The Potential Use of Cold-Pressed Pumpkin Seed Oil By-Products in a Low-Fat Salad Dressing: The Effect on Rheological, Microstructural, Recoverable Properties, and Emulsion and Oxidative Stability
Abstract
:1. Introduction
2. Materials and Methods
2.1. Material
2.2. Methods
2.2.1. Salad Dressing Preparation
2.2.2. Experimental Design
2.2.3. Rheological Properties
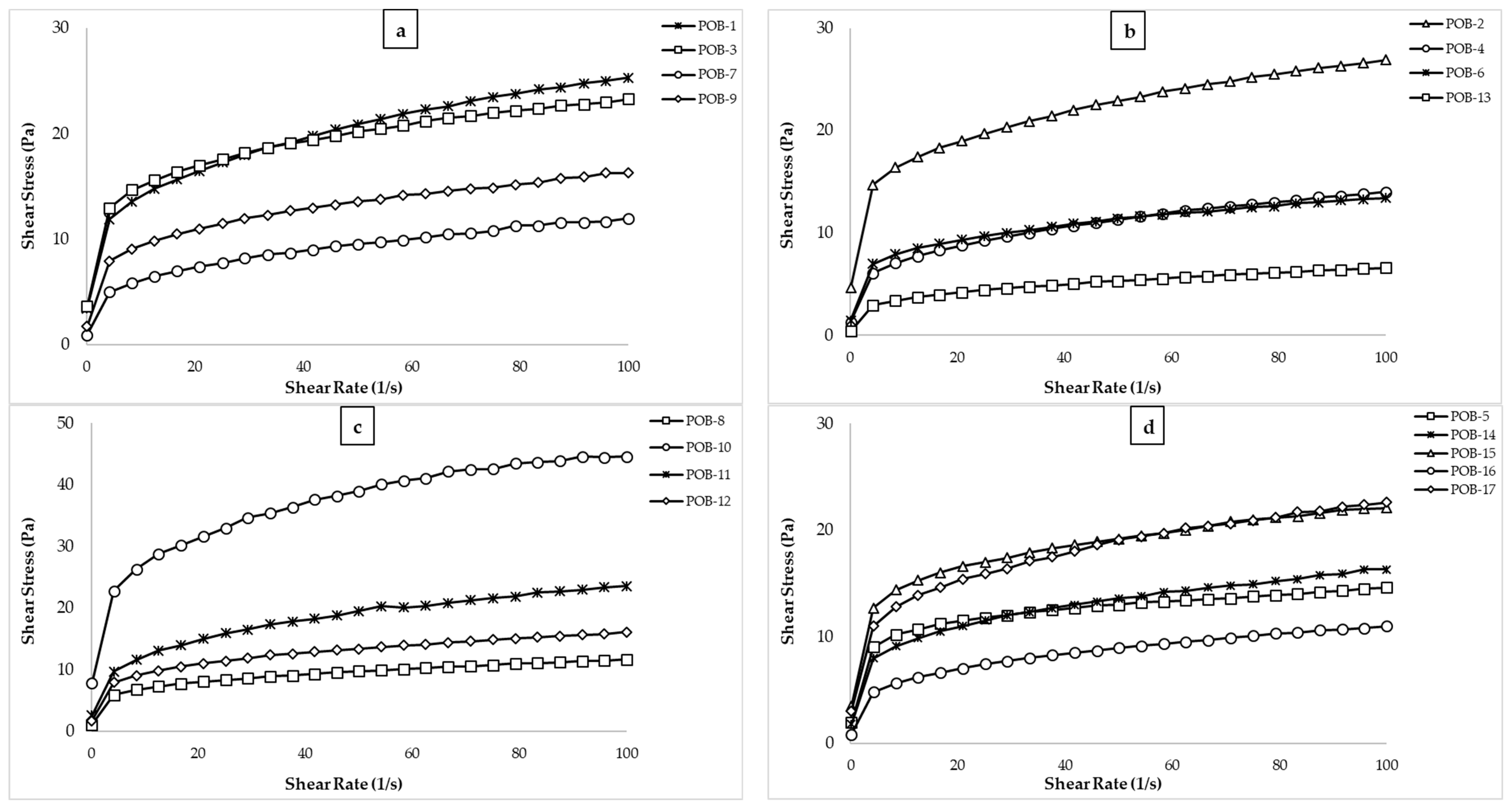
Steady-Shear Rheological Properties
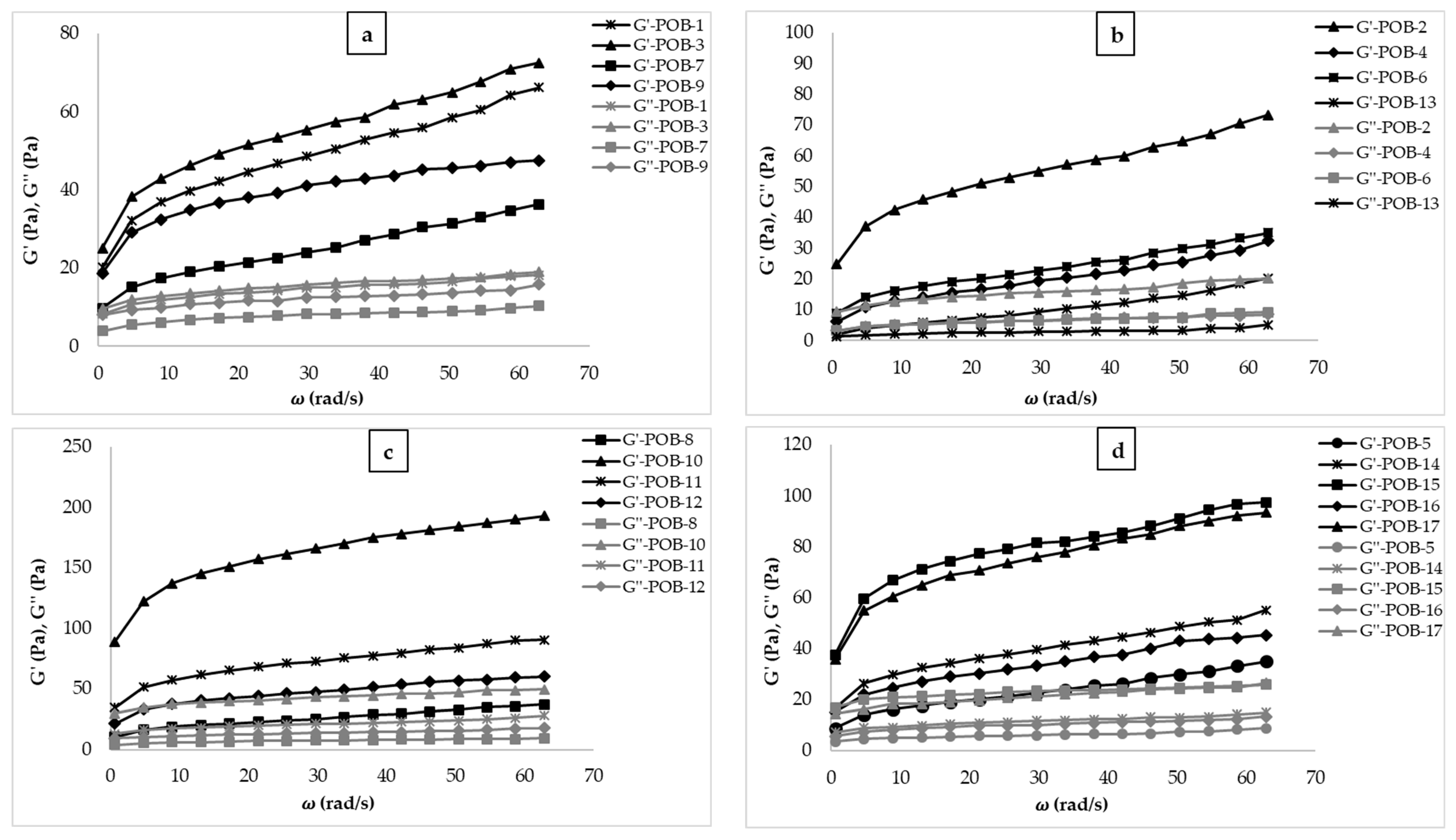
Dynamic Rheological Properties
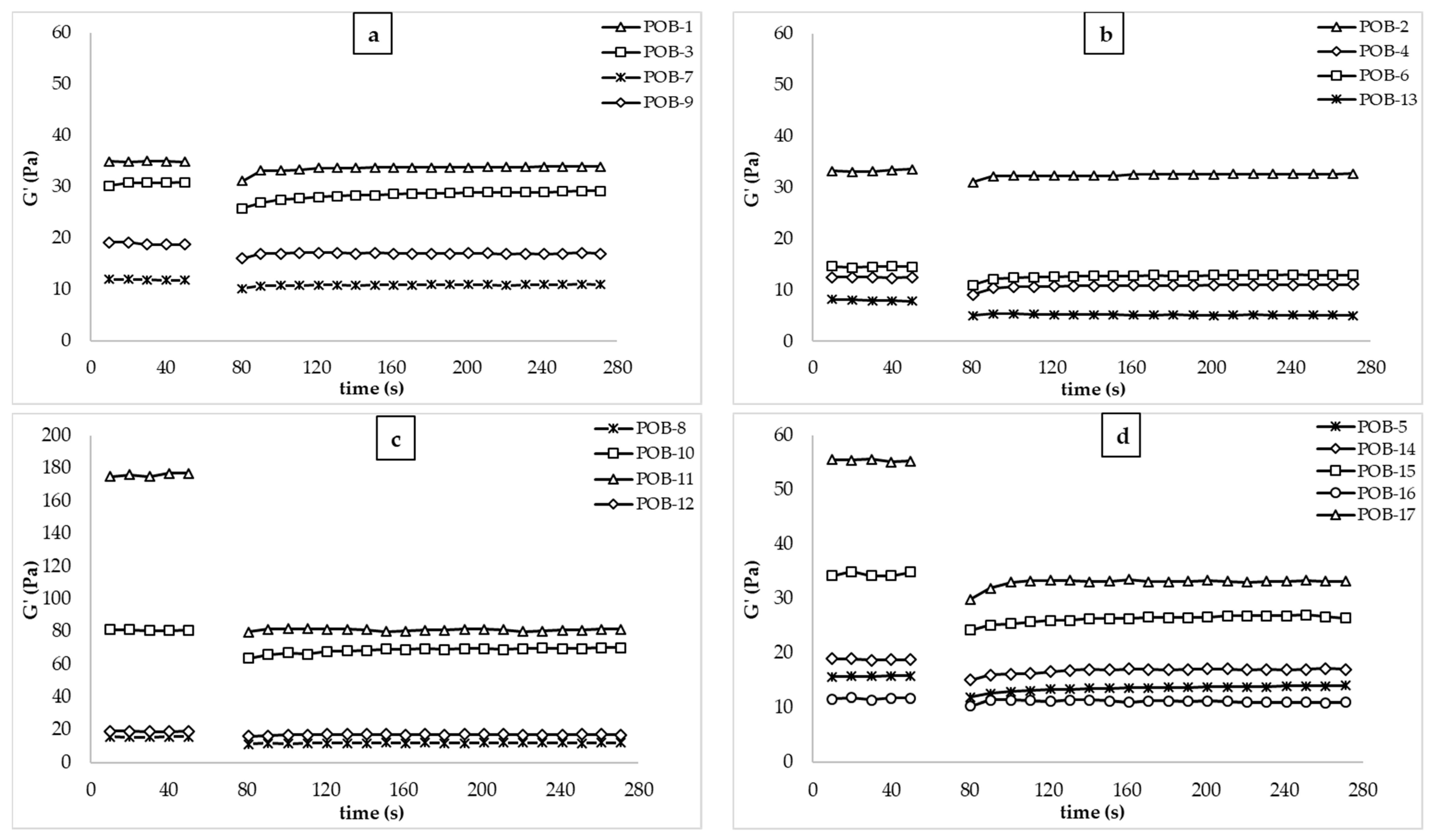
The Three Interval Thixotropy Test (3-ITT)
2.2.4. Analysis of Optimum and Control Samples
Rheological Analysis
Emulsion Stability by Thermal Loop Test
Oxidative Stability by OXITEST
Zeta Potential and Particle Size
Optical Microscopy
2.2.5. Statistical Analysis
3. Results and Discussion
3.1. Rheological Properties
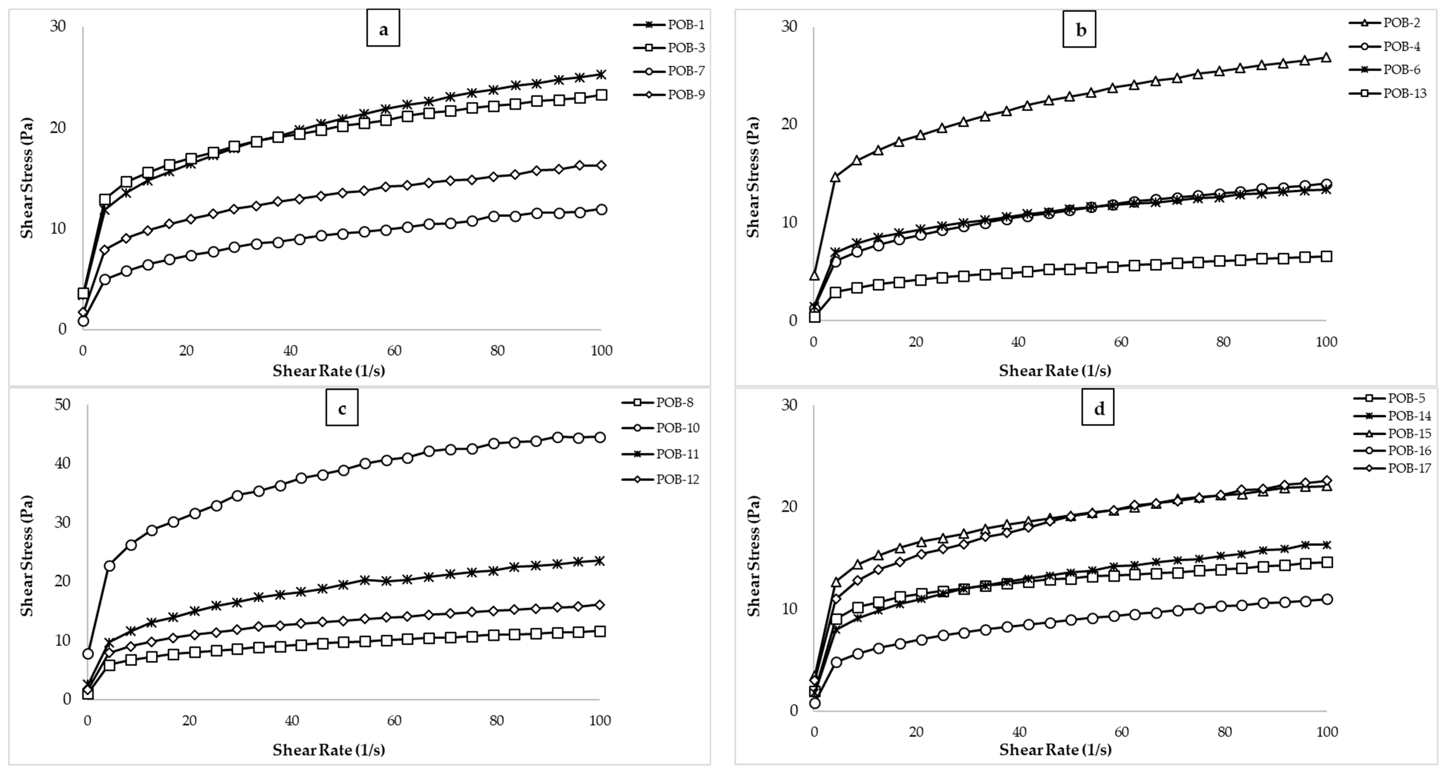
3.1.1. Steady-Shear Rheological Properties
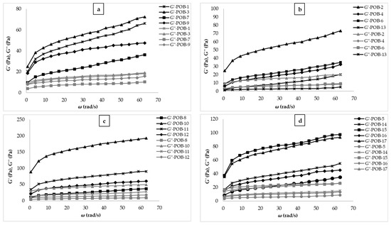
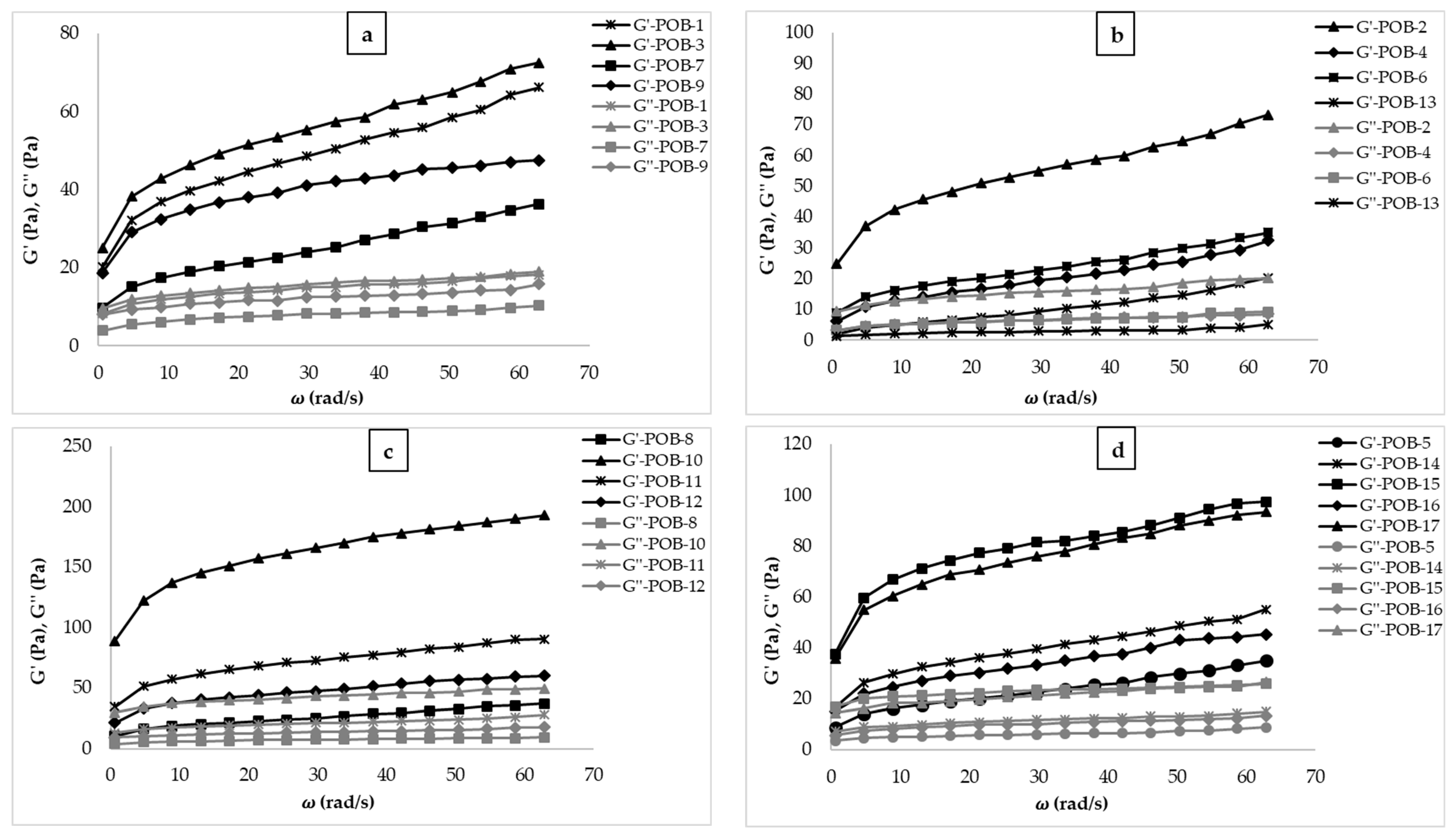
3.1.2. Dynamic Rheological Properties
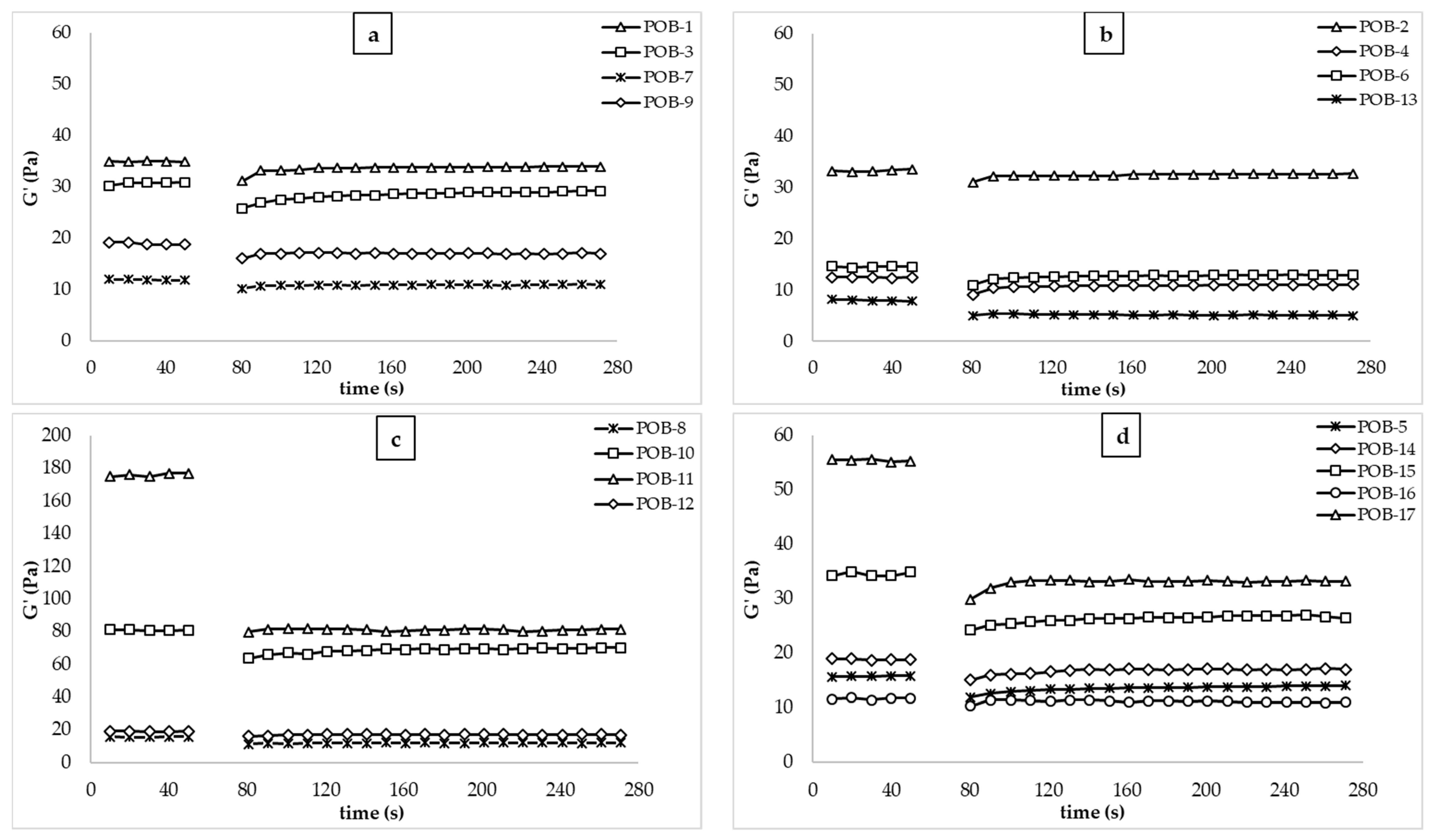
3.1.3. The 3-ITT Rheological Properties
3.1.4. The Effect of Model Parameters on K Value and Determination Optimum Formulation
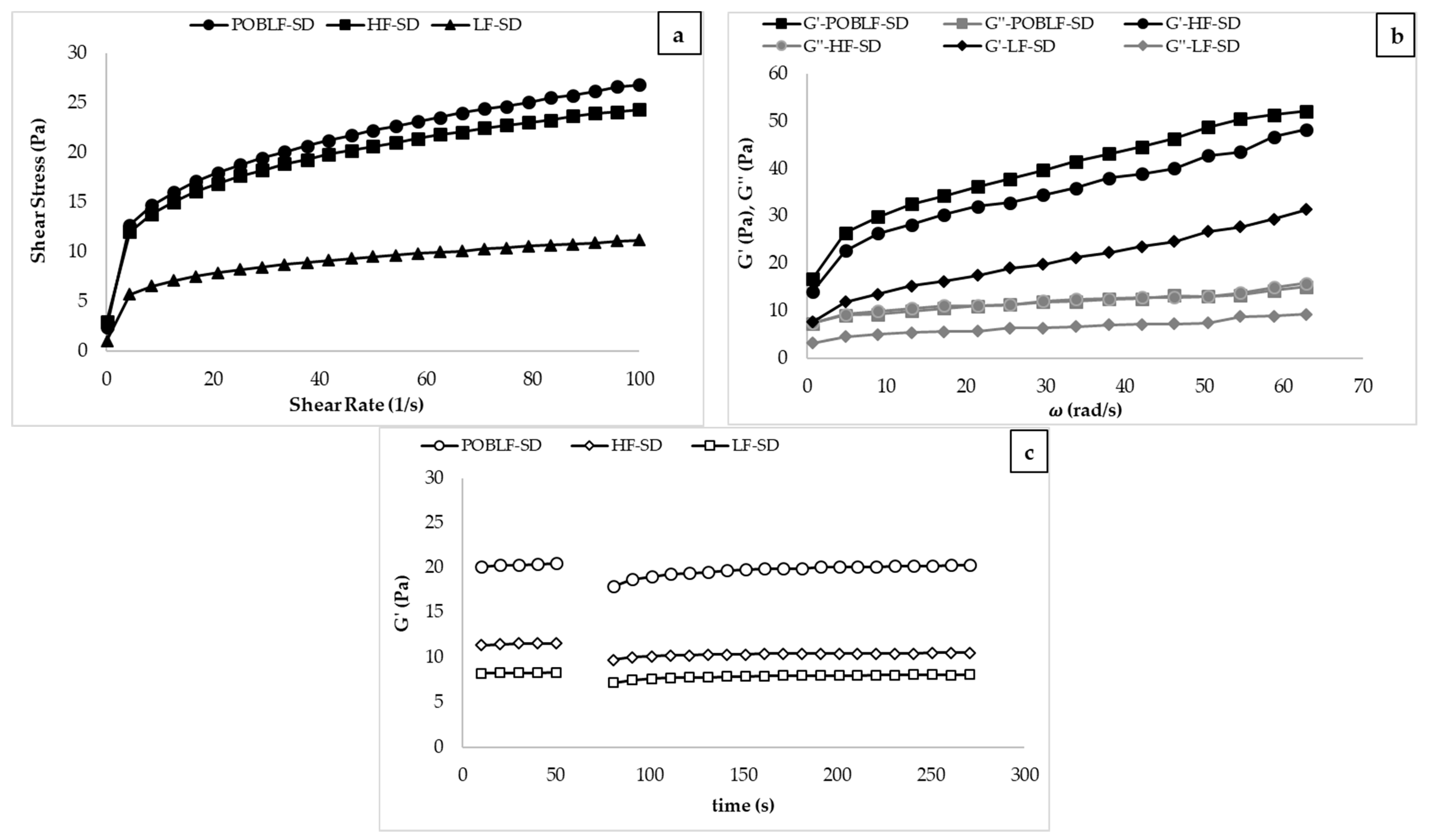
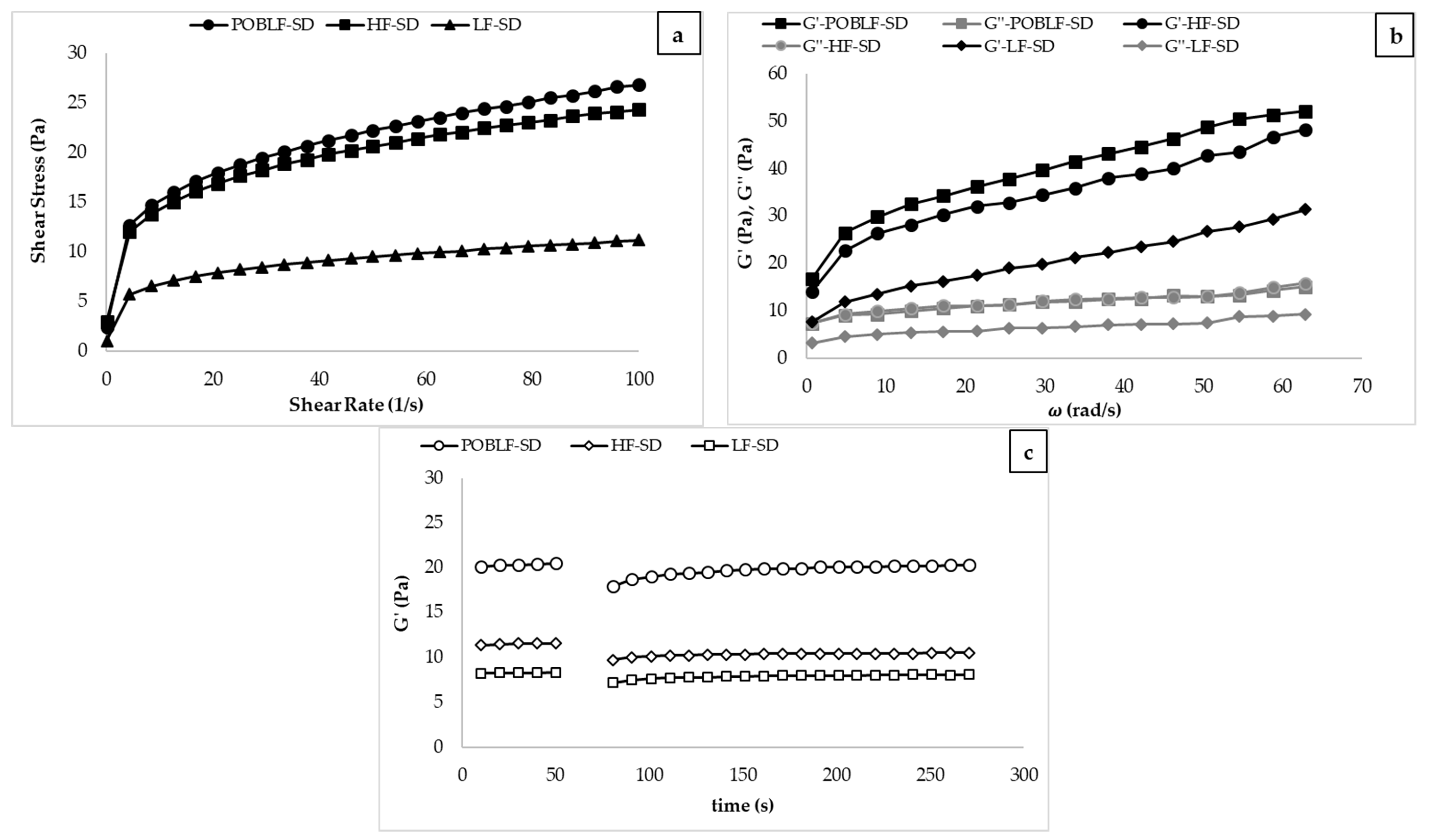
3.1.5. Analysis of HF-SD, LF-SD, and POBLF-SD
The Rheological Properties of HF-SD, LF-SD, and POBLF-SD
Emulsion Stability, Zeta Potential and Particle Size, and Microstructure of HF-SD, LF-SD, and POBLF-SD
Oxidative Stability
4. Conclusions
Author Contributions
Funding
Data Availability Statement
Conflicts of Interest
References
- Mun, S.; Kim, Y.-L.; Kang, C.-G.; Park, K.-H.; Shim, J.-Y.; Kim, Y.-R. Development of reduced-fat mayonnaise using 4αGTase-modified rice starch and xanthan gum. Int. J. Biol. Macromol. 2009, 44, 400–407. [Google Scholar] [CrossRef]
- Downing, D.L. A Complete Course in Canning and Related Processes: Processing Procedures for Canned Food Products; Elsevier: Amsterdam, The Netherlands, 2013. [Google Scholar]
- Keeton, J. Low-fat meat products—Technological problems with processing. Meat Sci. 1994, 36, 261–276. [Google Scholar] [CrossRef]
- McClements, D.J. Reduced-Fat Foods: The Complex Science of Developing Diet-Based Strategies for Tackling Overweight and Obesity. Adv. Nutr. 2015, 6, 338S–352S. [Google Scholar] [CrossRef] [Green Version]
- McClements, D.; Demetriades, K. An Integrated Approach to the Development of Reduced-Fat Food Emulsions. Crit. Rev. Food Sci. Nutr. 1998, 38, 511–536. [Google Scholar] [CrossRef] [PubMed]
