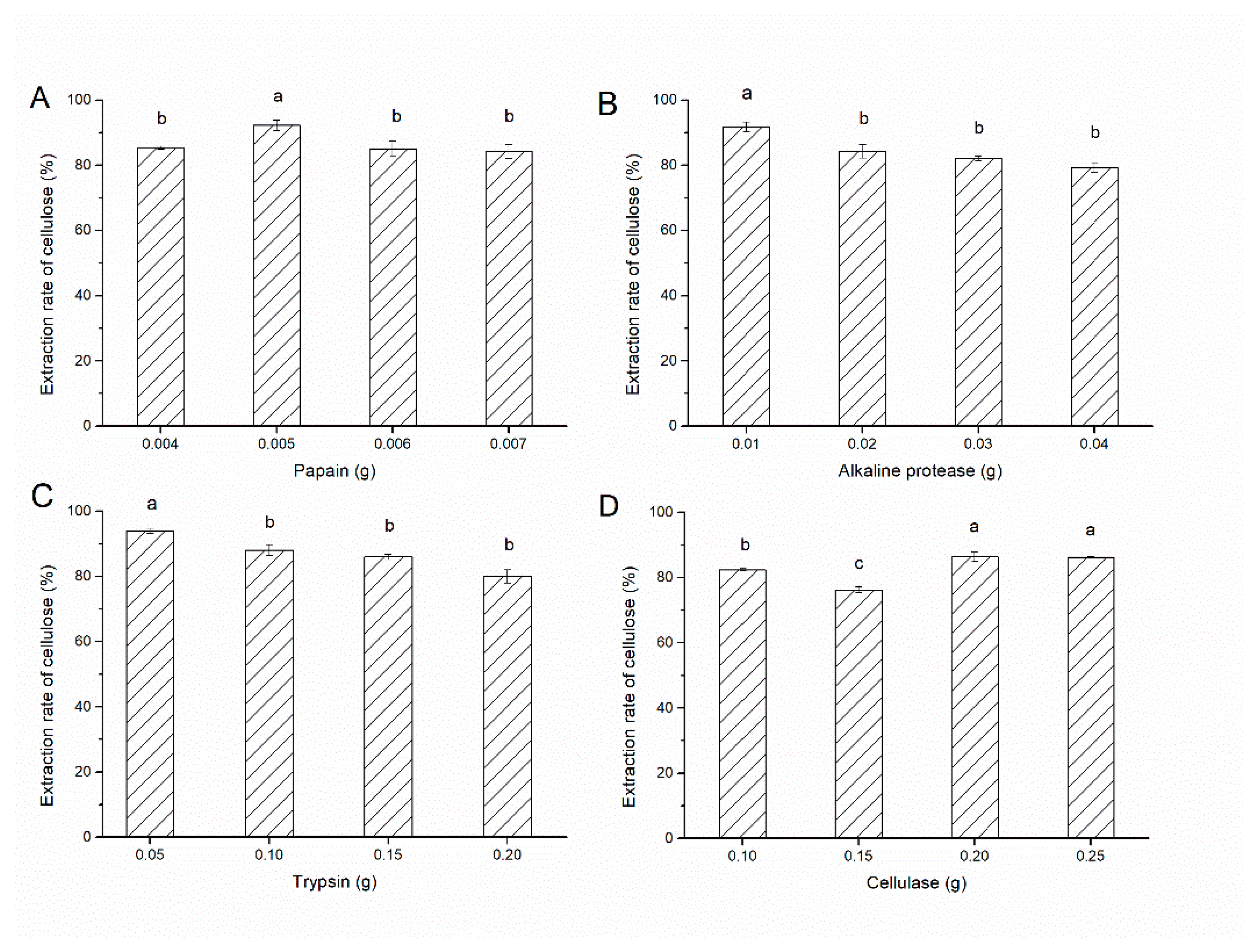
3.2. Extraction of Bean Dregs Cellulose
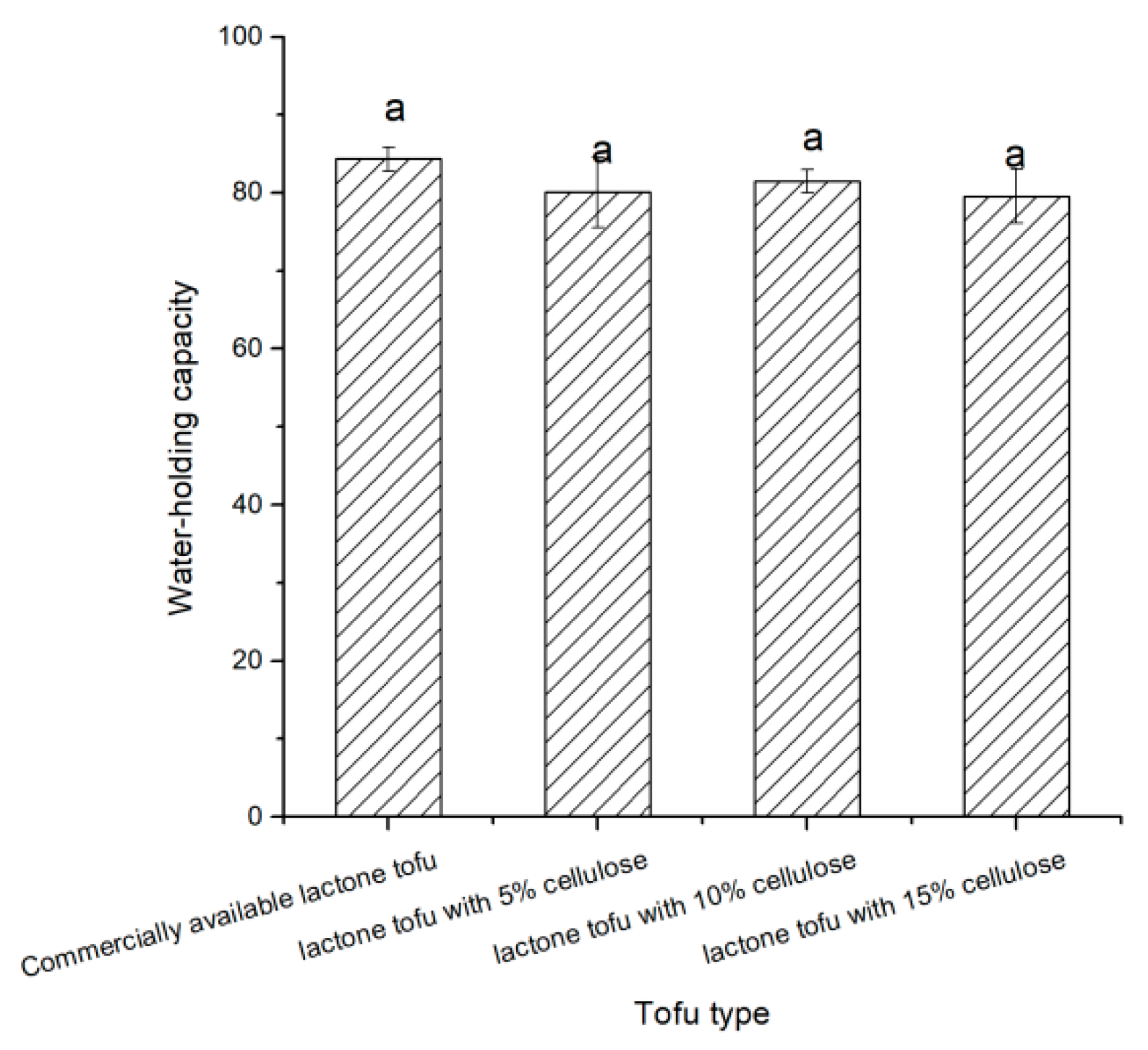
3.3. Analysis of Water-Holding Capacity from Tofu
3.4. Analysis of Magnetic Resonance Imaging
3.5. Texture Analysis of Tofu Added with Cellulose
3.6. Chroma Analysis
3.7. Microstructure of Tofu
3.8. Analysis of Volatile Organic Compound
4. Conclusions
Author Contributions
Funding
Institutional Review Board Statement
Informed Consent Statement
Data Availability Statement
Conflicts of Interest
References
- China Agricultural Outlook Report (2022–2031) for Standard Reference. 2022. Available online: https://finance.sina.com.cn/roll/2022-04-20/doc-imcwiwst2921649.shtml (accessed on 20 April 2022).
