Abstract
The eight new copper(II), nickel(II), zinc(II), and iron(III) coordination compounds [Cu(L)Cl]2 (1), [Cu(L)Br]2 (2), [Cu(L)(NO3)]2 (3), [Cu(phen)(L)]NO3 (4), [Ni(HL)2](NO3)2·H2O (5), [Ni(HL)2]Cl2 (6), [Zn(L)2]·0.125H2O (7), and [Fe(L)2]Cl (8), where HL stands for 2-benzoylpyridine 4-allylthiosemicarbazone, were synthesized and characterized. 1H, 13C NMR, and FTIR spectroscopies were used for characterization of the HL thiosemicarbazone. The elemental analysis, the FTIR spectroscopy, and the study of molar electrical conductivity were used for characterization of the coordination compounds 1–8. Also, the crystal structures of HL, its salts ([H2L]Cl; [H2L]NO3), and complexes 1, 3, 5, 7, and 8 were determined using single-crystal X-ray diffraction analysis. Complexes 5, 7, 8 have mononuclear structures, while copper(II) complexes 1 and 3 have a dimeric structure with the sulfur atoms of the thiosemicarbazone ligand bridging two copper atoms together. Thiosemicarbazone HL and the complexes manifest antibacterial and antifungal activities. The studied substances are more active towards Gram-negative bacteria than towards Gram-positive bacteria and fungi. Complex 1 is the most active one towards Gram-positive bacteria and C. albicans, while the introduction of 1,10-phenanthroline into the inner sphere enhances the activity towards Gram-negative bacteria. Thiosemicarbazone and complexes 6 and 7 manifest antiradical activity that exceeds the activity of Trolox. HL and complex 1 manifest antiproliferative activity towards HL-60 cancer cells which exceeds the activity of their analogs with 2-formyl-/2-acetylpyridine 4-allylthiosemicarbazone.
1. Introduction
Thiosemicarbazones are an interesting class of chemical compounds with significant biological and therapeutic properties. They have been utilized in the treatment of leukemia [1] and have demonstrated efficacy against various diseases, including leprosy, tuberculosis, and smallpox [2,3].
Earlier studies on the biological properties of thiosemicarbazones and their metal complexes have indicated that the most active molecules typically possess a planar structure and contain a pyridine ring or a related moiety, enabling NNS-type tridentate coordination [4]. In several instances, relocating the thiosemicarbazone side chain from the 2-position on the pyridine ring to either the 3- or 4-position has been associated with a reduction in biological activity, likely due to a reduction in coordination efficiency. Furthermore, investigations into N(4)-substituted thiosemicarbazones suggest that introducing an additional potential donor site or incorporating bulky substituents at the N(4) position can significantly enhance their biological performance [5].
2-Benzoylpyridine N(4)-substituted thiosemicarbazones are described in the literature as substances that possess different types of biological activity. The authors report that 2-benzoylpyridine 4-(o-, m-, and p-tolyl)thiosemicarbazones were more cytotoxic than their palladium(II) complexes and the drug cisplatin, which was used as a reference, against the three leukemia cell lineages Jurkat, HL60, HL60.Bcl-XL [6]. The palladium(II) [7], ruthenium(II) [8], and tin(IV) [9] complexes of 2-benzoylpyridine N(4)-substituted thiosemicarbazones present cytotoxic activity against MCF-7, TK-10, and UACC-62 human tumor cell lines and are able to induce cell death by apoptosis. Besides this, these thiosemicarbazones exhibit antifungal activity, and the results were higher for 2-benzoylpyridine N(4)-substituted thiosemicarbazones than for the unsubstituted ones against Candida albicans [10]. The study of antimicrobial activity showed that the coordination compounds of 2-benzoylpyridine 4-phenylthiosemicarbazone were more active against some microorganisms than the thiosemicarbazone [11].
Recently, we have reported a series of some 3d metal complexes with 2-formylpyridine 4-allylthiosemicarbazone and the results of their antiproliferative, antibacterial, antifungal, and antioxidant properties, and their toxicity [12]. It is of interest to us to study how the replacement of the 2-formylpyridine fragment with 2-benzoylpyridine in the composition of 4-allylthiosemicarbazone will affect its physical properties, its ability to coordinate, and the biochemical activity of its complexes.
The aim of the present Investigation Is the synthesis, characterization, and study of the antimicrobial, antifungal, antiradical, and anticancer activity of 2-benzoylpyridine 4-allylthiosemicarbazone (HL) (Figure 1) and its new copper(II), nickel(II), zinc(II), and iron(III) complexes.
Figure 1.
The structural formula of 2-benzoylpyridine 4-allylthiosemicarbazone (HL) with C-atom numbering for the NMR spectra.
2. Results and Discussions
In this work, we studied some coordination compounds of copper(II), nickel(II), zinc(II), and iron(III) with 2-benzoylpyridine 4-allylthiosemicarbazone. In order to obtain these complexes, initially, we synthesized 2-benzoylpyridine 4-allylthiosemicarbazone (HL) [13]. As ketones react slowly with thiosemicarbazides, a catalytic amount of glacial acetic acid was used for this synthesis [14] (Scheme 1).
Scheme 1.
One-step synthesis of 2-benzoylpyridine 4-allylthiosemicarbazone (HL).
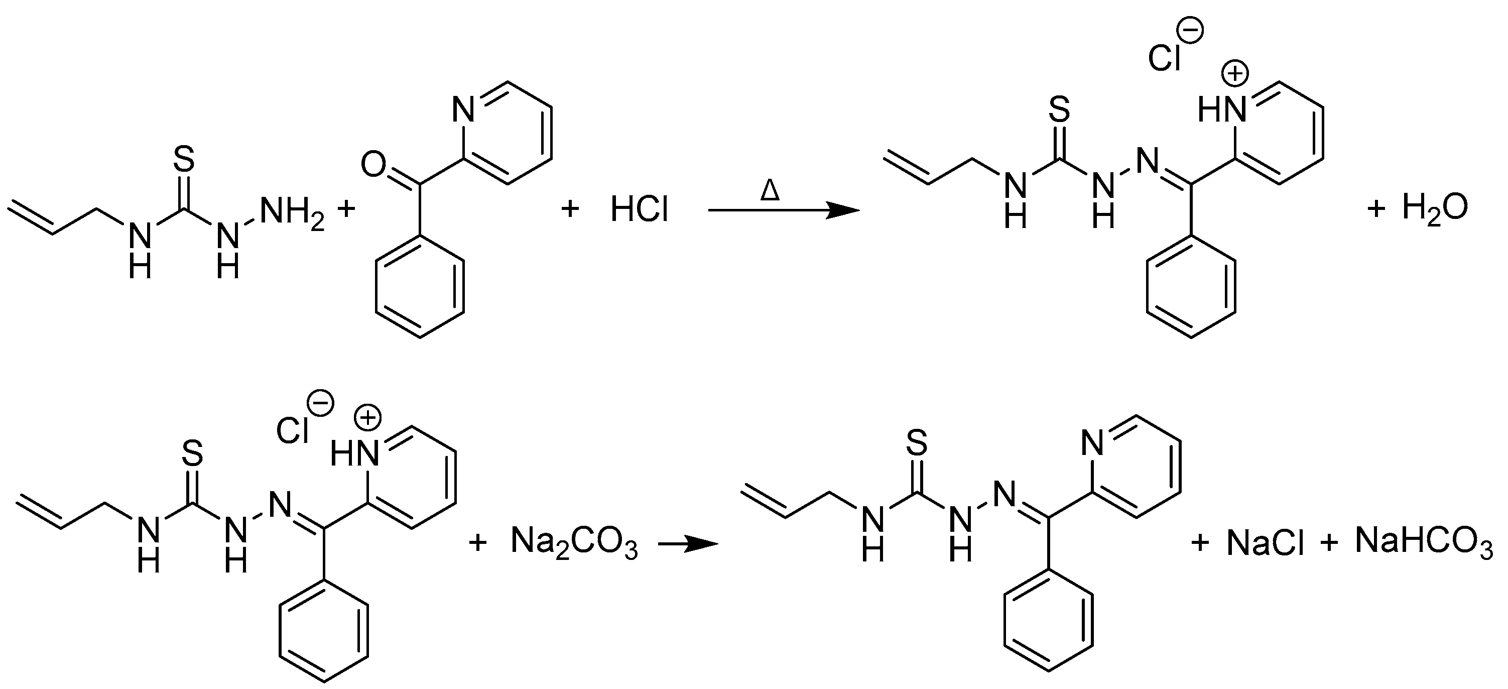
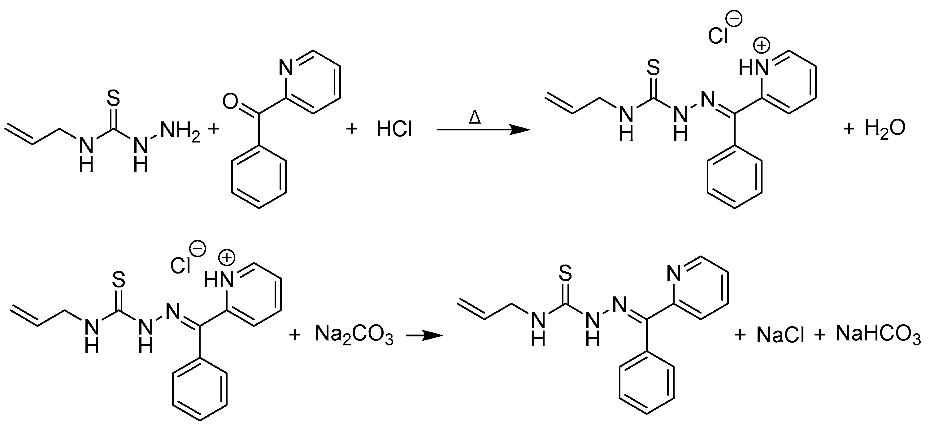
Nonetheless, continuous heating for up to 8 h was necessary to perform this reaction. Therefore, another two-step method was also used for the synthesis of this thiosemicarbazone as an analog of the method described in [15] (Scheme 2). In this method, equimolar amounts of 4-allylthiosemicarbazide, 2-benzoylpyridine, and a concentrated aqueous solution of hydrochloric acid were placed in the flask. The reaction was finalized within 40 min. As a result, the hydrochloric salt of the corresponding thiosemicarbazone ([H2L] Cl) was precipitated. It was separated by filtration and then treated with cold ethanol in small amounts. After that, the obtained salt was treated with an aqueous solution of sodium carbonate, forming the desired thiosemicarbazone. This method is a huge improvement in terms of time.