- Ma, Z.; Boye, J.I. Advances in the Design and Production of Reduced-Fat and Reduced-Cholesterol Salad Dressing and Mayonnaise: A Review. Food Bioprocess Technol. 2013, 6, 648–670. [Google Scholar] [CrossRef]
- Akcicek, A.; Karasu, S. Utilization of cold pressed chia seed oil waste in a low-fat salad dressing as natural fat replacer. J. Food Process. Eng. 2018, 41, e12694. [Google Scholar] [CrossRef]
- Tekin, Z.H.; Karasu, S. Cold-pressed flaxseed oil by-product as a new source of fat replacers in low-fat salad dressing formulation: Steady, dynamic and 3-ITT rheological properties. J. Food Process. Preserv. 2020, 44, 14650. [Google Scholar] [CrossRef]
- Tekin-Cakmak, Z.H.; Karasu, S.; Kayacan-Cakmakoglu, S.; Akman, P.K. Investigation of potential use of by-products from cold-press industry as natural fat replacers and functional ingredients in a low-fat salad dressing. J. Food Process. Preserv. 2021, 45, e15388. [Google Scholar] [CrossRef]
- Symoniuk, E.; Ratusz, K.; Krygier, K. Oxidative stability and the chemical composition of market cold-pressed linseed oil. Eur. J. Lipid Sci. Technol. 2017, 119, 1700055. [Google Scholar] [CrossRef]
- Juhaimi, F.A.L.; Ozcan, M.M.; Ghafoor, K.; Babiker, E.E. The effect of microwave roasting on bioactive compounds, antioxidant activity and fatty acid composition of apricot kernel and oils. Food Chem. 2018, 243, 414–419. [Google Scholar] [CrossRef] [PubMed]
- Karaman, S.; Karasu, S.; Tornuk, F.; Toker, O.S.; Geçgel, Ü.; Sagdic, O.; Ozcan, N.; Gül, O. Recovery Potential of Cold Press Byproducts Obtained from the Edible Oil Industry: Physicochemical, Bioactive, and Antimicrobial Properties. J. Agric. Food Chem. 2015, 63, 2305–2313. [Google Scholar] [CrossRef]
- Jiao, J.; Li, Z.-G.; Gai, Q.-Y.; Li, X.-J.; Wei, F.-Y.; Fu, Y.-J.; Ma, W. Microwave-assisted aqueous enzymatic extraction of oil from pumpkin seeds and evaluation of its physicochemical properties, fatty acid compositions and antioxidant activities. Food Chem. 2014, 147, 17–24. [Google Scholar] [CrossRef]
- Mitra, P.; Ramaswamy, H.S.; Chang, K.S. Pumpkin (Cucurbita maxima) seed oil extraction using supercritical carbon dioxide and physicochemical properties of the oil. J. Food Eng. 2009, 95, 208–213. [Google Scholar] [CrossRef]
- Rezig, L.; Chouaibi, M.; Msaada, K.; Hamdi, S. Chemical composition and profile characterisation of pumpkin (Cucurbita maxima) seed oil. Ind. Crop. Prod. 2012, 37, 82–87. [Google Scholar] [CrossRef]
- Kim, M.Y.; Kim, E.J.; Kim, Y.-N.; Choi, C.; Lee, B.-H. Comparison of the chemical compositions and nutritive values of various pumpkin (Cucurbitaceae) species and parts. Nutr. Res. Pract. 2012, 6, 21–27. [Google Scholar] [CrossRef] [Green Version]
