Important Odorants of Four Brassicaceae Species, and Discrepancies between Glucosinolate Profiles and Observed Hydrolysis Products
Abstract
1. Introduction
2. Materials and Methods
2.1. Samples
2.2. Chemicals
2.3. Volatile Compounds
2.3.1. Headspace Solid Phase Microextraction (SPME)
2.3.2. GC-MS Analysis of SPME Extracts
2.3.3. GC-O Analysis of SPME Extracts
2.4. Non-Volatile Compounds
2.4.1. Glucosinolate (GSL) Extraction
2.4.2. UPLC-MS Analysis of GSL Extracts
3. Results and Discussion
3.1. Volatile Compounds
| Glucosinolate | Common Name | Abbreviation | Rt | LOD (nmol g−1) | LOQ (nmol g−1) | R2 | Precursor Ion ([M-H]-) | Quantification Transition | Confirmation Transition | MS/MS of [M-H]- Ion m/z (Relative Intensity) | References |
|---|---|---|---|---|---|---|---|---|---|---|---|
| 3-(methylsulfinyl)propyl | glucoiberin * | GIB | 1.061 | 0.053 | 0.161 | 0.969 | 422 | 422 > 357 | 422 > 97 | 357(57), 97(100), 95(61) | [30,31] |
| pentyl a,$ | - | PEN | 1.08 | - | - | - | 388 | 388 > 75 | 388 > 97 | 273(15), 258(13), 194(14), 192(13), 97(100), 89(24), 79(18),75(71), 74(11) | - |
| (R)-2-hydroxy-3-butenyl | progoitrin * | PRO | 1.336 | 0.066 | 0.199 | 0.933 | 388 | 388 > 74 | 388 > 97 | 97(100), 74(75) | [32] |
| allyl | sinigrin * | SIN | 1.523 | 0.105 | 0.319 | 0.982 | 358 | 358 > 258 | 358 > 97 | 258(10), 97(100), 74(25) | [30,32,33] |
| isobutyl a,$ | - | ISO | 1.56 | - | - | - | 374 | 374 > 240 | 374 > 115 | 277(11), 274(20), 258(86), 257(62), 240(95), 115(100), 97(26), 95(38) | - |
| 4-(methylsulfinyl)butyl | glucoraphanin * | GRA | 1.598 | 0.059 | 0.179 | 0.989 | 436 | 436 > 371 | 436 > 97 | 371(80), 97(100) | [30,32] |
| 4-(cystein-S-yl)butyl | glucorucolamine a,$ | GRM | 1.654 | - | - | - | 494 | 494 > 406 | 494 > 217 | 413(32), 406(66), 404(38), 295(32), 291(17), 275(38), 250(66), 217(100), 209(33), 195(20), 171(38), 145(38), 129(17), 114(17), 112(40), 97(47), 96(32), 75(16) | - |
| 5-(methylsulfinyl)pentyl | glucoalyssin * | GAL | 2.421 | 0.064 | 0.194 | 0.971 | 450 | 450 > 206 | 450 > 97 | 386(42), 275(49), 263(21), 208(21), 206(100), 190(71), 97(51), 75(49) | [31,32,34] |
| 1-methylethyl | glucoputranjivin a,$ | GPJ | 2.447 | - | - | - | 360 | 360 > 75 | 360 > 97 | 359(24), 119(13), 97(100), 94(34), 75(54) | - |
| 3-butenyl | gluconapin * | GNP | 2.489 | 0.151 | 0.459 | 0.953 | 372 | 372 > 258 | 372 > 97 | 258(6), 97(100) | [30,31] |
| 4-(β-D-glucopyrano syldisulfanyl)butyl | diglucothiobeinin a,$ | DGTB | 2.501 | - | - | - | 600 | 600 > 290 | 600 > 97 | 290(7), 97(100) | [32] |
| 5-(methylthio)pentyl | glucoberteroin a,$ | GBT | 2.593 | - | - | - | 434 | 434 > 95 | 434 > 97 | 146(60), 97(73), 95(100) | [31,35] |
| 4-hydroxy-3-indolylmethyl | 4-hydroxygluco brassicin * | 4HGB | 2.619 | 0.15 | 0.454 | 0.943 | 463 | 463 > 285 | 463 > 97 | 285(17), 97(100) | [30,32] |
| 1-methylpropyl | glucocochlearin a,$ | GCL | 2.682 | - | - | - | 374 | 374 > 75 | 374 > 97 | 293(10), 275(19), 98(58), 97(100), 95(31), 84(10), 75(81) | [33] |
| 4-mercaptobutyl | glucosativin a,$ | GSV | 2.684 | - | - | - | 406 | 406 > 74 | 406 > 97 | 259(12), 97(100), 76(19), 74(23) | [32] |
| 7-(methylsulfinyl)heptyl a,$ | - | 7MSH | 2.737 | - | - | - | 478 | 478 > 413 | 478 > 97 | 413(46), 259(12), 219(11), 98(68), 97(100), 75(12) | [36] |
| 4-pentenyl | glucobrassicanapin a | GBN | 2.819 | 0.081 | 0.245 | 0.945 | 386 | 386 > 75 | 386 > 96 | 97(100), 96(44), 75(50) | [33] |
| dimeric 4-mercaptobutyl a,$ | - | DMB | 2.839 | - | - | - | 811 | 405 > 80 | 405 > 97 | 208(11), 97(100), 81(15), 80(16), 75(15) | [32] |
| 2(S)-hydroxy-2-phenylethyl | glucobarbarin a,$ | GBB | 2.847 | - | - | - | 438 | 438 > 98 | 438 > 96 | 437(16), 332(20), 274(17), 195(11), 137(29), 135(18), 98(48), 96(100), 74(30) | [37] |
| benzyl | glucotropaeolin * | GTP | 2.879 | 0.129 | 0.39 | 0.962 | 408 | 408 > 259 | 408 > 97 | 259(10), 97(100) | [30,31] |
| 4-(methylthio)butyl | glucoerucin * | GER | 2.919 | 0.04 | 0.121 | 0.948 | 420 | 420 > 74 | 420 > 96 | 258(16), 241(17), 178(15), 96(100), 75(13), 74(27) | [30,35] |
| indolyl-3-methyl | glucobrassicin * | GBC | 3.102 | 0.096 | 0.29 | 0.955 | 447 | 447 > 259 | 447 > 97 | 259(10), 97(100) | [31,32] |
| 4-methoxyindolyl-3-methyl | 4-methoxygluco brassicin b,$ | 4MGB | 3.173 | - | - | - | 477 | 477 > 75 | 477 > 97 | 259(12), 258(13), 127(10), 119(13), 98(53), 97(100), 84(15), 75(32), 74(15) | [30,31,33,34] |
| 2-phenethyl | gluconasturtiin * | GNT | 3.419 | 0.062 | 0.189 | 0.968 | 422 | 422 > 259 | 422 > 97 | 259(10), 97(100) | [32,33] |
| 1-methoxyindolyl-3-methyl | neoglucobrassicin b,$ | NGB | 3.526 | - | - | - | 477 | 477 > 75 | 477 > 97 | 144(13), 97(100), 84(16), 82(11), 75(22) | [32] |
| 4-methylpentyl a,$ | - | 4MP | 3.695 | - | - | - | 402 | 402 > 259 | 402 > 97 | 275(11), 259(24), 195(16), 179(10), 159(20), 97(100), 85(12) | - |
| hexyl a,$ | - | HEX | 3.726 | - | - | - | 402 | 402 > 119 | 402 > 97 | 401(22), 274(15), 241(59), 226(32), 204(14), 198(15), 197(14), 168(14), 161(56), 160(32), 138(32), 121(32), 119(64), 116(15), 114(14), 98(46), 97(100), 96(65), 85(15), 79(15) | [31,32] |
| 7-(methylthio)heptyl a,$ | - | 7MTH | 4.109 | - | - | - | 462 | 462 > 75 | 462 > 97 | 283(11), 275(11), 274(11), 220(17), 97(100), 75(32) | [36] |
| butyl a,$ | - | BUT | 4.176 | - | - | - | 375 | 375 > 256 | 375 > 180 | 328(48), 316(41), 307(41), 260(41), 256(58), 235(41), 207(41), 195(50), 185(20), 180(100), 143(20), 120(63), 97(41) | - |
| Compound Number | Compound | PubChem ID | LRI a | ID b | Peak Areas (% of total) | References | |||||
|---|---|---|---|---|---|---|---|---|---|---|---|
| HP-5MS | Stabilwax | Salad Rocket | Wasabi | Horseradish | Watercress | ||||||
| Sulphur-containing compounds | |||||||||||
| 1 | carbon disulphide | 6348 | <600 | 738 | B | 0.43 * | 0.04 * | 0.02 | 0.11 * | [21] | |
| 2 | methyl thiocyanate | 11168 | 711 | 1266 | B | 0.13 | nd | nd | 0.48 | [12] | |
| 3 | isopropyl ITC | 75263 | 835 | 1176 | B | nd | 4.07 | 0.03 | nd | [7,23] | |
| 4 | allyl thiocyanate | 69816 | 870 | 1358 | B | nd | 0.48 * | 0.73 | nd | [22] | |
| 5 | allyl ITC ^ | 5971 | 881 | 1371 | B | nd | 8.61 | 7.35 | nd | [7,14,18,24] | |
| 6 | allyl ITC ^ | 890 | 1392 | B | nd | 52.11 | 39.34 | nd | |||
| 7 | cyclopropane ITC | 92463 | 899 | 1223 | B | nd | 0.07 * | 0.05 * | nd | - | |
| 8 | cyclopentyl-1-thiaethane | 138938 | 922 | 1068 | B | nd | nd | nd | 0.51 * | - | |
| 9 | sec-butyl ITC | 78151 | 933 | 1265 | B | 0.46 * | 4.95 | 1.84 | nd | [7,23] | |