- Nguyen, Q.H.; Than, T.T.T.; Le, N.D.; Le, P.D.; Fievez, V. Effect of increasing inclusion rates of tofu by-product in diets of growing pigs on nitrogen balance and ammonia emission from manure. Animal 2020, 14, 1167–1175. [Google Scholar] [CrossRef] [PubMed]
- Yang, Y.; Awasthi, M.K.; Ren, X.; Guo, H.; Lv, J. Effect of bean dregs on nitrogen transformation and bacterial dynamics during pig manure composting. Bioresour. Technol. 2019, 288, 121430. [Google Scholar] [CrossRef] [PubMed]
- Yang, Y.; Du, W.; Ren, X.; Cui, Z.; Zhou, W.; Lv, J. Effect of bean dregs amendment on the organic matter degradation, humification, maturity and stability of pig manure composting. Sci. Total Environ. 2020, 708, 134623. [Google Scholar] [CrossRef]
- Zhu, G.; Zhu, X.; Xiao, Z.; Zhou, R.; Yi, F. Pyrolysis characteristics of bean dregs and in situ visualization of pyrolysis transformation. Waste Manag. 2012, 32, 2287–2293. [Google Scholar] [CrossRef]
- Zheng, D.M.; Xie, H.H.; Zhang, H.L. The research on condition for pretreatment of dietary fiber of bean dreg. Food Sci. 2005, 6, 340–346. [Google Scholar]
- Kamizake, N.K.K.; Silva, L.C.P.; Prudencio, S.H. Impact of soybean aging conditions on tofu sensory characteristics and acceptance. J. Sci. Food Agric. 2018, 98, 1132–1139. [Google Scholar] [CrossRef] [PubMed]
- Tang, C. Effect of thermal pretreatment of raw soymilk on the gel strength and microstructure of tofu induced by microbial transglutaminase. Food Sci. Technol. 2007, 40, 1403–1409. [Google Scholar] [CrossRef]
- Zhang, M.; Wang, P.; Zou, M.; Yang, R.; Tian, M.; Gu, Z. Microbial transglutaminase-modified protein network and its importance in enhancing the quality of high-fiber tofu with okara. Food Chem. 2019, 289, 169–176. [Google Scholar] [CrossRef]
- Zhang, Q.; Wang, C.; Li, B.; Li, L.; Lin, D.; Chen, H.; Yang, W. Research progress in tofu processing: From raw materials to processing conditions. Crit. Rev. Food Sci. Nutr. 2018, 58, 1448–1467. [Google Scholar] [CrossRef]
- Zhang, Y.L.; Wan, Y.; Wang, D.; Zuo, Z.H.; Liu, S.T. Optimization and characterization of ultrasound-assisted enzymatic extraction process of dietary fiber from kidney bean residue. Food Mach. 2019, 35, 201–205. [Google Scholar]
- Pan, L.H.; Xu, X.L.; Luo, J.P. Ultrasound-assisted extraction of water-insoluble soybean dietary fiber and its physical properties. J. Agric. Eng. 2011, 27, 387–392. [Google Scholar]
- Cheng, Y.Q.; Shimizu, N.T.; Kimura, T.F.; Lee, R.R. Effect of addition of ultramicro processed soybean residue products on the texture of tofu. Food Sci. 2004, 25, 47–50. [Google Scholar]
- Kim, Y.N.; Muttakin, S.; Jung, Y.M.; Heo, T.Y.; Lee, D.U. Tailoring physical and sensory properties of tofu by the addition of jet-milled, superfine, defatted soybean flour. Foods 2019, 8, 617. [Google Scholar] [CrossRef] [PubMed]
