Corrosion Resistance of Ti/Cr Gradient Modulation Period Nanomultilayer Coatings Prepared by Magnetron Sputtering on 7050 Aluminum Alloy
Abstract
1. Introduction
2. Results and Discussions
2.1. Cross-Sectional Morphology Analysis
2.2. Phase Characterization Analysis
2.3. Mechanical Properties Analysis
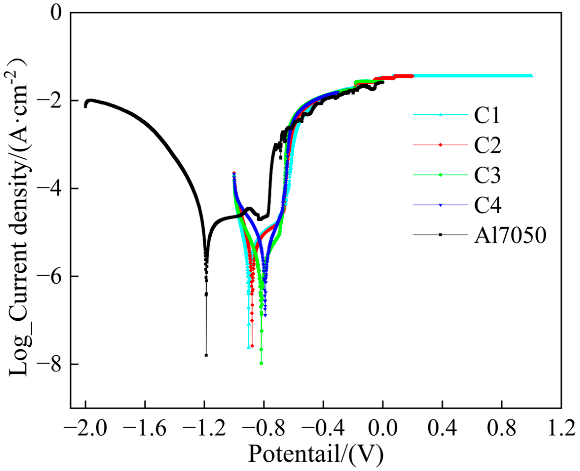
2.4. Corrosion Resistance Analysis
2.5. Corrosion Morphology Analysis
3. Materials and Experimental
3.1. Substrate Preparation
3.2. Coating Deposition
3.3. Sample Characterization
3.4. Mechanical Property Testing
3.5. Electrochemical Corrosion Testing
4. Conclusions
Author Contributions
Funding
Institutional Review Board Statement
Informed Consent Statement
Data Availability Statement
Conflicts of Interest
References
- Zhan, H.; Zeng, G.; Wang, Q.; Wang, C.; Wang, P.; Wang, Z.; Xu, Y.; Hess, D.; Crepeau, P.; Wang, J. Unified casting (UniCast) aluminum alloy—A sustainable and low-carbon materials solution for vehicle lightweighting. J. Mater. Sci. Technol. 2023, 154, 251–268. [Google Scholar] [CrossRef]
- Zhang, J.; He, T.; Du, X.; Alexey, V.; Song, M.; Chen, X. Enhanced mechanical properties in 7075 Al alloy fasteners processed by post ECAP-CU aging. Mater. Today Commun. 2025, 45, 112274. [Google Scholar] [CrossRef]
- Raabe, D.; Ponge, D.; Uggowitzer, P.J.; Roscher, M.; Paolantonio, M.; Liu, C.; Antrekowitsch, H.; Kozeschnik, E.; Seidmann, D.; Gault, B.; et al. Making sustainable aluminum by recycling scrap: The science of “dirty” alloys. Prog. Mater. Sci. 2022, 128, 100947. [Google Scholar] [CrossRef]
- Jia, D.-S.; He, T.; Song, M.; Huo, Y.-M.; Hu, H.-Y. Effects of equal channel angular pressing and further cold upsetting process to the kinetics of precipitation during aging of 7050 aluminum alloy. J. Mater. Res. Technol. 2023, 26, 5126–5140. [Google Scholar] [CrossRef]
- Moffat, A.; Barnes, S.; Mellor, B.; Reed, P. The effect of silicon content on long crack fatigue behaviour of aluminium–silicon piston alloys at elevated temperature. Int. J. Fatigue 2005, 27, 1564–1570. [Google Scholar] [CrossRef]
- Yandouzi, M.; Richer, P.; Jodoin, B. SiC particulate reinforced Al–12Si alloy composite coatings produced by the pulsed gas dynamic spray process: Microstructure and properties. Surf. Coat. Technol. 2009, 203, 3260–3270. [Google Scholar] [CrossRef]
- Mora-Sanchez, H.; del Olmo, R.; Rams, J.; Torres, B.; Mohedano, M.; Matykina, E.; Arrabal, R. Hard Anodizing and Plasma Electrolytic Oxidation of an Additively Manufactured Al-Si alloy. Surf. Coat. Technol. 2021, 420, 127339. [Google Scholar] [CrossRef]
- Li, Z.-Y.; Cai, Z.-B.; Cui, Y.; Liu, J.-H.; Zhu, M.-H. Effect of oxidation time on the impact wear of micro-arc oxidation coating on aluminum alloy. Wear 2019, 426–427, 285–295. [Google Scholar] [CrossRef]