| 10 | isobutyl ITC | 68960 | 955 | 1316 | B | nd | 1.80 | 0.45 | nd | [7,21] | |
| 11 | 3-butenyl ITC | 76922 | 982 | 1455 | B | 0.19 | 4.24 | 1.52 | nd | [3,7,22] | |
| 12 | butyl ITC | 11613 | 998 | 1597 | B | 0.67 | 0.12 | 0.32 | nd | [7,15] | |
| 13 | isoamyl ITC | 79086 | 1059 | 1431 | B | 0.10 | 0.41 * | 0.55 | 0.07 | [3,18,22] | |
| 14 | 4-pentenyl ITC | 87436 | 1086 | 1543 | B | nd | 12.42 | 2.26 | nd | [7,22] | |
| 15 | pentyl ITC | 69415 | 1098 | 1488 | B | 0.56 * | 0.12 * | 0.20 | nd | [21] | |
| 16 | 1-isothiocyanato-4-methylpentane | 519452 | 1162 | 1522 | B | 4.96 | 0.01 * | 0.04 | 0.18 | [3,18,21] | |
| 17 | cyclohexyl ITC | 14289 | 1177 | 1650 | B | nd | 0.01 * | nd | nd | - | |
| 18 | <unidentified ITC> | - | 1193 | nd | 8.57 | nd | nd | - | |||
| 19 | ibervirin | 62351 | 1315 | 1991 | B | 0.58 | 0.29 | 1.02 | nd | [3,7,22] | |
| 20 | sativin | 85704368 | 1353 | >2000 | B | 0.55 | nd | nd | nd | [12] | |
| 21 | octyl ITC | 78161 | 1372 | 1760 | B | nd | nd | nd | 0.16 * | - | |
| 22 | benzyl ITC | 2346 | 1372 | >2000 | B | nd | 0.03 * | 1.14 | nd | [12,22] | |
| 23 | erucin | 78160 | 1440 | >2000 | B | 7.16 | 0.01 | 0.02 | nd | [7,12,22] | |
| 24 | phenethyl ITC | 16741 | 1477 | >2000 | B | nd | 0.68 | 32.47 | 30.72 | [7,12,18,24] | |
| Total sulphur-containing compounds | 15.79 | 99.07 | 89.78 | 32.92 | |||||||
| Alcohols | |||||||||||
| 25 | 1-penten-3-ol | 12020 | 678 | 1159 | A | 0.78 | nd | 0.10 * | 8.06 | [3,7,18] | |
| 26 | pentan-1-ol | 6276 | 763 | 1251 | A | 0.13 * | 0.02 * | 0.02 * | 0.25 * | - | |
| 27 | (E)-2-penten-1-ol | 5364919 | 763 | 1312 | A | 0.17 * | nd | nd | 0.31 * | - | |
| 28 | (Z)-2-penten-1-ol | 15306 | 767 | 1322 | A | 0.76 | nd | 0.06 | 4.78 | [3,22] | |
| 29 | 1-propoxy-2-propanol | 15286 | 840 | B | nd | nd | nd | 0.24 * | - | ||
| 30 | (E)-3-hexen-1-ol | 5284503 | 850 | 1365 | A | nd | nd | nd | 0.20 | [3,19,22] | |
| 31 | (Z)-3-hexen-1-ol | 5281167 | 856 | 1387 | A | 40.88 | nd | 1.88 | 35.99 | [3,18,22] | |
| 32 | 2-hexen-1-ol | 5318042 | 863 | 1405 | A | 1.25 | nd | nd | 0.35 | [7,13,18,22] | |
| 33 | hexan-1-ol | 8103 | 866 | 1355 | A | 4.82 * | nd | 0.22 | 2.61 | [7,18] | |
| 34 | 1-octen-3-ol | 18827 | 977 | A | 0.18 | 0.01 * | 0.02 * | 0.06 * | [14] | ||
| 35 | 2-ethylhexanol | 7720 | 1025 | 1501 | B | 0.12 * | 0.01 * | nd | 0.12 * | - | |
| 36 | benzyl alcohol | 244 | 1035 | A | nd | nd | 0.05 * | nd | - | ||
| 37 | 2-phenylethanol | 6054 | 1116 | 1930 | A | 0.16 * | nd | 0.03 * | 2.64 * | - | |
| 38 | 1-nonanol | 8914 | 1167 | A | nd | 0.03 * | nd | nd | - | ||
| 39 | terpinen-4-ol | 11230 | 1182 | A | nd | 0.01 * | nd | nd | - | ||
| Total alcohols | 49.25 | 0.09 | 2.38 | 55.62 | |||||||
| Aldehydes | |||||||||||
| 40 | 2-pentanal | 7895 | 699 | A | nd | 0.02 * | nd | nd | - | ||
| 41 | 2-pentenal | 5364752 | 753 | 1136 | A | 0.31 | nd | 0.02 * | 0.23 * | [3] | |
| 42 | 3-hexenal | 643139 | 796 | 1178 | A | 1.72 | nd | 0.04 | 0.23 | [3,18,22] | |
| 43 | hexanal | 6184 | 798 | 1094 | A | 8.64 | <0.01 * | 0.37 | 1.16 * | [12,21] | |
| 44 | (E)-2-hexenal | 5281168 | 852 | 1224 | A | 14.30 | nd | 0.31 | 2.10 | [3,7,18,21] | |
| 45 | 4-heptenal | 5283318 | 901 | A | 0.08 * | nd | nd | 0.51 | - | ||
| 46 | heptanal | 8130 | 902 | A | 0.13 | nd | 0.02 | 0.10 * | [13,21] | ||
| 47 | 2,4-hexadienal | 637564 | 908 | B | 0.09 | nd | 0.01 * | nd | [3,18] | ||
| 48 | benzaldehyde | 240 | 964 | 1654 | A | 0.17 | 0.02 * | nd | nd | [12,22] | |
| 49 | 2,4-heptadienal (isomer 1) | 5283321 | 994 | B | 0.09 | nd | nd | nd | [12] | ||
| 50 | octanal | 454 | 1001 | A | nd | 0.02 * | nd | nd | - | ||
| 51 | 2,4-heptadienal (isomer 2) | 5283324 | 1009 | 1472 | B | 0.15 | nd | 0.25 * | 0.10 * | [12] | |
| 52 | phenylacetaldehyde | 998 | 1047 | A | nd | nd | 0.02 | 0.24 * | [22] | ||
| 53 | 2-octenal | 5283324 | 1058 | A | nd | nd | 0.06 * | nd | - | ||
| 54 | nonanal | 31289 | 1101 | A | 0.41 | 0.10 * | 0.04 | 0.31 * | [13,21] | ||
| 55 | decanal | 8175 | 1202 | A | nd | 0.12 * | 0.04 | 0.19 * | [21] | ||
| 56 | vanillin | 1183 | 1403 | A | 0.02 | nd | 0.01 * | nd | [13] | ||
| Total aldehydes | 26.11 | 0.28 | 1.25 | 5.17 | |||||||
| Esters | |||||||||||
| 57 | (Z)-pent-2-en-1-yl acetate | 5363400 | 910 | B | nd | nd | nd | 0.07 * | - | ||
| 58 | 3-hexenyl acetate | 5352557 | 1003 | 1284 | A | 2.54 | nd | nd | 0.50 | [14,18] | |
| 59 | (Z)-3-hexenyl butanoate | 5352438 | 1181 | 1440 | A | 0.99 | nd | nd | nd | [14] | |
| 60 | methyl salicylate | 4133 | 1201 | A | nd | nd | 0.04 * | nd | - | ||
| 61 | ethyl decanoate | 8048 | 1389 | A | 0.06 * | nd | 0.03 * | nd | - | ||
| 62 | methyl dodecanoate | 8139 | 1521 | B | 0.04 | 0.01 * | 0.02 * | 0.08 * | [14] | ||
| 63 | diethyl phthalate | 6781 | 1588 | B | 0.08 * | nd | nd | nd | - | ||
| 64 | ethyl laurate | 7800 | 1591 | B | nd | nd | 0.06 * | nd | - | ||
| Total esters | 3.71 | 0.01 | 0.15 | 0.65 | |||||||
| Ketones | |||||||||||
| 65 | ethyl vinyl ketone | 15394 | 682 | 1035 | A | 0.43 | nd | 0.05 * | nd | [3] | |
| 66 | 3-pentanone | 7288 | 697 | 993 | A | 0.66 | nd | 0.05 * | 1.86 | [3,19] | |
| 67 | 2,3-octanedione | 11449 | 980 | A | nd | nd | 0.01 | nd | [22] | ||
| 68 | 6-methyl-5-hepten-2-one | 9862 | 983 | A | 0.55 | nd | nd | 0.23 * | [12] | ||
| 69 | 2,2,6-trimethylcyclohexanone | 17000 | 1038 | B | nd | nd | nd | 0.11 * | - | ||
| 70 | (E,E)-3,5-octadien-2-one | 5352876 | 1070 | B | nd | nd | 0.08 * | nd | - | ||
| 71 | 3,5-octadien-2-one | 5352876 | 1092 | B | nd | nd | 0.09 * | nd | - | ||
| 72 | dihydro-2H-thiopyran-3(4H)-one | 140474 | 1160 | 1856 | B | 0.58 | nd | nd | nd | - | |
| 73 | geranylacetone | 1549778 | 1451 | A | 0.10 * | 0.02 * | nd | nd | - | ||
| Total ketones | 2.32 | 0.02 | 0.27 | 2.21 | |||||||
| Nitriles | |||||||||||
| 74 | 3-butenenitrile | 8009 | 654 | B | nd | 0.15 | 0.37 | nd | [7,21] | ||
| 75 | 5-methylhexanenitrile | 29593 | 943 | B | 0.27 | nd | nd | nd | [13] | ||
| 76 | 6-heptenenitrile | 4140856 | 971 | B | nd | 0.08 * | nd | nd | - | ||
| 77 | thiiraneacetonitrile | 148821 | 1004 | B | nd | nd | 3.58 * | nd | [39] | ||
| 78 | phenylacetonitrile | 8794 | 1142 | B | nd | nd | 0.01 * | nd | - | ||
| 79 | 5-(methylsulfanyl)pentanenitrile | 93320 | 1200 | B | 1.13 | nd | nd | nd | [12] | ||
| 80 | 4-(methylthio)-butanenitrile | 100962 | 1213 | B | nd | nd | 0.11 * | nd | - | ||
| 81 | benzenepropanenitrile | 12581 | 1243 | >2000 | B | nd | nd | 0.75 | 1.47 | [17,22] | |