- Patel, S.; Rauf, A. Edible seeds from Cucurbitaceae family as potential functional foods: Immense promises, few concerns. Biomed. Pharmacother. 2017, 91, 330–337. [Google Scholar] [CrossRef]
- Sun, J.; Yin, G.; Du, P.; Chen, L. Optimization of extraction technique of polysaccharides from pumpkin by response surface method. J. Med. Plants Res. 2011, 5, 2218–2222. [Google Scholar]
- Wang, L.; Cheng, L.; Liu, F.; Li, T.; Yu, Z.; Xu, Y.; Yang, Y. Optimization of Ultrasound-Assisted Extraction and Structural Characterization of the Polysaccharide from Pumpkin (Cucurbita moschata) Seeds. Molecules 2018, 23, 1207. [Google Scholar] [CrossRef] [Green Version]
- Abdul-Hamid, A.; Luan, Y.S. Functional properties of dietary fibre prepared from defatted rice bran. Food Chem. 2000, 68, 15–19. [Google Scholar] [CrossRef]
- Rabrenović, B.B.; Dimić, E.B.; Novaković, M.M.; Tešević, V.V.; Basić, Z.N. The most important bioactive components of cold pressed oil from different pumpkin (Cucurbita pepo L.) seeds. LWT-Food Sci. Technol. 2014, 55, 521–527. [Google Scholar] [CrossRef]
- Apostol, L.; Berca, L.; Mosoiu, C.; Badea, M.; Bungau, S.; Oprea, O.B.; Cioca, G. Partially Defatted Pumpkin (Cucurbita maxima) Seeds–a Rich Source of Nutrients for Use in Food Products. Rev. Chim. 2018, 69, 1398–1402. [Google Scholar] [CrossRef]
- Mantzouridou, F.; Karousioti, A.; Kiosseoglou, V. Formulation optimization of a potentially prebiotic low-in-oil oat-based salad dressing to improve Lactobacillus paracasei subsp. paracasei survival and physicochemical characteristics. LWT-Food Sci. Technol. 2013, 53, 560–568. [Google Scholar] [CrossRef]
- Yoo, B.; Rao, M. Creep and dynamic rheological behavior of tomato concentrates: Effect of concentration and finisher screen size. J. Texture Stud. 1996, 27, 451–459. [Google Scholar] [CrossRef]
- Toker, O.S.; Karasu, S.; Yilmaz, M.T.; Karaman, S. Three interval thixotropy test (3ITT) in food applications: A novel technique to determine structural regeneration of mayonnaise under different shear conditions. Food Res. Int. 2015, 70, 125–133. [Google Scholar] [CrossRef]
- Tekin, Z.H.; Avci, E.; Karasu, S.; Toker, O.S. Rapid determination of emulsion stability by rheology-based thermal loop test. LWT 2020, 122, 109037. [Google Scholar] [CrossRef]
- Aksoy, F.S.; Tekin-Cakmak, Z.H.; Karasu, S.; Aksoy, A.S. Oxidative stability of the salad dressing enriched by microencapsulated phenolic extracts from cold-pressed grape and pomegranate seed oil by-products evaluated using OXITEST. Food Sci. Technol. 2021. [Google Scholar] [CrossRef]
