Harnessing Ferrocene for Hydrogen and Carbon Dioxide Transformations: From Electrocatalysis to Capture
Abstract
1. Introduction
2. Redox Properties and Structural Features of Ferrocene in Catalysis
2.1. Electronic Structure and Redox Characteristics
2.2. Ligand Design and Functionalisation Strategies
2.3. Framework Integration and Stability Considerations
3. General Functional Roles of Ferrocene in Catalysis and Functional Materials
3.1. Redox Mediation and Electron Transfer
3.2. Structural and Electronic Modulation
3.3. Framework Integration and Hybrid Material Design
4. Catalytic Applications of Ferrocene in Energy and CO2 Conversion
4.1. Hydrogen Evolution Reaction
4.2. Ferrocene-Based Catalysts for Carbon Dioxide Reduction Reaction
4.3. Ferrocene-Based Materials for CO2 Fixation: Ligand Effects, Structural Advantages, and Hybrid Integration
5. Ferrocene-Modified Materials for CO2 Capture and Adsorption
6. Outlook and Critical Assessment
6.1. Cross-Cutting Advantages of Ferrocene-Based Catalysis
6.2. Limitations and System-Specific Challenges
6.3. Ferrocene as a Precursor in Electrocatalyst Fabrication
6.4. Future Directions and Emerging Opportunities
7. Conclusions
Funding
Data Availability Statement
Conflicts of Interest
Abbreviations
| BET | Brunauer–Emmett–Teller |
| BIM | Benzimidazole |
| CMP | Conjugated microporous polymer |
| CNT | Carbon nanotube |
| CO2RR | Carbon dioxide reduction |
| COF | Covalent organic framework |
| Cp | Cyclopentadienyl |
| CPP | Conjugated porous polymer |
| Cy | Cyclohexyl |
| DBU | 1,8-diazabicyclo[5.4.0]undec-7-ene |
| DFT | Density Functional Theory |
| DMF | dimethylformamide |
| dppf | 1,1′-bis(diphenylphosphino)ferrocene |
| dtbpf | 1,1′-bis(di-tert-butylphosphino)ferrocene |
| EC | Electrocatalysis |
| ECSA | Electrochemically active surface area |
| ee | Enantiomeric excess |
| Fc | Ferrocene |
| Fc+ | Ferrocenium |
| FCA | Ferrocenecarboxylic acid |
| FcDC | 1,1′-ferrocenedicarboxylic acid |
| FcMeOH | ferrocenemethanol |
| FE | Faradaic efficiency |
| FLP | Frustrated Lewis pair |
| FT-IR | Infrared Fourier transform spectroscopy |
| HAD | 1,10-Phenanthroline-5,6-dione |
| HER | Hydrogen evolution reaction |
| i-Pro | Iso-propyl |
| IAST | Ideal adsorbed solution theory |
| jCO | Partial current density for CO |
| LDH | Layered double hydroxide |
| MEA | Membrane electrode assembly |
| MeCN | Acetonitrile |
| Mel | Melamine |
| MOF | Metal–organic framework |
| PBDT | Polybenzodithiophene |
| PC | Photocatalysis |
| PCET | Proton-Coupled Electron Transfer |
| POP | Porous organic polymer |
| PS | Photosensitiser |
| QD | Quantum dots |
| Qst | Isosteric heat of CO2 adsorption |
| SWCNT | Single-walled carbon nanotubes |
| TBAB | Tetrabutylammonium bromide |
| TBAP | Tetrabutylammonium perchlorate |
| TC | Thermocatalysis |
| TEA | Triethylamine |
| TEAHCl | Triethylamine hydrochloride |
| TEOA | Triethanolamine |
| TFA | Trifluoroacetic acid |
| TOF | Turnover frequency |
| TON | Turnover number |
References
- Togni, A.; Hayashi, T. Ferrocenes: Homogeneous Catalysis, Organic Synthesis, Materials Science; Wiley: New York, NY, USA, 2008. [Google Scholar]
- Chen, N.; Wu, Z.-J.; Xu, H.-C. Ferrocene as a Redox Catalyst for Organic Electrosynthesis. Isr. J. Chem. 2024, 64, e202300097. [Google Scholar] [CrossRef]
- Bauer, E.B. Recent Catalytic Applications of Ferrocene and Ferrocenium Cations in the Syntheses of Organic Compounds. Molecules 2024, 29, 5544. [Google Scholar] [CrossRef]
- Liu, J.-J.; Li, N.; Sun, J.-W.; Liu, J.; Dong, L.-Z.; Yao, S.-J.; Zhang, L.; Xin, Z.-F.; Shi, J.-W.; Wang, J.-X.; et al. Ferrocene-Functionalized Polyoxo-Titanium Cluster for CO2 Photoreduction. ACS Catal. 2021, 11, 4510–4519. [Google Scholar] [CrossRef]
- Fang, Z.; Wang, Y.; Hu, Y.; Yao, B.; Ye, Z.; Peng, X. A CO2-philic ferrocene-based porous organic polymer for solar-driven CO2 conversion from flue gas. J. Mater. Chem. A 2023, 11, 18272–18279. [Google Scholar] [CrossRef]
- Angelova, R.; Stavrakov, G. Ferrocene Derivatives as Histone Deacetylase Inhibitors: Synthesis and Biological Evaluation. Organics 2025, 6, 18272–18279. [Google Scholar] [CrossRef]