| 82 | <unidentified nitrile> | - | 1559 | B | nd | 0.22 | nd | nd | - | ||
| Total nitriles | 1.39 | 0.45 | 4.83 | 1.47 | |||||||
| Hydrocarbons | |||||||||||
| 83 | 2,2,4,6,6-pentamethylheptane | 26058 | 991 | 947 | A | nd | nd | nd | 0.69 * | - | |
| 84 | undecane | 14257 | 1096 | A | 0.23 | nd | 0.01 * | nd | [15] | ||
| 85 | 1-dodecene | 8183 | 1187 | A | nd | 0.06 * | 0.12 * | 0.64 * | - | ||
| 86 | dodecane | 8182 | 1196 | A | nd | nd | 0.01 | nd | [22] | ||
| 87 | tridecane | 12388 | 1296 | A | nd | nd | 0.03 | nd | |||
| 88 | tetradecane | 12389 | 1396 | A | 0.10 | 0.01 * | 0.06 * | nd | [15] | ||
| 89 | pentadecane | 12391 | 1497 | A | nd | nd | 0.09 * | nd | - | ||
| 90 | hexadecane | 11006 | 1599 | A | nd | nd | 0.10 * | nd | - | ||
| 91 | heptadecane | 12398 | 1699 | A | nd | nd | 0.06 * | nd | - | ||
| 92 | octadecane | 11635 | 1799 | A | nd | nd | 0.03 * | nd | - | ||
| 93 | nonadecane | 12401 | 1899 | A | nd | nd | 0.01 * | nd | - | ||
| Total hydrocarbons | 0.39 | 0.06 | 0.62 | 1.33 | |||||||
| Terpenes | |||||||||||
| 94 | p-cymene | 7463 | 1023 | 1250 | A | nd | <0.01 * | 0.01 * | 0.06 | [18] | |
| 95 | o-cymene | 10703 | 1027 | A | 0.12 * | 0.01 * | nd | nd | - | ||
| 96 | d-limonene | 440917 | 1033 | 1169 | A | nd | <0.01 * | 0.07 * | nd | - | |
| 97 | eucalyptol | 2758 | 1037 | A | nd | <0.01 * | nd | nd | - | ||
| 98 | β-ionone | 638014 | 1494 | 1952 | A | 0.16 | nd | nd | 0.43 | [12,20] | |
| Total terpenes | 0.28 | 0.01 | 0.08 | 0.49 | |||||||
| Other compounds | |||||||||||
| 99 | allyl isocyanate | 15123 | 645 | B | nd | nd | 0.02 * | nd | - | ||
| 100 | 2-ethylfuran | 18554 | 701 | A | 0.16 | nd | 0.02 | 0.14 * | [3,21] | ||
| 101 | cyclohexyl isocyanate | 18502 | 961 | B | nd | 0.01 * | nd | nd | - | ||
| 102 | 1-isopropyl-3-methoxypyrazine | 33166 | 1093 | B | 0.25 | nd | 0.09 | nd | [15,25] | ||
| 103 | 1,2,3,5-tetramethylbenzene | 10695 | 1124 | B | 0.06 * | nd | nd | nd | - | ||
| 104 | veratrole | 7043 | 1144 | B | nd | nd | 0.09 * | nd | - | ||
| 105 | octanoic acid | 379 | 1157 | B | 0.10 | nd | 0.06 | nd | [14,22] | ||
| 106 | 2-sec-butyl-3-methoxypyrazine | 520098 | 1172 | B | 0.15 * | nd | 0.43 | nd | [25] | ||
| 107 | phenethyl isocyanate | 160602 | 1226 | 1807 | B | nd | nd | 0.41 * | 0.70 * | - | |
| 108 | quinoline | 7047 | 1247 | B | nd | nd | 0.02 * | nd | - | ||
| 109 | caprolactam | 7768 | 1251 | B | 0.05 * | nd | nd | nd | - | ||
| 110 | 4-bromophenol | 7808 | 1283 | B | 0.02 * | nd | nd | nd | - | ||
| 111 | 6-methylquinoline | 7059 | 1331 | B | nd | nd | 0.01 * | nd | - | ||
| 112 | methyleugenol | 7127 | 1400 | B | 0.02 * | nd | nd | nd | - | ||
| 113 | benzyl tiglate | 250096 | 1504 | B | nd | nd | 0.01 * | nd | - | ||
| Total other compounds | 0.77 | 0.01 | 0.63 | 0.14 | |||||||
| Compound Number | Compound | LRI a | Odour Description | Odour Intensity c | References | ||||
|---|---|---|---|---|---|---|---|---|---|
| This Study | Previous Description(s) b | Salad Rocket | Wasabi | Horseradish | Watercress | ||||
| 114 | <unknown> | <600 | sulphury | - | nd | 3 | 3 | 4 | - |
| 115 | <unknown> | <600 | cooked onions | - | nd | nd | nd | 4 | - |
| 116 | <unknown> | <600 | buttery | - | 3 | 5 | 5 | 5 | - |
| 117 | <unknown> | <600 | sulphury, horseradish, rancid | - | 3 | 6 | 4 | nd | - |
| 118 | <unknown> | 602 | horseradish | - | nd | nd | 5 | nd | - |
| 119 | <unknown> | 609 | mustard, horseradish | - | nd | 6 | nd | nd | - |
| 120 | <unknown> | 615 | rotten cabbage | - | nd | nd | 5 | 4 | - |
| 121 | <unknown> | 622 | onions | - | nd | 6 | nd | nd | - |
| 99 | allyl isocyanate $ | 648 | musty, burnt plastic † | - | nd | nd | 2 * | nd | - |
| 122 | <unknown> | 655 | sulphury, cabbage-like | - | 6 | nd | nd | nd | - |
| 74 | 3-butenenitrile $ | 657 | sulphury, green, pungent † | - | nd | 3 | 4 | nd | [21] |
| 25 | 1-penten-3-ol | 676 | cabbage, sulphury | pungent, horseradish-like | 3 | nd | nd | 7 | [40] |
| 65 | ethyl vinyl ketone | 680 | pungent, rotten, green | pungent | 5 | nd | nd | nd | [41] |
| 66 | 3-pentanone | 687 | green, grassy, floral | acetone-like | nd | nd | nd | 6 | [42] |
| 123 | <unknown> | 713 | sulphury, garlic | - | nd | 2 | 3 | nd | - |
| 2 | methyl thiocyanate $ | 719 | sulphury, oniony | sulphur | 4 | nd | nd | 4 * | - |
| 124 | <unknown> | 737 | sulphury, rotten onion | - | 3 | nd | nd | 3 | - |
| 40 | 2-pentenal | 750 | apple, green | green, apple-like | 3 | nd | 3 * | 4 * | [43] |
| 125 | <unknown> | 758 | sulphury, cooked onion, pungent | - | nd | nd | nd | 6 | - |
| 126 | <unknown> | 775 | sulphury, oniony | - | nd | nd | nd | 4 | - |
| 42 | 3-hexenal | 796 | grassy, green, floral | leafy, green | 4 | nd | 3 | 4 | [25] |
| 43 | hexanal | 799 | green, grassy, pungent | green, grass-like, leafy | 5 * | nd | 4 | 4 * | [44] |
| 127 | <unknown> | 811 | green, parsley | - | nd | nd | nd | 4 | - |
| 128 | <unknown> | 812 | mustard, pungent, oniony | - | 5 | 6 | 3 | 6 | - |
| 3 | isopropyl ITC $ | 834 | pungent, grassy notes | pungent | nd | 5 | nd | nd | [12] |
| 44 | (E)-2-hexenal | 852 | green, fresh, apples (weak) | green | 3 | nd | 2 | 4 | [45] |
| 30 | (Z)-3-hexen-1-ol | 856 | green, radishy | green | 2 | nd | nd | 4 | [46] |
| 32 | 2-hexen-1-ol | 864 | green, leafy | green, leafy | 3 | nd | nd | nd | [47] |
| 129 | <unknown> | 866 | cooked, roasted chicken, chicken soup | - | nd | 3 | 3 | 5 | - |
| 130 | <unknown> | 870 | nutty, spicy | - | nd | nd | 3 | nd | - |
| 4 | allyl thiocyanate $ | 879 | peppery, horseradish, pungent | strong, pungent, mustard-like | nd | nd | 4 | nd | [48] |
| 131 | <unknown> | 892 | green, sour apples | - | 5 | nd | nd | 6 | - |
| 5 | allyl ITC $ | 895 | pungent, horseradish | strong, pungent, mustard-like | nd | nd | 4 | nd | [48] |
| 6 | allyl ITC $ | 898 | garlic, mustard, horseradish, very pungent | nd | 7 | 7 | nd | ||
| 7 | cyclopropane ITC $ | 900 | horseradish, garlic, onion, sulphur † | - | nd | 5 * | 7 * | nd | [49] |
| 45 | 4-heptenal | 901 | grassy, green † | mushroom-like, fatty, fishy, cooked, potato | 4 * | nd | nd | 3 * | [50] |
| 46 | heptanal | 902 | fatty, green | fatty, green | 4 | nd | nd | 5 * | [13] |
| 132 | <unknown> | 907 | apples, grass | - | nd | nd | nd | 4 | - |
| 47 | 2,4-hexadienal $ | 907 | green, rotten | green | 3 | nd | 3 * | nd | [51] |
| 57 | (Z)-2-pent-2-en-1-yl acetate $ | 914 | sulphury, rotten † | - | nd | nd | nd | 3 * | - |
| 8 | cyclopentyl-1-thiaethane | 918 | sulphur, sweaty † | - | nd | nd | nd | 3 * | - |
