Identification of Internal Defects in Potato Using Spectroscopy and Computational Intelligence Based on Majority Voting Techniques
Abstract
1. Introduction
2. Materials and Methods
2.1. Potato Preparation in the Farm
2.2. Configuration of the Hardware System to Obtain Spectral Information
2.3. Preprocessing of the Obtained Spectral Information
2.4. Determination of the Optimal Wavelengths Using Hybrid ANN-CA
2.5. Classification of Potatoes Using the Majority Voting Method
2.5.1. Classification Using ANN-ICA
2.5.2. Classification Using ANN-HS
2.5.3. Classification Using KNN
- For each training sample in T, calculate the distance from s to the training sample. In our case, Euclidean distance is used as the measuring distance, which is the most common method.
- Sort the computed distances in ascending order.
- Select the k nearest training samples.
- The output class (healthy/defective) is the class with the most samples in the previous selection.
2.5.4. Classification Using LDA
2.6. Assessment of the Performance of the Classifiers
3. Results and Discussion
3.1. Optimal Wavelengths for Classifying Healthy/Defective Potatoes
3.2. Performance of the MV Classifier
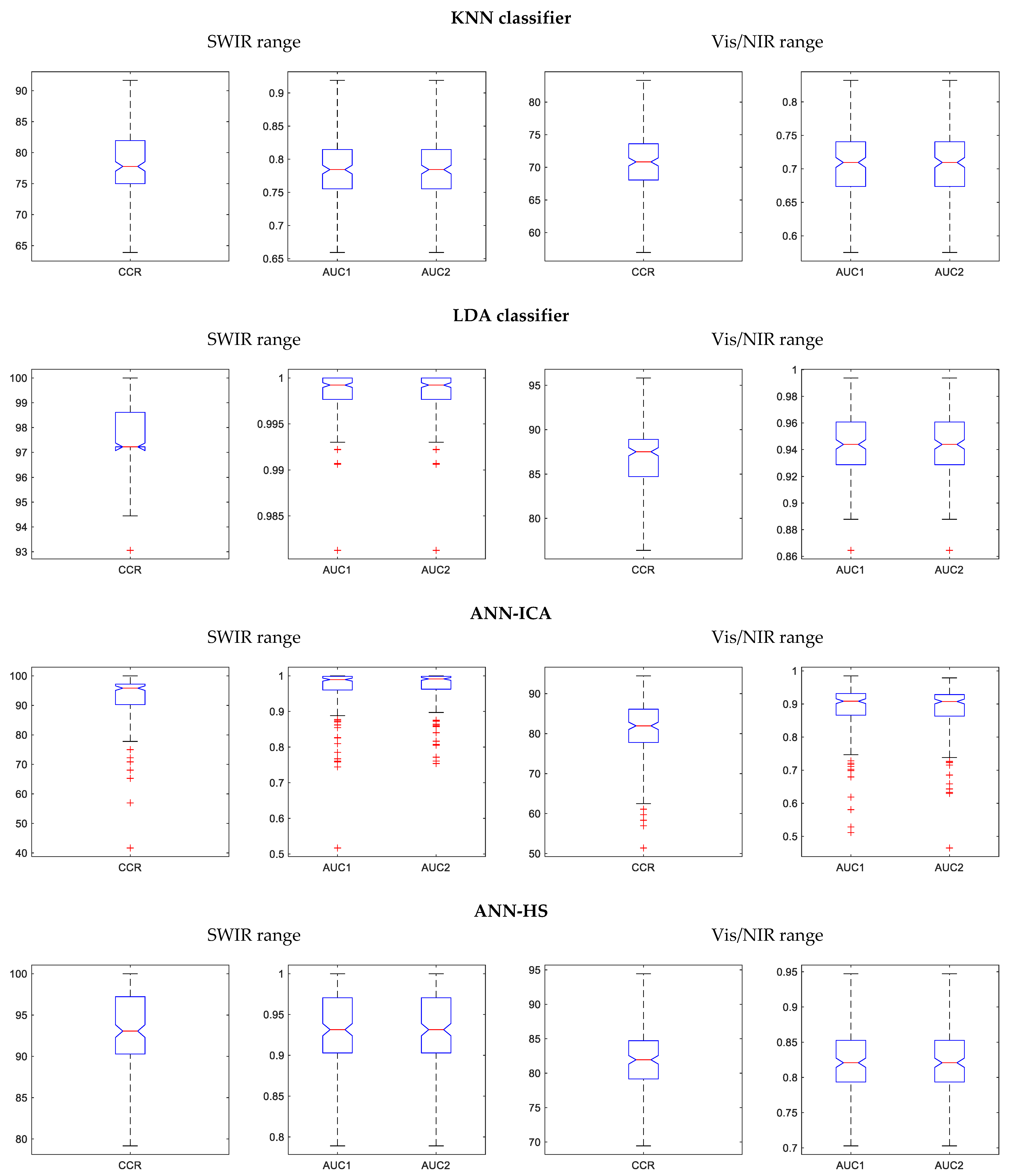
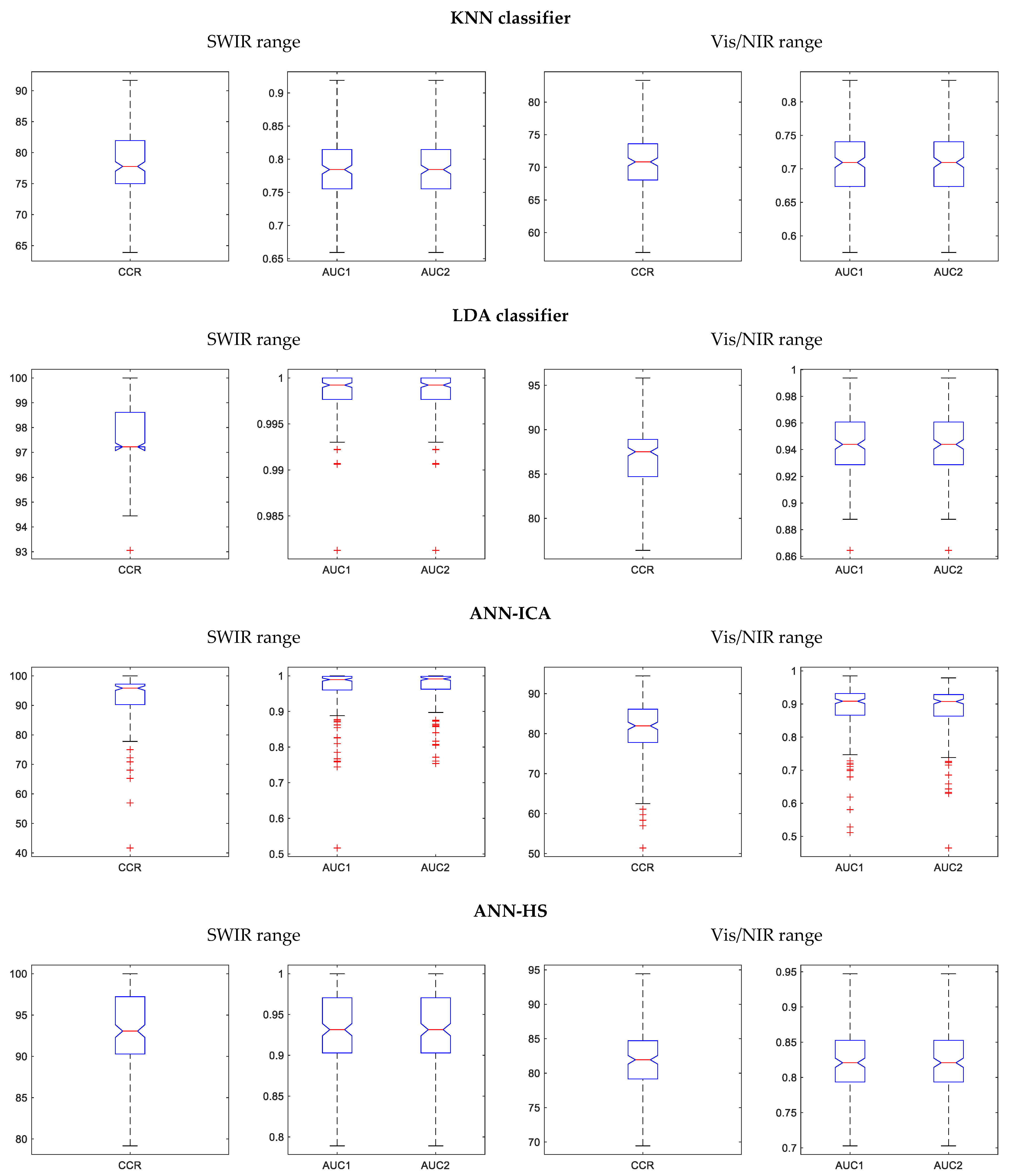
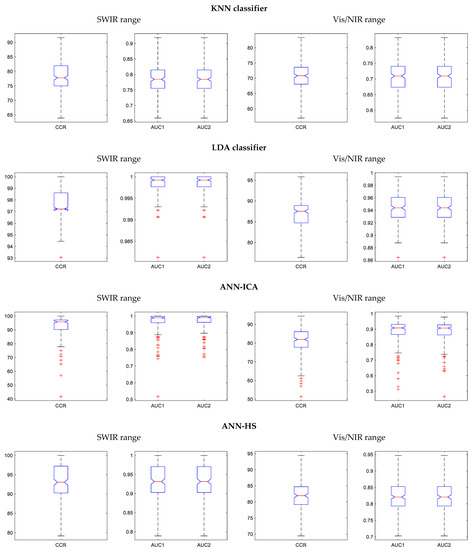
3.3. Comparison of Different Classifiers Used for Majority Voting
3.4. Comparison of Either Using the Whole Spectral Range or the Selected Wavelengths
4. Conclusions
Author Contributions
Funding
Data Availability Statement
Conflicts of Interest
References
- Irshad, G.; Naz, M.F.A.F. Important fungal diseases of potato and their management—A brief review. Mycopath 2014, 11, 45–50. [Google Scholar]
- Hooker, W.J. Compendium of Potato Diseases; American Phytopathological Society: St. Paul, MN, USA, 1981. [Google Scholar]
- Malik, O.; Chohan, S.; Naqvi, S.A.H. Occurrence of Black Scurf Disease of Potato in Multan (Punjab) Alongwith Its in vitro Chemical and Biotic Elicitor Mediated Management. J. Agric. Sci. 2014, 6, 134. [Google Scholar] [CrossRef]