Scheme 2.
Two-step synthesis of 2-benzoylpyridine 4-allylthiosemicarbazone (HL).
Both methods gave the same product HL. Its structure was confirmed using the 1H and 13C NMR study (Figures S1 and S2). Its spectra are consistent with the data available in the literature [13]. There are three multiplets in the region of 6.0–4.3 ppm of the 1H NMR spectrum that stand for hydrogen atoms of the allyl moiety of the thiosemicarbazone, and also signals of the aromatic protons in the range of 8.9–7.3 ppm. Broad singlets at 13.49 and 8.59 ppm correspond to the hydrogen atoms of the NH groups. The 13C NMR spectrum contains a characteristic signal at 178.89 ppm, which corresponds to the carbon atom of the C=S group, signals of the other carbon atoms in the sp2-hybridization state in the range of 152–115 ppm, as well as one signal of the carbon atom from the allyl moiety, which is in the sp3 state of hybridization.
As a result of recrystallization from acetone and ethanol, single crystals of both 2-benzoylpyridine 4-allylthiosemicarbazone (HL) and 2-(phenyl{2-[(prop-2-en-1-yl)carbamothioyl]hydrazinylidene}methyl)pyridin-1-ium chloride ([H2L]Cl) were obtained. Moreover, by treating an ethanol solution of HL with 1 M aqua solution of nitric acid, single crystals of 2-(phenyl{2-[(prop-2-en-1-yl)carbamothioyl]hydrazinylidene}methyl)pyridin-1-ium nitrate ([H2L]NO3) were obtained [16].
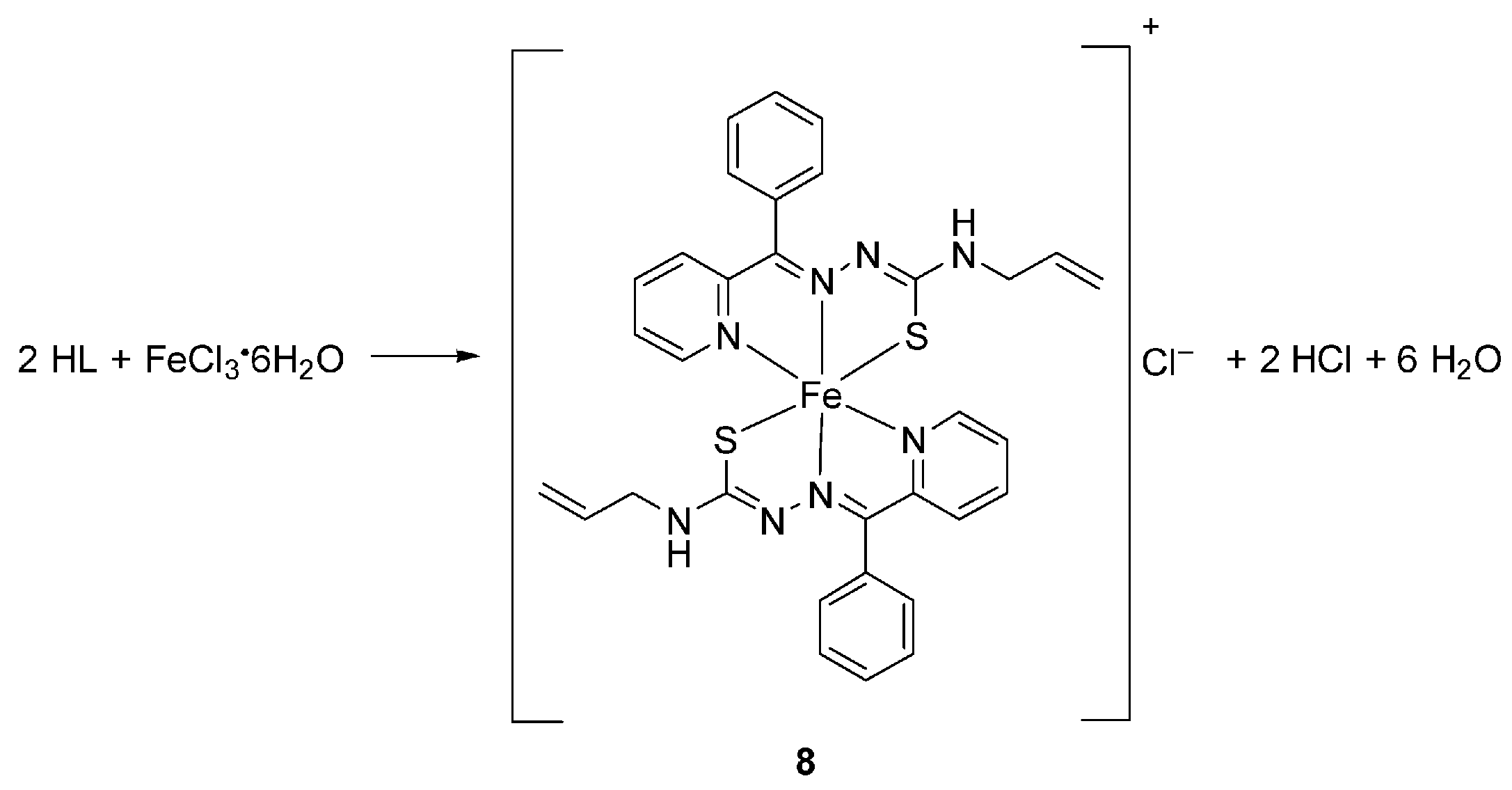
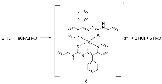
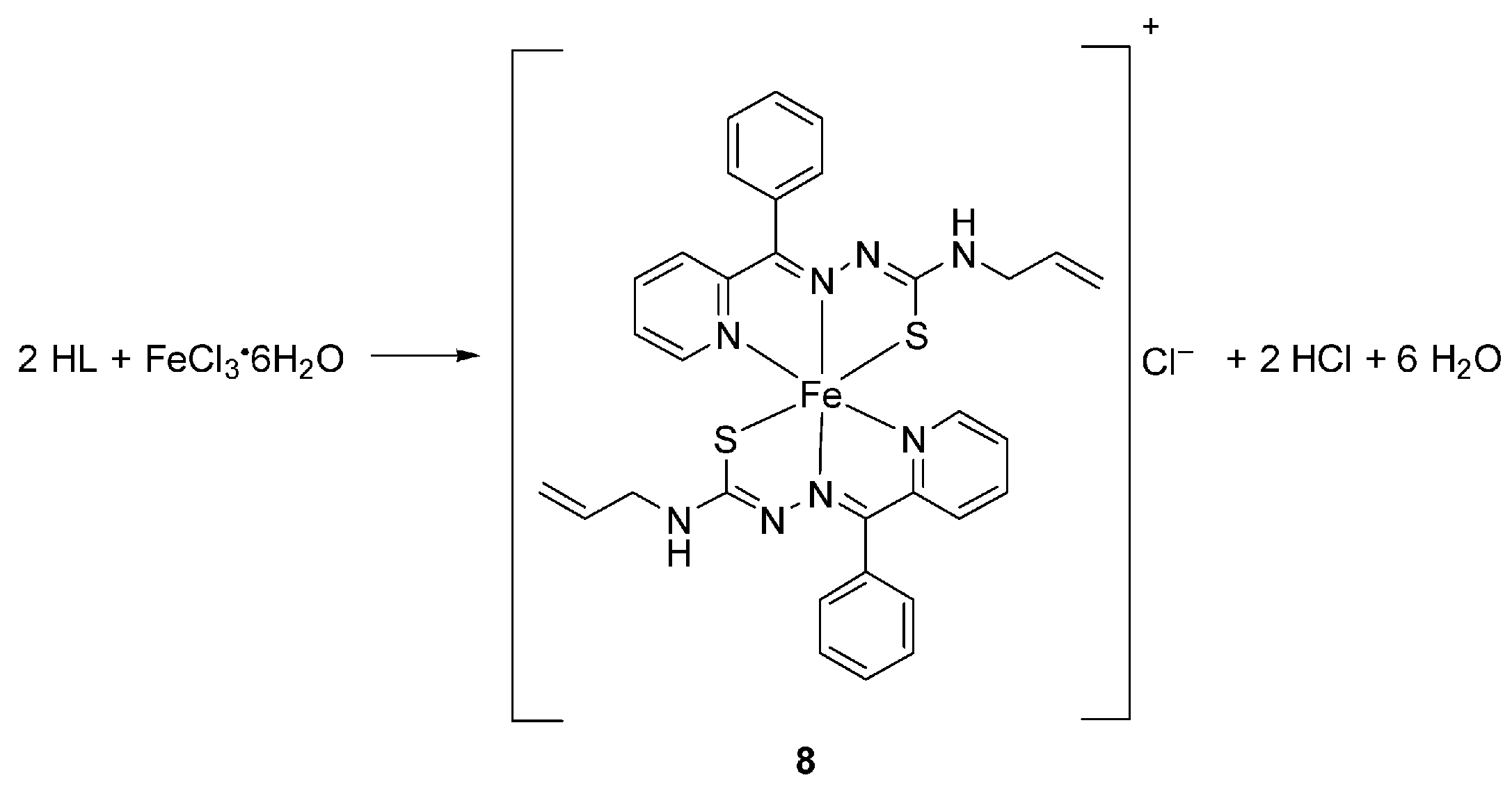
Eight new Cu(II), Ni(II), Zn(II), and Fe(III) coordination compounds with HL were obtained (Scheme 3). Copper(II) complexes 1–3 were synthesized by the interaction of the corresponding copper(II) chloride dihydrate (1), copper(II) bromide (2), and copper(II) nitrate trihydrate (3) with the HL solution in ethanol in a 1:1 molar ratio. Mixed-ligand copper(II) coordination compound 4 was obtained by the interaction of an ethanol solution of complex 3 with 1,10-phenanthroline taken in a 1:2 molar ratio. Coordination compounds of nickel(II), zinc(II), and iron(III) were obtained by the interaction of nickel(II) nitrate hexahydrate (5), nickel(II) chloride hexahydrate (6), zinc(II) acetate dihydrate (7), and iron(III) chloride hexahydrate (8) with the ethanol solution of HL in a 1:2 molar ratio. The composition of the obtained complexes can be described by the following formula: [Cu(L)Cl]2 (1), [Cu(L)Br]2 (2), [Cu(L)(NO3)]2 (3), [Cu(phen)(L)]NO3 (4) (phen = 1,10-phenanthroline), [Ni(HL)2](NO3)2·H2O (5), [Ni(HL)2]Cl2 (6), [Zn(L)2]·0.125H2O (7), and [Fe(L)2]Cl (8).


Scheme 3.
Synthesis of the coordination compounds 1–8.
All coordination compounds of copper(II) (1–4) as well as iron(III) coordination compound (8) in methanol solution behave as a 1:1 type of electrolyte as their molar conductivity values are in the range of 80–113 Ω−1∙cm2∙mol−1. In the case of complexes 1–3, it can be explained by the substitution of the acid residue from the inner sphere by the neutral molecule of solvent. Nickel(II) coordination compounds 5 and 6 have molar conductivity values of 181 and 148 Ω−1∙cm2∙mol−1, respectively. Thus, they are electrolytes of the 1:2 type. It means that in this case, thiosemicarbazone HL coordinates to the nickel(II) central ion in its non-deprotonated form, and two anions of the acid residue are in the outer sphere for the compensation of the +2 charge of the complex cations. Zinc(II) coordination compound 7 is a non-electrolyte. Thus, acetate ions that behave as a weak base facilitate the deprotonation of HL thiosemicarbazone in the process of coordination.