| 133 | <unknown> | 921 | potato | - | nd | 5 | nd | 4 | - |
| 9 | sec-butyl ITC $ | 934 | radish, vegetative | green | nd | 5 | 3 | nd | [52] |
| 10 | isobutyl ITC $ | 956 | cooked, pungent, sulphury † | - | nd | 4 | 5 | nd | [21] |
| 101 | cyclohexyl isocyanate $ | 965 | cooked, peppery, potato † | - | nd | 5 * | nd | nd | [53] |
| 34 | 1-octen-3-ol | 978 | mushroom | mushroom | 5 | 5 * | 3 * | 5 * | - |
| 11 | 3-butenyl ITC $ | 983 | green, pungent, aromatic | aromatic, pungent | 5 | 6 | 4 | nd | [54] |
| 68 | 6-methyl-5-hepten-2-one | 984 | perfume, floral, citrus | citrus, lemongrass | 4 | nd | nd | 5 * | [55] |
| 12 | butyl ITC $ | 997 | peppery, sulphurous, oniony | sulphury | nd | 4 | 2 | nd | [21] |
| 77 | thiiraneacetonitrile $ | 1005 | sweaty, gas-like † | - | nd | nd | 4 | nd | [56] |
| 134 | <unknown> | 1010 | grassy | - | nd | nd | nd | 3 | - |
| 135 | <unknown> | 1020 | earthy, musty, petrol, aromatic | - | nd | nd | nd | 5 | - |
| 136 | <unknown> | 1025 | bread-like | - | nd | nd | nd | 5 | - |
| 137 | <unknown> | 1032 | green | - | nd | nd | nd | 3 | - |
| 96 | d-limonene | 1034 | lemon, vegetable | citrus, herbal | nd | nd | 3 * | nd | [57] |
| 36 | benzyl alcohol | 1037 | fruity, medicinal, wine | phenolic | nd | nd | 4 * | nd | [58] |
| 97 | eucalyptol | 1037 | eucalyptus, mint | eucalyptus | nd | 5 * | nd | nd | [42] |
| 69 | 2,2,6-trimethylcyclohexanone $ | 1038 | floral, green with citrus notes | thujonic | nd | nd | nd | 4 * | [59] |
| 52 | phenylacetaldehyde | 1044 | honey-sweet | honey, sweet | nd | nd | 4 | 7 * | [21] |
| 138 | <unknown> | 1051 | oniony | - | 5 | nd | nd | nd | - |
| 139 | <unknown> | 1053 | soily, earthy | - | 6 | nd | nd | nd | - |
| 13 | isoamyl ITC $ | 1057 | pungent, grassy | green | nd | 6 * | 3 | nd | [3] |
| 140 | <unknown> | 1066 | medicinal, floral | - | nd | nd | nd | 5 | - |
| 141 | <unknown> | 1076 | gas, sulphur, burnt, roasted | - | 3 | nd | 5 | 4 | - |
| 142 | <unknown> | 1080 | roasted, smoky | - | 3 | nd | nd | 3 | - |
| 14 | 4-pentenyl ITC $ | 1084 | pungent, peppery, sulphurous, musty | mustard, horseradish-like | nd | 5 | 3 | nd | [48] |
| 71 | 3,5-octadien-2-one $ | 1090 | green, pungent | fruity | nd | nd | 4 * | nd | - |
| 102 | 2-isopropyl-3-methoxypyrazine $ | 1091 | rotten, potato, vegetative | pea-like, earthy, bean-like | 6 | nd | 6 | nd | [60] |
| 15 | pentyl ITC $ | 1095 | cabbage, green, rotten | green | 5 * | 4 * | 6 * | nd | - |
| 143 | <unknown> | 1095 | cucumber, floral, flowers | - | nd | nd | nd | 3 | - |
| 54 | nonanal | 1101 | fatty, green | green, fatty | nd | nd | 4 | 5 * | [40] |
| 37 | 2-phenylethanol | 1114 | floral | floral | 3 * | nd | nd | 4 * | [58] |
| 144 | <unknown> | 1118 | spicy, chemical | - | 3 | nd | nd | nd | - |
| 145 | <unknown> | 1122 | sulphury, gas-like | - | 4 | nd | 2 | nd | - |
| 146 | <unknown> | 1133 | sulphury, garlic | - | nd | 3 | 2 | nd | - |
| 147 | <unknown> | 1147 | petrol, aromatic | - | nd | nd | nd | 6 | - |
| 148 | <unknown> | 1153 | cucumber | - | nd | nd | nd | 6 | - |
| 149 | <unknown> | 1153 | spicy, cinnamon-like, nutty | - | nd | 6 | nd | nd | - |
| 150 | <unknown> | 1155 | fresh cucumber, rotten, vegetable | - | 2 | 5 | nd | nd | - |
| 16 | 1-isothiocyanato-4-methylpentane $ | 1162 | musty † | - | 2 | 4 * | 2 | nd | - |
| 106 | 2-sec-butyl-3-methoxypyrazine $ | 1173 | earthy, rotten potatoes, vegetable-like | musty, green, pea-like, bell pepper-like | 3 * | nd | 7 | nd | - |
| 59 | (Z)-3-hexenyl butanoate | 1181 | green, wine-like | green, fruity | 4 | nd | nd | nd | [61] |
| 18 | <unidentified ITC> | 1192 | radish, green | - | nd | 4 | nd | nd | - |
| 151 | <unknown> | 1198 | grassy, fruity, chemical, dried fruit | - | nd | nd | nd | 6 | - |
| 79 | 5-(methylsulfanyl)pentanenitrile $ | 1200 | radish | broccoli-like, cabbage-like | 2 | nd | nd | nd | [62] |
| 152 | <unknown> | 1200 | sweet, floral, violets, perfume | - | - | 3 | 4 | - | - |
| 60 | methyl salicylate | 1201 | medicinal, camphorous | wintergreen, mint | nd | nd | 4 * | nd | [40] |
| 153 | <unknown> | 1203 | peppery, green, earthy | - | nd | 5 | nd | 5 | - |
| 107 | phenethyl isocyanate | 1224 | ground pepper, pungent, horseradish † | - | nd | nd | 4 * | nd | - |
| 81 | benzenepropanenitrile $ | 1242 | herbal, green, floral † | - | nd | 3 | 3 | 4 | [21] |
| 154 | <unknown> | 1249 | liquorice, medicinal | - | nd | 4 | nd | nd | - |
| 155 | <unknown> | 1266 | cooked, cabbage, sulphur | - | nd | nd | 3 | nd | - |
| 156 | <unknown> | 1275 | green, radish, potato | - | nd | nd | nd | 4 | - |
| 157 | <unknown> | 1279 | soapy, pungent | - | nd | nd | nd | 5 | - |
| 158 | <unknown> | 1285 | soapy, grassy, floral | - | nd | 2 | nd | 6 | - |
| 19 | ibervirin $ | 1314 | horseradish, radish, vegetative | vegetative, horseradish-like, gooseberry-like | nd | 3 | 5 | nd | [63] |
| 159 | <unknown> | 1318 | medicinal, soapy | - | nd | nd | nd | 5 | - |
| 111 | 6-methylquinoline $ | 1334 | hydrogen sulphide, egg | tobacco, fecal | nd | nd | 3 * | nd | - |
| 20 | sativin $ | 1349 | burnt, rubbery, soily † | rocket-like | 3 | nd | nd | nd | [12] |
| 21 | octyl ITC $ | 1370 | green, vegetative † | - | nd | nd | nd | 5 * | [64] |
| 22 | benzyl ITC $ | 1378 | rotten grass, cooked | watercress-like | nd | 3 * | 4 | - | [48] |
| 61 | ethyl decanoate | 1391 | green, waxy | waxy, apple | nd | nd | 4 * | nd | [65] |
| 23 | erucin $ | 1441 | radishy | radish-like, cabbage-like | 2 | nd | nd | nd | [12] |
| 160 | <unknown> | 1478 | minty, cooling, fresh | - | nd | nd | 4 | nd | - |
| 24 | phenethyl ITC $ | 1480 | radish, gooseberry, sweet | horseradish-like, gooseberry-like | nd | nd | 6 | 7 | [48] |
| 98 | β-ionone | 1495 | soapy, fusty | floral, woody, fruity | 2 | nd | nd | 6 | [41] |
| 113 | benzyl tiglate $ | 1500 | musty | earthy, mushroom-like | nd | nd | 4 * | nd | - |
3.1.1. ‘Salad’ Rocket
3.1.2. Wasabi
3.1.3. Horseradish
3.1.4. Watercress
3.2. Non-Volatile Compounds (Glucosinolates)
3.2.1. ‘Salad’ Rocket
3.2.2. Wasabi
3.2.3. Watercress
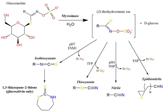
3.3. Discrepancies between Identified Glucosinolate Hydrolysis Products and Glucosinolate Profile Precursors
4. Conclusions
Supplementary Materials
Author Contributions
Funding
Data Availability Statement
Acknowledgments
Conflicts of Interest
References