- Lu, M.; Sun, X.; Chen, C. Ferrocene-driven revolution in perovskite photovoltaics. Nano Energy 2025, 136, 110720. [Google Scholar] [CrossRef]
- Torriero, A.A.J. On Choosing Ferrocene as an Internal Reference Redox Scale for Voltammetric Measurements: A Cautionary Tale. Med. Anal. Chem. Int. J. 2019, 3, 000151. [Google Scholar] [CrossRef]
- Torriero, A.A.J. Reference systems for voltammetric measurements in ionic liquids. In Electrochemistry in Ionic Liquids. Volume 1: Fundamentals; Torriero, A.A.J., Ed.; Springer: Cham, Switzerland, 2015; Volume 1. [Google Scholar]
- Bard, A.J.; Faulkner, L.R. Electrochemical Methods: Fundamentals and Applications; Wiley: New York, NY, USA, 2001. [Google Scholar]
- Torriero, A.A.J.; Mruthunjaya, A.K.V. Ferrocene-Based Electrochemical Sensors for Cations. Inorganics 2023, 11, 472. [Google Scholar] [CrossRef]
- Torriero, A.A.J.; Torriero, A.M.; Miller, K.T.; Mruthunjaya, A.K.V. Beyond Cations: Expanding the Horizons of Ferrocene-Based Electrochemical Sensors for Neutral and Anionic Molecules. Inorganics 2025, 13, 3. [Google Scholar] [CrossRef]
- Ramírez-Chan, D.E.; Palacios-Ramírez, J.I.; Fragoso-Soriano, R.; González, F.J. Spontaneous Decarboxylation of Ferrocenecarboxylate using 1,4-Benzoquinone as Oxidant: Application to the Chemical Grafting of Glassy Carbon Surfaces. ChemistrySelect 2022, 7, e202202453. [Google Scholar] [CrossRef]
- Kunihiro, K.; Heyte, S.; Paul, S.; Roisnel, T.; Carpentier, J.-F.; Kirillov, E. Ruthenium-Catalyzed Coupling Reactions of CO2 with C2H4 and Hydrosilanes towards Silyl Esters. Chem. A Eur. J. 2021, 27, 3997–4003. [Google Scholar] [CrossRef]
- Liu, Q.; Tang, Z.; Wu, M.; Liao, B.; Zhou, H.; Ou, B.; Yu, G.; Zhou, Z.; Li, X. Novel ferrocene-based nanoporous organic polymers for clean energy application. RSC Adv. 2015, 5, 8933–8937. [Google Scholar] [CrossRef]
- Torriero, A.A.J.; Morda, J.; Saw, J. Electrocatalytic dealkylation of amines mediated by ferrocene. Organometallics 2019, 38, 4280–4287. [Google Scholar] [CrossRef]
- Torriero, A.A.J.; Zeng, Z.; Mruthunjaya, A.K.V.; Bond, A.M. Electrochemical Properties of Cyclen and Cyclam Macrocycles Bearing Ferrocenyl Pendants and Their Transition Metal Complexes. J. Electroanal. Chem. 2023, 945, 117687. [Google Scholar] [CrossRef]
- Tlili, A.; Voituriez, A.; Marinetti, A.; Thuéry, P.; Cantat, T. Synergistic effects in ambiphilic phosphino-borane catalysts for the hydroboration of CO2. Chem. Commun. 2016, 52, 7553–7555. [Google Scholar] [CrossRef]
- Wang, J.; Wang, M.-Y.; Yin, G.; Jia, R.; Wang, J.; Eglitis, R.I.; Zhang, H.-X. Nickel-catalyzed carboxylation of aryl zinc reagent with CO2: A theoretical and experimental study. J. CO2 Util. 2019, 29, 262–270. [Google Scholar] [CrossRef]
- Yao, S.-J.; Li, N.; Liu, J.; Dong, L.-Z.; Liu, J.-J.; Xin, Z.-F.; Li, D.-S.; Li, S.-L.; Lan, Y.-Q. Ferrocene-Functionalized Crystalline Biomimetic Catalysts for Efficient CO2 Photoreduction. Inorg. Chem. 2022, 61, 2167–2173. [Google Scholar] [CrossRef]
- Polat, S.; Kortlever, R.; Eral, H.B. Optimization and continuous-flow operation of electrochemically mediated selective formate separation by polyvinyl ferrocene/graphene oxide electrodes. Chem. Eng. J. 2023, 475, 146169. [Google Scholar] [CrossRef]
- Adeniran, B.; Mokaya, R. Low temperature synthesized carbon nanotube superstructures with superior CO2 and hydrogen storage capacity. J. Mater. Chem. A 2015, 3, 5148–5161. [Google Scholar] [CrossRef]
- Fu, X.; Zhang, Y.; Gu, S.; Zhu, Y.; Yu, G.; Pan, C.; Wang, Z.; Hu, Y. Metal Microporous Aromatic Polymers with Improved Performance for Small Gas Storage. Chem. A Eur. J. 2015, 21, 13357–13363. [Google Scholar] [CrossRef] [PubMed]
- Lai, G.-Q.; Li, N.; He, J.; Lan, Y.-Q. A ferrocene-modified stable metal–organic framework for efficient CO2 photoreduction reaction. Chem. Commun. 2023, 59, 12471–12474. [Google Scholar] [CrossRef]
- Fang, Z.; Deng, Z.; Wan, X.; Li, Z.; Ma, X.; Hussain, S.; Ye, Z.; Peng, X. Keggin-type polyoxometalates molecularly loaded in Zr-ferrocene metal organic framework nanosheets for solar-driven CO2 cycloaddition. Appl. Catal. B Environ. 2021, 296, 120329. [Google Scholar] [CrossRef]