- Lai, L.-S.; Lin, P.-H. Application of decolourised hsian-tsao leaf gum to low-fat salad dressing model emulsions: A rheological study. J. Sci. Food Agric. 2004, 84, 1307–1314. [Google Scholar] [CrossRef]
- Bortnowska, G.; Balejko, J.; Tokarczyk, G.; Romanowska-Osuch, A.; Krzemińska, N. Effects of pregelatinized waxy maize starch on the physicochemical properties and stability of model low-fat oil-in-water food emulsions. Food Hydrocoll. 2014, 36, 229–237. [Google Scholar] [CrossRef]
- Figoni, P.I.; Shoemaker, C.F. Characterization of time dependent flow properties of mayonnaise under steady shear. J. Texture Stud. 1983, 14, 431–442. [Google Scholar] [CrossRef]
- Franco, J.M.; Guerrero, A.; Gallegos, C. Influence of oil and emulsifier concentrations on the rheological properties of oil-in-water salad dressing food emulsions. Grasas y Aceites 1995, 46, 108–114. [Google Scholar] [CrossRef]
- Utrilla-Coello, R.; Hernández-Jaimes, C.; Carrillo-Navas, H.; González, F.; Rodríguez, E.; Bello-Pérez, L.; Vernon-Carter, E.J.; Alvarez-Ramirez, J. Acid hydrolysis of native corn starch: Morphology, crystallinity, rheological and thermal properties. Carbohydr. Polym. 2014, 103, 596–602. [Google Scholar] [CrossRef] [PubMed]
- Maphosa, Y.; Jideani, V.A. Factors Affecting the Stability of Emulsions Stabilised by Biopolymers. In Science and Technology Behind Nanoemulsions; IntechOpen: London, UK, 2018; p. 65. [Google Scholar] [CrossRef] [Green Version]
- Dogan, H.; Kokini, J.L. Rheological Properties of Foods, in Handbook of Food Engineering; CRC Press: Boca Raton, FL, USA, 2006; pp. 13–136. [Google Scholar]
- Jimenez-Colmenero, F.; Cofrades, S.; Herrero, A.M.; Solas, M.; Ruiz-Capillas, C. Konjac gel for use as potential fat analogue for healthier meat product development: Effect of chilled and frozen storage. Food Hydrocoll. 2013, 30, 351–357. [Google Scholar] [CrossRef]
- Li, J.; Wang, Y.; Jin, W.; Zhou, B.; Li, B. Application of micronized konjac gel for fat analogue in mayonnaise. Food Hydrocoll. 2014, 35, 375–382. [Google Scholar] [CrossRef]
- Ma, L.; Barbosa-Cánovas, G. Rheological characterization of mayonnaise. Part II: Flow and viscoelastic properties at different oil and xanthan gum concentrations. J. Food Eng. 1995, 25, 409–425. [Google Scholar] [CrossRef]
- Junqueira, L.A.; Amaral, T.N.; Oliveira, N.L.; Prado, M.E.T.; De Resende, J.V. Rheological behavior and stability of emulsions obtained from Pereskia aculeata Miller via different drying methods. Int. J. Food Prop. 2018, 21, 21–35. [Google Scholar] [CrossRef] [Green Version]