- Chen, L.; Liu, Z.; Shen, Q. Enhancing tribological performance by anodizing micro-textured surfaces with nano-MoS2 coatings prepared on aluminum-silicon alloys. Tribol. Int. 2018, 122, 84–95. [Google Scholar] [CrossRef]
- Bhowmik, A.; Yang, Y.; Zhou, W.; Chew, Y.; Bi, G. On the heterogeneous cooling rates in laser-clad Al-50Si alloy. Surf. Coat. Technol. 2021, 408, 126780. [Google Scholar] [CrossRef]
- Karunakaran, M.; Pugazh Vadivu, M. Magnetic and micro-mechanical behavior of Cu-Ni-P-W-TiO2 hybrid composite electroplating on Al alloy substrate. J. Magn. Magn. Mater. 2019, 475, 359–367. [Google Scholar] [CrossRef]
- Xu, F.; Gong, D. Improved the elevated temperature mechanical properties of Al-Si alloy deposited with Al-Si coating by magnetron sputtering. Vacuum 2018, 150, 1–7. [Google Scholar] [CrossRef]
- Cao, Y.; Zhang, P.; Sun, W.; Zhang, W.; Wei, H.; Wang, J.; Li, B.; Yi, X.; Xu, G.; Wu, Y. Effects of bias voltage on coating structures and anticorrosion performances of PA-PVD Al coated NdFeB magnets. J. Rare Earths 2021, 39, 703–711. [Google Scholar] [CrossRef]
- Yumusak, G.; Leyland, A.; Matthews, A. A microabrasion wear study of nitrided α-Ti and β-TiNb PVD metallic thin films, pre-deposited onto titanium alloy substrates. Surf. Coat. Technol. 2022, 442, 128423. [Google Scholar] [CrossRef]
- Martinuzzi, S.M.; Donati, L.; Giurlani, W.; Pizzetti, F.; Galvanetto, E.; Calisi, N.; Innocenti, M.; Caporali, S. A Comparative Research on Corrosion Behavior of Electroplated and Magnetron Sputtered Chromium Coatings. Coatings 2022, 12, 257. [Google Scholar] [CrossRef]
- Yang, K.; Yan, J.; Wang, Q.; Ding, J.; Xu, Q.; Wen, Z.; Zeng, R.; Lu, C.; Fan, T.; Gong, M.; et al. Revealing microstructure and the associated corrosion mechanism of Al/amorphous Al2O3/Al tri-layer coating deposited on depleted uranium by magnetron sputtering. Appl. Surf. Sci. 2024, 659, 159911. [Google Scholar] [CrossRef]
- Zhao, C.; Zhu, Y.; Yuan, Z.; Li, J. Structure and tribocorrosion behavior of Ti/TiN multilayer coatings in simulated body fluid by arc ion plating. Surf. Coat. Technol. 2020, 403, 126399. [Google Scholar] [CrossRef]
- Tao, H.; Zhylinski, V.; Vereschaka, A.; Chayeuski, V.; Yuanming, H.; Milovich, F.; Sotova, C.; Seleznev, A.; Salychits, O. Comparison of the Mechanical Properties and Corrosion Resistance of the Cr-CrN, Ti-TiN, Zr-ZrN, and Mo-MoN Coatings. Coatings 2023, 13, 750. [Google Scholar] [CrossRef]
- Hao, J.; Zhang, L. Strongly reduced Ehrlich–Schwoebel barriers at the Cu (111) stepped surface with In and Pb surfactants. Surf. Sci. 2018, 667, 13–16. [Google Scholar] [CrossRef]
- Sbiaai, K.; Boughaleb, Y.; Mazroui, M.; Hajjaji, A.; Kara, A. Energy barriers for diffusion on heterogeneous stepped metal surfaces: Ag/Cu(110). Thin Solid Films 2013, 548, 331–335. [Google Scholar] [CrossRef]
