Abstract
In this study, Mn2+ and Eu2+-codoped Sr3−xBaxMgSi2O8 (x = 0–1.5) phosphors were synthesized at 1400 °C under a reducing atmosphere composed of 5% H2 and 95% N2 to produce materials with blue light emission. The resulting powders were characterized using several analytical techniques: X-ray diffraction (XRD) was employed to identify the crystalline phases, scanning electron microscopy (SEM) was used to observe the microstructure, and photoluminescence excitation (PLE) and emission (PL) spectra were measured using a fluorescence spectrophotometer. The results revealed several key findings. XRD analysis showed that the Sr3MgSi2O8 (Sr3−xBaxMgSi2O8) phase coexisted with secondary phases of Sr2SiO4 and Sr2MgSi2O7. SEM observations indicated that the synthesized powders exhibited a distinctive needle-like structure anchored on the surfaces of the particles. The PL and PLE intensities increased sharply as the BaO content increased from x = 0 to x = 0.6, followed by a more gradual increase, reaching a peak at x = 1.2. Additionally, as the value of x increased, the wavelengths corresponding to maximum PL and PLE intensities exhibited a blue shift, moving to shorter wavelengths. Further investigation focused on the excitation behavior by replotting the PLE spectra using energy (eV) as the x-axis. A Gaussian fitting function was applied to deconvolute the excitation bands, enabling an in-depth analysis of how compositional variations influenced the Stokes shift.
1. Introduction
The M3MgSi2O8 (M = Ba, Sr, Ca) compounds have garnered significant attention as promising host materials for Eu2+-doped blue-emitting phosphors due to their stable crystal structures and efficient luminescence [1,2,3]. Previous studies, such as those by Jung et al., had shown that the PL emission intensity of Eu2+-doped Ba3MgSi2O8 is lower than that of Eu2+-doped Sr3MgSi2O8 phosphor [4]. Zhang et al. further investigated the PL properties of Eu2+-doped Sr3−xBaxMgSi2O8 (abbreviated as SBMSO-x) phosphors with varying BaO contents from x = 0 to 3.0, reporting notable changes in emission intensity that correlated with BaO concentration [4]. We also found that the CaO content significantly influenced the photoluminescence excitation (PLE) and photoluminescence (PL) properties of Eu2+-doped CaxMg2−xSi2O6 phosphors [5]. The results from the past clearly show that when altering phosphors based on alkaline earth metals and silicon as the main host materials, changes in the composition of the alkaline earth elements have a significant impact on the PLE and PL properties of the synthesized phosphors. These studies also suggest that the BaO content in Eu2+-doped SBMSO-x phosphors will have a significant influence on their PLE and PL characteristics. Kim et al. conducted a comprehensive investigation into the luminescent properties of Eu2+ and Mn2+ codoped X3MgSi2O8 (X = Ba, Sr, Ca) phosphors [6]. Their research emphasized the variations in emission colors associated with three distinct emission bands. These variations were systematically analyzed and attributed to differences in crystal-field strength and the degree of covalency within the host lattices, providing deeper insights into the underlying photophysical mechanisms.
Barry investigated the equilibria and Eu2+ luminescence of subsolidus phases defined by Ca3MgSi2O8, Sr3MgSi2O8, and Ba3MgSi2O8 [7,8,9]. Han et al. found that Eu2+-doped Ba3MgSi2O8 exhibited the strongest luminescence with the shortest emission wavelength of 437 nm, while Eu2+-doped Ca3MgSi2O8: showed the longest wavelength of 475 nm and the weakest emission, and Eu2+-doped S3MgSi2O8 displayed intermediate characteristics, emitting at 458 nm [10]. While previous studies have investigated M3MgSi2O8-based phosphors, our research sets itself apart through a comprehensive and systematic examination of their crystal phase evolution, morphological features, and luminescent properties. Building upon this, the present study investigated the SBMSO-x system as a host lattice, codoped with Mn2+ and Eu2+ ions as activators (abbreviated as M-E-SBMSO-x) [10,11]. To date, there has been little to no comprehensive investigation into how the photoluminescent properties of the M-E-SBMSO-x-based phosphors vary systematically with BaO content. In this work, we introduce a novel compositional strategy by the M-E-SBMSO-x-based phosphors. This compositional variation in the SBMSO-x system induced pronounced changes in crystal phase evolution, particle morphology, and, most notably, optical performance.
The primary focus is to examine the effect of BaO substitution (x = 0–1.5) on the PLE and PL characteristics of the M-E-SBMSO-x phosphors. X-ray diffraction (XRD) analysis confirmed that the synthesized M-E-SBMSO-x powders coexisted with secondary phases, including Sr2SiO4 and Sr2MgSi2O7, indicating partial phase separation due to BaO incorporation. Scanning electron microscopy (SEM) revealed a characteristic needle-like morphology, where elongated structures were observed anchoring onto the surfaces of the particles—an indicator of anisotropic growth behavior during synthesis. Photoluminescence measurements demonstrated a marked increase in both PL and PLE intensities of M-E-SBMSO-x phosphors as the BaO content increased from x = 0 to x = 0.6, followed by a more gradual enhancement up to a maximum at x = 1.2. This enhancement can be attributed to the decrease in the secondary phases and modified local environments around the activator ions, which reduce non-radiative recombination pathways. Beyond x = 1.2, saturation or quenching effects may begin to limit further luminescence improvement. Moreover, as BaO content increased, a noticeable blue shift in the emission and excitation wavelengths was observed. This shift toward shorter wavelengths is likely due to changes in the crystal field environment and covalency around the luminescent centers, influenced by the larger ionic radius of Ba2+ compared to Sr2+, which leads to lattice expansion and bandgap modification.
To further analyze the excitation mechanisms, the PLE spectra were replotted using photon energy (eV) on the x-axis. Gaussian deconvolution was employed to resolve overlapping excitation bands, facilitating a more precise evaluation of the energy levels involved. This approach also allowed for a quantitative assessment of the Stokes shift as a function of composition, providing insights into the electron-phonon coupling and the energy relaxation dynamics in the phosphor materials. We also investigated the temperature-dependent luminescence behavior of the M-E-SBMSO-x phosphors by measuring their PL intensities from room temperature up to 210 °C. The primary objective was to evaluate the thermal stability of their photoluminescent efficiency, which is a critical parameter for practical applications in optoelectronic devices, such as light-emitting diodes (LEDs). As temperature increases, non-radiative relaxation processes-primarily driven by phonon-assisted transitions-tend to become more significant, often resulting in a decrease in luminescence intensity. Therefore, examining the thermal quenching behavior provides insights into the material’s activation energy for thermal quenching and the robustness of the host lattice in preserving the radiative recombination pathways at elevated temperatures. By analyzing the temperature dependence of PL intensity, we aimed to determine the thermal quenching activation energy and assess whether this phosphor composition exhibits sufficient thermal stability for integration into high-power or high-temperature LED systems. A stable luminescent output across a broad temperature range would indicate its potential as a reliable down-conversion phosphor for solid-state lighting applications.