- Manshadi, A.D.; Peighambardoust, S.H.; Azadmard-Damirchi, S.; Niakosari, M. Oxidative and physical stability, rheological properties and sensory characteristics of ‘salad dressing’ samples formulated with flaxseed oil and n-OSA starch. J. Food Meas. Charact. 2018, 13, 26–33. [Google Scholar] [CrossRef]
- Farhoosh, R. A Kinetic Approach to Evaluate the Structure-Based Performance of Antioxidants During Lipid Oxidation. J. Food Sci. 2018, 83, 101–107. [Google Scholar] [CrossRef]
- Farhoosh, R.; Hoseini-Yazdi, S.-Z. Evolution of Oxidative Values during Kinetic Studies on Olive Oil Oxidation in the Rancimat Test. J. Am. Oil Chem. Soc. 2014, 91, 281–293. [Google Scholar] [CrossRef]
- Farhoosh, R.; Niazmand, R.; Rezaei, M.; Sarabi, M. Kinetic parameter determination of vegetable oil oxidation under Rancimat test conditions. Eur. J. Lipid Sci. Technol. 2008, 110, 587–592. [Google Scholar] [CrossRef]
- Hashemi, S.M.B.; Brewer, M.S.; Safari, J.; Nowroozi, M.; Sherahi, M.H.A.; Sadeghi, B.; Ghafoori, M. Antioxidant Activity, Reaction Mechanisms, and Kinetics ofMatricaria recutitaExtract in Commercial Blended Oil Oxidation. Int. J. Food Prop. 2016, 19, 257–271. [Google Scholar] [CrossRef] [Green Version]









| POB (%) | XG (%) | EYP (%) | Oil (%) | K (Pa·sn) | n | R2 | |
|---|---|---|---|---|---|---|---|
| POB-1 | 3.0 | 0.3 | 3.00 | 30.0 | 8.60 ± 0.13 | 0.26 ± 0.00 | 1.00 ± 0.00 |
| POB-2 | 1.0 | 0.4 | 3.00 | 30.0 | 9.86 ± 0.04 | 0.22 ± 0.00 | 1.00 ± 0.00 |
| POB-3 | 3.0 | 0.4 | 3.00 | 20.0 | 9.09 ± 0.08 | 0.20 ± 0.00 | 0.99 ± 0.00 |
| POB-4 | 1.0 | 0.2 | 3.00 | 30.0 | 5.60 ± 0.06 | 0.29 ± 0.00 | 1.00 ± 0.00 |
| POB-5 | 1.0 | 0.4 | 3.00 | 10.0 | 6.41 ± 0.04 | 0.18 ± 0.00 | 1.00 ± 0.00 |
| POB-6 | 1.0 | 0.3 | 3.00 | 20.0 | 4.60 ± 0.04 | 0.23 ± 0.00 | 0.99 ± 0.00 |
| POB-7 | 3.0 | 0.2 | 3.00 | 20.0 | 5.05 ± 0.06 | 0.30 ± 0.00 | 1.00 ± 0.00 |
| POB-8 | 3.0 | 0.3 | 3.00 | 10.0 | 7.84 ± 0.02 | 0.24 ± 0.00 | 0.99 ± 0.00 |
| POB-9 | 3.0 | 0.3 | 3.00 | 20.0 | 5.12 ± 0.02 | 0.25 ± 0.00 | 1.00 ± 0.00 |
| POB-10 | 5.0 | 0.4 | 3.00 | 30.0 | 16.11 ± 0.18 | 0.23 ± 0.00 | 1.00 ± 0.00 |
| POB-11 | 5.0 | 0.2 | 3.00 | 30.0 | 9.56 ± 0.31 | 0.28 ± 0.01 | 1.00 ± 0.00 |
| POB-12 | 3.0 | 0.3 | 3.00 | 20.0 | 5.16 ± 0.04 | 0.24 ± 0.00 | 1.00 ± 0.00 |
| POB-13 | 1.0 | 0.2 | 3.00 | 10.0 | 3.75 ± 0.01 | 0.29 ± 0.00 | 1.00 ± 0.00 |
| POB-14 | 3.0 | 0.3 | 3.00 | 20.0 | 5.14 ± 0.01 | 0.25 ± 0.00 | 1.00 ± 0.00 |
| POB-15 | 5.0 | 0.4 | 3.00 | 10.0 | 8.95 ± 0.04 | 0.20 ± 0.00 | 0.99 ± 0.00 |
| POB-16 | 5.0 | 0.2 | 3.00 | 10.0 | 5.95 ± 0.01 | 0.29 ± 0.01 | 1.00 ± 0.00 |