- Bell, L.; Oloyede, O.O.; Lignou, S.; Wagstaff, C.; Methven, L. Taste and flavor perceptions of glucosinolates, isothiocyanates, and related compounds. Mol. Nutr. Food Res. 2018, 62, 1700990. [Google Scholar] [CrossRef] [PubMed]
- Ravindran, P.N.; Pillai, G.S.; Divakaran, M. Other herbs and spices: Mango ginger to wasabi. In Handbook of Herbs and Spices, 2nd ed.; Peter, K.V., Ed.; Woodhead Publishing: Cambridge, UK, 2012; pp. 557–582. [Google Scholar] [CrossRef]
- Bell, L.; Spadafora, N.D.; Müller, C.T.; Wagstaff, C.; Rogers, H.J. Use of TD-GC–TOF-MS to assess volatile composition during post-harvest storage in seven accessions of rocket salad (Eruca sativa). Food Chem. 2016, 194, 626–636. [Google Scholar] [CrossRef]
- Giallourou, N.; Oruna-Concha, M.J.; Harbourne, N. Effects of domestic processing methods on the phytochemical content of watercress (Nasturtium officinale). Food Chem. 2016, 212, 411–419. [Google Scholar] [CrossRef]
- Sultana, T.; Savage, G.P.; Mcneil, D.L.; Porter, G.P.; Clark, B. Comparison of flavour compounds in wasabi and horseradish. J. Food Agric. Environ. 2003, 1, 117–121. [Google Scholar]
- Kroener, E.-M.; Buettner, A. Unravelling important odorants in horseradish (Armoracia rusticana). Food Chem. 2017, 232, 455–465. [Google Scholar] [CrossRef]
- Depree, J.A.; Howard, T.M.; Savage, G.P. Flavour and pharmaceutical properties of the volatile sulphur compounds of Wasabi (Wasabia japonica). Food Res. Int. 1999, 31, 329–337. [Google Scholar] [CrossRef]
- Bell, L.; Wagstaff, C. Glucosinolates, myrosinase hydrolysis products, and flavonols found in rocket (Eruca sativa and Diplotaxis tenuifolia). J. Agric. Food Chem. 2014, 62, 4481–4492. [Google Scholar] [CrossRef]
- Palaniswamy, U.R. Watercress: A salad crop with chemopreventive potential. Horttechnology 2001, 11, 622–626. [Google Scholar] [CrossRef]
- Siegmund, B. Biogenesis of aroma compounds: Flavour formation in fruits and vegetables. In Flavour Development, Analysis and Perception in Food and Beverages; Parker, J.K., Elmore, J.S., Methven, L., Eds.; Woodhead Publishing: Cambridge, UK, 2015; pp. 127–149. [Google Scholar] [CrossRef]
- Kim, J.I.; Dolan, W.L.; Anderson, N.A.; Chapple, C. Indole glucosinolate biosynthesis limits phenylpropanoid accumulation in Arabidopsis thaliana. Plant Cell 2015, 27, 1529–1546. [Google Scholar] [CrossRef] [PubMed]
- Raffo, A.; Masci, M.; Moneta, E.; Nicoli, S.; Sánchez del Pulgar, J.; Paoletti, F.; Pulgar, D. Characterization of volatiles and identification of odor-active compounds of rocket leaves. Food Chem. 2018, 240, 1161–1170. [Google Scholar] [CrossRef]
- Blazevic, I.; Mastelic, J. Free and bound volatiles of rocket (Eruca sativa Mill.). Flavour Fragrance J. 2008, 23, 278–285. [Google Scholar] [CrossRef]
- Jirovetz, L.; Smith, D.; Buchbauer, G. Aroma compound analysis of Eruca sativa (Brassicaceae) SPME headspace leaf samples using GC, GC−MS, and olfactometry. J. Agric. Food Chem. 2002, 50, 4643–4646. [Google Scholar] [CrossRef] [PubMed]
- Miyazawa, M.; Maehara, T.; Kurose, K. Composition of the essential oil from the leaves of Eruca sativa. Flavour Fragrance J. 2002, 17, 187–190. [Google Scholar] [CrossRef]
- Nakanishi, A.; Miyazawa, N.; Haraguchi, K.; Watanabe, H.; Kurobayashi, Y.; Nammoku, T. Determination of the absolute configuration of a novel odour-active lactone, cis-3-methyl-4-decanolide, in wasabi (Wasabia japonica Matsum.). Flavour Fragrance J. 2014, 29, 220–227. [Google Scholar] [CrossRef]
- Kameoka, H.; Hashimoto, S. Volatile flavor components from wild Wasabia japonica Matsum. (Wasabi) and Nasturtium officinale R. Br. (Orandagarashi). J. Agric. Chem. Soc. Japan 1982, 56, 441–443. [Google Scholar]
- Liu, Y.; Zhang, H.; Umashankar, S.; Liang, X.; Lee, H.; Swarup, S.; Ong, C. Characterization of plant volatiles reveals distinct metabolic profiles and pathways among 12 Brassicaceae vegetables. Metabolites 2018, 8, 94. [Google Scholar] [CrossRef]
- Silva, M.F.; Campos, V.P.; Barros, A.F.; Terra, W.C.; Pedroso, M.P.; Gomes, V.A.; Ribeiro, C.R.; Silva, F.J. Volatile emissions of watercress (Nasturtium officinale) leaves and passion fruit (Passiflora edulis) seeds against Meloidogyne incognita. Pest Manag. Sci. 2020, 76, 1413–1421. [Google Scholar] [CrossRef] [PubMed]
- Spence, R.-M.M.; Tucknott, O.G. An apparatus for the comparative collection of headspace volatiles of watercress. J. Sci. Food Agric. 1983, 34, 412–416. [Google Scholar] [CrossRef]
- Agneta, R.; Möllers, C.; Rivelli, A.R. Horseradish (Armoracia rusticana), a neglected medical and condiment species with a relevant glucosinolate profile: A review. Genet. Resour. Crop Evol. 2013, 60, 1923–1943. [Google Scholar] [CrossRef]
- Dekić, M.S.; Radulović, N.S.; Stojanović, N.M.; Randjelović, P.J.; Stojanović-Radić, Z.Z.; Najman, S.; Stojanović, S. Spasmolytic, antimicrobial and cytotoxic activities of 5-phenylpentyl isothiocyanate, a new glucosinolate autolysis product from horseradish (Armoracia rusticana P. Gaertn., B. Mey. & Scherb., Brassicaceae). Food Chem. 2017, 232, 329–339. [Google Scholar] [CrossRef]
- Gilbert, J.; Nursten, H.E. Volatile constituents of horseradish roots. J. Sci. Food Agric. 1972, 23, 527–539. [Google Scholar] [CrossRef]
- Pilipczuk, T.; Kusznierewicz, B.; Chmiel, T.; Przychodzeń, W.; Bartoszek, A. Simultaneous determination of individual isothiocyanates in plant samples by HPLC-DAD-MS following SPE and derivatization with N -acetyl- l -cysteine. Food Chem. 2017, 214, 587–596. [Google Scholar] [CrossRef]
- Kroener, E.-M.; Buettner, A. Sensory-analytical comparison of the aroma of different horseradish varieties (Armoracia rusticana). Front. Chem. 2018, 6. [Google Scholar] [CrossRef] [PubMed]
- Pasini, F.; Verardo, V.; Caboni, M.F.; D’Antuono, L.F. Determination of glucosinolates and phenolic compounds in rocket salad by HPLC-DAD–MS: Evaluation of Eruca sativa Mill. and Diplotaxis tenuifolia L. genetic resources. Food Chem. 2012, 133, 1025–1033. [Google Scholar] [CrossRef]
- Bell, L.; Wagstaff, C. Rocket science: A review of phytochemical & health-related research in Eruca & Diplotaxis species. Food Chem. X 2019, 1, 100002. [Google Scholar] [CrossRef] [PubMed]
- Agerbirk, N.; Matthes, A.; Erthmann, P.Ø.; Ugolini, L.; Cinti, S.; Lazaridi, E.; Nuzillard, J.-M.; Müller, C.; Bak, S.; Rollin, P.; et al. Glucosinolate turnover in Brassicales species to an oxazolidin-2-one, formed via the 2-thione and without formation of thioamide. Phytochemistry 2018, 153, 79–93. [Google Scholar] [CrossRef]