2. Results and Discussion
One of the primary objectives of this study is to explore how varying the BaO content affects the synthesis properties of M-E-SBMSO-x powders. To achieve this, the concentrations of the Mn2+ and Eu2+-codoped activators were fixed at 0.05 and 0.0075, respectively. Meanwhile, the BaO content was adjusted to modify the host lattice, altering the composition of M-E-SBMSO-x by varying the x value from 0 to 1.5 in increments of 0.3. X-ray diffraction (XRD) analysis was employed as a key technique to investigate the crystal structure of the synthesized phosphors. The resulting XRD patterns, shown in Figure 1a for a broad range, reflect the changes in crystal phases as a function of the varying SrO content. The diffraction peaks were compared with the standard JCPDS card No. 01-090-0307 for Sr3MgSi2O8 to confirm whether Sr3MgSi2O8 (SBMSO-x) is the primary crystalline phase present in the synthesized M-E-SBMSO-x powders. The diffraction peaks corresponding to the Ba0.125Sr2.875Mg(SiO4)2 composition, referenced from JCPDS No. 04-022-8338, were also used to identify the diffraction peaks of the M-E-SBMSO-x phosphors. According to JCPDS No. 01-090-0307, the Sr3MgSi2O8 phase exhibits a monoclinic structure with the space group P21/a and angles α = β = γ = 90°. The unit cell parameters a, b, and c are 13.877 Å, 5.4577 Å, and 9.452 Å, with a unit cell volume of 715.86 Å3. In comparison, the Ba0.125Sr2.875Mg(SiO4)2 composition, as reported in JCPDS No. 04-022-8338, also adopts a monoclinic structure, but with space group C2. Its unit cell parameters a, b, and c are 13.886 Å, 5.4637 Å, and 9.452 Å, with angles α = γ = 90° and β = 90.4453°, and a unit cell volume of 717.09 Å3. These findings suggest that substituting BaO for SrO in the Sr3MgSi2O8 lattice to form SBMSO-x results in a slight expansion of the lattice parameters a and b, along with an increase in the β angle beyond 90°.
Figure 1.
(a) XRD patterns of the synthesized M-E-SBMSO-x powders in (a) a broad range and (b) a narrow range.
The analysis results presented in Figure 1 demonstrate a strong correlation between the observed diffraction peaks and those listed in JCPDS No. 01-090-0307 and JCPDS No. 04-022-8338. Although minor deviations in the 2θ values are observed, the data provide compelling evidence that the synthesized M-E-SBMSO-x phosphors possess a monoclinic crystal structure. These slight shifts in 2θ may stem from factors such as lattice distortions or variations in chemical composition. Further investigation is necessary to clarify the underlying causes of these deviations and to assess their potential impact on the material’s properties. It is also noteworthy that all synthesized M-E-SBMSO-x phosphors consistently match the characteristic diffraction peaks. However, slight variations in the intensities of the diffraction peaks were also observed. These results confirm that the dominant crystal structure of all synthesized M-E-SBMSO-x powders is monoclinic, with a P21/a space group, showing excellent agreement with the standard patterns from JCPDS No. 01-090-0307 and JCPDS No. 04-022-8338. Moreover, the data presented in Figure 1 indicate that increasing the BaO content does not alter the primary monoclinic phase nor significantly enhance the formation of secondary phases. Across all synthesized M-E-SBMSO-x samples, diffraction peaks corresponding to Sr3MgSi2O8 and Ba0.125Sr2.875Mg(SiO4)2 compositions were identified. In addition, secondary phases such as Sr2SiO4 in JCPDS No. 39-1256 and Sr2MgSi2O7 in JCPDS No. 009-1842 were also detected, as shown in Figure 1.
Notably, Figure 1b shows that the intensities of the two secondary phase diffraction peaks ((211) for Sr2SiO4 phase and (211) for Sr2MgSi2O7 phase) decrease with increasing BaO content. To further investigate the crystal structure of the M-E-SBMSO-x powders, Figure 1b presents the XRD patterns within a narrow 2θ range of 30–34°, corresponding to BaO content progressively increasing from x = 0 to x = 0.15. The results indicate that the main diffraction peak of the M-E-SBMSO-x powders corresponds to the (013) plane. Two key observations can be drawn from Figure 1b. First, the intensity of the (013) diffraction peak decreases as the BaO content increases. Second, with increasing BaO content from 0 to 0.15, the 2θ position of the (013) peak exhibits a noticeable and nearly linear shift from 2θ = 32.82° to 2θ = 32.48°. This shift suggests a gradual decrease in the lattice constant of the M-E-SBMSO-x powders as BaO content increases. This phenomenon can be attributed to the ionic substitution of Ba2+ for Sr2+ in the crystal lattice. Since the ionic radius of Ba2+ (approximately 1.61 Å) is larger than that of Sr2+ (approximately 1.44 Å), the substitution leads to a lattice distortion. The observed shift toward lower 2θ values provides supporting evidence of Ba2+ incorporation into Sr2+ sites, resulting in a contraction of the overall lattice dimensions.
Figure 1 also shows that the peaks for Sr2SiO4 and Sr2MgSi2O7 also shift to lower 2θ values. The shift of the Sr2SiO4 and Sr2MgSi2O7 peaks to lower 2θ values indicates lattice expansion, which is consistent with the incorporation of larger Ba2+ ions (ionic radius ~1.35 Å) substituting for smaller Sr2+ ions (ionic radius ~1.18 Å) in these secondary phases. This suggests that some of the Ba2+ is indeed entering the crystal structures of the secondary phases rather than solely substituting into the Sr3MgSi2O8 host lattice. This observation implies that the Sr3MgSi2O8 lattice has a limited tolerance or solubility for Ba2+. Once the solubility limit is exceeded, the excess Ba2+ ions are likely to be incorporated into the secondary phases instead. Therefore, the presence of Ba in these secondary phases indicates that not all of the added Ba is successfully doped into the Sr3MgSi2O8 phase, which may affect the uniformity and efficiency of luminescent properties attributed to Ba-related lattice distortions or energy transfer pathways in the host phase.
These findings highlight the crucial role of BaO content in influencing the composition of the synthesized M-E-SBMSO-x powders, which, in turn, significantly affects their PL properties. For the synthesized M-E-SBMSO-x phosphors, it is observed that the XRD diffraction peak intensities gradually decrease with increasing BaO content. However, this reduction in peak intensity is not attributed to a decrease in crystallinity. Instead, it can be explained by the gradual substitution of Sr2+ by the larger Ba2+ ions, which causes lattice expansion and slight structural disorder. These structural distortions can lead to reduced diffraction intensity due to increased lattice strain and enhanced diffuse scattering, even though the overall crystalline phase remains intact. Furthermore, the persistence of sharp and well-defined diffraction peaks across all compositions confirms that the samples maintain good crystallinity. Therefore, the decline in XRD intensity with increasing BaO content is primarily related to changes in atomic scattering contrast and local structural modifications rather than a degradation of crystallinity.
All M-E-SBMSO-x powders exhibit a monoclinic crystal structure, belonging to the space group P21/a. The unit cell parameters were determined through Rietveld refinement: a technique used to evaluate the agreement between observed diffraction data and a calculated pattern based on a proposed crystal structure model. The refined structural parameters varied with changes in BaO content, as summarized in Table 1. The results show that the lattice constants a, b, and c, as well as the unit cell volume and the β angle, slightly increased with increasing BaO content, while the α and γ angles remained fixed at 90°. This demonstrates that when x = 0, the M-E-SBMSO-0 powder cannot fully transform into a cubic phase. As the BaO content increases, the M-E-SBMSO-x powders tend to gradually shift toward the monoclinic phase, resulting in a gradual increase in the β angle. The refinement yielded the following values for the weighted profile R-factor (Rwp) and the profile R-factor (Rp): for M-E-SBMSO-0, M-E-SBMSO-0.3, M-E-SBMSO-0.6, M-E-SBMSO-0.9, M-E-SBMSO-1.2, and M-E-SBMSO-1.5, the Rwp values were 8.89%, 8.75%, 8.53%, 8.42%, 8.33%, and 8.25%, while the Rp values were 5.23%, 5.05%, 4.90%, 5.82%, 4.74%, and 4.65%, respectively. These results validate the reliability of the refined parameters, demonstrating a strong agreement between the experimental data from the XRD patterns and the crystal structure model proposed in this study.