- Urbonaite, V.; De Jongh, H.H.J.; Van der Linden, E.; Pouvreau, L. Origin of water loss from soy protein gels. J. Agric. Food Chem. 2014, 62, 7550–7558. [Google Scholar] [CrossRef]
- Zhang, Q.; Li, W.; Feng, M.; Dong, M. Effects of different coagulants on coagulation behavior of acid-induced soymilk. Food Hydrocoll. 2013, 33, 106–110. [Google Scholar] [CrossRef]
- Ullah, I.; Hu, Y.; You, J.; Yin, T.; Xiong, S.; Din ZLiu, R. Influence of okara dietary fiber with varying particle sizes on gelling properties, water state and microstructure of tofu gel. Food Hydrocoll. 2019, 89, 512–522. [Google Scholar] [CrossRef]
- Yang, Y.; Wang, B.; Fu, Y.; Shi, Y.G.; Chen, F.L.; Guan, H.N.; Zhang, N. HS-GC-IMS with PCA to analyze volatile flavor compounds across different production stages of fermented soybean whey tofu. Food Chem. 2021, 346, 128880. [Google Scholar] [CrossRef]
- Kumar, R.B.; Zhu, L.; Hebert, H.; Jegerschöld, C. Method to visualize and analyze membrane interacting proteins by transmission electron microscopy. J. Vis. Exp. 2017, 121, e55148. [Google Scholar] [CrossRef]
- Canning, J.; Peng, G. Proceedings of SPIE-The International Society for Optical Engineering: Introduction. In Proceedings of the SPIE—The International Society for Optical Engineering, Sydney, Australia, 31 January–3 February 2012. [Google Scholar]
- Arroyo-Manzanares, N.; Martín-Gómez, A.; Jurado-Campos, N.; Garrido-Delgado, R.; Arce, C.; Arce, L. Target vs spectral fingerprint data analysis of Iberian ham samples for avoiding labelling fraud using headspace–gas chromatography–ion mobility spectrometry. Food Chem. 2018, 246, 65–73. [Google Scholar] [CrossRef]
- Li, T.; Rui, X.; Li, W.; Chen, X.; Jiang, M.; Dong, M. Water distribution in tofu and application of T2 relaxation measurements in determination of tofu’s water-holding capacity. J. Agric. Food Chem. 2014, 62, 8594–8601. [Google Scholar] [CrossRef]
- Li, L.; Li, H.M.; He, S.H.; Ma, Y. Synergistic hydrolysis of soybean residue by protease and cellulase. Food Res. Dev. 2012, 33, 147–150. [Google Scholar]
- Pouvreau, L.; van Wijlen, E.; Klok, J.; Urbonaite, V.; Munialo, C.D.; de Jongh, H.H. Water Holding as Determinant for the Elastically Stored Energy in Protein-Based Gels. J. Food Sci. 2016, 81, N982–N990. [Google Scholar] [CrossRef] [PubMed]
- Semmler, W. Nuclear Magnetic Resonance: Pioneers of discovery. Der Radiol. 2018, 58, 590–594. [Google Scholar] [CrossRef] [PubMed]
- Cai, T.D.; Chang, K.C.; Shih, M.C.; Hou, H.J.; Ji, M. Comparison of bench and production scale methods for making soymilk and tofu from 13 soybean varieties. Food Res. Int. 1997, 30, 659–668. [Google Scholar] [CrossRef]
- Wee, M.S.M.; Goh, A.T.; Stieger, M.; Forde, C.G. Correlation of instrumental texture properties from textural profile analysis (TPA) with eating behaviours and macronutrient composition for a wide range of solid foods. Food Funct. 2018, 9, 5301–5312. [Google Scholar] [CrossRef] [PubMed]