- Liu, Y.; Yu, S.; Shi, Q.; Ge, X.; Wang, W. Multilayer Coatings for Tribology: A Mini Review. Nanomaterials 2022, 12, 1338. [Google Scholar] [CrossRef]
- Zhang, X.; Mao, Q.; Yu, Z.; Shi, S.; Liu, Z.; Zhao, Y. Multi-layer structure improves wear and corrosion resistance of chromium. Surf. Coat. Technol. 2025, 508, 132165. [Google Scholar] [CrossRef]
- Madhavan, R.; Bellon, P.; Averback, R.S. Wear Resistance of Cu/Ag Multilayers: A Microscopic Study. ACS Appl. Mater. Interfaces 2018, 10, 15288–15297. [Google Scholar] [CrossRef]
- Liu, T.; Dong, C.; Wu, S.; Tang, K.; Wang, J.; Jia, J. TiN, TiN gradient and Ti/TiN multi-layer protective coatings on Uranium. Surf. Coat. Technol. 2007, 201, 6737–6741. [Google Scholar] [CrossRef]
- Zhu, S.; Wu, Y.; Liu, T.; Tang, K.; Wei, Q. Interface structure and corrosion resistance of Ti/Cr nanomultilayer film prepared by magnetron sputtering on depleted uranium. ACS Appl. Mater. Interfaces 2013, 5, 6598–6602. [Google Scholar] [CrossRef] [PubMed]
- Hu, D.; Fu, Q.; Tong, M.; Li, X. Multiple cyclic ablation behaviors of multilayer ZrC-TaC coating with ZrC-SiC interface layer. Corros. Sci. 2022, 200, 110215. [Google Scholar] [CrossRef]
- Yuan, Z.; Han, Y.; Zang, S.; Chen, J.; He, G.; Chai, Y.; Yang, Z.; Fu, Q. Damage evolution behavior of TiN/Ti multilayer coatings under high-speed impact conditions. Surf. Coat. Technol. 2021, 426, 127807. [Google Scholar] [CrossRef]
- Misra, A.; Hirth, J.P.; Hoagland, R.G. Length-scale-dependent deformation mechanisms in incoherent metallic multilayered composites. Acta Mater. 2005, 53, 4817–4824. [Google Scholar] [CrossRef]
- Li, J.; Chen, Y.; Xue, S.; Wang, H.; Zhang, X. Comparison of size dependent strengthening mechanisms in Ag/Fe and Ag/Ni multilayers. Acta Mater. 2016, 114, 154–163. [Google Scholar] [CrossRef]
- Flores, M.; Muhl, S.; Huerta, L.; Andrade, E. The influence of the period size on the corrosion and the wear abrasion resistance of TiN/Ti multilayers. Surf. Coat. Technol. 2005, 200, 1315–1319. [Google Scholar] [CrossRef]
- Zuo, B.; Xu, J.; Lu, G.; Ju, H.; Yu, L. Microstructures, mechanical properties and corrosion resistance of TiN/AlN multilayer films. Ceram. Int. 2022, 48, 11629–11635. [Google Scholar] [CrossRef]
- Shi, W.; Peng, J.; Xu, Z.; Shen, Q.; Wang, C. Effect of Power on Structural and Mechanical Properties of DC Magnetron Sputtered Cr Coatings. Metals 2023, 13, 691. [Google Scholar] [CrossRef]
- Bai, X.M.; Zheng, W.T.; Guo, X.J.; She, H. Microstructure, Interface and Hardness of Ti/TiN Nanolayered Coatings. Key Eng. Mater. 2013, 531, 645–650. [Google Scholar] [CrossRef]