- Sun, S.-N.; He, L.-L.; Huang, Q.; Liu, J.; Lan, Y.-Q. Ferrocene-modified covalent organic framework for efficient oxygen evolution reaction and CO2 electroreduction. Chem. Commun. 2024, 60, 7922–7925. [Google Scholar] [CrossRef]
- Wakabayashi, T.; Kametani, Y.; Tanahashi, E.; Shiota, Y.; Yoshizawa, K.; Jung, J.; Saito, S. Ferrocenyl PNNP Ligands-Controlled Chromium Complex-Catalyzed Photocatalytic Reduction of CO2 to Formic Acid. J. Am. Chem. Soc. 2024, 146, 25963–25975. [Google Scholar] [CrossRef] [PubMed]
- Samy, M.M.; Sharma, S.U.; Mohamed, M.G.; Mohammed, A.A.K.; Chaganti, S.V.; Lee, J.-T.; Kuo, S.-W. Conjugated microporous polymers containing ferrocene units for high carbon dioxide uptake and energy storage. Mater. Chem. Phys. 2022, 287, 126177. [Google Scholar] [CrossRef]
- Wang, C.; Chen, X.; Yao, S.; Peng, F.; Xiong, L.; Guo, H.; Zhang, H.; Chen, X. Hyper-Crosslinked Resins Modified by Ferrocene for CO2/CO and CO2/CH4 Separation. Energy Fuels 2023, 37, 18919–18927. [Google Scholar] [CrossRef]
- Straube, A.; Useini, L.; Hey-Hawkins, E. Multi-Ferrocene-Based Ligands: From Design to Applications. Chem. Rev. 2025, 125, 3007–3058. [Google Scholar] [CrossRef]
- Hu, Y.; Fang, Z.; Yao, B.; Ye, Z.; Peng, X. Ferrocene Derivatives for Photothermal Applications. ChemSusChem 2024, 17, e202400829. [Google Scholar] [CrossRef]
- Zhao, X.; Qi, Y.; Li, J.; Ma, Q. Porous Organic Polymers Derived from Ferrocene and Tetrahedral Silicon-Centered Monomers for Carbon Dioxide Sorption. Polymers 2022, 14, 370. [Google Scholar] [CrossRef]
- Xia, L.; Zhou, W.; Xu, Y.; Xia, Z.; Wang, X.; Yang, Q.; Xie, G.; Chen, S.; Gao, S. Ferrocene-boosting Zr-MOFs for efficient photocatalytic CO2 reduction: A trade-off between enhancing LMCT and frustrating Lewis acid. Chem. Eng. J. 2023, 451, 138747. [Google Scholar] [CrossRef]
- Sayin, S.; Ozbek, C.; Okur, S.; Yilmaz, M. Preparation of the ferrocene-substituted 1,3-distal p-tert-butylcalix[4]arene based QCM sensors array and utilization of its gas-sensing affinities. J. Organomet. Chem. 2014, 771, 9–13. [Google Scholar] [CrossRef]
- Cybulski, M.; Michalak, O.; Buchowicz, W.; Mazur, M. Ansa–Ferrocene Derivatives as Potential Therapeutics. Molecules 2024, 29, 4903. [Google Scholar] [CrossRef] [PubMed]
- Tomar, V.; Kumar, P.; Sharma, D.; Joshi, R.K.; Nemiwal, M. Anticancer potential of ferrocene-containing derivatives: Current and future prospective. J. Mol. Struct. 2025, 1319, 139589. [Google Scholar] [CrossRef]
- Sharma, A.; Rana, R.; Kumar, N.; Jyoti; Khanna, A.; Gulati, H.K.; Pooja; Kaur, S.; Singh, J.V.; Bedi, P.M.S. Remarkable contribution of ferrocene as anticancer agent: An updated review (2020–2024). Inorg. Chem. Commun. 2025, 175, 114155. [Google Scholar] [CrossRef]
- Huang, Z.; Yu, H.; Wang, L.; Liu, X.; Lin, T.; Haq, F.; Vatsadze, S.Z.; Lemenovskiy, D.A. Ferrocene-contained metal organic frameworks: From synthesis to applications. Coord. Chem. Rev. 2021, 430, 213737. [Google Scholar] [CrossRef]
- Giri, S.; Dash, I. Ferrocene to functionalized ferrocene: A versatile redox-active electrolyte for high-performance aqueous and non-aqueous organic redox flow batteries. J. Mater. Chem. A 2023, 11, 16458–16493. [Google Scholar] [CrossRef]
- Jagdale, D.; Battellu, K.; Bhosale, S.; Sawant, Y.; Nadar, G. Exploring the Versatility of Ferrocene and Its Derivatives: A Comprehensive Review. Biomed. Pharmacol. J. 2024, 17, 1433–1444. [Google Scholar] [CrossRef]
- Rabti, A.; Raouafi, N.; Merkoçi, A. Bio(Sensing) devices based on ferrocene–functionalized graphene and carbon nanotubes. Carbon 2016, 108, 481–514. [Google Scholar] [CrossRef]
- Saleem, M.; Yu, H.; Wang, L.; Abdin, Z.U.; Khalid, H.; Akram, M.; Abbasi, N.M.; Huang, J. Review on synthesis of ferrocene-based redox polymers and derivatives and their application in glucose sensing. Anal. Chim. Acta 2015, 876, 9–25. [Google Scholar] [CrossRef]
- Xia, N.; Liu, L.; Sun, Z.; Zhou, B. Nanocomposites of Graphene with Ferrocene or Hemin: Preparation and Application in Electrochemical Sensing. J. Nanomater. 2015, 2015, 892674. [Google Scholar] [CrossRef]