- Bell, L.; Oruna-Concha, M.J.; Wagstaff, C. Identification and quantification of glucosinolate and flavonol compounds in rocket salad (Eruca sativa, Eruca vesicaria and Diplotaxis tenuifolia) by LC–MS: Highlighting the potential for improving nutritional value of rocket crops. Food Chem. 2015, 172, 852–861. [Google Scholar] [CrossRef]
- Rochfort, S.J.; Trenerry, V.C.; Imsic, M.; Panozzo, J.; Jones, R. Class targeted metabolomics: ESI ion trap screening methods for glucosinolates based on MSn fragmentation. Phytochemistry 2008, 69, 1671–1679. [Google Scholar] [CrossRef] [PubMed]
- Andini, S.; Dekker, P.; Gruppen, H.; Araya-Cloutier, C.; Vincken, J.-P. Modulation of glucosinolate composition in Brassicaceae seeds by germination and fungal elicitation. J. Agric. Food Chem. 2019, 67, 12770–12779. [Google Scholar] [CrossRef]
- Cataldi, T.R.I.; Rubino, A.; Lelario, F.; Bufo, S.A. Naturally occurring glucosinolates in plant extracts of rocket salad (Eruca sativa L.) identified by liquid chromatography coupled with negative ion electrospray ionization and quadrupole ion-trap mass spectrometry. Rapid Commun. Mass Spectrom. 2007, 21, 2374–2388. [Google Scholar] [CrossRef] [PubMed]
- Agneta, R.; Rivelli, A.R.; Ventrella, E.; Lelario, F.; Sarli, G.; Bufo, S.A. Investigation of glucosinolate profile and qualitative aspects in sprouts and roots of horseradish (Armoracia rusticana) using LC-ESI–hybrid linear ion trap with fourier transform ion cyclotron resonance mass spectrometry and infrared multiphoton dissociation. J. Agric. Food Chem. 2012, 60, 7474–7482. [Google Scholar] [CrossRef] [PubMed]
- Maldini, M.; Foddai, M.; Natella, F.; Petretto, G.L.; Rourke, J.P.; Chessa, M.; Pintore, G. Identification and quantification of glucosinolates in different tissues of Raphanus raphanistrum by liquid chromatography tandem-mass spectrometry. J. Food Compos. Anal. 2017, 61, 20–27. [Google Scholar] [CrossRef]
- Shi, H.; Zhao, Y.; Sun, J.; Yu, L.; Chen, P. Chemical profiling of glucosinolates in cruciferous vegetables-based dietary supplements using ultra-high performance liquid chromatography coupled to tandem high resolution mass spectrometry. J. Food Compos. Anal. 2017, 61, 67–72. [Google Scholar] [CrossRef]
- Mellon, F.A.; Bennett, R.N.; Holst, B.; Williamson, G. Intact glucosinolate analysis in plant extracts by programmed cone voltage electrospray LC/MS: Performance and comparison with LC/MS/MS methods. Anal. Biochem. 2002, 306, 83–91. [Google Scholar] [CrossRef] [PubMed]
- Bianco, G.; Agerbirk, N.; Losito, I.; Cataldi, T.R.I. Acylated glucosinolates with diverse acyl groups investigated by high resolution mass spectrometry and infrared multiphoton dissociation. Phytochemistry 2014, 100, 92–102. [Google Scholar] [CrossRef] [PubMed]
- Blažević, I.; Montaut, S.; Burčul, F.; Olsen, C.; Burow, M.; Rollin, P.; Agerbirk, N. Glucosinolate structural diversity, identification, chemical synthesis and metabolism in plants. Phytochemistry 2019, 169, 112100. [Google Scholar] [CrossRef] [PubMed]
- Al-Gendy, A.A.; Lockwood, G.B. GC-MS analysis of volatile hydrolysis products from glucosinolates in Farsetia aegyptia var. ovalis. Flavour Fragrance J. 2003, 18, 148–152. [Google Scholar] [CrossRef]
- Wang, C.; Xing, J.; Chin, C.-K.; Ho, C.-T.; Martin, C.E. Modification of fatty acids changes the flavor volatiles in tomato leaves. Phytochemistry 2001, 58, 227–232. [Google Scholar] [CrossRef]
- Buttery, R.G.; Teranishi, R.; Ling, L.C.; Turnbaugh, J.G. Quantitative and sensory studies on tomato paste volatiles. J. Agric. Food Chem. 1990, 38, 336–340. [Google Scholar] [CrossRef]
- Deasy, W.; Shepherd, T.; Alexander, C.J.; Birch, A.N.E.; Evans, K.A. Development and validation of a SPME-GC-MS method for in situ passive sampling of root volatiles from glasshouse-grown broccoli plants undergoing blow-ground herbivory by larvae of cabbage root fly, Delia radicum L. Phytochem. Anal. 2016, 27, 375–393. [Google Scholar] [CrossRef]
- Moshonas, M.G.; Shaw, P.E. Some newly found orange essence components including trans-2-pentenal. J. Food Sci. 1973, 38, 360–361. [Google Scholar] [CrossRef]
- Berger, R.G.; Drawert, F.; Kollmannsberger, H. The flavour of cape gooseberry (Physalis peruviana L.). Z. Für Lebensm. -Unters. und Forsch. 1989, 188, 122–126. [Google Scholar] [CrossRef]
- Hatanaka, A.; Harada, T. Formation of cis-3-hexenal, trans-2-hexenal and cis-3-hexenol in macerated Thea sinensis leaves. Phytochemistry 1973, 12, 2341–2346. [Google Scholar] [CrossRef]
- D’Auria, J.C.; Pichersky, E.; Schaub, A.; Hansel, A.; Gershenzon, J. Characterization of a BAHD acyltransferase responsible for producing the green leaf volatile (Z)-3-hexen-1-yl acetate in Arabidopsis thaliana. Plant J. 2007, 49, 194–207. [Google Scholar] [CrossRef]
- Angerosa, F. Virgin olive oil odour notes: Their relationships with volatile compounds from the lipoxygenase pathway and secoiridoid compounds. Food Chem. 2000, 68, 283–287. [Google Scholar] [CrossRef]
- Kato, M.; Imayoshi, Y.; Iwabuchi, H.; Shimomura, K. Kinetic changes in glucosinolate-derived volatiles by heat-treatment and myrosinase activity in nakajimana (Brassica rapa L. cv. nakajimana). J. Agric. Food Chem. 2011, 59, 11034–11039. [Google Scholar] [CrossRef]
- Sharma, A.; Rai, P.K.; Prasad, S. GC–MS detection and determination of major volatile compounds in Brassica juncea L. leaves and seeds. Microchem. J. 2018, 138, 488–493. [Google Scholar] [CrossRef]
- Song, H.; Liu, J. GC-O-MS technique and its applications in food flavor analysis. Food Res. Int. 2018, 114, 187–198. [Google Scholar] [CrossRef]
- Aparicio, R.; Morales, M.T.; Alonso, V. Authentication of European virgin olive oils by their chemical compounds, sensory attributes, and consumers’ attitudes. J. Agric. Food Chem. 1997, 45, 1076–1083. [Google Scholar] [CrossRef]
- Hossain, S.; Bergkvist, G.; Berglund, K.; Glinwood, R.; Kabouw, P.; Mårtensson, A.; Persson, P. Concentration- and time-dependent effects of isothiocyanates produced from Brassicaceae shoot tissues on the pea root rot pathogen Aphanomyces euteiches. J. Agric. Food Chem. 2014, 62, 4584–4591. [Google Scholar] [CrossRef][Green Version]
- Kask, K.; Kännaste, A.; Talts, E.; Copolovici, L.; Niinemets, Ü. How specialized volatiles respond to chronic and short-term physiological and shock heat stress in Brassica nigra. Plant Cell Environ. 2016, 39, 2027–2042. [Google Scholar] [CrossRef] [PubMed]