- Abbas, M.F.; Hameed, S.; Rauf, C.A. Presence of new strain of Potato virus Y in Pakistan. Int. J. Agric. Biol. 2014, 16, 941–945. [Google Scholar]
- Abbas, M.F.; Hameed, S.; Rauf, C.A.; Hooker, W.J.; Moslemkhani, C.; Hassani, F.; Azar, E.N.; Khelgatibana, F.; Malik, O.; Chohan, S.; et al. Weakly-supervised learning approach for potato defects segmentation. Heliyon 2014, 6, 1–25. [Google Scholar] [CrossRef]
- Pourdarbani, R.; Rezaei, B. Automatic detection of greenhouse plants pests by image analysis. Tarım Makinaları Bilim. Derg. 2011, 7, 171–174. [Google Scholar]
- Zhang, D.; Xu, Y.; Huang, W.; Tian, X.; Xia, Y.; Xu, L.; Fan, S. Nondestructive measurement of soluble solids content in apple using near infrared hyperspectral imaging coupled with wavelength selection algorithm. Infrared Phys. Technol. 2019, 98, 297–304. [Google Scholar] [CrossRef]
- Pourdarbani, R.; Sabzi, S.; García-Amicis, V.M.; García-Mateos, G.; Molina-Martínez, J.M.; Ruiz-Canales, A. Automatic classification of chickpea varieties using computer vision techniques. Agronomy 2019, 9, 672. [Google Scholar] [CrossRef]
- Abbott, J.A. Quality measurement of fruits and vegetables. Postharvest Biol. Technol. 1999, 15, 207–225. [Google Scholar] [CrossRef]
- Butz, P.; Hofmann, C.; Tauscher, B. Recent Developments in Noninvasive Techniques for Fresh Fruit and Vegetable Internal Quality Analysis. J. Food Sci. 2005, 70, R131–R141. [Google Scholar] [CrossRef]
- García-Berná, J.A.; Ouhbi, S.; Benmouna, B.; García-Mateos, G.; Fernández-Alemán, J.L.; Molina-Martínez, J.M. Systematic Mapping Study on Remote Sensing in Agriculture. Appl. Sci. 2020, 10, 3456. [Google Scholar] [CrossRef]
- Pourdarbani, R.; Sabzi, S.; Kalantari, D.; Karimzadeh, R.; Ilbeygi, E.; Arribas, J.I. Automatic non-destructive video estimation of maturation levels in Fuji apple (Malus Malus pumila) fruit in orchard based on colour (Vis) and spectral (NIR) data. Biosyst. Eng. 2020, 195, 136–151. [Google Scholar] [CrossRef]