| POB-17 | 5.0 | 0.3 | 3.00 | 20.0 | 6.54 ± 0.72 | 0.24 ± 0.01 | 1.00 ± 0.00 |
| POB (%) | XG (%) | Oil (%) | |||||||
|---|---|---|---|---|---|---|---|---|---|
| K′ | n′ | R2 | K″ | n″ | R2 | ||||
| POB-1 | 3.0 | 0.3 | 30.0 | 19.61 ± 0.31 | 0.28 ± 0.02 | 0.99 ± 0.00 | 7.98 ± 0.10 | 0.19 ± 0.00 | 0.98 ± 0.00 |
| POB-2 | 1.0 | 0.4 | 30.0 | 24.07 ± 0.82 | 0.25 ± 0.01 | 0.99 ± 0.01 | 8.38 ± 0.27 | 0.20 ± 0.04 | 0.96 ± 0.02 |
| POB-3 | 3.0 | 0.4 | 20.0 | 24.89 ± 0.78 | 0.25 ± 0.02 | 0.99 ± 0.00 | 9.28 ± 0.20 | 0.16 ± 0.00 | 0.98 ± 0.00 |
| POB-4 | 1.0 | 0.2 | 30.0 | 4.32 ± 0.06 | 0.46 ± 0.01 | 0.98 ± 0.01 | 3.09 ± 0.02 | 0.23 ± 0.01 | 0.99 ± 0.00 |
| POB-5 | 1.0 | 0.4 | 10.0 | 6.83 ± 0.04 | 0.37 ± 0.02 | 0.97 ± 0.01 | 3.11 ± 0.29 | 0.22 ± 0.00 | 0.93 ± 0.03 |
| POB-6 | 1.0 | 0.3 | 20.0 | 5.06 ± 0.28 | 0.42 ± 0.03 | 0.98 ± 0.00 | 2.79 ± 0.46 | 0.27 ± 0.01 | 0.95 ± 0.02 |
| POB-7 | 3.0 | 0.2 | 20.0 | 7.66 ± 0.08 | 0.36 ± 0.01 | 0.98 ± 0.01 | 3.94 ± 0.07 | 0.22 ± 0.02 | 0.99 ± 0.00 |
| POB-8 | 3.0 | 0.3 | 10.0 | 8.69 ± 0.10 | 0.34 ± 0.06 | 0.98 ± 0.01 | 4.00 ± 0.02 | 0.20 ± 0.01 | 0.99 ± 0.00 |
| POB-9 | 3.0 | 0.3 | 20.0 | 20.87 ± 0.08 | 0.20 ± 0.01 | 1.00 ± 0.00 | 7.31 ± 0.12 | 0.16 ± 0.01 | 0.95 ± 0.02 |
| POB-10 | 5.0 | 0.4 | 30.0 | 93.40 ± 2.54 | 0.17 ± 0.03 | 1.00 ± 0.00 | 28.88 ± 1.16 | 0.12 ± 0.00 | 0.98 ± 0.01 |
| POB-11 | 5.0 | 0.2 | 30.0 | 35.40 ± 0.41 | 0.22 ± 0.04 | 0.99 ± 0.00 | 11.97 ± 0.19 | 0.18 ± 0.02 | 0.96 ± 0.02 |
| POB-12 | 3.0 | 0.3 | 20.0 | 22.06 ± 0.24 | 0.24 ± 0.02 | 0.99 ± 0.00 | 7.96 ± 0.09 | 0.17 ± 0.15 | 0.93 ± 0.03 |
| POB-13 | 1.0 | 0.2 | 10.0 | 0.64 ± 0.09 | 0.81 ± 0.07 | 0.98 ± 0.01 | 0.94 ± 0.04 | 0.35 ± 0.01 | 0.94 ± 0.05 |
| POB-14 | 3.0 | 0.3 | 20.0 | 15.80 ± 0.54 | 0.28 ± 0.01 | 0.99 ± 0.00 | 6.74 ± 0.52 | 0.17 ± 0.03 | 0.96 ± 0.02 |
| POB-15 | 5.0 | 0.4 | 10.0 | 43.45 ± 1.07 | 0.18 ± 0.00 | 0.99 ± 0.00 | 17.23 ± 0.89 | 0.09 ± 0.00 | 0.99 ± 0.00 |
| POB-16 | 5.0 | 0.2 | 10.0 | 13.18 ± 0.02 | 0.29 ± 0.01 | 0.98 ± 0.01 | 5.48 ± 0.18 | 0.20 ± 0.02 | 0.98 ± 0.00 |
| POB-17 | 5.0 | 0.3 | 20.0 | 37.81 ± 0.35 | 0.21 ± 0.03 | 0.99 ± 0.00 | 13.12 ± 0.05 | 0.15 ± 0.02 | 0.95 ± 0.02 |
| POB (%) | XG (%) | Oil (%) | k | Ge | G0 | k × 1000 | Ge/Go | R2 | |
|---|---|---|---|---|---|---|---|---|---|
| POB-1 | 3.0 | 0.3 | 30.0 | 0.07 ± 0.01 | 29.76 ± 0.38 | 24.22 ± 0.54 | 67.80 | 1.23 | 0.98 ± 0.00 |
| POB-2 | 1.0 | 0.4 | 30.0 | 0.05 ± 0.03 | 50.61 ± 2.69 | 42.23 ± 0.47 | 53.97 | 1.20 | 0.96 ± 0.02 |
| POB-3 | 3.0 | 0.4 | 20.0 | 0.05 ± 0.00 | 29.64 ± 0.44 | 24.88 ± 0.00 | 52.27 | 1.19 | 1.00 ± 0.00 |
| POB-4 | 1.0 | 0.2 | 30.0 | 0.04 ± 0.00 | 11.21 ± 0.23 | 9.67 ± 0.26 | 41.97 | 1.16 | 0.99 ± 0.00 |