- Dumur, F. Recent advances on ferrocene-based photoinitiating systems. Eur. Polym. J. 2021, 147, 110328. [Google Scholar] [CrossRef]
- Wu, J.; Wang, L.; Yu, H.; Abdin, Z.U.; Khan, R.U.; Haroon, M. Ferrocene-based redox-responsive polymer gels: Synthesis, structures and applications. J. Organomet. Chem. 2017, 828, 38–51. [Google Scholar] [CrossRef]
- Sariga; Varghese, A. The Renaissance of Ferrocene-Based Electrocatalysts: Properties, Synthesis Strategies, and Applications. Top. Curr. Chem. 2023, 381, 32. [Google Scholar] [CrossRef] [PubMed]
- Liao, Y.; Hussain, A.; Laiho, P.; Zhang, Q.; Tian, Y.; Wei, N.; Ding, E.-X.; Khan, S.A.; Nguyen, N.N.; Ahmad, S.; et al. Tuning Geometry of SWCNTs by CO2 in Floating Catalyst CVD for High-Performance Transparent Conductive Films. Adv. Mater. Interfaces 2018, 5, 1801209. [Google Scholar] [CrossRef]
- Trautwein, A.; Reschke, R.; Dezsi, I.; Harris, F. Spectroscopic investigations of ferrocene and related derivatives. Le J. De Phys. Colloq. 1976, 37, C6-463-C466-470. [Google Scholar] [CrossRef]
- Drusan, M.; Šebesta, R. Enantioselective C–C and C–heteroatom bond forming reactions using chiral ferrocene catalysts. Tetrahedron 2014, 70, 759–786. [Google Scholar] [CrossRef]
- Zhang, Z.-Z.; Huang, D.-Y.; Shi, B.-F. Recent advances in the synthesis of ferrocene derivatives via 3d transition metal-catalyzed C–H functionalization. Org. Biomol. Chem. 2022, 20, 4061–4073. [Google Scholar] [CrossRef]
- Xie, A.; Pan, Z.; Luo, G. Synthesis of six bio-inspired nickel-based complexes ligated with diselenolate derivatives and diphosphine ligands, and application to electrocatalytic H2 evolution. Wuli Huaxue Xuebao Acta Phys. Chim. Sin. 2021, 37, 1910058. [Google Scholar] [CrossRef]
- Mishra, A.; Mishra, G.K.; Anamika; Singh, N.; Kant, R.; Kumar, K. The rigidity and chelation effect of ligands on the hydrogen evolution reaction catalyzed by Ni(II) complexes. Dalton Trans. 2024, 53, 1680–1690. [Google Scholar] [CrossRef]
- Mondal, B.; Sen, P.; Dey, A. Proton reduction in the presence of oxygen by iron porphyrin enabled with 2nd sphere redox active ferrocenes. Chin. J. Catal. 2021, 42, 1327–1331. [Google Scholar] [CrossRef]
- Sirbu, D.; Turta, C.; Gibson, E.A.; Benniston, A.C. The ferrocene effect: Enhanced electrocatalytic hydrogen production using meso-tetraferrocenyl porphyrin palladium(II) and copper(II) complexes. Dalton Trans. 2015, 44, 14646–14655. [Google Scholar] [CrossRef]
- Takaguchi, Y.; Hideaki, M.; Takumi, I.; Daiki, M.; Ryohei, S.; Tajima, T. Molecular design of benzothiadiazole-based dyes for working with carbon nanotube photocatalysts. Phosphorus Sulfur Silicon Relat. Elem. 2019, 194, 707–711. [Google Scholar] [CrossRef]
- Srivastava, S.; Omoding, D.; Kushwaha, A.; Kociok-Köhn, G.; Ahmed, S.; Kumar, A. Supramolecular and homogeneous electrocatalytic HER properties of new heteroleptic cyanoacetamide dithiolate-based Ni(II) tertiary phosphanes: Effect of co-ligand flexibility on electrocatalytic performance. New J. Chem. 2024, 48, 20268–20279. [Google Scholar] [CrossRef]
- Wang, H.; Zhang, Y.; Wu, G.; Guo, L.; Wang, Y. Ru nanoparticles decorating ferrocene-based metal-organic framework for efficient and stable water-splitting electrocatalyst. Int. J. Hydrogen Energy 2024, 64, 261–268. [Google Scholar] [CrossRef]
- Akhter, S.S.; Padhi, S.K. Electrocatalytic CO2 Reduction to Syngas and HCOOH by Homogeneous Fc-NAP2. Eur. J. Inorg. Chem. 2022, 2022, e202200206. [Google Scholar] [CrossRef]
- Mondal, B.; Sen, P.; Rana, A.; Saha, D.; Das, P.; Dey, A. Reduction of CO2 to CO by an Iron Porphyrin Catalyst in the Presence of Oxygen. ACS Catal. 2019, 9, 3895–3899. [Google Scholar] [CrossRef]
- Deng, G.; Yun, H.; Chen, Y.; Yoo, S.; Lee, K.; Jang, J.; Liu, X.; Lee, C.W.; Tang, Q.; Bootharaju, M.S.; et al. Ferrocene-Functionalized Atomically Precise Metal Clusters Exhibit Synergistically Enhanced Performance for CO2 Electroreduction. Angew. Chem. Int. Ed. 2025, 64, e202418264. [Google Scholar] [CrossRef]