- Debnárová, S.; Souček, P.; Vašina, P.; Zábranský, L.; Buršíková, V.; Mirzaei, S.; Pei, Y.T. The tribological properties of short range ordered W-B-C protective coatings prepared by pulsed magnetron sputtering. Surf. Coat. Technol. 2019, 357, 364–371. [Google Scholar] [CrossRef]
- Tu, Y.; Li, J.; Yuan, Y.; Zhao, J.; Hameed, A.; Yan, C.; Chen, H.; Lan, R.; Cheng, B.; Wang, P.; et al. Thickness modulation influenced mechanical properties of TiN/(CrVTaTiW)N multilayer coatings. Ceram. Int. 2024, 50, 53007–53014. [Google Scholar] [CrossRef]
- Mei, F.; Zhijian, Z.; Yang, Y.; Xiaoliang, L.; Jiangxiong, G.; Tiechui, Y.; Jianguo, L. Microstructure, mechanical, tribological, and oxidizing properties of AlCrSiN/AlCrVN/AlCrNbN multilayer coatings with different modulated thicknesses. Ceram. Int. 2022, 48, 32973–32985. [Google Scholar] [CrossRef]
- Oje, A.M.; Ogwu, A.A.; Oje, A.I. An investigation of the work function and stability of chromium oxide thin films deposited by reactive magnetron sputtering. J. Appl. Electrochem. 2022, 52, 1551–1562. [Google Scholar] [CrossRef]
- Chen, J.; Ding, X.; Wang, J.; Xie, Z.; Wang, S. Corrosion behavior, metal ions release and wear resistance of TiN coating deposited on SLM CoCrMo alloy by magnetron sputtering. J. Alloys Compd. 2024, 1002, 175318. [Google Scholar] [CrossRef]
- Li, J.; He, T.; Du, X.-Y.; Vereschaka, A. Enhancing the corrosion resistance of high-strength Al-Zn-Mg-Cu alloys after equal channel angular pressing by developing retrogression and re-aging strategies. Corros. Sci. 2025, 246, 112736. [Google Scholar] [CrossRef]
- He, T.; Valery, Z.; Vereschaka, A.; Keshin, A.; Huo, Y.; Milovich, F.; Sotova, C.; Seleznev, A. Influence of niobium and hafnium doping on the wear and corrosion resistance of coatings based on ZrN. J. Mater. Res. Technol. 2023, 27, 6386–6399. [Google Scholar] [CrossRef]
- Wang, Y.; Zhang, J.; Wang, Y.; Wang, C.; Guo, W.; Lu, X.; Sui, Y.; Lan, J. Inhibiting tribocorrosion damage of Cr/CrxN coatings by multi-layer design. Ceram. Int. 2021, 47, 842–850. [Google Scholar] [CrossRef]
- Sun, W.; Lv, Y.; Gao, J.; Gu, G.; Luo, Q.; Feng, Q.; Jia, B.; Ma, F. Enhanced corrosion resistance and electrical conductivity of Nb/NbN multilayer coatings prepared by the combination methods of magnetron sputtering and pulse laser deposition. Int. J. Hydrogen Energy 2025, 127, 160–168. [Google Scholar] [CrossRef]
- Guan, X.; Zhao, M.; Shi, H.; Wang, Y.; Wang, Z.; Cheng, Y.; Liu, M. CrZrN/ZrN multilayer coatings on 316L stainless steel towards anticorrosion application. Thin Solid Films 2022, 755, 139330. [Google Scholar] [CrossRef]
- Li, J.; He, T.; Du, X.-Y.; Vereschaka, A.; Zhang, J.-J. Regulating hardness homogeneity and corrosion resistance of Al-Zn-Mg-Cu alloy via ECAP combined with inter-pass aging. Mater. Charact. 2024, 218, 114489. [Google Scholar] [CrossRef]