| POB-5 | 1.0 | 0.4 | 10.0 | 0.04 ± 0.01 | 14.20 ± 0.86 | 12.71 ± 0.30 | 36.54 | 1.12 | 1.00 ± 0.00 |
| POB-6 | 1.0 | 0.3 | 20.0 | 0.04 ± 0.02 | 13.07 ± 0.54 | 11.67 ± 0.26 | 37.79 | 1.12 | 0.99 ± 0.00 |
| POB-7 | 3.0 | 0.2 | 20.0 | 0.03 ± 0.00 | 11.20 ± 1.17 | 10.47 ± 0.65 | 27.44 | 1.07 | 0.99 ± 0.00 |
| POB-8 | 3.0 | 0.3 | 10.0 | 0.03 ± 0.03 | 12.10 ± 0.10 | 10.90 ± 0.14 | 34.36 | 1.11 | 0.95 ± 0.04 |
| POB-9 | 3.0 | 0.3 | 20.0 | 0.03 ± 0.00 | 26.45 ± 0.00 | 24.11 ± 0.00 | 33.55 | 1.10 | 0.99 ± 0.00 |
| POB-10 | 5.0 | 0.4 | 30.0 | 0.13 ± 0.01 | 90.85 ± 1.03 | 60.19 ± 1.02 | 128.55 | 1.51 | 0.97 ± 0.00 |
| POB-11 | 5.0 | 0.2 | 30.0 | 0.09 ± 0.02 | 82.09 ± 2.71 | 57.24 ± 2.09 | 87.49 | 1.43 | 0.97 ± 0.00 |
| POB-12 | 3.0 | 0.3 | 20.0 | 0.03 ± 0.00 | 26.52 ± 0.00 | 24.40 ± 0.00 | 30.11 | 1.09 | 0.99 ± 0.00 |
| POB-13 | 1.0 | 0.2 | 10.0 | 0.02 ± 0.00 | 5.02 ± 0.11 | 5.61 ± 0.22 | 23.30 | 0.89 | 0.97 ± 0.00 |
| POB-14 | 3.0 | 0.3 | 20.0 | 0.03 ± 0.00 | 26.54 ± 0.00 | 24.32 ± 0.00 | 31.24 | 1.09 | 0.99 ± 0.00 |
| POB-15 | 5.0 | 0.4 | 10.0 | 0.05 ± 0.00 | 27.18 ± 1.50 | 22.61 ± 0.51 | 54.78 | 1.20 | 0.98 ± 0.00 |
| POB-16 | 5.0 | 0.2 | 10.0 | 0.03 ± 0.00 | 12.62 ± 0.42 | 11.64 ± 0.76 | 29.33 | 1.08 | 0.99 ± 0.00 |
| POB-17 | 5.0 | 0.3 | 20.0 | 0.06 ± 0.04 | 32.87 ± 0.68 | 27.21 ± 0.00 | 57.63 | 1.21 | 0.98 ± 0.00 |
| Source | df | K | ||
|---|---|---|---|---|
| Mean Square | F-Value | p-Value (Prob > F) | ||
| Model | 9 | 15.36 | 23.31 | 0.0002 |
| Linear | ||||
| A-POB | 1 | 25.25 | 38.31 | 0.0004 |
| B-XG | 1 | 46.27 | 70.20 | < 0.0001 |
| C-Oil | 1 | 39.32 | 59.67 | 0.0001 |
| Cross Product | ||||
| AB | 1 | 1.65 | 2.50 | 0.1579 |
| AC | 1 | 5.23 | 7.94 | 0.0259 |
| BC | 1 | 2.15 | 3.27 | 0.1137 |
| Quadratic | ||||
| A2 | 1 | 0.2030 | 0.3081 | 0.5961 |
| B2 | 1 | 4.02 | 6.10 | 0.0429 |
| C2 | 1 | 5.06 | 7.68 | 0.0276 |
| Lack of Fit | 5 | 0.4052 | 0.3132 | 0.8722 |
| R-Squared | 0.9677 | |||
| Adj R-Squared | 0.9262 | |||
| Predicted R² | 0.8450 | |||
| Adeq Precision | 18.7793 | |||
| Rheological Analysis | Samples | |||
|---|---|---|---|---|
| HF-SD | LF-SD | POBLF-SD | ||
| Steady shear | K (Pasn) | 8.02 a | 3.78 b | 8.21 a |
| σ = K × γn | n | 0.21 b | 0.23 a | 0.19 c |
| R2 | 0.99 | 0.99 | 0.99 | |
| Frequency | ||||
| K′ | 13.80 b | 5.35 c | 15.78 a | |
| G′ = K′ × (ω)n′ | n′ | 0.17 b | 0.36 a | 0.14 c |
| R2 | 1.00 | 0.99 | 0.98 | |
| G″ = K″ × (ω)n″ | K″ | 5.74 a | 1.20 b | 6.16 a |
| n″ | 0.24 b | 0.37 a | 0.19 c | |
| R2 | 0.99 | 0.92 | 0.93 | |
| 3-ITT | G0 | 16.74 a | 6.87 b | 17.91 a |
| Ge | 20.65 b | 8.00 c | 22.85 a | |