- Li, Q.; Wang, Z.-M.; Chen, Y.; Wang, Y.-R.; Guo, C.; Huang, Q.; Dong, L.-Z.; Li, S.-L.; Lan, Y.-Q. CO2-to-CH4 electroreduction over scalable Cu-porphyrin based organic polymers promoted by direct auxiliary bonding interaction. J. Mater. Chem. A 2022, 10, 25356–25362. [Google Scholar] [CrossRef]
- Chen, X.; Li, Y.; Wei, Z.; Li, S.; Pang, S. A metal-organic framework constructed by ferrocene and titanium clusters for CO2 photoreduction under visible light. J. Phys. Conf. Ser. 2023, 2587, 012100. [Google Scholar] [CrossRef]
- Du, C.; Sheng, J.; Zhong, F.; He, Y.; Liu, H.; Sun, Y.; Dong, F. Boosting exciton dissociation and charge transfer in CsPbBr3 QDs via ferrocene derivative ligation for CO2 photoreduction. Proc. Natl. Acad. Sci. USA 2024, 121, e2315956121. [Google Scholar] [CrossRef]
- Liu, H.; Du, C.; Sheng, J.; Zhong, F.; He, Y.; Zhang, F.; Zhou, Y.; Sun, Y.; Dong, F. Strong Dipole Moments from Ferrocene Methanol Clusters Boost Exciton Dissociation in Quantum-Confined Perovskite for CO2 Photoreduction. ACS Nano 2024, 18, 24558–24568. [Google Scholar] [CrossRef]
- Lei, B.; Zhou, G.; Gong, Z.; Liu, C.; Zhou, Y.; Guro, V.P.; Sun, Y.; Sheng, J.; Dong, F. Dynamically Cyclic Fe2+/Fe3+ Active Sites as Electron and Proton-Feeding Centers Boosting CO2 Photoreduction Powered by Benzyl Alcohol Oxidation. Research 2025, 8, 0567. [Google Scholar] [CrossRef] [PubMed]
- Chaudhary, K.; Trivedi, M.; Masram, D.T.; Kumar, A.; Kumar, G.; Husain, A.; Rath, N.P. A highly active copper catalyst for the hydrogenation of carbon dioxide to formate under ambient conditions. Dalton Trans. 2020, 49, 2994–3000. [Google Scholar] [CrossRef] [PubMed]
- Lv, H.; Wang, X.; Hao, Y.; Ma, C.; Li, S.; Li, G.; Zhang, J. Rhodium(ii)-catalyzed C–H carboxylation of ferrocenes with CO2. Green Chem. 2023, 25, 554–559. [Google Scholar] [CrossRef]
- Liu, X.; Zhang, S.; Ding, Y. Synthesis, characterization and properties of a μ–η2:η2-carbonato-bridged bis(phosphinoferrocenyl) copper(I) complex from CO2 fixation. Inorg. Chem. Commun. 2012, 18, 83–86. [Google Scholar] [CrossRef]
- Trivedi, M.; Singh, G.; Kumar, A.; Rath, N.P. 1,1′-Bis(di-tert-butylphosphino)ferrocene copper(I) complex catalyzed C–H activation and carboxylation of terminal alkynes. Dalton Trans. 2015, 44, 20874–20882. [Google Scholar] [CrossRef]
- Cai, X.; Tian, Y.; Wang, H.; Huang, S.; Liu, X.; Li, G.; Ding, W.; Zhu, Y. Catalytic N-Formylation of CO2 by Atomically Precise Au8Pd1(DPPF)42+ Clusters into a Two-Dimensional Metal–Organic Framework. Angew. Chem. Int. Ed. 2025, 64, e202414030. [Google Scholar] [CrossRef]
- Wang, Z.; Deng, L.; Yang, X.-R.; Lin, J.-X.; Cao, D.-Q.; Liu, J.-K.; Tong, Z.; Zhang, J.; Bai, G.-Y.; Luo, Y.-X.; et al. Tuning CO2 Electrocatalytic Reduction Path for High Performance of Li-CO2 Battery. Adv. Funct. Mater. 2024, 34, 2404137. [Google Scholar] [CrossRef]
- Zhang, H.; Si, S.; Zhai, G.; Li, Y.; Liu, Y.; Cheng, H.; Wang, Z.; Wang, P.; Zheng, Z.; Dai, Y.; et al. The long-distance charge transfer process in ferrocene-based MOFs with FeO6 clusters boosts photocatalytic CO2 chemical fixation. Appl. Catal. B Environ. 2023, 337, 122909. [Google Scholar] [CrossRef]
- Yao, H.; Ji, W.; Feng, Y.; Qian, C.; Yue, C.; Wang, Y.; Huang, S.; Wang, M.-Y.; Ma, X. Copper-catalyzed and biphosphine ligand controlled 3,4-boracarboxylation of 1,3-dienes with carbon dioxide. Chin. Chem. Lett. 2025, 36, 110076. [Google Scholar] [CrossRef]
- Lee, J.; Lee, W.; Kim, Y.; Choi, M.; Ryu, S.; Jang, J.; Kim, Y. Synthesis and computational studies for halide-free, neutral, and bifunctional one-component ferrocene-based catalysts for the coupling of carbon dioxide and epoxides. Bull. Korean Chem. Soc. 2024, 45, 821–827. [Google Scholar] [CrossRef]
- Shah, F.U.; Akhtar, F.; Khan, M.S.U.; Akhter, Z.; Antzutkin, O.N. Solid-state 13C, 15N and 29Si NMR characterization of block copolymers with CO2 capture properties. Magn. Reson. Chem. 2016, 54, 734–739. [Google Scholar] [CrossRef] [PubMed]
- Ma, Q.; Qi, Y.; Li, J.; Wang, W.; Sun, X. A ferrocene-containing porous organic polymer linked by tetrahedral silicon-centered units for gas sorption. Appl. Organomet. Chem. 2018, 32, e3935. [Google Scholar] [CrossRef]