- Bruce, T.J.A. Glucosinolates in oilseed rape: Secondary metabolites that influence interactions with herbivores and their natural enemies. Ann. Appl. Biol. 2014, 164, 348–353. [Google Scholar] [CrossRef]
- Hansen, M.; Laustsen, A.M.; Olsen, C.E.; Poll, L.; SØRensen, H. Chemical and sensory quality of Broccoli (Brassica oleracea L. Var italica). J. Food Qual. 1997, 20, 441–459. [Google Scholar] [CrossRef]
- Hanschen, F.S.; Kaufmann, M.; Kupke, F.; Hackl, T.; Kroh, L.W.; Rohn, S.; Schreiner, M. Brassica vegetables as sources of epithionitriles: Novel secondary products formed during cooking. Food Chem. 2018, 245, 564–569. [Google Scholar] [CrossRef] [PubMed]
- Fernandes, F.; Pereira, D.M.; Guedes de Pinho, P.; Valentão, P.; Pereira, J.A.; Bento, A.; Andrade, P.B. Headspace solid-phase microextraction and gas chromatography/ion trap-mass spectrometry applied to a living system: Pieris brassicae fed with kale. Food Chem. 2010, 119, 1681–1693. [Google Scholar] [CrossRef]
- Bartlet, E.; Blight, M.M.; Lane, P.; Williams, I.H. The responses of the cabbage seed weevil Ceutorhynchus assimilis to volatile compounds from oilseed rape in a linear track olfactometer. Entomol. Exp. Appl. 1997, 85, 257–262. [Google Scholar] [CrossRef]
- Fernandes, F.; Guedes de Pinho, P.; Valentão, P.; Pereira, J.A.; Andrade, P.B. Volatile constituents throughout Brassica oleracea L. Var. acephala germination. J. Agric. Food Chem. 2009, 57, 6795–6802. [Google Scholar] [CrossRef]
- Ortner, E.; Granvogl, M.; Schieberle, P. Elucidation of thermally induced changes in key odorants of white mustard seeds (Sinapis alba L.) and rapeseeds (Brassica napus L.) using molecular sensory science. J. Agric. Food Chem. 2016, 64, 8179–8190. [Google Scholar] [CrossRef] [PubMed]
- Smid, H.M.; Van Loon, J.J.A.; Posthumus, M.A.; Vet, L.E.M. GC-EAG-analysis of volatiles from brussels sprouts plants damaged by two species of Pieris caterpillars: Olfactory receptive range of a specialist and a generalist parasitoid wasp species. Chemoecology 2002, 12, 169–176. [Google Scholar] [CrossRef]
- Klopsch, R.; Witzel, K.; Börner, A.; Schreiner, M.; Hanschen, F.S. Metabolic profiling of glucosinolates and their hydrolysis products in a germplasm collection of Brassica rapa turnips. Food Res. Int. 2017, 100, 392–403. [Google Scholar] [CrossRef]
- Angelino, D.; Jeffery, E. Glucosinolate hydrolysis and bioavailability of resulting isothiocyanates: Focus on glucoraphanin. J. Funct. Foods 2014, 7, 67–76. [Google Scholar] [CrossRef]
- Petrović, S.; Drobac, M.; Ušjak, L.; Filipović, V.; Milenković, M.; Niketić, M. Volatiles of roots of wild-growing and cultivated Armoracia macrocarpa and their antimicrobial activity, in comparison to horseradish, A. rusticana. Ind. Crops Prod. 2017, 109, 398–403. [Google Scholar] [CrossRef]
- Tohar, N.; Mohd, M.A.; Jantan, I.; Awang, K. A comparative study of the essential oils of the genus Plumeria Linn. from Malaysia. Flavour Fragr. J. 2006, 21, 859–863. [Google Scholar] [CrossRef]
- Tieman, D.; Taylor, M.; Schauer, N.; Fernie, A.R.; Hanson, A.D.; Klee, H.J. Tomato aromatic amino acid decarboxylases participate in synthesis of the flavor volatiles 2-phenylethanol and 2-phenylacetaldehyde. Proc. Natl. Acad. Sci. USA 2006, 103, 8287–8292. [Google Scholar] [CrossRef]
- Triqui, R.; Reineccius, G. Changes in flavor profiles with ripening of anchovy (Engraulis encrasicholus). J. Agric. Food Chem. 1995, 43, 1883–1889. [Google Scholar] [CrossRef]
- Parker, J.K. Introduction to aroma compounds in foods. In Flavour Development, Analysis and Perception in Food and Beverages; Parker, J.K., Elmore, J.S., Methven, L., Eds.; Woodhead Publishing: Cambridge, UK, 2015; pp. 3–30. [Google Scholar] [CrossRef]
- Schreiner, M.; Krumbein, A.; Ruppel, S. Interaction between plants and bacteria: Glucosinolates and phyllospheric colonization of cruciferous vegetables by Enterobacter radicincitans DSM 16656. J. Mol. Microbiol. Biotechnol. 2009, 17, 124–135. [Google Scholar] [CrossRef]
- Deng, Q.; Zinoviadou, K.G.; Galanakis, C.M.; Orlien, V.; Grimi, N.; Vorobiev, E.; Lebovka, N.; Barba, F.J. The effects of conventional and non-conventional processing on glucosinolates and its derived forms, isothiocyanates: Extraction, degradation, and applications. Food Eng. Rev. 2015, 7, 357–381. [Google Scholar] [CrossRef]
- Park, H.-W.; Choi, K.-D.; Shin, I.-S. Antimicrobial activity of isothiocyanates (ITCs) extracted from horseradish (Armoracia rusticana) root against oral microorganisms. Biocontrol Sci. 2013, 18, 163–168. [Google Scholar] [CrossRef] [PubMed]
- Terada, Y.; Masuda, H.; Watanabe, T. Structure–activity relationship study on isothiocyanates: Comparison of TRPA1-activating ability between allyl isothiocyanate and specific flavor components of wasabi, horseradish, and white mustard. J. Nat. Prod. 2015, 78, 1937–1941. [Google Scholar] [CrossRef]
- Masuda, H.; Harada, Y.; Tanaka, K.; Nakajima, M.; Tabeta, H. Characteristic odorants of wasabi (Wasabia japonica matum), Japanese horseradish, in comparison with those of horseradish (Armoracia rusticana). In Biotechnology for Improved Foods and Flavors; American Chemical Society: Washington, DC, USA, 1996; Volume 637, pp. 67–78. [Google Scholar]
- Lv, J.; Wu, J.; Zuo, J.; Fan, L.; Shi, J.; Gao, L.; Li, M.; Wang, Q. Effect of Se treatment on the volatile compounds in broccoli. Food Chem. 2017, 216, 225–233. [Google Scholar] [CrossRef]
- Blight, M.M.; Pickett, J.A.; Wadhams, L.J.; Woodcock, C.M. Antennal perception of oilseed rape, Brassica napus (Brassicaceae), volatiles by the cabbage seed weevil Ceutorhynchus assimilis (Coleoptera, Curculionidae). J. Chem. Ecol. 1995, 21, 1649–1664. [Google Scholar] [CrossRef]
- Chen, H.-Z.; Zhang, M.; Guo, Z. Discrimination of fresh-cut broccoli freshness by volatiles using electronic nose and gas chromatography-mass spectrometry. Postharvest Biol. Technol. 2019, 148, 168–175. [Google Scholar] [CrossRef]
- Müller-Maatsch, J.; Gurtner, K.; Carle, R.; Björn Steingass, C. Investigation into the removal of glucosinolates and volatiles from anthocyanin-rich extracts of red cabbage. Food Chem. 2019, 278, 406–414. [Google Scholar] [CrossRef] [PubMed]
- Davies, K. Annual Plant Reviews, Plant Pigments and Their Manipulation; Blackwell Publishing: Oxford, UK, 2004; Volume 14. [Google Scholar]
- Mastrandrea, L.; Amodio, M.L.; Pati, S.; Colelli, G. Effect of modified atmosphere packaging and temperature abuse on flavor related volatile compounds of rocket leaves (Diplotaxis tenuifolia L.). J. Food Sci. Technol. 2017, 54, 2433–2442. [Google Scholar] [CrossRef] [PubMed]