The FTIR spectra (Figures S3–S11) of complexes 1–8 were analyzed in comparison with those of the thiosemicarbazone HL in order to identify the spectral changes associated with the coordination of the ligand to the central metal ion. The test results showed that the synthesized thiosemicarbazone HL coordinates to the central metal atom using two nitrogen atoms and a sulfur atom. In the FTIR spectra of complexes 1–4 and 7–8, the ν(NH) stretching band shifts 44–46 cm−1 to lower wavenumbers, and the second ν(NH) band is no longer visible. This suggests that the thiosemicarbazone HL loses a proton when it binds to copper(II), iron(III), and zinc(II) ions. Additionally, the disappearance of the ν(C=S) band and the appearance of a new ν(C–S) band further support that HL is deprotonated upon coordination in these complexes. In the composition of nickel complexes (5,6), thiosemicarbazone HL is not deprotonated, which is confirmed by the preservation of two ν(NH) absorption bands in the spectrum, with a shift to the low-frequency region. The absorption bands ν(C=S) are also presented in the FTIR spectrum of complexes 5 and 6 and shifted to the high-frequency region by 18–39 cm−1. These results show that thiosemicarbazone HL remains in its thione form in the nickel complexes 5 and 6.
The crystals of HL, [H2L]Cl, and [H2L]NO3 belong to the monoclinic P21/c space group (Table 1), and their structure reveals that the planar (within ±0.08 Å) thiosemicarbazone fragment has an E-configuration in both the neutral and cationic forms with protonated N1 atom of pyridine substituent (Figure 2). The orientation of the pyridine fragment in the structure of HL is stabilized by the intramolecular N3–H···N1 = 2.669(3) Å H-bond, (Table 2). The dihedral angles between the mean planes of the thiosemicarbazone fragment and the pyridine and phenyl rings are 24.7(1)° and 41.7(1)°, respectively. In contrast to HL, the protonated cationic ligand [H2L]+ in the structures of [H2L]Cl and [H2L]NO3 has different positions for the pyridine and phenyl substituents in relation to the double azomethine bond N2–C2. In HL, the N3–N2=C2–C3 fragment has a Z-configuration, while in [H2L]Cl and [H2L]NO3 it has an E-configuration. Such an E-configuration is stabilized by charge-assisted hydrogen bonds with an anion: N1–H···Cl1 and N4–H···Cl1 in [H2L]Cl, and N1–H···O3 and N4–H···O3 in [H2L]NO3 (Table 2). The structure of [H2L]NO3 contains four identical formula units (a, b, c, and d) in the asymmetric part of the unit cell, Z′ = 4. One of these units is shown in Figure 2c. Overlaying the four [H2L]+ cations reveals differences in their conformations, which are primarily related to the orientation of the phenyl ring and the aryl substituent. The dihedral angles between the mean planes of the thiosemicarbazone fragment and the pyridine and phenyl ring are 7.5(1)° and 67.6(1)° in [H2L]Cl, and 1.2(2)° and 65.0 (1)° in a, 11.0 (2)° and 60.1(1)° in b, 1.4(2)° and 64.8(1)° in c, and 0.9(2)° and 63.6(1)° in d, respectively, in the structure [H2L]NO3. Thus, in the cationic form of [H2L]+, the protonated pyridine ring is approximately coplanar with the thiosemicarbazone fragment.