- Liu, F.; Cao, H.; Li, H.; Yang, J.; Zhao, N.; Qi, F.; Ouyang, X. Effect of annealing on the microstructure, mechanical and electrochemical properties of CrAlC coatings. Surf. Coat. Technol. 2022, 447, 128800. [Google Scholar] [CrossRef]
- Kroll, R.; Kearns, P.; Usman, B.J.; Zhou, X.; Engelberg, D.L. A novel approach to determine cathodic passivation characteristics and semiconducting properties of pure aluminium 99.5 wt% and aluminium alloy 7075-T6 with an electrochemical pen electrode. Corros. Sci. 2023, 211, 110898. [Google Scholar] [CrossRef]
- Cao, F.H.; Zhang, Z.; Li, J.F.; Cheng, Y.L.; Zhang, J.Q.; Cao, C.N. Exfoliation corrosion of aluminum alloy AA7075 examined by electrochemical impedance spectroscopy. Mater. Corros. 2004, 55, 18–23. [Google Scholar] [CrossRef]
- Yang, J.; Shou, D.; Zhao, N.; Tang, Y.; Cao, H.; Qi, F.; Ouyang, X. Interfacial structure, mechanical properties, and corrosion resistance of Cr/TiSiN nano-multilayer coating by filtered cathode vacuum arc technique. J. Manuf. Process. 2025, 136, 267–281. [Google Scholar] [CrossRef]
- Zhang, J.-J.; He, T.; Du, X.-Y.; Alexer, V.; Song, M.; Chen, X.-L.; Li, J. Effect of pre-heat treatment and subsequent ECAP-CU on microstructure and corrosion behavior of 7075 Al alloy fasteners. J. Cent. South Univ. 2024, 1–21. [Google Scholar] [CrossRef]
- Inman, S.B.; Sur, D.; Han, J.; Ogle, K.; Scully, J.R. Corrosion behavior of a compositionally complex alloy utilizing simultaneous Al, Cr, and Ti passivation. Corros. Sci. 2023, 217, 111138. [Google Scholar] [CrossRef]
- Cai, F.; Zhou, Q.; Chen, J.; Zhang, S. Effect of inserting the Zr layers on the tribo-corrosion behavior of Zr/ZrN multilayer coatings on titanium alloys. Corros. Sci. 2023, 213, 111002. [Google Scholar] [CrossRef]
- Zhao, X.; Munroe, P.; Habibi, D.; Xie, Z. Roles of compressive residual stress in enhancing the corrosion resistance of nano nitride composite coatings on steel. J. Asian Ceram. Soc. 2018, 1, 86–94. [Google Scholar] [CrossRef]
- Li, G.; Zhang, L.; Cai, F.; Yang, Y.; Wang, Q.; Zhang, S. Characterization and corrosion behaviors of TiN/TiAlN multilayer coatings by ion source enhanced hybrid arc ion plating. Surf. Coat. Technol. 2019, 366, 355–365. [Google Scholar] [CrossRef]












| Sample | Ecorr (V) | Icorr (A/cm2) | (V/dec) | (V/dec) |
|---|---|---|---|---|
| C1 | −0.924 | 1.19 × 10−6 | 0.35 | 0.087 |
| C2 | −0.879 | 3.28 × 10−6 | 0.33 | 0.097 |
| C3 | −0.819 | 2.77 × 10−6 | 0.13 | 0.11 |
| C4 | −0.785 | 3.51 × 10−6 | 0.13 | 0.17 |
| Al 7050 | −1.187 | 34.74 × 10−6 | 6.19 | 0.16 |
| Sample | Rs | CPE1 | Rpo/Rf | CPE2 | Rct | ||
|---|---|---|---|---|---|---|---|
| (Ω·cm2) | Y1 (Ω−1·cm−2·sn) | n1 | (Ω·cm2) | Y2 (Ω−1·cm−2·sn) | n2 | (Ω·cm2) | |