- Silva Souza, M.A.; Peres, L.E.; Freschi, J.R.; Purgatto, E.; Lajolo, F.M.; Hassimotto, N.M. Changes in flavonoid and carotenoid profiles alter volatile organic compounds in purple and orange cherry tomatoes obtained by allele introgression. J. Sci. Food Agric. 2020, 100, 1662–1670. [Google Scholar] [CrossRef]
- Li, L.; Lee, W.; Lee, W.J.; Auh, J.H.; Kim, S.S.; Yoon, J. Extraction of allyl isothiocyanate from wasabi (Wasabia japonica Matsum) using supercritical carbon dioxide. Food Sci. Biotechnol. 2010, 19, 405–410. [Google Scholar] [CrossRef]
- Fechner, J.; Kaufmann, M.; Herz, C.; Eisenschmidt, D.; Lamy, E.; Kroh, L.W.; Hanschen, F.S. The major glucosinolate hydrolysis product in rocket (Eruca sativa L.), sativin, is 1,3-thiazepane-2-thione: Elucidation of structure, bioactivity, and stability compared to other rocket isothiocyanates. Food Chem. 2018, 261, 57–65. [Google Scholar] [CrossRef]


| Glucosinolate a | Abbreviation | Concentration b | ||
|---|---|---|---|---|
| Salad Rocket | Wasabi | Watercress | ||
| glucoiberin | GIB | 0.007 ± 0.001 | 0.003 ± <0.001 | nd |
| pentyl GSL $ | PEN | 4.915 ± 1.633 | nd | nd |
| progoitrin | PRO | 0.074 ± 0.067 | 0.001 ± <0.001 | nd |
| sinigrin | SIN | 0.002 ± 0.001 | 11.121 ± 0.247 | 0.001 ± <0.001 |
| isobutyl GSL $ | ISO | nd | 3.382 ± 0.762 | nd |
| glucoraphanin | GRA | 1.761 ± 0.508 | 0.001 ± <0.001 | 0.006 ± <0.001 |
| glucorucolamine | GRM | 7.571 ± 1.208 | nd | nd |
| glucoalyssin | GAL | 0.215 ± 0.044 | 2.123 ± 0.477 | 0.470 ± 0.026 |
| glucoputranjivin $ | GPJ | 0.058 ± 0.024 | 2.289 ± 0.515 | nd |
| gluconapin | GNP | 0.001 ± 0.001 | 0.010 ± 0.001 | nd |
| diglucothiobeinin | DGTB | 4.622 ± 1.144 | nd | nd |
| glucoberteroin | GBT | 0.412 ± 0.086 | nd | nd |
| 4-hydroxyglucobrassicin | 4HGB | 0.012 ± 0.002 | 0.062 ± 0.002 | 0.006 ± <0.001 |
| glucocochlearin | GCL | nd | 2.184 ± 0.166 | nd |
| glucosativin | GSV | 6.639 ± 2.402 | nd | nd |
| 7-(methylsulfinyl)heptyl GSL | 7MSH | nd | 4.55 ± 0.393 | 21.472 ± 1.219 |
| glucobrassicanapin | GBN | nd | 0.146 ± 0.005 | nd |
| dimeric 4-mercaptobutyl GSL | DMB | 78.861 ± 8.384 | nd | nd |
| glucobarbarin | GBB | nd | nd | 0.730 ± 0.037 |
| glucotropaeolin | GTP | 0.027 ± 0.002 | 0.001 ± <0.001 | 0.001 ± <0.001 |
| glucoerucin | GER | 0.733 ± 0.088 | nd | nd |
| glucobrassicin | GBC | 0.027 ± 0.008 | 0.001 ± <0.001 | 0.118 ± 0.006 |
| 4-methoxyglucobrassicin | 4MGB | 0.366 ± 0.113 | nd | 2.001 ± 0.104 |
| gluconasturtiin | GNT | 0.001 ± <0.001 | nd | 1.514 ± 0.040 |
| neoglucobrassicin | NGB | 2.682 ± 0.433 | 1.525 ± 0.229 | 1.596 ± 0.037 |
| 4-methylpentyl GSL | 4MP | 1.293 ± 0.836 | nd | nd |
| hexy GSL | HEX | 0.225 ± 0.071 | nd | 0.434 ± 0.031 |
| 7-(methylthio)heptyl GSL | 7MTH | nd | 0.132 ± 0.035 | 2.663 ± 0.104 |
| butyl GSL $ | BUT | 0.301 ± 0.081 | nd | 0.606 ± 0.359 |
| Total | 111.098 ± 14.633 | 27.532 ± 2.831 | 31.645 ± 1.353 | |
| Precursor Glucosinolate | Glucosinolate Hydrolysis Product (Compound No.) | Glucosinolate Observed? | Hydrolysis Product Observed? | ||||
|---|---|---|---|---|---|---|---|
| Salad Rocket | Wasabi | Watercress | Salad Rocket | Wasabi | Watercress | ||
| sinigrin | 3-butenenitrile (74) $ | √ | √ | √ | x | √ | x |
| allyl thiocyanate (4) $ | √ | √ | √ | x | √ | x | |
| allyl ITC (5/6) $ | √ | √ | √ | x | √ | x | |
| cyclopropane ITC (7) $ | √ | √ | √ | x | √ | x | |
| thiiraneacetonitrile (77) $ | √ | √ | √ | x | x | x | |
| glucocapparin | methyl thiocyanate (2) $ | x | x | x | √ * | x | √ * |
| glucoputranjivin $ | isopropyl ITC (3) $ | √ | √ | x | √ | x | x |
| glucocochlearin $ | sec-butyl ITC (9) $ | x | √ | x | √ * | √ | x |
| 4-methylpentyl GSL $ | 5-methylhexanenitrile (75) $ | √ | x | x | √ | x | x |
| 1-isothiocyanato-4-methylpentane (16) $ | √ | x | x | √ | √ * | √ * | |
| isobutyl GSL | isobutyl ITC (10) $ | x | √ | x | x | √ | x |
| <unknown> | 6-heptenenitrile (76) $ | - | - | - | x | √ * | x |
| gluconapin | 3-butenyl ITC (11) $ | √ | √ | x | √ | √ | x |
| butyl GSL | butyl ITC (12) $ | √ | x | √ | √ | √ * | x |
| 3-methylbutyl GSL | isoamyl ITC (13) $ | x | x | x | √ * | √ * | √ * |
| glucobrassicanapin | 4-pentenyl ITC (14) $ | x | √ | x | x | √ | x |
| pentyl GSL | pentyl ITC (15) $ | √ | x | x | √ | √ * | x |
| glucotropaeolin | phenylacetonitrile (78) $ | √ | √ | √ | x | x | x |
| benzyl ITC (22) $ | √ | √ | √ | x | √ | x | |
| hexyl GSL | cyclohexyl ITC (17) $ | √ | x | √ | x | √ * | x |
| glucoberteroin | 5-(methylsulfanyl)pentanenitrile (79) $ | √ | x | x | √ | x | x |
| glucoerucin | 4-(methylthio)butanenitrile (80) $ | √ | x | x | x | x | x |
| erucin (23) $ | √ | x | x | √ | √ * | x | |
| gluconasturtiin | benzenepropanenitrile (81) $ | √ | x | √ | x | x | √ |
| glucoiberverin | iberverin (19) $ | x | x | x | √ * | √ * | x |
| glucosativin | sativin (20) $ | √ | x | x | √ | x | x |
| <unknown> | octyl ITC (21) $ | x | x | x | x | x | √ * |
| gluconasturtiin | phenylethyl ITC (24) $ | √ | x | √ | x | √ * | √ |
Publisher’s Note: MDPI stays neutral with regard to jurisdictional claims in published maps and institutional affiliations. |
© 2021 by the authors. Licensee MDPI, Basel, Switzerland. This article is an open access article distributed under the terms and conditions of the Creative Commons Attribution (CC BY) license (https://creativecommons.org/licenses/by/4.0/).
Share and Cite
Bell, L.; Kitsopanou, E.; Oloyede, O.O.; Lignou, S. Important Odorants of Four Brassicaceae Species, and Discrepancies between Glucosinolate Profiles and Observed Hydrolysis Products. Foods 2021, 10, 1055. https://doi.org/10.3390/foods10051055
Bell L, Kitsopanou E, Oloyede OO, Lignou S. Important Odorants of Four Brassicaceae Species, and Discrepancies between Glucosinolate Profiles and Observed Hydrolysis Products. Foods. 2021; 10(5):1055. https://doi.org/10.3390/foods10051055
Chicago/Turabian StyleBell, Luke, Eva Kitsopanou, Omobolanle O. Oloyede, and Stella Lignou. 2021. "Important Odorants of Four Brassicaceae Species, and Discrepancies between Glucosinolate Profiles and Observed Hydrolysis Products" Foods 10, no. 5: 1055. https://doi.org/10.3390/foods10051055
APA StyleBell, L., Kitsopanou, E., Oloyede, O. O., & Lignou, S. (2021). Important Odorants of Four Brassicaceae Species, and Discrepancies between Glucosinolate Profiles and Observed Hydrolysis Products. Foods, 10(5), 1055. https://doi.org/10.3390/foods10051055