Table 1.
Refined structural parameters of all the M-E-SBMSO-x powders as a function of BaO content.
The Mn2+ and Eu2+-codoped Sr3−xBaxMgSi2O8 (x = 0–1.5) phosphors were found to comprise three primary crystalline phases, namely Sr3−xBaxMgSi2O8, Sr2SiO4, and Sr2MgSi2O7, as confirmed through XRD analysis and subsequent Rietveld refinement. Although the Ba2+ substitution was initially targeted for incorporation into the Sr3−xBaxMgSi2O8 host lattice, it is plausible that Ba2+ ions also partially substitute into the Sr2SiO4 and Sr2MgSi2O7 lattices. This is attributed to the comparable ionic radii and coordination geometries of Ba2+ and Sr2+, which facilitate the incorporation of Ba2+ into multiple structural environments. Such inter-phase distribution of Ba2+ ions introduces a level of compositional complexity that hinders the precise quantification of Ba content within each individual phase when relying solely on Rietveld refinement, as this technique primarily yields phase fractions rather than site-specific elemental distributions. Nonetheless, the Rietveld refinement remains effective for determining the relative mole fractions of the crystalline phases present in the samples. The quantitative phase compositions derived from the refinement are summarized in Table 2, providing insight into the phase evolution as a function of increasing Ba content.
Table 2.
Refined the mole fractions of the Sr3−xBaxMgSi2O8, Sr2SiO4, and Sr2MgSi2O7 phases.
The visual morphologies of the M-E-SBMSO-x powders synthesized via sintering at 1400 °C are shown in Figure 2, illustrating the influence of varying BaO content on their microstructures. As depicted in Figure 2a–f, it is evident that increasing the BaO content results in a noticeable increase in the particle size of the powders. Additionally, all M-E-SBMSO-x powder particles exhibit surface features characterized by either short protrusions or whisker-like structures. When the BaO content increases from x = 0 to x = 0.3, these short protrusions gradually elongate. At x = 0.6, the protrusions begin to transform into whisker-like structures. With further increases in BaO content, the whiskers become significantly longer and more defined. This morphological evolution suggests that BaO plays a critical role in promoting anisotropic crystal growth during the sintering process, possibly by influencing the local viscosity of the melt or modifying the crystallization kinetics of the silicate phases. The formation of whisker-like structures with higher BaO content may also indicate enhanced diffusion rates or altered growth directions driven by the presence of Ba2+ ions, which are known to affect the crystallographic behavior of silicate materials.
Figure 2.
SEM morphologies of the M-E-SBMSO-x powders: (a) M-E-SBMSO-0; (b) M-E-SBMSO-0.3; (c) M-E-SBMSO-0.6; (d) M-E-SBMSO-0.9; (e) M-E-SBMSO-1.2; and (f) M-E-SBMSO-1.5.
Previous studies provide supporting evidence for these observations. Wang et al. utilized a template-free solvothermal method to synthesize SrSiO3 under varying water/ethanol volume ratios, successfully producing SrSiO3 nanofibers in a mixed water-ethanol solvent system [12]. Similarly, Yang and co-workers fabricated flower-like Sr2SiO4 nanostructures via thermal oxidation of Sr2SiO4 powders [13]. Previously, we employed transmission electron microscopy to conduct a detailed analysis of these nanostructures and confirmed the presence of both Sr2SiO4 and Sr2MgSi2O7 phases in the synthesized Eu2+-doped Sr3MgSi2O8 powder [14]. Their findings, along with the microstructural features observed in Figure 2a, suggest that the protruding and whisker-like structures in the M-E-SBMSO-x powders correspond to either SrSiO3 or Sr2SiO4 phases. In the present study, XRD analyses clearly confirmed the presence of the Sr2SiO4 phase across all samples. This result strongly indicates that the primary crystalline phase causing the protruding and whisker-like structures in the M-E-SBMSO-x powders is Sr2SiO4. The morphological transition from short protrusions to elongated whiskers, in combination with the phase identification, implies that BaO addition not only promotes the growth of Sr2SiO4 but also affects its microstructural development, potentially offering a means to tailor material properties through compositional control.
Another important focus of this study is to analyze the impact of BaO content on the PLE and PL properties of the synthesized M-E-SBMSO-x phosphors. The PLE spectra of these phosphors were recorded under varying BaO content conditions. For the M-E-SBMSO-x phosphors with x = 0, 0.3, 0.6, 0.9, 1.2, and 1.5, the PLE spectra were measured using a spectrophotometer while monitoring emission at 465, 454, 445, 437, 431, and 430 nm, respectively. The rationale behind selecting different monitoring wavelengths will be discussed in a later section. These measurements were conducted within the spectral range of 250–400 nm, and temperature conditions were varied from room temperature to 210 °C. The results for the M-E-SBMSO-x phosphors with x = 0, 0.3, 0.6, 0.9, 1.2, and 1.5 are presented in Figure 3a, Figure 3b, Figure 3c, Figure 3d, Figure 3e, and Figure 3f, respectively. The emission intensities observed across the entire PLE spectra of the synthesized M-E-SBMSO-x phosphors showed a significant increase as the BaO content increased from 0 to 0.6. Beyond this point, the PLE spectra slightly increased as the BaO content rose from 0.6 to 1.2, reaching a maximum at x = 1.2. However, as the BaO content was further increased to 1.5, the intensities declined slightly, as shown in Figure 3f and Figure 4. These results indicate that BaO content plays a crucial role in influencing the optical properties of the M-E-SBMSO-x phosphors.

Figure 3.
Effect of BaO content on the temperature-dependent PLE spectra of the M-E-SBMSO-x phosphors: (a) M-E-SBMSO-0; (b) M-E-SBMSO-0.3; (c) M-E-SBMSO-0.6; (d) M-E-SBMSO-0.9; (e) M-E-SBMSO-1.2; and (f) M-E-SBMSO-1.5.
Figure 4.
Effect of BaO content on the wavelengths and values of PLEmax of the M-E-SBMSO-x phosphors.
It is important to note that previous studies have primarily focused on investigating the PL spectra and have not provided detailed insights into the PLE spectra [15,16]. We hypothesize that the changes observed in the PLE spectra of the M-E-SBMSO-x phosphors are a result of substituting SrO with BaO. For the M-E-SBMSO-x phosphors with x = 0.6, 0.9, 1.2, and 1.5, similarly broad PLE spectra were observed, each displaying three indistinct yet notable excitation peaks. These PLE spectra exhibited multiple excitation bands, all located in the range of 288–382 nm. The presence of multiple peaks in the PLE spectra is attributed to the complex electronic transitions within the host lattice and dopant ions. These transitions involve various energy levels, including the charge transfer transitions and 4f-5d transitions of rare-earth dopants, as well as possible crystal field effects and lattice distortions caused by compositional variations. This leads to the overlapping of several excitation bands, resulting in multiple distinct peak features. For the M-E-SBMSO-x phosphors with x = 0, 0.3, 0.6, 0.9, 1.2, and 1.5, the PLE spectra were recorded using the spectrophotometer while monitoring emission at 465, 454, 445, 437, 431, and 430 nm, respectively. As Figure 4 shows, for all M-E-SBMSO-x compositions, the maximum PLE wavelengths (PLEmax) were recorded at 348, 332, 327, 327, 328, and 326 nm for x = 0, 0.3, 0.6, 0.9, 1.2, and 1.5, respectively. A noticeable blue shift of the main excitation peak was observed with increasing BaO content, which eventually saturated in the M-E-SBMSO-0.6 phosphor.