- Lan, W.; Jaillais, B.; Leca, A.; Renard, C.M.G.C.; Bureau, S. A new application of NIR spectroscopy to describe and predict purees quality from the non-destructive apple measurements. Food Chem. 2020, 310, 125944. [Google Scholar] [CrossRef] [PubMed]
- Li, J.; Zhang, H.; Zhan, B.; Wang, Z.; Jiang, Y. Determination of SSC in pears by establishing the multi-cultivar models based on visible-NIR spectroscopy. Infrared Phys. Technol. 2019, 102, 103066. [Google Scholar] [CrossRef]
- Krezhova, D.; Dikova, B.; Maneva, S. Ground based hyperspectral remote sensing for disease detection of tobacco plants. Bulg. J. Agric. Sci. 2014, 20, 1142–1150. [Google Scholar]
- Kogovšek, P.; Ravnikar, M. Physiology of the Potato–Potato Virus Y Interaction BT-Progress in Botany; Lüttge, U., Beyschlag, W., Francis, D., Cushman, J., Eds.; Springer: Berlin/Heidelberg, Germany, 2013; Volume 74, pp. 101–133. ISBN 978-3-642-30967-0. [Google Scholar]
- Haase, N.U. Prediction of Potato Processing Quality by near Infrared Reflectance Spectroscopy of Ground Raw Tubers. J. Near Infrared Spectrosc. 2011, 19, 37–45. [Google Scholar] [CrossRef]
- Zhou, Z.; Zeng, S.; Li, X.; Zheng, J. Nondestructive Detection of Blackheart in Potato by Visible/Near Infrared Transmittance Spectroscopy. J. Spectrosc. 2015, 2015, 786709. [Google Scholar] [CrossRef]
- Moslemkhani, C.; Hassani, F.; Azar, E.N.; Khelgatibana, F. Potential of spectroscopy for differentiation between PVY infected and healthy potato plants. J. Crop Prot. 2019, 8, 143–151. [Google Scholar]
- Escuredo, O.; Seijo-Rodríguez, A.; Inmaculada González-Martín, M.; Shantal Rodríguez-Flores, M.; Carmen Seijo, M. Potential of near infrared spectroscopy for predicting the physicochemical properties on potato flesh. Microchem. J. 2018, 141, 451–457. [Google Scholar] [CrossRef]
- Sanchez, P.D.C.; Hashim, N.; Shamsudin, R.; Mohd Nor, M.Z. Applications of imaging and spectroscopy techniques for non-destructive quality evaluation of potatoes and sweet potatoes: A review. Trends Food Sci. Technol. 2020, 96, 208–221. [Google Scholar] [CrossRef]