| k | 0.05 b | 0.04 c | 0.06 a | |
| Ge/G0 | 1.23 b | 1.16 c | 1.28 a | |
| k × 1000 | 45.01 b | 43.32 c | 56.64 a | |
| R2 | 0.98 | 0.98 | 0.99 | |
| ζ-potential (mV) | −43.15 ± 0.93 b | −39.68 ± 0.75 a | −42.32 ± 0.68 b | |
| d32 (µm) | 4904.83 ± 143.01 b | 5196.00 ± 65.87 a | 3125.67 ± 32.79 c | |
| PdI | 0.90 ± 0.10 a | 0.27 ± 0.07 c | 0.65 ± 0.08 b | |
| Sample | Temperature (°C) | IP (h) | Ea (kJ/mol) | ΔH++ (kJ/mol) | ΔS++ (J/mol/K) | ΔG++ (kJ/mol) |
|---|---|---|---|---|---|---|
| HF-SD | 80 | 12.57 aB | 86.63 B | 89.38 B | 6.61 B | 87.05 |
| 90 | 3.20 bB | 86.98 | ||||
| 100 | 1.55 cB | 86.92 | ||||
| 110 | 1:03 dB | 86.85 | ||||
| LF-SD | 80 | 10.34 aC | 76.69 C | 94.53 A | 22.35 A | 86.64 |
| 90 | 2.58 bC | 86.41 | ||||
| 100 | 1.27 cC | 86.19 | ||||
| 110 | 0.45 dC | 85.97 | ||||
| POBLF-SD | 80 | 16.25 aA | 88.83 A | 77.86 C | −28.84 C | 88.04 |
| 90 | 6.20 bA | 88.33 | ||||
| 100 | 2.46 cA | 88.62 | ||||
| 110 | 1.29 sA | 88.91 |
Publisher’s Note: MDPI stays neutral with regard to jurisdictional claims in published maps and institutional affiliations. |
© 2021 by the authors. Licensee MDPI, Basel, Switzerland. This article is an open access article distributed under the terms and conditions of the Creative Commons Attribution (CC BY) license (https://creativecommons.org/licenses/by/4.0/).
Share and Cite
Tekin-Cakmak, Z.H.; Atik, I.; Karasu, S. The Potential Use of Cold-Pressed Pumpkin Seed Oil By-Products in a Low-Fat Salad Dressing: The Effect on Rheological, Microstructural, Recoverable Properties, and Emulsion and Oxidative Stability. Foods 2021, 10, 2759. https://doi.org/10.3390/foods10112759
Tekin-Cakmak ZH, Atik I, Karasu S. The Potential Use of Cold-Pressed Pumpkin Seed Oil By-Products in a Low-Fat Salad Dressing: The Effect on Rheological, Microstructural, Recoverable Properties, and Emulsion and Oxidative Stability. Foods. 2021; 10(11):2759. https://doi.org/10.3390/foods10112759
Chicago/Turabian StyleTekin-Cakmak, Zeynep Hazal, Ilker Atik, and Salih Karasu. 2021. "The Potential Use of Cold-Pressed Pumpkin Seed Oil By-Products in a Low-Fat Salad Dressing: The Effect on Rheological, Microstructural, Recoverable Properties, and Emulsion and Oxidative Stability" Foods 10, no. 11: 2759. https://doi.org/10.3390/foods10112759
APA StyleTekin-Cakmak, Z. H., Atik, I., & Karasu, S. (2021). The Potential Use of Cold-Pressed Pumpkin Seed Oil By-Products in a Low-Fat Salad Dressing: The Effect on Rheological, Microstructural, Recoverable Properties, and Emulsion and Oxidative Stability. Foods, 10(11), 2759. https://doi.org/10.3390/foods10112759