- Zhao, Y.; Liu, Q.; Zhang, S.; Jiang, L.; Liu, Y.; Han, C. Formation and properties of recombined soymilk and cow’s milk gels: Effect of glucono-δ-lactone. J. Oleo Sci. 2018, 67, 885–892. [Google Scholar] [CrossRef] [PubMed]
- Lee, J.H.; San Jung, H. Physicochemical and consumer acceptance of tofu supplemented with licorice powder. Prev. Nutr. Food Sci. 2017, 22, 359. [Google Scholar] [CrossRef][Green Version]
- Barzic, A.; Soroceanu, M.; Rotaru, R.; Doroftei, F.; Asandulesa, M.; Tugui CHarabagiu, V. Cellulose derivative/barium titanate composites with high refractive index, conductivity and energy density. Cellulose 2022, 29, 863–878. [Google Scholar] [CrossRef]
- Bourne, M. Food Texture and Viscosity: Concept and Measurement; Elsevier: New York, NY, USA, 2002. [Google Scholar]
- Cruz, N.; Capellas, M.; Jaramillo, D.; Trujillo, A.; Guamis, B.; Ferragut, V. Soymilk treated by ultra high-pressure homogenization: Acid coagulation properties and characteristics of a soy-yogurt product. Food Hydrocoll. 2009, 23, 490–496. [Google Scholar] [CrossRef]
- Murugkar, D. Effect of different process parameters on the quality of soymilk and tofu from sprouted soybean. J. Food Sci. Technol. 2014, 52, 2886–2893. [Google Scholar] [CrossRef]
- Wang, W.; Shen, M.; Liu, S.; Jiang, L.; Song, Q.; Xie, J. Gel properties and interactions of Mesona blumes polysaccharide-soy protein isolates mixed gel: The effect of salt addition. Carbohydr. Polym. 2018, 192, 193–201. [Google Scholar] [CrossRef] [PubMed]







| Nutrients (g/100 g) | Content |
|---|---|
| Moisture | 84.8 ± 1.03 |
| Ash | 0.38 ± 0.19 |
| Protein | 2.18 ± 0.89 |
| Fat | 0.3 ± 0.01 |
| Crude fiber | 3.8 ± 0.91 |
Publisher’s Note: MDPI stays neutral with regard to jurisdictional claims in published maps and institutional affiliations. |
© 2022 by the authors. Licensee MDPI, Basel, Switzerland. This article is an open access article distributed under the terms and conditions of the Creative Commons Attribution (CC BY) license (https://creativecommons.org/licenses/by/4.0/).
Share and Cite
Lu, W.; Zhang, Y.; Xiao, C.; Chen, D.; Ye, Q.; Zhang, C.; Meng, X.; Wang, S. The Comprehensive Utilization of Bean Dregs in High-Fiber Tofu. Foods 2022, 11, 1475. https://doi.org/10.3390/foods11101475
Lu W, Zhang Y, Xiao C, Chen D, Ye Q, Zhang C, Meng X, Wang S. The Comprehensive Utilization of Bean Dregs in High-Fiber Tofu. Foods. 2022; 11(10):1475. https://doi.org/10.3390/foods11101475
Chicago/Turabian StyleLu, Wenjing, Yue Zhang, Chaogeng Xiao, Di Chen, Qin Ye, Cen Zhang, Xianghe Meng, and Shengjian Wang. 2022. "The Comprehensive Utilization of Bean Dregs in High-Fiber Tofu" Foods 11, no. 10: 1475. https://doi.org/10.3390/foods11101475
APA StyleLu, W., Zhang, Y., Xiao, C., Chen, D., Ye, Q., Zhang, C., Meng, X., & Wang, S. (2022). The Comprehensive Utilization of Bean Dregs in High-Fiber Tofu. Foods, 11(10), 1475. https://doi.org/10.3390/foods11101475