- Marino, S.; Beauseroy, P.; Smolarz, A. Weakly-supervised learning approach for potato defects segmentation. Eng. Appl. Artif. Intell. 2019, 85, 337–346. [Google Scholar] [CrossRef]
- Sabzi, S.; Pourdarbani, R.; Kalantari, D.; Panagopoulos, T. Designing a fruit identification algorithm in orchard conditions to develop robots using video processing and majority voting based on hybrid artificial neural network. Appl. Sci. 2020, 10, 383. [Google Scholar] [CrossRef]
- Nicolaï, B.M.; Beullens, K.; Bobelyn, E.; Peirs, A.; Saeys, W.; Theron, K.I.; Lammertyn, J. Nondestructive measurement of fruit and vegetable quality by means of NIR spectroscopy: A review. Postharvest Biol. Technol. 2007, 46, 99–118. [Google Scholar] [CrossRef]
- Viscarra Rossel, R.A. ParLeS: Software for chemometric analysis of spectroscopic data. Chemom. Intell. Lab. Syst. 2008, 90, 72–83. [Google Scholar] [CrossRef]
- Raghavendra, A.; Guru, D.S.; Rao, M.K. Mango internal defect detection based on optimal wavelength selection method using NIR spectroscopy. Artif. Intell. Agric. 2021, 5, 43–51. [Google Scholar]
- Saputro, A.H.; Handayani, W. Wavelength selection in hyperspectral imaging for prediction banana fruit quality. In Proceedings of the 2017 International Conference on Electrical Engineering and Informatics (ICELTICs), Banda Aceh, Indonesia, 18–20 October 2017; pp. 226–230. [Google Scholar]
- Marois, M.; Jacques, S.L.; Paulsen, K.D. Optimal wavelength selection for optical spectroscopy of hemoglobin and water within a simulated light-scattering tissue. J. Biomed. Opt. 2018, 23, 71202. [Google Scholar] [CrossRef]
- Atashpaz-Gargari, E.; Lucas, C. Imperialist competitive algorithm: An algorithm for optimization inspired by imperialistic competition. In Proceedings of the 2007 IEEE Congress on Evolutionary Computation, Singapore, 25–28 September 2007. [Google Scholar]
- Lee, K.S.; Geem, Z.W. A new meta-heuristic algorithm for continuous engineering optimization: Harmony search theory and practice. Comput. Methods Appl. Mech. Eng. 2005. [Google Scholar] [CrossRef]