- Sun, X.; Qi, Y.; Li, J.; Wang, W.; Ma, Q.; Liang, J. Ferrocene-linked porous organic polymers for carbon dioxide and hydrogen sorption. J. Organomet. Chem. 2018, 859, 117–123. [Google Scholar] [CrossRef]
- Kilic, A.; Aytar, E.; Beyazsakal, L. A Novel Dopamine-Based Boronate Esters with the Organic Base as Highly Efficient, Stable, and Green Catalysts for the Conversion of CO2 with Epoxides to Cyclic Carbonates. Energy Technol. 2021, 9, 2100478. [Google Scholar] [CrossRef]
- Esarte Palomero, O.; Jones, R.A. Ferrocene tethered boramidinate frustrated Lewis pairs: Stepwise capture of CO2 and CO. Dalton Trans. 2022, 51, 6275–6284. [Google Scholar] [CrossRef]
- Samy, M.M.; Mohamed, M.G.; Mansoure, T.H.; Meng, T.S.; Khan, M.A.R.; Liaw, C.-C.; Kuo, S.-W. Solid state chemical transformations through ring-opening polymerization of ferrocene-based conjugated microporous polymers in host–guest complexes with benzoxazine-linked cyclodextrin. J. Taiwan Inst. Chem. Eng. 2022, 132, 104110. [Google Scholar] [CrossRef]
- Mousa, A.O.; Chuang, C.-H.; Kuo, S.-W.; Mohamed, M.G. Strategic Design and Synthesis of Ferrocene Linked Porous Organic Frameworks toward Tunable CO2 Capture and Energy Storage. Int. J. Mol. Sci. 2023, 24, 12371. [Google Scholar] [CrossRef]
- Zhao, T.; Jiang, H.; Zhang, K.; Xu, Y.; Kang, X.; Xu, J.; Zhou, X.; Chen, P.; Peng, H. Continuous Preparation of High-performing Carbon Nanotube Fibers Based on Cycloalkane/ethanol Mixing Carbon Source. Acta Chim. Sin. 2023, 81, 565–571. [Google Scholar] [CrossRef]
- Li, Z.; Li, Z.; Yao, H.; Wei, Y.; Hu, J. Bifunctional CoxP-FeP@C for overall water splitting realized by manipulating the electronic states of Co via phosphorization. J. Colloid Interface Sci. 2024, 653, 857–866. [Google Scholar] [CrossRef]
- Long, Y.; Jiang, P.; Liao, P.; Yang, C.; Li, S.; Xian, J.; Sun, Y.; Liu, Q.; Li, G. Electronic Structure Regulation by Fe Doped Ni-Phosphides for Long-term Overall Water Splitting at Large Current Density. Small 2024, 20, 2403991. [Google Scholar] [CrossRef]





| Fc Catalyst (Structure/Complex) | Support/Matrix | Product(s) | FE (%) | TOF (h−1) | Conditions | Key Notes | Ref. |
|---|---|---|---|---|---|---|---|
| 17 | Homogeneous (MeCN/H2O 9:1) | CO, H2, HCOOH | CO: 11.9, H2: 19.4, HCOOH: 10.8 | CO: 8.5, H2: 14, HCOOH: 4.61 | EC, −1.6 V vs. SCE, TBAP electrolyte | Homogeneous; moderate overpotential (0.74 V); multielectron PCET pathway | [58] |
| 3 | Homogeneous (MeCN + PhOH) | CO | >92 | — | EC, −2.50 V vs. Fc0/+, TBAP, 3 M PhOH, 1 atm CO2 | Fc units enhance oxygen tolerance; CO2 reduced selectively even under aerobic conditions; Fc redox-inactive for CO2RR | [59] |
| Ag9Cu6-Fc | Atomically precise AgCu cluster with Fc | CO | 99.4 | jCO = ~680 mA cm−2 | EC, MEA cell, −4.0 V, CO2 flow | Fc improves electron transfer, modulates active site (Ag-Cu); boosts jCO and selectivity vs. non-Fc analogue | [60] |
| 27 | Conjugated porous polymer with Cu-porphyrin | CH4, C2H4 | CH4: 75.9, C2H4: 18.1 | — | EC, −0.9 V vs. RHE, 1 M KOH, flow cell | Fc enhances electron density on Cu, boosts PCET for CH4; scalable copolymerisation | [61] |
| 28 | Covalent organic framework (COF) with Ni-porphyrin and Fc post-modification | CO | 93.1 | — | EC, H-type cell, 0.9 V vs. RHE, 1 M KOH | Fc improves conductivity and interfacial charge transfer; enhanced anodic OER activity supports cathodic CO2RR; CO2 source confirmed by 13CO isotope tracing | [26] |
| 18, 19 | Polyoxo-titanium molecular clusters in H2O suspension | HCOO− | — | 19: 350.0 μmol g−1 h−1; 18: lower | PC, visible light, no photosensitiser, 10 vol% TIPA in H2O | Fc serves as both light-harvesting antenna and electronic linker; facilitates LMCT; Ti4+ acts as an active site for CO2 reduction to formate | [4] |
| 20 | Biomimetic Co-based MOF with adenine and FA ligands | HCOOH | — | 225.8 μmol g−1 h−1 | PC, MeCN + TEA, visible light | Fc enhances charge transfer; light absorber = HAD; Fc improves photocurrent and quantum efficiency; the active site is adenine N, not Co | [20] |
| 21, 22 | MOF: NH2-MIL-125(Ti) with Fc via grafting or encapsulation | HCOOH | ~95.7–98.6 | 21: 293.40 (UV), 266.33 (Vis) mmol g−1 h−1 | PC, UV and visible light, H2O + TEOA | Fc improves visible light absorption and charge separation; grafted Fc gives higher performance than loaded Fc; Ti4+ active centre via Ti3+-Ti4+ cycling | [24] |