Table 1.
Crystal and Structure Refinement Date for HL, [H2L]Cl, [H2L]NO3, and 1, 3, 5, 7, and 8.
Figure 2.
The view of molecule HL (a); the formula unit in [H2L]Cl (b); one of four symmetry-independent identical units in [H2L]NO3 (c) with a numbering scheme; molecular overlay in [H2L]NO3, with molecule a shown by red, b—blue, c—cyan, and d—magenta colors (d).
Table 2.
Hydrogen Bond Distances (Å) and Angles (deg) for HL, [H2L]Cl, [H2L]NO3, and 1, 3, 5, 7, and 8.
The complexes 1 and 3 of copper(II) crystallize in the triclinic crystal system, specifically in the P space group (see Table 1). According to structural analysis, compound 1 forms a centrosymmetric, neutral dimer with Ci molecular symmetry, described by the formula [Cu(L)Cl]2. In this structure, the sulfur atoms labeled S1 serve as bridging ligands, linking the two monomeric units, which are arranged in an antiparallel configuration (Figure 3a). The structure of compound 3 also reveals a dimeric complex [Cu(L)(NO3)]2 built from two symmetry-independent monomeric complexes (Z′ = 2) with a molecular symmetry similar to C2, with the atoms S1a and S1b also acting as bridges (Figure 3b). In both compounds 1 and 3, the tridentate ligand binds to the copper ion in its mono-deprotonated (L−) form through a donor set comprising nitrogen–nitrogen–sulfur (NNS) atoms (Figure 3). This coordination results in the formation of two fused, nearly parallel five-membered metallacycles (CuSCNN and CuNCCN) with the dihedral angle between their average planes measured at 1.95° in complex 1, and at 1.95° and 1.32° for ligands a and b in complex 3, respectively. Coordination with Cu(II) leads to a configurational isomerization of the thiosemicarbazone fragment within L−, converting it from the E- to the Z-isomer, which promotes a stable tridentate chelating interaction. In the dimeric structure of complex 1, the Cu1 center is pentacoordinated and adopts a distorted square-pyramidal geometry (τ = 0.069), where the basal plane consists of Cl and NNS donor atoms, and the apex is occupied by a bridging sulfur atom. Meanwhile, in complex 3, both the Cu1 and Cu2 centers are hexacoordinated, displaying a distorted square-bipyramidal geometry (Table S1). There are NNOS atoms in the basal plane, a bridging sulfur atom at one of the vertices, and a weakly coordinated second oxygen atom from the nitrate anion at another vertex. The Cu1–S1* distance in 1 is 3.047(1) while the Cu1–S1b and Cu2–S1a distances in compound 3 are 2.856(2) and 2.793(2) Å, respectively (Table 3). The Cu1 atom displaces from the mean basal plane towards the bridging sulfur atom by 0.109 Å in 1, and by 0.093 Å (Cu1) and 0.069 Å (Cu2) in 3. In the crystals of 3, the dimeric complexes are linked in a supramolecular chain along the c-axis by N4a–H···O6 and N4b–H···O3 hydrogen bonds (Figure 3c, Table 2).
Figure 3.
Dimers in the structure of [Cu(L)Cl]2 (1) (a) and [Cu(L)(NO3)]2 (3) (b) with a partial numbering scheme. The complete ligand numbering scheme remains consistent across all structures. Side view of the supramolecular chain of dimers in the structure of 3 running along the [110] direction (c).
Table 3.
Bond Lengths (Å) in the Coordination Metal Environment in 1, 3, 5, 7, and 8.
The Ni(II) (5), Zn(II) (7) and Fe(III) (8) bis-ligand complexes crystalizes in the Pca21 orthorhombic, P triclinic, and R trigonal space groups, respectively (Table 1). In these complexes, the metal atom coordinates two ligands in the NNS chelating mode, resulting in an octahedral coordination surrounding (Figure 4a). Similar to complexes 1 and 3, each ligand forms two fused and approximately coplanar five-membered metallacycles, CuSCNN and CuNCCN. In the crystals of 5 with composition [Ni(HL)2](NO3)2·H2O, the ligands coordinate in neutral form, and the charge balance in the crystal is provided by two outer-sphere nitrate anions. One of them forms N–H···O hydrogen bonds only with the cationic complex, while another one forms N–H···O H-bond with the complex and O–H···O hydrogen bonds with the solvent water molecule. The latter also participates in N3b–H···O and N4b–H···O hydrogen bonds. These H-bonds result in the formation of a supramolecular tape of charged components and water molecules running along the c axis, as shown in Figure 4b and Table 2. In the crystals of 7, the asymmetric part of the unit cell contains two similar but symmetry-independent complexes of zinc (A and B), shown in Figure 4c, and one solvent water molecule with an occupancy coefficient of 0.25. This results in the composition [Zn(L)2]·0.125H2O of compound 7. The structure of the zinc complex is similar to that found in 5. However, the ligands coordinate in their mono-deprotonated forms, which provides the complex with neutrality. Figure 4d illustrates the similarity of the independent complexes, showing that the major differences are related to the orientation of the phenyl ring and the aryl branches. In the crystal of 7, the alternating complexes A(Zn1) and B(Zn2) form a supramolecular chain along the [−110] direction via direct N–H···S H-bonds, as well as O–H···S and O–H···N H-bonds, involving water molecules, shown in Figure 4e. A similar structure of the bis-ligand complex Fe(III) was found in the crystal of 8 with the composition [Fe(L)2]Cl. The asymmetric part of the unit cell contains one mono-cationic complex, shown in Figure 4f, and an outer sphere chlorine anion. In the crystal structure, the chlorine anion forms two N–H···Cl hydrogen bonds with neighboring complexes and results in a supramolecular corrugated ring of six complexes around a special position of a three-fold inversion axis (Figure 4g).

Figure 4.
Bis-ligand complexes. View of formula unit [Ni(HL)2](NO3)2·H2O in 5 (a); supramolecular tape of H-bonded components in the structure of 5 running along the c axis (b); view of one of two symmetry-independent complexes in the structure [Zn(L)2]·0.125H2O (c); overlay of [Zn(L)2]·symmetry-independent complexes, with molecule A shown by red color, B—blue color (d); a supramolecular chain of alternating A(Zn1) and B(Zn2) complexes along the [−110] direction in the crystals of 7, formed through direct N–H···S H-bonds, as well as O–H···S and O–H···N H-bonds, involving water molecules (e). View of complex [Fe(L)2]Cl in the structure of 8 (f); a supramolecular corrugated ring of six complexes linked by N–H···Cl hydrogen bonds (g).
The antibacterial and antifungal activities of the HL and complexes 1–4 and 6–8 were evaluated against Gram-positive bacteria (S. aureus, B. cereus), Gram-negative bacteria (A. baumannii, E. coli), and fungi (C. albicans). The results, presented as minimum inhibitory/bactericidal/fungicidal concentrations, are summarized in Table 4. Thiosemicarbazone HL exhibits antibacterial activity towards Gram-positive microorganisms and fungi. Coordination with copper(II) and zinc(II) results in improved activity against Gram-positive microorganisms and fungi. The increase in the antibacterial activity towards Gram-negative microorganisms is observed only in the case of copper(II) complexes (1–4). The most active one is complex 1. Complexes 1–4 and 7–8 surpass Furacillinum in terms of activity towards Gram-positive microorganisms. Besides this, complexes 2, 3, and 6 have more pronounced antifungal activity compared to antifungal drugs like Nystatine and Fluconazole. The influence of the acid residue nature on the antimicrobial and antifungal activity was minor (complexes 1–3). The introduction of phen into the coordination sphere of the copper(II) complex led to a four- to eight-fold decrease in activity against Gram-positive microorganisms and an eight- to sixteen-fold decrease in antifungal activity, but resulted in a four-fold increase in activity against the Gram-negative bacterium Escherichia coli.