- Anuthama, K.; Shankar, S.; Ilayaraja, V.; Kumar, G.S.; Rajmohan, M. Vignesh Determining dental sex dimorphism in South Indians using discriminant function analysis. Forensic Sci. Int. 2011. [Google Scholar] [CrossRef]
- Sabzi, S.; Pourdarbani, R.; Rohban, M.H.; García-Mateos, G.; Paliwal, J.; Molina-Martínez, J.M. Early Detection of Excess Nitrogen Consumption in Cucumber Plants Using Hyperspectral Imaging Based on Hybrid Neural Networks and the Imperialist Competitive Algorithm. Agronomy 2021, 11, 575. [Google Scholar] [CrossRef]
- Zhao, Z.; Prager, S.M.; Cruzado, R.K.; Liang, X.; Cooper, W.R.; Hu, G.; Rashed, A. Characterizing Zebra Chip Symptom Severity and Identifying Spectral Signatures Associated with ‘Candidatus Liberibacter solanacearum’-Infected Potato Tubers. Am. J. Potato Res. 2018, 95, 584–596. [Google Scholar] [CrossRef]









| Number of Hidden Layers | Number of Neurons Per Layer | Transfer Function | Backpropagation Function | Backpropagation Weight/Bias Function |
|---|---|---|---|---|
| 2 | 1st: 12, 2nd: 16 | poslin | logsig, purelin | trainbfg |
| Spectral Range | Class | Healthy | Defective | Total Data | Misclassified (%) | CCR |
|---|---|---|---|---|---|---|
| SWIR | Healthy | 6877 | 337 | 7214 | 4.7 | 94.1 |
| Defective | 515 | 6671 | 7186 | 7.2 | ||
| Vis/NIR | Healthy | 6303 | 1004 | 7307 | 13.7 | 83.4 |
| Defective | 1391 | 5702 | 7093 | 19.6 |
| Spectral Range | Class | Recall (%) | Accuracy (%) | Specificity (%) | Precision (%) | F-Score (%) |
|---|---|---|---|---|---|---|
| SWIR | Defective | 95.2 | 94.1 | 93.0 | 92.8 | 94.0 |
| Healthy | 93.0 | 94.1 | 95.2 | 95.3 | 94.2 | |
| Vis/NIR | Defective | 85.0 | 83.4 | 81.9 | 80.4 | 82.6 |
| Healthy | 81.9 | 83.3 | 85.0 | 86.3 | 84.0 |
| Spectral Range | Value | CCR | AUC1 | AUC2 |
|---|---|---|---|---|
| SWIR | Mean | 94.1 | 0.980 | 0.980 |
| SD | 8.04 | 0.065 | 0.067 | |
| Vis/NIR | Mean | 83.4 | 0.900 | 0.900 |
| SD | 6.76 | 0.065 | 0.068 |
| Basic Method | Spectral Range | Class | Healthy | Defective | Total Data | Misclassified (%) | CCR (%) |
|---|---|---|---|---|---|---|---|