| 26 | Homogeneous (MeCN/TEA 19:1) | HCOOH | 86 (HCOOH vs. CO: 215:1) | 1180 (HCOOH) | PC, λ = 405 nm, organic PS, BIH donor | First Cr-based Fc system for photo-CO2RR; Fc enhances electron density; DFT-supported | [27] |
| Fc-COOH on Zr-MOF | Zr-based MOF (UiO-66) | CO | — | 90.65 μmol g−1 h−1 | PC, Visible light, Xe lamp, 400–780 nm, 5:1 MeCN/H2O + TEOA | Fc enhances LMCT; dual-channel electron transfer; optimal trade-off with Lewis acidity | [33] |
| Fe-Tc (Ti-MOF with Fc) | Titanium cluster-ferrocene MOF | HCOO− | — | 39.5 μmol g−1 h−1 | PC, 400–800 nm, TEOA, CH3CN (30:1) | Fc improves charge separation; better photoreduction than classical Ti-MOFs | [62] |
| FCA-grafted CsPbBr3 QDs | CsPbBr3 perovskite QD | CO | 96.5 | 132.8 μmol g−1 h−1 | PC, simulated solar light (AM 1.5 G), gas–solid setup | FCA grafting enhances exciton dissociation and charge transfer through dielectric screening and surface potential modulation. CsPbBr3-FCA outperforms pristine CsPbBr3 QDs by 9 times in CO yield. Cs site facilitates CO2 adsorption and activation. | [63] |
| FcMeOH | CsPbBr3 perovskite nanocrystals | CO | — | 772.79 μmol g−1 | PC, under AM 1.5 G light, CO2-saturated H2O vapour, 5 h | FcMeOH clusters improve charge transfer and exciton dissociation via dipole interactions; enhanced CO yield, and lower ΔG for *COOH formation. | [64] |
| FCA-functionalised Cs3Sb2Br9 nanocrystals | Cs3Sb2Br9 nanocrystals | CO | 97.9% | 45.56 μmol g−1 h−1 | PC, visible light, benzyl alcohol oxidation | Fc acts as a dynamic redox centre (Fe2+/Fe3+), enabling CO2 reduction coupled to alcohol oxidation; supported by isotope and DFT studies. | [65] |
| 29 | Homogeneous (DMF + DBU) | HCOO− | — | up to 2218 | TC, CO2:H2 = 1:1 (1 atm), 25–80 °C, 12–48 h | TON up to 1.07 × 105; Fc not redox-active | [66] |
| Catalyst or Ligand | Fc Role | Fixation Type | Substrate(s) | Product(s) Formed | Yield/Notes | Ref. |
|---|---|---|---|---|---|---|
| Ni(dppf) + ArZnBr | Ligand scaffold | Carboxylation | Arylzinc + CO2 | Aryl carboxylic acids | 62% yield; Fc tunes electronic distribution | [19] |
| Rh2(OAc)4 + NHC ligand | Substrate backbone | C–H carboxylation | 2-ferrocenylphenols | Ferrocenyl lactones | Up to 78% yield, up to 47% ee | [67] |
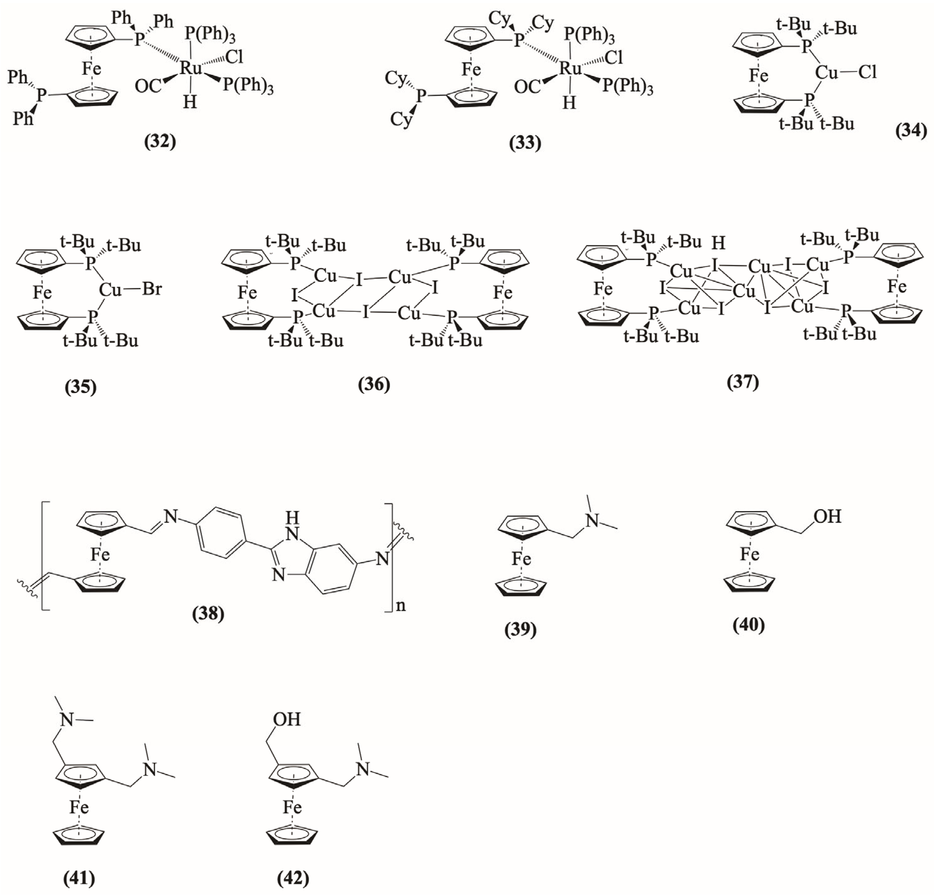
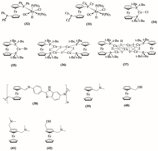
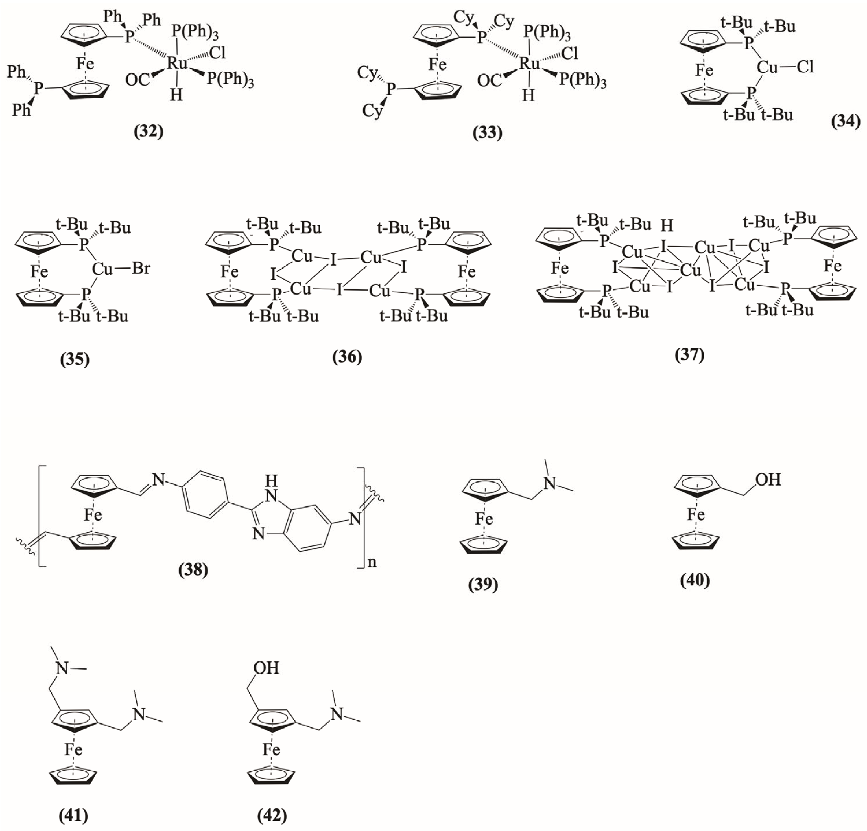
| 34 | Structural ligand | Carbonate formation | N-phenyl benzamide, CO2 | μ-CO32− bridged Cu complex | Thermally stable, no catalytic test | [68] |
| 29, 35–37 | Ligand scaffold | Alkyne carboxylation | Terminal alkynes + CO2 | Propiolic acids | 80–96% yield at 2 mol% loading | [69] |
| Au8Pd1(dppf)42+ cluster | Structural ligand enhancing stability and electron transfer | N-formylation) | CO2, H2, o-phenylenediamine | Benzimidazole | 96.4% yield; Fc improves cluster stability and charge transport; catalyst reusable for 5 cycles without degradation | [70] |
| Fc (electrolyte additive) | Electrolyte additive; stabilises intermediates | Electrochemical CO2 fixation in Li–CO2 battery | CO2 | Li2C2O4 (main) and Li2CO3/C (minor) | Favours 2e− pathway via stabilised intermediates; 15,000 mAh g−1 capacity, 88% efficiency, 137-cycle stability at 500 mAh g−1 | [71] |
| Fe-FcDC MOF | Ligand enabling MLMCT and photothermal effect | Cycloaddition | Epichlorohydrin + CO2 | Epichlorohydrin carbonate | 1135 mmol g−1 in 4 h; TON = 474.5 under full-spectrum irradiation | [72] |
| 32 | Ligand scaffold | Hydrocarboxylation | Alkenes or alkynes + CO2 | Carboxylic acids | 84% yield; Fc improved air-stability | [73] |
| PMo12@Zr–Fc MOF | Photothermal scaffold + structural support | Cycloaddition | Styrene oxide + CO2 | Styrene carbonate | 88.05% yield under solar heating; TON = 601; TOF = 75.1 h−1; enhanced light-to-heat conversion via Fc-containing MOF | [25] |
| 38 | Photothermal agent and Lewis acid site | Cycloaddition | Styrene oxide + CO2 | Styrene carbonate | 94.7% yield under 0.3–0.4 W cm−2 simulated sunlight; TOF = 71.6 h−1; retains >93% yield under 15 vol% CO2; thermal stability >130 °C | [5] |