Table 4.
Antibacterial and Antifungal Activities of HL and Complexes 1–4 and 6–8 as MIC/MBC/MFC Values in μg mL−1.
The results of the biological activity can be compared with our previously reported results in [12]. The activity of thiosemicarbazone HL is weaker than that of its analog derived from 2-formylpyridine. Coordination compounds of the 2-formylpiridine 4-allylthiosemicarbazone also exhibit higher activity than the studied complexes. All of the above leads to the conclusion that the replacement of the 2-formylpiridine moiety with the 2-benzoylpyridine fragment in the structure of the thiosemicarbazone leads to a decrease in the antibacterial and antifungal activity of the thiosemicarbazone and its coordination compounds.
The antiradical activities of HL and complexes 1–4 and 6–8 against ABTS•+ cation radicals were investigated. Table 5 presents the results expressed as half-maximal inhibitory concentrations (IC50). Coordination of HL to the copper(II) atom does not enhance the activity of complexes 1–4, nor does coordination to the iron(III) atom. A significant increase in activity is observed only for complex 7, which shows a 3.7-fold improvement compared to the uncoordinated ligand HL. The activity of complex 6 is comparable to that of thiosemicarbazone HL. The compounds HL, 6, and 7 all exhibit higher activity than Trolox, a standard antioxidant.
Table 5.
ABTS•+ Scavenging Activity of the Studied Substances.
According to literature data [17], coordination of thiosemicarbazones to copper(II) often results in compounds exhibiting notable antiproliferative effects. Therefore, the antiproliferative activities of HL and copper(II) complex 1 were evaluated using the human promyelocytic leukemia HL-60 cell line. In order to compare their activity with the structural analogs, the same test was performed with the 2-acetylpyridine 4-allylthiosemicarbazone (HAp4alT [17]) and its coordination compound with copper(II) chloride ([Cu(Ap4alT)Cl] [17]). Table 6 presents the inhibition of cell proliferation (%) caused by the tested compounds at concentrations of 10, 1, and 0.1 μM. It also includes comparable data for the previously reported 2-formylpyridine 4-allylthiosemicarbazone (HFp4alT [12]) and its copper coordination complex [Cu(Fp4alT)Cl] [12].
Table 6.
Antiproliferative Activities of Some Synthesized Compounds on the Human Leukemia HL-60 Cell Line at Three Concentrations.
Both HL and 1 manifest antiproliferative activity in the studied range of concentrations and surpass their analogs with 2-acetyl- and 2-formylpyridine thiosemicarbazones and their complexes with copper(II) chloride. As the percent of inhibition does not fall under 90% or the lowest studied concentration (0.1 μM), both HL and 1 show IC50 values towards this cancer cell line lower than 0.1 μM, which makes them highly active anticancer molecular inhibitors that surpass Doxorubicin, which is used as an anticancer drug in medicine.
3. Materials and Methods
3.1. Materials
All the reagents used were chemically pure. Metal salts: CuCl2·2H2O, CuBr2, Cu(NO3)2·3H2O, Ni(NO3)2·6H2O, NiCl2·6H2O, Zn(CH3COO)2·2H2O, FeCl3·6H2O, and 1,10-phenantroline (Merck, Darmstadt, Germany) were used as supplied. Allyl isothiocyanate, 2-benzoylpyridine, hydrazine hydrate, hydrochloric acid (37% w/w), nitric acid (65% w/w), and sodium carbonate were used as received (Sigma-Aldrich, Munich, Germany).
4-Allylthiosemicarbazide was prepared using a procedure adapted from the method described in reference [18], involving the reaction between allyl isothiocyanate and an aqueous hydrazine solution (50–60% w/w). The properties of the synthesized compound were consistent with those previously reported in the literature [18].
White solid. Yield: 84%; mp 92–93 °C. FW: 131.20 g/mol; Anal Calc. for C4H9N3S: C, 36.62; H, 6.91; N, 32.03; S, 24.44; found: C, 36.48; H, 6.83; N, 32.09; S, 24.51%. 1H NMR (acetone-d6, 400 MHz) 9.03 (br s, 1H; NH); 7.86 (br s, 1H; NH); 5.92 (m, 1H; CH); 5.13 (m, 2H; CH2); 4.39 (br s, 1H; NH); 4.25 (t, 2H; CH2–N). 13C NMR (acetone-d6, 100 MHz) 178.86 (C=S); 134.76 (CH(allyl)); 114.85 (CH2(allyl,sp2)); 45.85 (CH2(allyl,sp3)).
All solvents were cleaned and dehydrated following commonly accepted laboratory methods [19].
The 1H and 13C NMR spectra were obtained using a Bruker DRX-400 spectrometer (Billerica, MA, USA), with acetone-d6 as the solvent. FT-IR measurements were carried out at room temperature in the 4000–400 cm−1 range on a Bruker ALPHA FTIR spectrophotometer (Bruker Optik GmbH, Ettlingen, Germany). The elemental analysis was performed similarly to the literature procedures [20] and on the automatic Perkin Elmer 2400 elemental analyzer (Waltham, MA, USA). The electrical conductivity of the complex solutions in methanol (20 °C, c = 0.001 M) was determined with an R-38 rheochord bridge.
3.2. Synthesis
3.2.1. Synthesis of 2-benzoylpyridine 4-allylthiosemicarbazone
Method 1
The synthesis was carried out similarly to the described procedure in [13]. 4-Allylthiosemicarbazide (1.31 g, 0.100 mol) was dissolved in 20 mL of ethanol in a flat-bottomed flask. 2-Benzoylpyridine (1.83 g, 0.100 mol) was added to the prepared solution of 4-allylthiosemicarbazide. Next, three drops of glacial acetic acid were introduced into the reaction mixture to serve as a catalyst. A condenser was then connected to the flask, and the mixture was heated and stirred magnetically for 8 h. Once the reaction was complete, the mixture was allowed to cool to room temperature, and the resulting precipitate of 2-benzoylpyridine 4-allylthiosemicarbazone was collected by filtration. The properties of the synthesized compound were in agreement with previously published data [13].
Method 2
The synthesis was inspired by the method of the synthesis of another thiosemicarbazone that was described in [15].
4-Allylthiosemicarbazide (1.31 g, 0.100 mol) was dissolved in 20 mL of ethanol in a flat-bottomed flask. 2-Benzoylpyridine (1.83 g, 0.100 mol) and hydrochloric acid (9.86 g of 37% w/w solution (0.100 mol)) was added to the prepared solution of 4-allylthiosemicarbazide. The reaction was conducted under stirring and heating for 40 min using a magnetic stirrer. A yellow precipitate ([H2L]Cl) formed as the product, which was then collected by filtration and washed with ethanol in minimal quantities. The obtained [H2L]Cl was dissolved in ethanol and neutralized using a water solution of Na2CO3. The resultant 2-benzoylpyridine 4-allylthiosemicarbazone was filtered out.
Pale yellow solid. Yield: 78% (method 1)/84% (method 2); mp 125–127 °C. FW: 296.39 g/mol; Anal Calc. for C16H16N4S: C, 64.84; H, 5.44; N, 18.90; S, 10.82; found: C, 64.69; H, 5.37; N, 18.81; S, 10.75%. FTIR data (cm–1): ν(N–H) 3368, 3135; ν (C=N) 1642, 1583; ν (C=S) 1314. 1H NMR ((CD3)2CO, 400 MHz) 13.49 (br s, 1H; NH); 8.88 (d, 1H; CHaromatic); 8.59 (br s, 1H; NH); 8.02 (t, 1H; CHaromatic); 7.60 (m, 3H; CHaromatic); 7.47 (m, 3H; CHaromatic); 7.39 (d, 1H; CHaromatic); 5.99 (m, 1H; C2H(allyl)); 5.17 (m, 2H; C1H2=C2); 4.37 (m, 2H; C3H2-N). 13C NMR ((CD3)2CO, 100 MHz) 178.89 (C4=S); 152.37, 142.63, 137.80, 137.73, 129.09, 128.77, 128.36, 126.23, 124.62 (Caromatic); 148.63 (C5=N); 134.50 (C2Hallyl); 115.46 (C1H2(allyl,sp2)); 46.24 (C3H2(allyl,sp3)).