| KNN | SWIR | Healthy | 6010 | 1204 | 7214 | 20.0 | 78.4 |
| Defective | 1911 | 5275 | 7186 | 36.2 | |||
| Vis/NIR | Healthy | 5424 | 1883 | 7307 | 34.5 | 70.8 | |
| Defective | 2329 | 4764 | 7093 | 48.9 | |||
| LDA | SWIR | Healthy | 7214 | 0 | 7214 | 0 | 97.7 |
| Defective | 338 | 6848 | 7186 | 4.9 | |||
| Vis/NIR | Healthy | 6698 | 609 | 7307 | 9.1 | 87.1 | |
| Defective | 1245 | 5848 | 7093 | 21.3 | |||
| ANN-ICA | SWIR | Healthy | 6720 | 494 | 7214 | 7.4 | 92.6 |
| Defective | 573 | 6613 | 7186 | 8.7 | |||
| Vis/NIR | Healthy | 6150 | 1157 | 7307 | 18.8 | 81.1 | |
| Defective | 1571 | 5522 | 7093 | 28.4 | |||
| ANN-HS | SWIR | Healthy | 6841 | 373 | 7214 | 5.5 | 93.0 |
| Defective | 636 | 6550 | 7186 | 9.7 | |||
| Vis/NIR | Healthy | 6275 | 1032 | 7307 | 16.4 | 82.2 | |
| Defective | 1525 | 5568 | 7093 | 27.4 |
| Basic Method | Spectral Range | Class | Recall (%) | Accuracy (%) | Specificity (%) | Precision (%) | F-Score (%) |
|---|---|---|---|---|---|---|---|
| KNN | SWIR | Defective | 81.4 | 78.4 | 75.9 | 73.4 | 77.2 |
| Healthy | 75.9 | 78.4 | 81.4 | 83.3 | 79.4 | ||
| Vis/NIR | Defective | 71. 7 | 70.8 | 70.0 | 67.2 | 69.3 | |
| Healthy | 70.0 | 70.8 | 71.7 | 74.3 | 72.0 | ||
| LDA | SWIR | Defective | 100 | 97.7 | 95.5 | 95.3 | 97.6 |
| Healthy | 95.5 | 97.7 | 100 | 100 | 97.7 | ||
| Vis/NIR | Defective | 90.6 | 87.1 | 84.3 | 82.4 | 86.3 | |
| Healthy | 84.3 | 87.1 | 90.6 | 91.7 | 87.8 | ||
| ANN-ICA | SWIR | Defective | 93.0 | 92.6 | 92.1 | 92.0 | 92.5 |
| Healthy | 92.1 | 92.6 | 93.0 | 93.6 | 92.6 | ||
| Vis/NIR | Defective | 82.7 | 81.1 | 79.7 | 77.9 | 80.2 | |
| Healthy | 79.7 | 81.1 | 82.7 | 84.2 | 81.8 | ||
| ANN-HS | SWIR | Defective | 94.6 | 93.0 | 91.5 | 91.1 | 92.8 |
| Healthy | 91.5 | 93.0 | 94.6 | 94.8 | 93.1 | ||
| Vis/NIR | Defective | 84.4 | 82.3 | 80.4 | 78.5 | 81.3 | |
| Healthy | 80.4 | 82.3 | 84.4 | 85.9 | 83.1 |
| Wavelengths Used | Spectral Range | Value | CCR | AUC1 | AUC2 |
|---|---|---|---|---|---|
| Effective | SWIR | Mean | 94.1 | 0.98 | 0.98 |
| wavelengths | SD | 8.04 | 0.065 | 0.067 | |