This blue shift is primarily attributed to the gradual substitution of Sr2+ ions with Ba2+ ions in the host lattice. Since Ba2+ has a larger ionic radius than Sr2+, this substitution leads to lattice expansion and a change in the local crystal field environment around the activator ions. These changes increase the energy separation between the ground and excited states of the luminescent centers, resulting in a higher energy (shorter wavelength) excitation, hence the observed blue shift. However, beyond x = 0.6, the lattice reaches a structural saturation point where further incorporation of Ba2+ has minimal impact on the crystal field strength, leading to the stabilization (or saturation) of the excitation peak position. Consequently, these specific peak wavelengths were selected as the excitation wavelengths (λex) for recording the PL spectra and determining the PL emission maxima (PLmax) of the M-E-SBMSO-x phosphors. Upon heating the M-E-SBMSO-x phosphors from 30 °C to 210 °C, only slight decreases in emission intensities were observed in both the PLE and PL spectra, as shown in Figure 3. The M-E-SBMSO-0 sample was excluded from further analysis due to its extremely low signal intensity and resulting measurement errors. Based on repeated experimental measurements, the PLEmax intensities of M-E-SBMSO-x phosphors at 210 °C decreased to approximately 84.4% ± 2.1%, 83.6% ± 2.0%, 86.1% ± 2.1%, 86.4% ± 1.9%, and 85.9% ± 2.0% for x = 0.3, 0.6, 0.9, 1.2, and 1.5, respectively, relative to their initial values at room temperature.
For the M-E-SBMSO-x phosphors with x = 0, 0.3, 0.6, 0.9, 1.2, and 1.5, PL spectra were recorded using excitation wavelengths of 348, 332, 327, 327, 328, and 326 nm, respectively. The emission spectra were collected over a wavelength range of 400–550 nm, with systematic variation in BaO content, and measurements were conducted at temperatures ranging from room temperature up to 210 °C. The PL spectra corresponding to different BaO contents are shown in Figure 5a–f, and the wavelengths at which the PL intensity reaches its maximum (PLmax) and the values of PLmax are summarized in Figure 6. When x = 0, 0.3, 0.6, 0.9, 1.2, and 1.5, the PLmax wavelengths were observed at 465, 454, 445, 437, 431, and 430 nm, respectively. A distinct blue shift in PLmax is observed as the value of x increases, from 465 nm at x = 0 to 430 nm at x = 1.5. This phenomenon is primarily attributed to structural and electronic modifications in the host lattice induced by the increasing BaO content. The substitution of Ba2+ ions into the lattice alters the crystal field environment around the luminescent centers. Ba2+ has a larger ionic radius and different electro-negativity compared to the cations it replaces, which results in local distortion of the crystal lattice. In this study, Ba2+ primarily substitutes for Sr2+ sites. It is unlikely to replace Mg2+ (0.76 Å) due to the significant difference in ionic radii. This distortion modifies the symmetry and bonding configuration around the activator ions, thereby influencing the energy levels of their excited states. As BaO content increases, the host matrix tends to create a stronger crystal field and possibly introduces more covalent character into the surrounding bonds. These changes typically lead to a widening of the energy gap between the excited and ground states of the activator ions. A wider energy gap means the emitted photons have higher energy, which corresponds to a shorter emission wavelength, hence the observed blue shift. Additionally, the increasing BaO concentration may also lead to changes in lattice rigidity or phonon interactions, which can further influence the emission behavior. The gradual blue shift in PLmax with increasing x reflects a combined effect of crystal field modification, lattice distortion, and energy level redistribution within the phosphor materials.

Figure 5.
Effect of BaO content on the temperature-dependent PL spectra of the M-E-SBMSO-x phosphors: (a) M-E-SBMSO-0; (b) M-E-SBMSO-0.3; (c) M-E-SBMSO-0.6; (d) M-E-SBMSO-0.9; (e) M-E-SBMSO-1.2; and (f) M-E-SBMSO-1.5.
Figure 6.
Effect of BaO content on the wavelengths and values of PLmax of the M-E-SBMSO-x phosphors.
It is worth noting that although slight variations in emission intensity were observed in both the PLE and PL spectra, their overall spectral shapes and trends remained largely consistent throughout the series. As the value of x increased from 0 to 1.5, the PLmax intensity, similar to the PLEmax intensity, initially increased, reaching a maximum at x = 1.2. However, upon further increasing x to 1.5, a slight decrease in PLmax was observed. The initial increase in PLmax intensity with rising x can be attributed to the optimized modification of the crystal environment. Previous studies showed that Sr2MgSi2O7:Eu2+ phosphor exhibits a broad emission band centered around 470 nm under UV excitation [17]. In the present study, the content of Sr2MgSi2O7 decreases progressively with increasing BaO concentration. At x = 0, the PLE and PL spectra of the M-E-SBMSO-0 phosphor exhibit very weak intensities. Notably, as the BaO content increases, particularly when x is equal to or greater than 0.9, the intensity of the Sr2MgSi2O7 crystalline phase diminishes significantly, while the corresponding PLE and PL intensities of the phosphors increase markedly. This inverse relationship strongly indicates that the Eu2+-doped Sr2MgSi2O7 phase does not contribute significantly to the observed luminescence and can therefore be excluded from consideration when evaluating the emission behavior of the codoped phosphor system.
The gradual introduction of BaO enhances the crystal field around the luminescent centers, improving energy transfer and increasing radiative recombination efficiency. This leads to a stronger emission up to x = 1.2. However, as x continues to increase beyond this optimal point, a slight decline in intensity is observed at x = 1.5. This can be explained by the onset of concentration quenching or structural distortion effects. At higher BaO concentrations, excessive distortion of the host lattice may occur, potentially introducing non-radiative defect states or increasing interactions among activator ions. These interactions can facilitate non-radiative energy losses, such as cross-relaxation or energy migration to quenching centers, thereby reducing the luminescence efficiency. While moderate BaO incorporation enhances luminescence, excessive addition can negatively impact the structural integrity and optical performance of the phosphor, leading to the observed decline in PLmax intensity. Based on repeated experimental measurements, the PLmax intensities of M-E-SBMSO-x phosphors at 210 °C decreased to approximately 87.0% ± 1.9%, 83.5% ± 2.2%, 86.5% ± 2.0%, 86.9% ± 1.9%, and 86.5% ± 2.1% for x = 0.3, 0.6, 0.9, 1.2, and 1.5, respectively, relative to their initial values at room temperature.