3.2.2. Synthesis of Coordination Compounds
[Cu(L)Cl]2 (1)
A hot ethanol solution (20 mL, 65 °C) containing 2-benzoylpyridine 4-allylthiosemicarbazone (HL) (0.296 g, 1 mmol) was treated with copper(II) chloride dihydrate (CuCl2·2H2O) (0.170 g, 1 mmol). The reaction mixture was stirred and maintained at 65 °C for 40 min using a magnetic stirrer. Upon cooling to room temperature, a green solid precipitate was collected by filtration, washed with chilled ethanol, and dried under vacuum.
Green solid. Yield: 76%. Anal. Calc. for C32H30Cl2Cu2N8S2 (788.74 g mol−1): C, 48.73; H, 3.83; Cl, 8.99; Cu, 16.11; N, 14.21; S, 8.13. Found: C, 48.63; H, 3.75; Cl, 8.86; Cu, 16.04; N, 14.14; S, 8.04. Main FTIR peaks (cm−1): ν(NH) 3321; ν(C=N) 1618, 1595, 1563; ν(C–S) 745. χ(CH3OH, for [Cu(L)Cl]): 98 Ω−1 cm−2 mol−1.
[Cu(L)Br]2 (2)
The coordination compound 2 was prepared following the same procedure as for compound 1, using CuBr2 (0.223 g, 1 mmol) and the ligand HL (0.296 g, 1 mmol).
Green solid. Yield: 88%. Anal. Calc. for C32H30Br2Cu2N8S2 (877.67 g mol−1): C, 43.79; H, 3.45; Br, 18.21; Cu, 14.48; N, 12.77; S, 7.31. Found: C, 43.67; H, 3.37; Br, 18.14; Cu, 14.36; N, 12.68; S, 7.20. Main FTIR peaks (cm−1): ν(NH) 3321; ν(C=N) 1618, 1595, 1575; ν(C–S) 745. χ(CH3OH, for [Cu(L)Br]): 86 Ω−1 cm−2 mol−1.
[Cu(L)(NO3)]2 (3)
The coordination compound 3 was prepared following the same procedure as for compound 1, using Cu(NO3)2·3H2O (0.242 g, 1 mmol) and HL (0.296 g; 1 mmol).
Green solid. Yield: 89%. Anal. Calc. for C32H30Cu2N10O6S2 (841.86 g mol−1): C, 45.65; H, 3.59; Cu, 15.10; N, 16.64; S, 7.62. Found: C, 45.57; H, 3.48; Cu, 15.01; N, 16.53; S, 7.51. Main FTIR peaks (cm−1): ν(NH) 3323; ν(C=N) 1618, 1595, 1573; ν(C–S) 742. χ(CH3OH, for [Cu(L)(NO3)]): 80 Ω−1 cm−2 mol−1.
[Cu(phen)(L)]NO3 (4)
A hot ethanol solution (25 mL, 65 °C) of coordination compound 3 (0.421 g, 0.5 mmol) was combined with phen (0.180 g, 1 mmol). The mixture was stirred and maintained at 65 °C for 40 min. After cooling to room temperature, a green precipitate formed, which was isolated by filtration, washed with cold ethanol, and dried under reduced pressure.
Green solid. Yield: 76%. Anal. Calc. for C28H23CuN7O3S (601.14 g mol−1): C, 55.94; H, 3.86; Cu, 10.57; N, 16.31; S, 5.33. Found: C, 55.83; H, 3.78; Cu, 10.48; N, 16.21; S, 5.24. Main FTIR peaks (cm−1): ν(NH) 3321; ν(C=N) 1616, 1599, 1595; ν(C–S) 745. χ(CH3OH): 83 Ω−1 cm−2 mol−1.
[Ni(HL)2](NO3)2·H2O (5)
The coordination compound 5 was prepared following the same procedure as for compound 1, using Ni(NO3)2·6H2O (0.145 g; 0.5 mmol) and HL (0.296 g; 1 mmol).
Brown solid. Yield: 79%. Anal. Calc. for C32H34N10NiO7S2 (793.52 g mol−1): C, 48.44; H, 4.32; N, 17.65; Ni, 7.40; S, 8.08. Found: C, 48.32; H, 4.21; N, 17.52; Ni, 7.29; S, 7.97. Main FTIR peaks (cm−1): ν(NH) 3325, 3064; ν(C=N) 1593, 1561; ν(C=S) 1355. χ(CH3OH): 181 Ω−1 cm−2 mol−1.
[Ni(HL)2]Cl2 (6)
The coordination compound 6 was prepared following the same procedure as for compound 5, using HL (0.296 g; 1 mmol) and NiCl2·6H2O (0.119 g; 0.5 mmol) instead of Ni(NO3)2·6H2O.
Brown solid. Yield: 84%. Anal. Calc. for C32H32Cl2N8NiS2 (722.38 g mol−1): C, 53.21; H, 4.47; Cl, 9.81; N, 15.51; Ni, 8.13; S, 8.88. Found: C, 53.11; H, 4.35; Cl, 9.70; N, 15.39; Ni, 8.02; S, 8.75. Main FTIR peaks (cm−1): ν(NH) 3160, 3078; ν(C=N) 1593, 1573; ν(C=S) 1332. χ(CH3OH): 148 Ω−1 cm−2 mol−1.
[Zn(L)2]·0.125H2O (7)
The coordination compound 7 was prepared following the same procedure as for compound 5, using Zn(CH3COO)2·2H2O (0.110 g; 0.5 mmol) and HL (0.296 g; 1 mmol).
Yellow solid. Yield: 88%. Anal. Calc. for C32H30.25N8O0.125S2Zn (658.38 g mol−1): C, 58.38; H, 4.63; N, 17.02; S, 9.74; Zn, 9.93. Found: C, 58.17; H, 4.60; N, 16.84; S, 9.62; Zn, 9.81. Main FTIR peaks (cm−1): ν(NH) 3327; ν(C=N) 1617, 1595, 1585; ν(C–S) 743. χ(CH3OH): 7 Ω−1 cm−2 mol−1.
[Fe(L)2]Cl (8)
The coordination compound 8 was prepared following the same procedure as for compound 5 using FeCl3·6H2O (0.135 g; 0.5 mmol) and HL (0.296 g; 1 mmol).
Brown solid. Yield: 86%. Anal. Calc. for C32H30ClFeN8S2 (682.06 g mol−1): C, 56.35; H, 4.43; Cl, 5.20; Fe, 8.19; N, 16.43; S, 9.40. Found: C, 56.24; H, 4.31; Cl, 5.09; Fe, 8.10; N, 16.33; S, 9.29. Main FTIR peaks (cm−1): ν(NH) 3325; ν(C=N) 1623, 1609, 1572; ν(C–S) 747. χ(CH3OH): 113 Ω−1 cm−2 mol−1.