| C1 | 71.43 | 0.0011757 | 0.88155 | 5062 | 0.0035597 | 0.926 | 8742 |
| C2 | 75.65 | 0.0008918 | 0.88928 | 4105 | 0.0006316 | 0.822 | 6489 |
| C3 | 75.41 | 0.0005883 | 0.90282 | 4406 | 0.0011368 | 0.987 | 3964 |
| C4 | 75.38 | 0.0007337 | 0.87683 | 3761 | 0.0007964 | 0.952 | 4754 |
| 7050Al | 61.69 | 0.0007259 | 0.83698 | 2772 | 0.0032751 | 0.998 | 2236 |
| Samples | Sublayer Coatings | Deposition Time T/min | ||||||||
|---|---|---|---|---|---|---|---|---|---|---|
| Innermost Layer → Outermost Layer | ||||||||||
| τ1 | τ2 | τ3 | τ4 | τ5 | τ6 | τ7 | τ8 | Ti Coating | ||
| C1 | Ti | 16 | 14 | 12 | 10 | 8 | 6 | 4 | 2 | 8 |
| Cr | 16 | 14 | 12 | 10 | 8 | 6 | 4 | 2 | / | |
| C2 | Ti | 2 | 4 | 6 | 8 | 10 | 12 | 14 | 16 | 8 |
| Cr | 2 | 4 | 6 | 8 | 10 | 12 | 14 | 16 | / | |
| C3 | Ti | 6 | 16 | 4 | 10 | 8 | 12 | 2 | 14 | 8 |
| Cr | 6 | 16 | 4 | 10 | 8 | 12 | 2 | 14 | / | |
| C4 | Ti | 9 | 9 | 9 | 9 | 9 | 9 | 9 | 9 | 8 |
| Cr | 9 | 9 | 9 | 9 | 9 | 9 | 9 | 9 | / | |
Disclaimer/Publisher’s Note: The statements, opinions and data contained in all publications are solely those of the individual author(s) and contributor(s) and not of MDPI and/or the editor(s). MDPI and/or the editor(s) disclaim responsibility for any injury to people or property resulting from any ideas, methods, instructions or products referred to in the content. |
© 2025 by the authors. Licensee MDPI, Basel, Switzerland. This article is an open access article distributed under the terms and conditions of the Creative Commons Attribution (CC BY) license (https://creativecommons.org/licenses/by/4.0/).
Share and Cite
Chen, K.; He, T.; Du, X.; Vereschaka, A.; Sotova, C.; Ding, Y.; Li, J. Corrosion Resistance of Ti/Cr Gradient Modulation Period Nanomultilayer Coatings Prepared by Magnetron Sputtering on 7050 Aluminum Alloy. Inorganics 2025, 13, 242. https://doi.org/10.3390/inorganics13070242
Chen K, He T, Du X, Vereschaka A, Sotova C, Ding Y, Li J. Corrosion Resistance of Ti/Cr Gradient Modulation Period Nanomultilayer Coatings Prepared by Magnetron Sputtering on 7050 Aluminum Alloy. Inorganics. 2025; 13(7):242. https://doi.org/10.3390/inorganics13070242
Chicago/Turabian StyleChen, Kang, Tao He, Xiangyang Du, Alexey Vereschaka, Catherine Sotova, Yang Ding, and Jian Li. 2025. "Corrosion Resistance of Ti/Cr Gradient Modulation Period Nanomultilayer Coatings Prepared by Magnetron Sputtering on 7050 Aluminum Alloy" Inorganics 13, no. 7: 242. https://doi.org/10.3390/inorganics13070242
APA StyleChen, K., He, T., Du, X., Vereschaka, A., Sotova, C., Ding, Y., & Li, J. (2025). Corrosion Resistance of Ti/Cr Gradient Modulation Period Nanomultilayer Coatings Prepared by Magnetron Sputtering on 7050 Aluminum Alloy. Inorganics, 13(7), 242. https://doi.org/10.3390/inorganics13070242