This, in turn, leads to a decrease in both emission intensity and the overall efficiency of the fabricated LEDs. The measured PLE and PL spectra are presented in Figure 3 and Figure 5, respectively. Furthermore, the temperature-dependent behavior of the M-E-SBMSO-x phosphors was evaluated over a temperature range of 30 °C to 210 °C in 30 °C increments. These measurements were conducted at suboptimal emission and excitation wavelengths, also indicated in Figure 3 and Figure 5, to examine the effect of temperature on variations in the PLE and PL spectra, as well as on their peak intensities. Figure 5 further illustrates that, as the temperature increases from room temperature to 210 °C, the PL peak wavelengths (PLmax) for x values of 0.3, 0.6, 0.9, 1.2, and 1.5 shifted from 454, 445, 437, 431, and 430 nm to 458, 454, 442, 430, and 434 nm, respectively. Notably, with an increase in BaO content from x = 0.6 to x = 1.5, the M-E-SBMSO-x phosphors demonstrate improved thermal stability while retaining the desired emission wavelengths. The absolute photoluminescence quantum yield (PLQY) is used as an indicator of the emission efficiency of the synthesized phosphors [18]. To ensure accuracy, PLQY errors were calculated based on the standard deviation of eight independent measurements for each x value. The resulting PLQY values for x = 0.3, 0.6, 0.9, 1.2, and 1.5 were 0.234 ± 0.019, 0.475 ± 0.027, 0.683 ± 0.029, 0.865 ± 0.031, and 0.818 ± 0.030, respectively.
For M-E-SBMSO-x phosphors (x = 0–1.5), when x = 0.9, a subtle emission peak appeared at approximately 515 nm, and this emission peak became more pronounced as x increases to 1.2 and 1.5. The subtle emission peak observed at around 515 nm in M-E-SBMSO-x phosphors when x = 0.9, which becomes more prominent as the BaO content increases to x = 1.2 and 1.5, can be attributed to the electronic transitions of Mn2+ ions in the crystal lattice. This phenomenon occurs primarily because the progressive substitution of SrO by BaO atoms alters the local crystal field environment surrounding the manganese activator ions. Since Ba2+ has a larger ionic radius than Sr2+, its incorporation causes lattice expansion and modifies the coordination geometry around Mn2+ ions. These structural changes affect the energy levels of the Mn2+ 4T1→6A1 transition, which is responsible for the green emission at approximately 515 nm. Additionally, the increased BaO content may enhance energy transfer pathways between Eu2+ and Mn2+ ions, leading to more efficient excitation of the Mn2+ centers. The gradual structural transformation of the host lattice with increasing BaO content likely creates a more favorable environment for this specific emission, possibly by reducing non-radiative relaxation pathways or optimizing the distribution of activator ions across crystallographic sites that favor green emission characteristics. These cumulative effects result in the gradual enhancement of the 515 nm emission peak as the BaO concentration increases from x = 0.9 to x = 1.5 in the phosphor composition.
The chromaticity coordinates (CIE) analysis chart is a valuable tool for understanding the color properties of the materials, particularly the synthesized phosphors. It allows for the visualization of emitted light colors and facilitates comparisons across different phosphor concentrations. In this study, the phosphor’s position within the blue region of the CIE chart indicates blue light emission, consistent with the results obtained from PL measurements. This correlation further confirms the material’s fluorescence characteristics. Figure 7 presents the CIE analysis chart showing the fluorescence spectra of M-E-SBMSO-x phosphors with varying BaO content. The CIE values were as follows, (0.1770, 0.2264) at x = 0; (0.1645, 0.1677) at x = 0.3; (0.1566, 0.06616) at x = 0.6; (0.1617, 0.06804) at x = 0.9; (0.1617, 0.06055) at x = 1.2; and (0.16197, 0.08377) at x = 1.5. Notably, as the BaO content increases from 0.3 to 1.5, the emission peaks (PLmax) shift from 454 to 430 nm. Despite this shift, all corresponding CIE coordinates remain within the blue region, confirming that all M-E-SBMSO-x phosphors emit blue light. This finding is significant for applications requiring specific color emissions, such as in display technologies, lighting systems, and various optical devices.
Figure 7.
CIE image of the M-E-SBMSO-x phosphors.
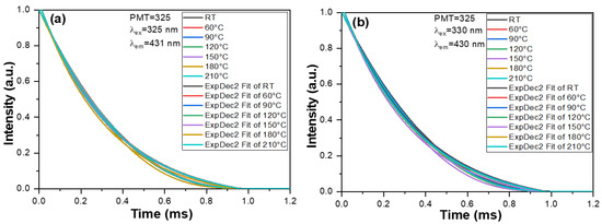
In this study, the decay time of M-E-SBMSO-x phosphors is defined as the time required for the photoluminescence (PL) intensity to decrease from its maximum value to 1/e (approximately 36.8%) of that maximum. The M-E-SBMSO-0 and M-E-SBMSO-0.3 samples were excluded from comparison due to their low emission intensities. The optimal excitation wavelengths for the M-E-SBMSO-x phosphors were found to be 332, 327, 327, 326, and 328 nm for x values of 0.3, 0.6, 0.9, 1.2, and 1.5, respectively, corresponding to their respective excitation peaks. Emission intensity decay measurements were conducted at wavelengths of 454, 445, 437, 431, and 430 nm for the same x values, chosen to align with their emission peaks and best represent their luminescence behavior. Figure 8a,b present the decay curves for M-E-SBMSO-1.2 and M-E-SBMSO-1.5. The measured decay times for x = 0.3, 0.6, 0.9, 1.2, and 1.5 were 0.333, 0.322, 0.319, 0.323, and 0.329 ms, respectively. These results indicate that the decay time initially decreases as the BaO content increases, reaching a minimum at x = 0.9, and then increases with further additions of BaO. These two figures show that when the measured temperature changes, the variation in the displayed decay time is minimal. Moreover, the data in Figure 8 indicate that decay time remains largely unaffected by BaO content and measured temperature, underscoring the excellent thermal stability of the M-E-SBMSO-x phosphors.
Figure 8.
The decay time curves of the (a) M-E-SBMSO-1.2 and (b) M-E-SBMSO-1.5 phosphors.
As shown in Figure 3, the PLE spectra are clearly composed of multiple distinct peaks, prompting the use of Gaussian fitting for detailed analysis. The PLE spectra of M-E-SBMSO-1.2 and M-E-SBMSO-1.5 phosphors measured at different temperatures are shown in Figure 9, with energy plotted on the x-axis instead of wavelength for better clarity. The f-d excitation transitions of Eu2+ ions are complex and influenced by several factors. One key factor is the crystal field splitting of the 5d orbitals in the 4f65d excited state. Additionally, spin-orbit coupling causes the 4f6 configuration of Eu2+ to split into seven 7Fj multiplets (j = 0–6), further broadening each excited band. The interaction between the 4f6 core electrons and the 5d electrons also contributes to this broadening. As a result, the 4f7 → 4f65d1 transition produces multiple overlapping bands in the excitation spectrum of the M-E-SBMSO-x phosphors. The data in Figure 8 confirm that these phosphors exhibit broad excitation features with two to three less pronounced peaks. To better interpret these spectra, the excitation data have been replotted against energy and analyzed using Gaussian fitting. This method helps reveal the underlying causes of spectral broadening and provides a clearer understanding of the excitation processes in the material.

Figure 9.
PLE spectra of the different M-E-SBMSO-x phosphors. (a) RT-M-E-SBMSO-1.2 phosphor, (b) 210 °C-M-E-SBMSO-1.2 phosphor, (c) RT-M-E-SBMSO-1.5 phosphor, and (d) 210 °C-M-E-SBMSO-1.5 phosphor, and the fitting results by using the sum of five Gaussian functions.