3.3. X-Ray Crystallography
The crystal structures of the molecules HL, [H2L]Cl, and [H2L]NO3 and the complexes 1, 3, 5, 7, and 8 were analyzed using single-crystal X-ray diffraction. The X-ray diffraction data were acquired using an Xcalibur E diffractometer (Oxford Diffraction, Oxford, UK) equipped with a CCD area detector and a graphite monochromator, operating with MoKα radiation (λ = 0.71073 Å) at ambient temperature (293 K). Data acquisition, processing, and unit cell parameter determination were carried out with the CrysAlis PRO CCD software (Oxford Diffraction Ltd., Abingdon, UK, version 1.171.33.66). The crystallographic structures were determined using the SHELXS97 and refined with the SHELXL2014/2016 software suites [21,22]. The structure solution was accomplished via direct methods, followed by full-matrix least-squares refinement on F2, with anisotropic thermal parameters applied to all non-hydrogen atoms. Hydrogen atoms bonded to carbon were placed in calculated positions and refined using the riding model with standard parameters (Uiso(H) = 1.2Ueq(C)) in SHELXL, while those bonded to nitrogen were located from difference Fourier maps. The positional disorder of aril branches was found in the structures of [H2L]NO3, 5, 7, and disorder of one of the nitrate anions in the structure of 5. The occupancy of disordered positions was refined using free variables. Only one position of disordered moieties is shown in the Figures. Summary details regarding the X-ray data and refinements are provided in Table 1. Selected bond distances and angles are listed in Table S1 and Table 3, while hydrogen bonding parameters can be found in Table 2. Visual representations of the structures were created using MERCURY software version number Mercury 2024.1.0 (Build 401958), 2024, Cambridge, UK.
3.4. Antibacterial and Antifungal Activity
The antibacterial and antifungal activity of HL and complexes 1–4 and 6–8 were evaluated against standard microbial strains, including Staphylococcus aureus (ATCC 25923), Bacillus cereus (ATCC 11778), Acinetobacter baumannii (BAA-747), Escherichia coli (ATCC 25922), and Candida albicans (ATCC 90028). Minimum inhibitory concentrations (MICs), bactericidal concentrations (MBCs), and fungicidal concentrations (MFCs), all expressed in μg/mL, were established using the broth microdilution technique. The compounds were initially dissolved in DMSO to create stock solutions of 10 mg/mL, and further dilutions were made using 2% peptone broth. Furacillin served as the reference antibacterial agent, while Nystatin and Fluconazole were employed as standard antifungal controls.
3.5. Antiradical Activity
The antiradical properties of the synthesized compounds were evaluated using a modified ABTS•+ assay based on the procedure outlined in references [23,24]. The ABTS•+ radical cation was generated by reacting a 7 mM solution of ABTS (2,2′-azino-bis(3-ethylbenzothiazoline-6-sulfonic acid), Sigma) with a 2.45 mM solution of potassium persulfate (Sigma). This reaction was allowed to proceed in the dark at room temperature for 12–20 h. The resulting ABTS•+ solution was then diluted with acetate-buffered saline (0.02 M, pH 6.5) until the absorbance at 734 nm reached 0.70 ± 0.01. Solutions of the test compounds were prepared in DMSO at concentrations between 1 and 100 μM. For the assay, 20 μL of each dilution was added to a 96-well microplate, followed by 180 μL of the prepared ABTS•+ solution using the dispensing module of the BioTek hybrid reader. Absorbance at 734 nm was measured after a 30 min incubation at 25 °C. Each experiment was performed in triplicate. DMSO served as the negative control, and blank readings were obtained using the solvent without ABTS•+. The measurements were taken using a Synergy H1 hybrid reader (Agilent BioTek, Winooski, VT, USA), and results were reported as the average of three independent experiments.
3.6. Antiproliferative Activity
This study employed HL-60 human promyelocytic leukemia cells (ATCC, Manassas, VA, USA). The cells were cultured in monolayer form using RPMI-1640 medium (Roswell Park Memorial Institute, Buffalo, NY, USA), enriched with 2 mM L-glutamine and antibiotics (penicillin at 100 IU/mL and streptomycin at 100 µg/mL), and supplemented with 10% fetal bovine serum (FBS, v/v). Cultures were maintained in 75 cm2 flasks at 37 °C under a humidified atmosphere containing 2–5% CO2. Cells between passages 5 and 16 were used for the experiments. The tested substances were freshly dissolved at the time of treatment. Cell viability and proliferation were assessed using the MTS assay (3-(4,5-dimethylthiazol-2-yl)-5-(3-carboxymethoxyphenyl)-2-(4-sulfophenyl)-2H-tetrazolium; CellTiter 96® AQueous, Promega, Madison, WI, USA). HL-60 cells (1 × 104 per well) were seeded in 96-well plates containing 100 μL of culture medium and incubated in triplicate at 37 °C in 5% CO2. Stock solutions of the test compounds (1 × 10−2 M) were prepared in ethanol and further diluted in medium to achieve a range of concentrations. Doxorubicin (Novapharm, Toronto, ON, Canada) was included as a positive control. After a 72 h incubation period, 20 μL of MTS reagent was added to each well, followed by an additional 4 h incubation. Viable cells reduced the MTS into a water-soluble formazan product, which was quantified by measuring absorbance at 490 nm using a microplate reader (Molecular Devices, Sunnyvale, CA, USA).
4. Conclusions
A series of eight newly synthesized coordination compounds of copper(II), nickel(II), iron(III), and zinc(II) with 2-benzoylpyridine 4-allylthiosemicarbazone (HL) were obtained and thoroughly characterized. Their biological properties were investigated, including antibacterial, antifungal, antiradical, and antiproliferative activities. Among them, the copper(II) and zinc(II) complexes demonstrated the highest efficacy against Gram-positive bacteria, showing stronger activity than the reference pharmaceutical agent Furacillinum. The copper(II) complexes also demonstrated the highest antifungal activity, surpassing standard antifungal drugs such as Nystatin and Fluconazole in effectiveness. Complex 7 is the most active one in the study of antiradical activity against ABTS•+ cation radicals. Both thiosemicarbazone HL and its coordination compound 1 demonstrated stronger antiproliferative effects against the human leukemia HL-60 cell line compared to its previously reported structural analog and the standard drug Doxorubicin. The coordination of HL with metal ions generally led to improved activity of the formed complexes.
Supplementary Materials
The following supporting information can be downloaded at: https://www.mdpi.com/article/10.3390/inorganics13070249/s1, Figure S1: 1H NMR spectrum of 2-benzoylpyridine 4-allylthiosemicarbazone (HL); Figure S2: 13C NMR spectrum of 2-benzoylpyridine 4-allylthiosemicarbazone (HL); Figures S3–S11: FTIR spectra of HL, and 1–8; Table S1: (a) Bond Lengths (Å) and Angles (deg) in Coordination Metal Environment in 1, 3, 5, 7, and 8; (b) Selected Bond Lengths (Å) and Angles (deg) in Ligands in HL, [H2L]Cl, [H2L]NO3 and 1, 3, 5, 7, and 8.
Author Contributions
Conceptualization, A.G.; methodology, V.G.; validation, V.G., V.K., G.B., and V.T.; formal analysis, O.G., P.B., and C.L.-T.; investigation, I.G., V.G., O.G., P.B., C.L.-T., and G.B.; resources, V.K., G.B., and A.G.; data curation, V.G., P.B., V.K., and A.G.; writing—original draft preparation, I.G., V.G., and P.B.; writing—review and editing, V.G., V.K., and A.G.; visualization, I.G., P.B., and V.K.; supervision, A.G.; project administration, V.K. and A.G. All authors have read and agreed to the published version of the manuscript.
Funding
This work was fulfilled with the financial support of the subprograms 010602, 010701, and 011202 of the institutional project and ANCD project 24.80012.8007.01SE.
Institutional Review Board Statement
Not applicable.
Informed Consent Statement
Not applicable.
Data Availability Statement
Data are contained within the article or supplementary material.
Acknowledgments
The authors thank D. Poirier (Laval University, Quebec, QC, Canada) for his help in performing antiproliferative testing on the human leukemia HL-60 cell line.
Conflicts of Interest
The authors declare no conflicts of interest.