| Effective | Vis/NIR | Mean | 83.4 | 0.90 | 0.90 |
| wavelengths | SD | 6.76 | 0.065 | 0.068 | |
| Full spectra | SWIR | Mean | 96.3 | 0.98 | 0.98 |
| SD | 7.49 | 0.065 | 0.067 | ||
| Full spectra | Vis/NIR | Mean | 86.1 | 0.903 | 0.902 |
| SD | 15.6 | 0.147 | 0.150 |
| Mean | Standard Deviation | T-Value | Degree of Freedom | Significance | ||
|---|---|---|---|---|---|---|
| Pair 1 | Effective-Whole | −2.475 | 0.332 | −10.53 | 1 | 0.060 |
Publisher’s Note: MDPI stays neutral with regard to jurisdictional claims in published maps and institutional affiliations. |
© 2021 by the authors. Licensee MDPI, Basel, Switzerland. This article is an open access article distributed under the terms and conditions of the Creative Commons Attribution (CC BY) license (https://creativecommons.org/licenses/by/4.0/).
Share and Cite
Imanian, K.; Pourdarbani, R.; Sabzi, S.; García-Mateos, G.; Arribas, J.I.; Molina-Martínez, J.M. Identification of Internal Defects in Potato Using Spectroscopy and Computational Intelligence Based on Majority Voting Techniques. Foods 2021, 10, 982. https://doi.org/10.3390/foods10050982
Imanian K, Pourdarbani R, Sabzi S, García-Mateos G, Arribas JI, Molina-Martínez JM. Identification of Internal Defects in Potato Using Spectroscopy and Computational Intelligence Based on Majority Voting Techniques. Foods. 2021; 10(5):982. https://doi.org/10.3390/foods10050982
Chicago/Turabian StyleImanian, Kamal, Razieh Pourdarbani, Sajad Sabzi, Ginés García-Mateos, Juan Ignacio Arribas, and José Miguel Molina-Martínez. 2021. "Identification of Internal Defects in Potato Using Spectroscopy and Computational Intelligence Based on Majority Voting Techniques" Foods 10, no. 5: 982. https://doi.org/10.3390/foods10050982
APA StyleImanian, K., Pourdarbani, R., Sabzi, S., García-Mateos, G., Arribas, J. I., & Molina-Martínez, J. M. (2021). Identification of Internal Defects in Potato Using Spectroscopy and Computational Intelligence Based on Majority Voting Techniques. Foods, 10(5), 982. https://doi.org/10.3390/foods10050982