When the PLE spectra of M-E-SBMSO phosphors are analyzed using Gaussian functions, a clear redshift in peak positions is observed as the temperature increases. In evaluating the quality of the Gaussian fitting applied to the PLE spectra, the coefficient of determination (R2) is used as a key statistical indicator. R2 measures how well the fitting model explains the variance in the experimental data, with values ranging from 0 to 1. An R2 value of 1 indicates a perfect fit. As shown in Figure 9, all fitting results exhibit R2 values above 0.999, demonstrating an excellent agreement between the fitted Gaussian curves and the experimental PLE spectra. This strong correlation confirms the reliability of the fitting model in capturing the key spectral features. For the M-E-SBMSO-1.2 phosphor, the PLE spectrum at room temperature consists of five distinct peaks located at 3.23 eV, 3.44 eV, 3.77 eV, 4.04 eV, and 4.26 eV. At an elevated temperature of 210 °C, these peaks are 3.18 eV, 3.40 eV, 3.76 eV, 4.04 eV, and 4.26 eV, respectively. The two lower-energy peaks exhibit a noticeable redshift, with the transitions at 3.23 eV and 3.44 eV shifting to 3.18 eV and 3.40 eV. A similar trend is seen in the M-E-SBMSO-1.5 phosphor. At room temperature, its PLE spectrum shows peaks at 3.22 eV, 3.43 eV, 3.79 eV, 4.05 eV, and 4.27 eV. When measured at 210 °C, the peaks shift to 3.19 eV, 3.40 eV, 3.71 eV, 4.05 eV, and 4.28 eV. In this case, three of the peaks shift toward lower energies, indicating a slightly stronger thermal influence on this composition compared to M-E-SBMSO-1.2.
Although the spectra were deconvoluted using Gaussian functions tailored to two different phosphor compositions, the resulting five sub-peaks identified in each case exhibit very similar energy positions. This suggests that the fundamental excitation processes are comparable between the two materials, with only subtle differences in their thermal responses. The results presented in Figure 8 also clearly highlight the excellent high-temperature stability of the M-E-SBMSO-x phosphors. The bandgap of semiconductor materials tends to decrease as the temperature increases, leading to a redshift in the corresponding absorption or emission energies. This phenomenon is primarily driven by two physical mechanisms. First, lattice expansion occurs as the material heats up; thermal expansion increases the average atomic spacing, which in turn alters the electronic band structure. Second, electron–phonon interactions become more pronounced at elevated temperatures due to enhanced lattice vibrations (phonons), which affect the energy levels and their spacing. Together, these effects result in a narrowing of the bandgap, which shifts the excitation-related transitions in photoluminescence excitation (PLE) spectra to lower energies. This temperature dependence of the bandgap can be quantitatively described by the Varshni equation:
where Eg(T) is the bandgap at temperature T, and α and β are material-specific constants. Interestingly, only the lower-energy peaks in the PLE spectrum exhibit a noticeable redshift, while higher-energy peaks (such as those at 3.77 eV, 4.04 eV, and 4.26 eV) remain relatively unchanged. This behavior suggests that these higher-energy peaks originate from higher-order electronic states or excitonic transitions, or possibly from transitions involving defect or interface states. These states tend to be less sensitive to temperature-induced changes in the band structure or may arise through mechanisms unrelated to direct bandgap variations, thereby maintaining relatively stable energy positions despite the temperature increase.
Eg(T) = Eg(0) − [αT2/(T + β)]
The Stokes shift refers to the energy or wavelength difference between a material’s absorption and emission spectra. It is a key optical property used to understand how a phosphor re-emits light after absorbing excitation energy. Specifically, the Stokes shift describes how the emitted light has lower energy (longer wavelength) than the absorbed light, indicating that the phosphor absorbs higher-energy (shorter wavelength) photons and emits lower-energy photons in return. For the M-E-SBMSO-x phosphors for x = 0.3–1.5, the emission bands are sharp and centered at approximately 2.731 eV (454 nm for x = 0.3), 2.787 eV (445 nm for x = 0.6), 2.838 eV (437 nm for x = 0.9), 2.877 eV (431 nm for x = 1.2), and 2.884 eV (430 nm for x = 1.5), with corresponding full width at half maximum (FWHM) values of about 0.352 eV, 0.293 eV, 0.284 eV, 0.261 eV, and 0.259 eV. For M-E-SBMSO-x (x = 0–1.5) phosphors, the FWHM values of their PL spectra decrease with increasing BaO content. This phenomenon can be attributed to the following key factors:
(1) Enhanced lattice symmetry and reduced lattice strain: When Ba2+ ions (ionic radius ~1.35 Å) substitute for Sr2+ ions (ionic radius ~1.18 Å), the larger ionic size of Ba2+ induces a more relaxed and symmetric crystal structure. This structural modification leads to a more uniform local crystal field around the luminescent centers (e.g., Mn2+ and Eu2+), thereby reducing crystal field inhomogeneities and related energy level splitting. As a result, the likelihood of non-radiative transitions and phonon participation is decreased, contributing to a narrower emission bandwidth.
(2) Converged energy level distribution: The incorporation of Ba2+ can cause the energy levels of dopant ions to become more centralized. For Mn2+, a d-electron transition metal ion, the emission typically involves the spin-forbidden transition from the 3T2 to 3A2 state, which is highly sensitive to the strength and uniformity of the crystal field. A more consistent crystal field leads to a narrower energy distribution of emission peaks, thereby reducing the FWHM.
(3) Reduce the crystallinity of secondary phases: The presence of BaO may reduce the crystallinity of secondary phases in the host material and decrease the number of defects. This improvement helps minimize defect-related energy level broadening and band tailing effects, thereby contributing to a narrower PL emission.
(4) More efficient energy transfer mechanism: Ba2+ doping may also influence the energy transfer dynamics between Mn2+ and Eu2+ ions. A more efficient and streamlined energy transfer process can lead to sharper and more concentrated emission peaks, resulting in a reduced FWHM.
The gradual enhancement of the 515 nm green emission from Mn2+ with increasing BaO concentration in the M-E-SBMSO-x phosphors provides strong evidence for the existence of energy transfer from Eu2+ to Mn2+ ions. As Ba2+ incorporation leads to lattice expansion and structural modifications around Mn2+, it not only alters the Mn2+ energy levels but also facilitates more efficient energy transfer pathways between Eu2+ and Mn2+. The increased Mn2+ emission intensity, despite Mn2+ not being the primary absorber of excitation energy, suggests that Eu2+ ions act as sensitizers, absorbing energy and transferring it non-radiatively to Mn2+ centers. This behavior, coupled with the structural optimization that reduces non-radiative losses and improves ion distribution, supports the conclusion that energy transfer is a key mechanism contributing to the enhanced Mn2+ emission in this codoped phosphor system.
The Stokes shift refers to the difference in energy or wavelength between a substance’s absorption and emission spectra. It is a key optical property, often used to explain how a phosphor re-emits light after absorbing excitation energy. The Stokes shift is characterized by the emission spectrum having lower energy, or a longer wavelength, than the absorption spectrum. At room temperature, the estimated lowest 5d excitation bands for x = 0.3, 0.6, 0.9, 1.2, and 1.5 are 3.18 eV, 3.25 eV, 3.22 eV, 3.23 eV, and 3.22 eV, respectively. By calculating the energy differences between the emission peaks and the lowest 5d excitation bands, the Stokes shifts for x = 0.3, 0.6, 0.9, 1.2, and 1.5 are found to be approximately 0.449 eV, 0.412 eV, 0.382 eV, 0.353 eV, and 0.336 eV, respectively. These values highlight a trend of decreasing Stokes shift with increasing barium content. In the M-E-SBMSO-x phosphors (x = 0.3–1.5), an increase in BaO content causes the PL emission wavelength to blue shift from 454 nm to 430 nm, while the Stokes shift decreases from 0.449 eV to 0.336 eV.