References
- Beraldo, H.; Gambino, D. The Wide Pharmacological Versatility of Semicarbazones, Thiosemicarbazones and Their Metal Complexes. Mini-Rev. Med. Chem. 2004, 4, 31–39. [Google Scholar] [PubMed]
- Bavin, E.M.; Rees, R.J.W.; Robson, J.M.; Seiler, M.; Seymour, D.E.; Suddaby, D. The Tuberculostatic Activity of Some Thiosemicarbazones. J. Pharm. Pharmacol. 1950, 2, 764–772. [Google Scholar] [CrossRef] [PubMed]
- Kune, G.A. To-Day’s Drugs: Methisazone. Br. Med. J. 1964, 2, 621. [Google Scholar] [PubMed]
- Tojal, J.G.; Orad, A.G.; Serra, J.L.; Pizarro, J.L.; Lezama, L.; Arriortua, M.I.; Rojo, T.J. Synthesis and spectroscopic properties of copper(II) complexes derived from thiophene-2-carbaldehyde thiosemicarbazone. Structure and biological activity of [Cu(C6H6N3S2)2]. Inorg. Biochem. 1999, 75, 45–54. [Google Scholar] [CrossRef] [PubMed]
- Jain, S.K.; Garg, B.S.; Bhoon, Y.K. Characterization of copper(II) complexes of N4,N4-disubstituted thiosemicarbazones of 2-acetylpyridine by combined evaluation of electronic and ESR parameters. Spectrochim. Acta Part A Mol. Spectrosc. 1986, 42, 959–968. [Google Scholar] [CrossRef]
- Ferraz, K.S.O.; Ferandes, L.; Carrilho, D.; Pinto, M.C.X.; Leite, M.F.; Fagundes, E.M.S.; Speziali, N.L.; Mendes, I.C.; Beraldo, H. 2-Benzoylpyridine-N(4)-tolyl thiosemicarbazones and their palladium(II) complexes: Cytotoxicity against leukemia cells. Bioorg. Med. Chem. 2009, 17, 7138–7144. [Google Scholar] [CrossRef] [PubMed]
- Rebolledo, A.P.; Vieites, M.; Gambino, D.; Piro, O.E.; Castellano, E.E.; Zani, C.L.; Fagundes, E.M.S.; Teixeira, L.R.; Batista, A.A.; Beraldo, H.J. Palladium(II) complexes of 2-benzoylpyridine-derived thiosemicarbazones: spectral characterization, structural studies and cytotoxic activity. Inorg. Biochem. 2005, 99, 698–706. [Google Scholar]
- Graminha, A.E.; Rodrigues, C.; Batista, A.A.; Teixeira, L.R.; Fagundes, E.S.; Beraldo, H. Ruthenium(II) complexes of 2-benzoylpyridine-derived thiosemicarbazones with cytotoxic activity against human tumor cell lines. Spectrochim. Acta Part. A Mol. Biomol. Spectrosc. 2008, 69, 1073–1076. [Google Scholar] [CrossRef] [PubMed]
- Rebolledo, A.P.; Ayala, J.D.; Lima, G.M.; Marchini, N.; Bombieri, G.; Zani, C.L.; Fagundes, E.M.S.; Beraldo, H. Structural studies and cytotoxic activity of N(4)-phenyl-2-benzoylpyridine thiosemicarbazone Sn(IV) complexes. Eur. J. Med. Chem. 2005, 40, 467–472. [Google Scholar] [CrossRef]
- Costa, R.F.; Rebolledo, A.P.; Matencio, T.; Calado, H.D.; Ardisson, J.D.; Cortés, M.E.; Bernardo, L.R.; Beraldo, H. Metal complexes of 2-benzoylpyridine-derived thiosemicarbazones: Structural, electrochemical and biological studies. J. Coord. Chem. 2005, 58, 1307–1319. [Google Scholar] [CrossRef]
- Joseph, M.; Kuriakose, M.; Kurup, M.P.; Suresh, E.; Kishore, A.; Bhat, S.G. Structural, antimicrobial and spectral studies of copper (II) complexes of 2-benzoylpyridine N (4)-phenyl thiosemicarbazone. Polyhedron 2006, 25, 61–70. [Google Scholar] [CrossRef]
- Graur, V.; Chumakov, Y.; Garbuz, O.; Hureau, C.; Tsapkov, V.; Gulea, A. Synthesis, structure, and biologic activity of some copper, nickel, cobalt, and zinc complexes with 2-formylpyridine N4-Allylthiosemicarbazone. Bioinorg. Chem. Appl. 2022, 2022, 2705332. [Google Scholar] [CrossRef] [PubMed]
- Kalinowski, D.S.; Yu, Y.; Sharpe, P.C.; Islam, M.; Liao, Y.T.; Lovejoy, D.B.; Kumar, N.; Bernhardt, P.; Richardson, D.R. Design, synthesis, and characterization of novel iron chelators: Structure− activity relationships of the 2-benzoylpyridine thiosemicarbazone series and their 3-nitrobenzoyl analogues as potent antitumor agents. J. Med. Chem. 2007, 50, 3716–3729. [Google Scholar] [CrossRef] [PubMed]
- Bernstein, J.; Yale, H.L.; Losee, K.; Holsing, M.; Martins, J.; Lott, W.A. The chemotherapy of experimental tuberculosis. III. The synthesis of thiosemicarbazones and related compounds. J. Am. Chem. Soc. 1951, 73, 906–912. [Google Scholar] [CrossRef]
- Graur, V.; Graur, I.; Gulea, A.; Teleuca, I.; Lozan-Tirsu, C.; Balan, G. Copper(II) coordination compounds with 2-acetylpyridine N4-(bicyclo[2.2.1]heptan-2-yl)thiosemicarbazone as potential antibacterial agents. Stud. Univ. Mold. 2003, 1, 206–213. [Google Scholar] [CrossRef]
- Chumakov, Y.; Graur, V.; Graur, I.; Tsapkov, V.; Garbuz, O.; Gulea, A. Insights into Antiradical Behavior: Crystal Structures and DFT Analysis of 2-Formylpyridine N 4-Allylthiosemicarbazone Salts. Acta Chim. Slov. 2024, 71, 609–613. [Google Scholar] [CrossRef]
- Zeglis, B.M.; Divilov, V.; Lewis, J.S. Role of metalation in the topoisomerase IIα inhibition and antiproliferation activity of a series of α-heterocyclic-N4-substituted thiosemicarbazones and their Cu(II) complexes. J. Med. Chem. 2011, 54, 2391–2398. [Google Scholar] [CrossRef] [PubMed]
- Zhao, W.; Zhao, M. Synthesis and characterization of some multi-substituted thiosemicarbazones as the multi-dental ligands of metal ions. Chin. J. Org. Chem. 2001, 21, 681–684. [Google Scholar]
- Perrin, D.D.; Armarego, W.L.; Perrin, D.R. Purification of Laboratory Chemicals, 4th ed.; Butter-worth-Heinemann, Pergamon Press: Oxford, UK, 1966. [Google Scholar]
- Leovac, V.M.; Vojinović, L.S.; Mesaroš-Sečenji, K.F.; Češljević, V.I. Transition metal complexes with thiosemicarbazide-based ligands, part 46: Synthesis and physico-chemical characterization of mixed ligand cobalt (III)-complexes with salicylaldehyde semi-, thiosemi-an. J. Serb. Chem. Soc. 2003, 68, 919–927. [Google Scholar] [CrossRef]
- Sheldrick, G.M. A Short History of SHELX. Found. Crystallogr. 2008, 64, 112–122. [Google Scholar] [CrossRef] [PubMed]
- Sheldrick, G.M. Crystal Structure Refinement with SHELXL. Acta Crystallogr. Sect. C Struct. Chem. 2015, 71, 3–8. [Google Scholar] [CrossRef] [PubMed]
- Re, R.; Pellegrini, N.; Proteggente, A.; Pannala, A.; Yang, M.; Rice-Evans, C. Antioxidant activity applying an improved ABTS radical cation decolorization assay. Free Radic. Biol. Med. 1999, 26, 1231–1237. [Google Scholar] [CrossRef] [PubMed]
- Garbuz, O.; Gudumac, V.; Toderas, I.; Gulea, A. Antioxidant Properties of Synthetic Compounds and Natural Products. Action Mechanisms; CEP USM: Chișinău, Moldova, 2023; ISBN 978-9975-62-516-6. [Google Scholar]
Disclaimer/Publisher’s Note: The statements, opinions and data contained in all publications are solely those of the individual author(s) and contributor(s) and not of MDPI and/or the editor(s). MDPI and/or the editor(s) disclaim responsibility for any injury to people or property resulting from any ideas, methods, instructions or products referred to in the content. |
© 2025 by the authors. Licensee MDPI, Basel, Switzerland. This article is an open access article distributed under the terms and conditions of the Creative Commons Attribution (CC BY) license (https://creativecommons.org/licenses/by/4.0/).