| 30, 31 | Ligand scaffold | Reductive carboxylation | CO2 + C2H4 + Et3SiH | Triethylsilyl acrylate, propionate | TON = 10 for acrylate; Fc tunes bite angle and hydride stability | [14] |
| 41 | Redox-inert, bifunctional scaffold | Cycloaddition to epoxides | 2-phenyloxirane, terminal/internal epoxides | Cyclic carbonates (e.g., styrene carbonate) | Up to 95% conversion, TOF = 160 h−1 at 0.1 mol%, 150 °C, 10 bar CO2; halide-free, bifunctional system | [74] |
| Material | Fc Role | CO2 Uptake (wt%) 1 | Conditions | Notes/Mechanism | Ref. |
|---|---|---|---|---|---|
| 43 | Structural & electronic | 1.88 | 313 K, 1 atm | Paramagnetic NMR; polar functional groups facilitate adsorption | [75] |
| 44 | Structural | 6.26 | 273 K, 1 atm | BET = 546 m2 g−1; Qst = 27.8–24.7 kJ mol−1; hierarchical porosity with micropore/mesopore coexistence | [76] |
| 3.62 | 298 K, 1 atm | ||||
| 6.26 | 273 K, 1 atm | Qst = 27.8–24.7 kJ mol−1; moderate surface area (546 m2 g−1) | [77] | ||
| 45 | Structural | 10.3 | 273 K, 1 atm | Higher porosity (954 m2 g−1); Qst = 30.8 kJ mol−1 | |
| 46 | Structural | 5.1 | 273 K, 1 atm | Qst up to 32.9 kJ mol−1; mesoporous–microporous mix (BET = 499 m2 g−1) | [32] |
| 47 | Structural | 2.38 | 298 K, 1 atm | Lower surface area (354 m2 g−1); reduced uptake | |
| 58 | Structural + Fe centres | 16.9 | 273 K, 1 atm | Qst = 41.6 kJ mol−1; high CO2/N2 selectivity (107:1) | [23] |
| 59 | Structural & electronic | 16.61 | 273 K, 1 atm | BET: 752.4 m2 g−1; Qst = 32.8 kJ mol−1 | [15] |
| Fc-crosslinked polystyrene resin | Structural & selective | 4.71 | 298 K, 1 atm | Low BET (740 m2 g−1); IAST selectivity CO2/CH4 = 4.3, CO2/CO = 20.6 | [29] |
| 48 | Structural | 7.39 | 273 K, 1 atm | π-π and quadrupole interactions; Qst = 25.21 kJ mol−1 | [78] |
| 49 | Spatial organiser | Reversible binding | 298 K, 1 atm | Chemisorption via B-N FLP pairs; X-ray confirmed dicarbamate adduct | [79] |
| 52–55 | Redox-active backbone | Up to 9.77 (52 at 273 K) | 273–298 K, 1 atm | BET 72–341 m2 g−1; pore widths: 0.4–1.9 nm | [28] |
| 50 | Structural | 6.25 | 298 K, 1 atm | BET = 50 m2 g−1; planar pyrene core enhances π-stacking and porosity | [80] |
| 51 | 5.77 | BET = 8 m2 g−1; twisted TPE unit lowers porosity; modest post-ROP uptake increase | |||
| 56 | Structural & electronic | 6.91 | 273 K, 1 atm | BET = 556 m2 g−1; large pore volume (1.26 cm3 g−1); enhanced uptake from N-rich sites | [81] |
| 5.90 | 298 K, 1 atm | ||||
| 57 | Structural & electronic | 6.73 | 273 K, 1 atm | BET = 428 m2 g−1; slightly lower uptake; PBDT contributes N-centres for CO2 interaction | |
| 2.25 | 298 K, 1 atm |
Disclaimer/Publisher’s Note: The statements, opinions and data contained in all publications are solely those of the individual author(s) and contributor(s) and not of MDPI and/or the editor(s). MDPI and/or the editor(s) disclaim responsibility for any injury to people or property resulting from any ideas, methods, instructions or products referred to in the content. |
© 2025 by the author. Licensee MDPI, Basel, Switzerland. This article is an open access article distributed under the terms and conditions of the Creative Commons Attribution (CC BY) license (https://creativecommons.org/licenses/by/4.0/).
Share and Cite
Torriero, A.A.J. Harnessing Ferrocene for Hydrogen and Carbon Dioxide Transformations: From Electrocatalysis to Capture. Inorganics 2025, 13, 244. https://doi.org/10.3390/inorganics13070244
Torriero AAJ. Harnessing Ferrocene for Hydrogen and Carbon Dioxide Transformations: From Electrocatalysis to Capture. Inorganics. 2025; 13(7):244. https://doi.org/10.3390/inorganics13070244
Chicago/Turabian StyleTorriero, Angel A. J. 2025. "Harnessing Ferrocene for Hydrogen and Carbon Dioxide Transformations: From Electrocatalysis to Capture" Inorganics 13, no. 7: 244. https://doi.org/10.3390/inorganics13070244
APA StyleTorriero, A. A. J. (2025). Harnessing Ferrocene for Hydrogen and Carbon Dioxide Transformations: From Electrocatalysis to Capture. Inorganics, 13(7), 244. https://doi.org/10.3390/inorganics13070244