This behavior is primarily attributed to the gradual substitution of Sr2+ by Ba2+ ions. Since Ba2+ has a larger ionic radius (1.35 Å) compared to Sr2+ (1.18 Å), the replacement induces a lattice expansion within the host structure. This expansion alters the local crystal field environment surrounding the luminescent centers, particularly affecting the 5d energy levels of Eu2+ ions. Specifically, the weakened crystal field caused by lattice expansion reduces the splitting of the 5d levels and raises their overall energy. As a result, the energy gap between the 4f and 5d levels increases, leading to a blue shift in the emission wavelength from 454 nm to 430 nm. Moreover, the more rigid lattice structure, resulting from the enlarged lattice and incorporation of Ba2+, suppresses lattice relaxation in the excited state. This structural rigidity reduces the difference in equilibrium geometries between the ground and excited states, thereby decreasing the Stokes shift from 0.449 eV to 0.336 eV. The reduction in Stokes shift indicates a smaller configurational displacement between the two states, which is closely related to the larger ionic size and the increased structural stiffness introduced by Ba2+. Such phenomena are commonly observed in rare-earth-doped luminescent materials, where the substitution of host cations with ions of different sizes can significantly influence the optical properties of the activator ions.
3. Experimental Procedure
We utilized SiO2, MgCO3, BaCO3, SrCO3, MnO2, and Eu2O3 as our starting raw materials. At the synthesis temperature, MgCO3, BaCO3, and SrCO3 were expected to decompose into their respective oxides (MgO, BaO, and SrO) and CO2. These oxides would then react with SiO2 and Eu2O3 to form Mn2+ and Eu2+-codoped Sr3−xBaxMgSi2O8 compositions after sufficient time at the synthesis temperature. Materials were weighed according to the composition formula 0.05 MnO2 + 0.0075 Eu2O3 + Sr3−xBaxMgSi2O8 (M-E-SBMSO-x), where x changed from 0 (M-E-SBMSO-0), 0.3 (M-E-SBMSO-0.3), 0.6 (M-E-SBMSO-0.6), 0.9 (M-E-SBMSO-0.9), 1.2 (M-E-SBMSO-1.2), and 1.5 (M-E-SBMSO-1.5). The precisely measured quantities of SiO2, MgCO3, BaCO3, SrCO3, MnO2, and Eu2O3 powders were thoroughly mixed through a 2-h ball-milling process using absolute alcohol as the solvent. The resulting slurry was dried at 80 °C and subsequently ground into a fine powder. Since a synthesis temperature of 1450 °C could cause some of the M-E-SBMSO-x compositions to melt, we conducted the synthesis at the slightly lower temperature of 1400 °C for a duration of 4 h. The M-E-SBMSO-x mixed compositions were combined with alcohol, ground into fine powders, and subsequently dried. These processed powders were then placed in a tubular high-temperature furnace. At 1200 °C, a reducing atmosphere consisting of 5% H2 and 95% N2 was introduced to the furnace to convert Mn4+ and Eu3+ ions into Mn2+ and Eu2+ ions, respectively [19]. The temperature was then elevated to 1400 °C and maintained for 4 h. After the high-temperature treatment, the system was gradually cooled to 900 °C, at which point the reducing gas was evacuated from the furnace.
X-ray diffraction (XRD) analysis was performed using a Bruker D8 diffractometer (Bruker AXS GmbH, Karlsruhe, Germany). The measurements were conducted over a scanning angle range of 20° to 80° at a scanning rate of 1° per min. The instrument operated at a voltage of 40 kV and a current of 40 mA. To optimize the optical properties of M-E-SBMSO-x phosphors, a 3D scanning method was employed to identify the optimal photoluminescence excitation (PLE) wavelengths within the 280–400 nm range. This analysis was composition-dependent and used 10 nm intervals for plotting within the photoluminescence (PL) range of 400–550 nm. It was evident that variations in PL wavelengths resulted in significant differences in the corresponding PLE spectra, both in emission intensity and spectral shape. These results demonstrate that the 3D scanning approach enables precise identification of optimal PLE spectra, facilitating efficient excitation of the M-E-SBMSO-x phosphors at their strongest excitation peaks. At first, all measurements of the M-E-SBMSO-x phosphors were carried out at room temperature using a Hitachi F-4500 fluorescence spectrophotometer (Hitachi High-Technologies Corporation, Tokyo, Japan) equipped with a xenon lamp as the excitation source. The excitation (PLE) and emission (PL) spectra were recorded in the wavelength ranges of 250–400 nm and 400–550 nm, respectively. Since the spectrophotometer was equipped with an internal heating system, temperature-dependent PLE and PL spectra could be directly measured. The temperature range for these measurements extended from room temperature (approximately 30 °C) to 210 °C.
4. Conclusions
As BaO contents of the M-E-SBMSO-x phosphors were 0, 0.3, 0.6, 0.9, 1.2, and 1.5, the Rwp values were 8.89%, 8.75%, 8.53%, 8.42%, 8.33%, and 8.25%, while the Rp values were 5.23%, 5.05%, 4.90%, 5.82%, 4.74%, and 4.65%, the monitoring emissions for PLE spectra were at 465, 454, 445, 437, 431, and 430 nm, the excitation wavelengths (PLEmax) of the PL spectra were 348, 332, 327, 327, 328, and 326 nm. For the M-E-SBMSO-x phosphors for x =0.3–1.5, the emission bands are sharp and centered at approximately 2.731 eV (454 nm for x = 0.3), 2.787 eV (445 nm, x = 0.6), 2.838 eV (437 nm, x = 0.9), 2.877 eV (431 nm, x = 1.2), and 2.884 eV (430 nm, x = 1.5), with corresponding FWHM values of about 0.352 eV, 0.293 eV, 0.284 eV, 0.261 eV, and 0.259 eV. The smaller Stokes shift suggests less structural change between the two states, likely due to the larger size and added stiffness from Ba2+. For x = 0.3, 0.6, 0.9, 1.2, and 1.5, The resulting PLQY values were 0.234 ± 0.019, 0.475 ± 0.027, 0.683 ± 0.029, 0.865 ± 0.031, and 0.818 ± 0.030, the measured decay times were 0.333, 0.322, 0.319, 0.323, and 0.329 ms, and the FWHM values were about 0.352 eV, 0.293 eV, 0.284 eV, 0.261 eV, and 0.259 eV, respectively. The decrease in FWHM values is caused by the enhanced lattice symmetry and reduced lattice strain, converged energy level distribution, and more efficient energy transfer mechanism.
Author Contributions
Conceptualization, S.-H.L., C.-F.Y. and K.-W.M.; methodology, S.-H.L., F.-T.H., C.-F.Y. and K.-W.M.; validation, S.-H.L., F.-T.H., C.-F.Y. and K.-W.M.; formal analysis, S.-H.L., F.-T.H., C.-F.Y. and K.-W.M.; investigation, S.-H.L., C.-F.Y. and K.-W.M.; writing—original draft preparation, S.-H.L., C.-F.Y. and K.-W.M.; writing—review and editing, S.-H.L., C.-F.Y. and K.-W.M.; visualization, S.-H.L., F.-T.H., C.-F.Y. and K.-W.M. All authors have read and agreed to the published version of the manuscript.
Funding
This research is supported by projects under Nos. NSTC 113-2622-E-390-001 and NSTC 113-2221-E-390-011.
Institutional Review Board Statement
Not applicable.
Informed Consent Statement
Not applicable.
Data Availability Statement
Data are contained within the article.
Acknowledgments
This study was supported by the provision of raw phosphor powder materials and funding assis-tance from Summit-Tech Resource Corp.
Conflicts of Interest
The Summit-Tech Resource Corp. provided raw phosphor powder materials and funding assistance for this research. The company had no role in design of the study; in the collection, analyses or in-terpretation of data; in the writing of the manuscript; or in the decision to publish the results.
References
- Lin, Y.; Tang, Z.; Zhang, Z.; Nan, C.W. Luminescence of Eu2+ and Dy3+ activated R3MgSi2O8-based (R=Ca, Sr, Ba) phosphors. J. Alloys Compd. 2003, 348, 76–79. [Google Scholar] [CrossRef]
- Park, C.H.; Kim, T.H.; Yonesaki, Y.; Kumada, N. A re-investigation of the crystal structure and luminescence of BaCa2MgSi2O8:Eu2+. J. Solid State Chem. 2011, 184, 1566–1570. [Google Scholar] [CrossRef]
- Yonesaki, Y. Structural consideration on the emission properties of Eu2+-doped Ba(Sr, Ca)2MgSi2O8. J. Solid State Chem. 2013, 201, 324–329. [Google Scholar] [CrossRef]
- Jung, H.K.; Seo, K.S. Luminescent properties of Eu2+-activated (Ba, Sr)3MgSi2O8 phosphor under VUV irradiation. Opt. Mater. 2006, 28, 602–605. [Google Scholar] [CrossRef]
- Lu, J.; Su, C.C.; Hong, C.S.; Peng, G.; Yang, C.F. Investigations of Photoluminescence Properties of CaxMg2−xSi2O6:yEu2+ (x=0.5–1.25, y=0.015–0.035) Phosphors. Materials 2023, 16, 2032. [Google Scholar] [CrossRef]
- Kim, J.S.; Kwon, A.K.; Park, Y.H.; Choi, J.C.; Park, H.L.; Kim, G.C. Luminescent and thermal properties of full-color emitting X3MgSi2O8:Eu2+, Mn2+ (X = Ba, Sr, Ca) phosphors for white LED. J. Lumin. 2007, 122–123, 583–586. [Google Scholar] [CrossRef]
- Barry, T.L. Fluorescence of Eu2+-Activated Phases in Binary Alkaline Earth Orthosilicate Systems. J. Electrochem. Soc. 1968, 115, 733. [Google Scholar] [CrossRef]
- Han, J.K.; Piqutte, A.; Hannah, M.E.; Hirata, G.A.; Talbot, J.B.; Mishra, K.C.; McKittrick, J. Analysis of (Ba,Ca,Sr)3MgSi2O8:Eu2+, Mn2+ phosphors for application in solid state lighting. J. Lumin. 2014, 148, 1–5. [Google Scholar] [CrossRef]
- Zhang, P.; Chen, X.; Zhang, Z.; Fei, M.; Chen, L. Synthesis and photoluminescence of the blue phosphor Sr3MgSi2O8:Eu2+ optimized with the Taguchi method for application in near ultraviolet excitable white light-emitting diodes. J. Lumin. 2016, 169, 733–738. [Google Scholar] [CrossRef]
- Sun, L.; Lu, Q.; Mao, Z.; Wang, D. Enhancement of photosynthetic action spectrum for 660 nm-featured phase-pure (Ba,Ca,Sr)3MgSi2O8: Eu2+, Mn2+ phosphor by spray-combustion synthesis. J. Mater. Sci. Mater. Electron. 2015, 26, 2647–2653. [Google Scholar] [CrossRef]
- Yonesaki, Y.; Takei, T.; Kumada, N.; Kinomura, N. Crystal structure of Eu2+-doped M3MgSi2O8 (M: Ba,Sr,Ca) compounds and their emission properties. J. Solid State Chem. 2009, 182, 547–554. [Google Scholar] [CrossRef]
- Wang, X.; Liang, S.; Wu, W.; Liu, G.; Zhang, S.; Zheng, H.; Wu, L. New Shape-Controlled Nanocrystalline SrSiO3 Photocatalyst: Template-Free Syntheses and Photocatalytic Activity. Adv. Mater. Resear. 2012, 455–456, 363–368. [Google Scholar]
- Yang, Q.; Tanaka, M.; Liang, S.; Ogino, K.; Yasuda, T.; Tatsuoka, H. Sr2SiO4 flower-like nanostructures grown by thermal oxidation of SrSi2 with Ga droplets. Phys. Procedia 2011, 11, 114–117. [Google Scholar] [CrossRef]
- Lee, C.Y.; Wu, C.C.; Li, H.H.; Yang, C.F. Synthesis and Luminescence Properties of Eu2+-Doped Sr3MgSi2O8 Blue Light-Emitting Phosphor for Application in Near-Ultraviolet Excitable White Light-Emitting Diodes. Nanomaterials 2022, 12, 2706. [Google Scholar] [CrossRef] [PubMed]
- Im, W.B.; Kim, Y.I.; Yoo, H.S.; Jeon, D.Y. Luminescent and Structural Properties of (Sr1−xBax)3MgSi2O8:Eu2+: Effects of Ba Content on the Eu2+ Site Preference for Thermal Stability. Inorg. Chem. 2009, 48, 557–564. [Google Scholar] [CrossRef] [PubMed]
- Yonezaki, Y. (Ba, Sr)3MgSi2O8 structure change caused by Ba/Sr replacement. Powder Diffr. 2015, 30, 40–51. [Google Scholar] [CrossRef]
- Sahu, I.P.; Bisen, D.P.; Brahme, N.; Ganjir, M. Enhancement of the photoluminescence and long afterglow properties of Sr2MgSi2O7:Eu2+ phosphor by Dy3+ co-doping. Luminescence 2015, 30, 1318–1325. [Google Scholar] [CrossRef] [PubMed]
- Polikarpov, E.; Catalini, D.; Padmaperuma, A.; Das, P.; Lemmon, T.; Arey, B.; Fernandez, C.A. A high efficiency rare earth free orange emitting phosphor. Opt. Mater. 2015, 46, 614–618. [Google Scholar] [CrossRef]
- Hu, J.Q.; Song, E.H.; Ye, S.; Zhou, B.; Zhang, Q.Y. Anomalous spontaneous-reduction of Mn7+/Mn4+ to Mn2+ and luminescence properties in Zn2GeO4:Mn. J. Mater. Chem. C 2017, 5, 3343–3351. [Google Scholar] [CrossRef]
Disclaimer/Publisher’s Note: The statements, opinions and data contained in all publications are solely those of the individual author(s) and contributor(s) and not of MDPI and/or the editor(s). MDPI and/or the editor(s) disclaim responsibility for any injury to people or property resulting from any ideas, methods, instructions or products referred to in the content. |
© 2025 by the authors. Licensee MDPI, Basel, Switzerland. This article is an open access article distributed under the terms and conditions of the Creative Commons Attribution (CC BY) license (https://creativecommons.org/licenses/by/4.0/).











